Advanced Chemophenetic Analysis of Essential Oil from Leaves of Piper gaudichaudianum Kunth (Piperaceae) Using a New Reduction-Oxidation Index to Explore Seasonal and Circadian Rhythms
Abstract
1. Introduction
2. Results and Discussion
2.1. Essential Oil Yields
2.2. Chemical Profile of the Essential Oil
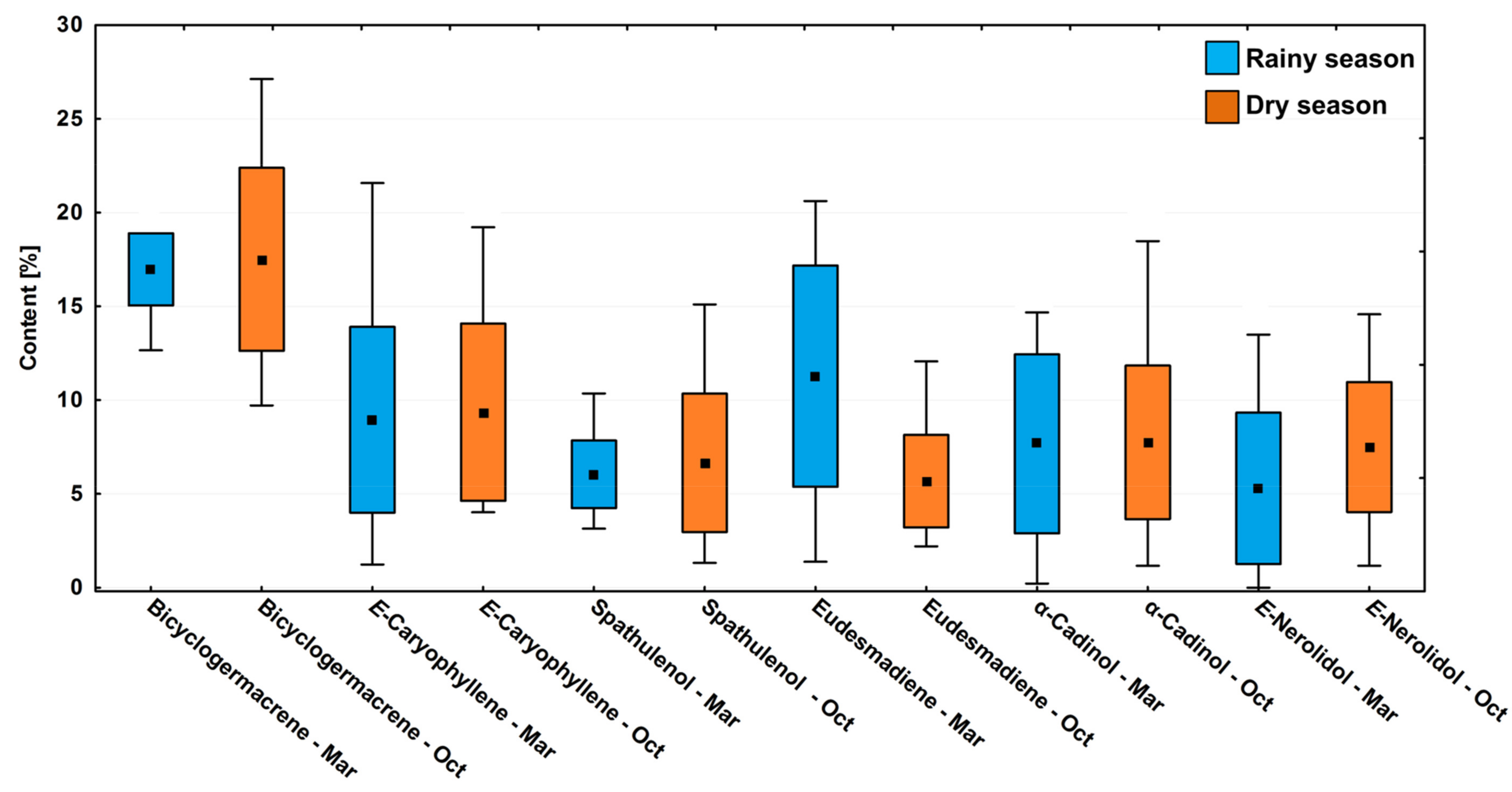
2.3. Seasonal Variation of the Essential Oil
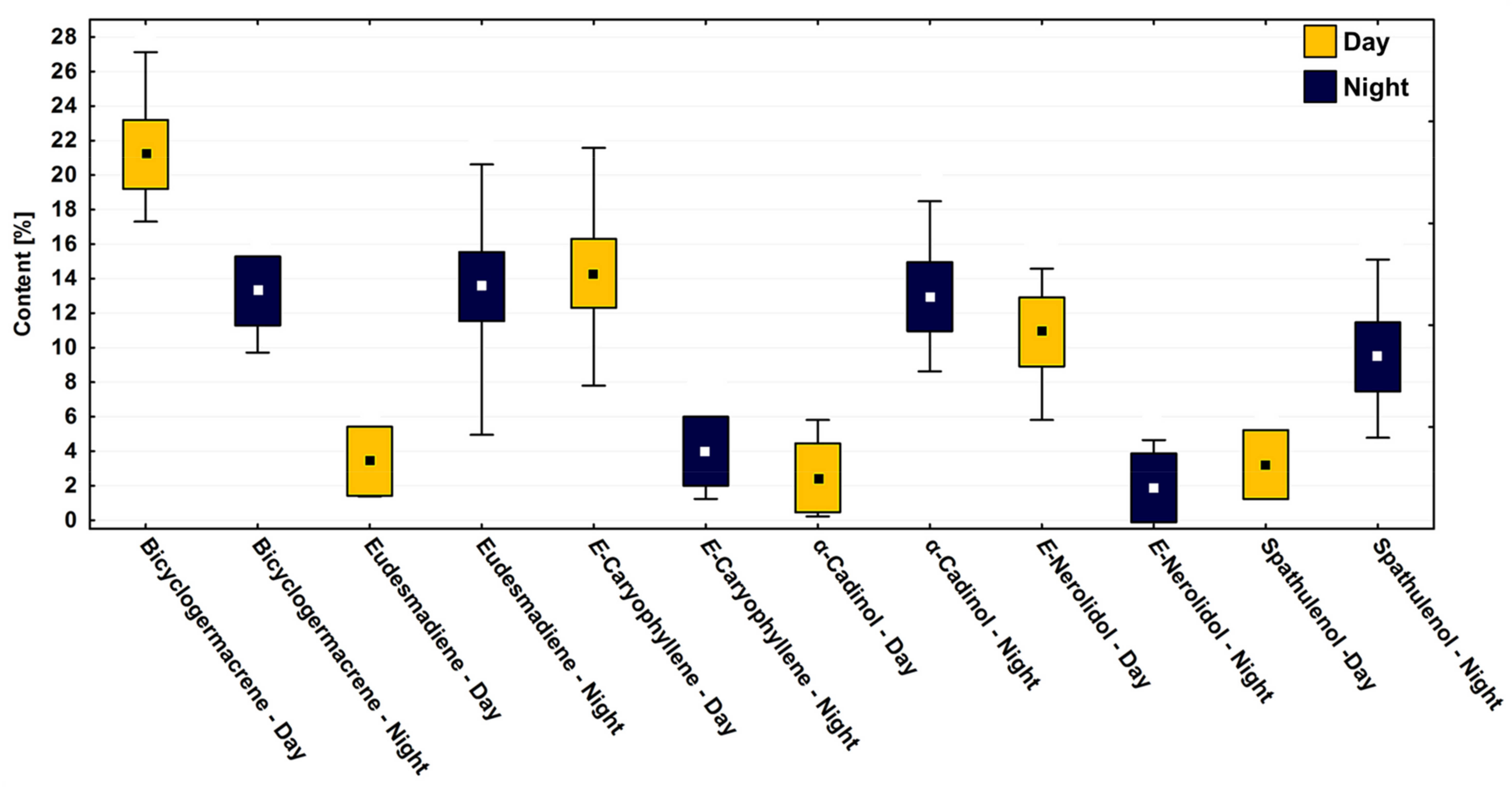
2.4. Circadian Rythm Variation in the Essential Oil
2.5. Biosynthetic Considerations
2.6. Reduction-Oxidation Indices
2.7. Chemophenetic Aspects in Piper Gaudichaudianum
3. Materials and Methods
3.1. Plant Material and Experimental Design
3.2. Essential Oils Production and Analysis
3.3. Statistical and Chemophenetic Analysis
4. Conclusions
Supplementary Materials
Author Contributions
Funding
Data Availability Statement
Acknowledgments
Conflicts of Interest
References
- Queiroz, G.A.; Guimarães, E.F. Piper L.(Piperaceae) do Leste Metropolitano, RJ, Brasil. Braz. J. Develop. 2020, 6, 93597–93634. [Google Scholar] [CrossRef]
- Ramos, Y.J.; Machado, D.D.B.; de Queiroz, G.A.; Guimarães, E.F.; e Defaveri, A.C.A.; Moreira, D.D.L. Chemical composition of the essential oils of circadian rhythm and of different vegetative parts from Piper mollicomum Kunth—A medicinal plant from Brazil. Biochem. Syst. Ecol. 2020, 92, 104116. [Google Scholar] [CrossRef]
- Mikich, S.B.; Bianconi, G.V.; Maia, B.H.L.N.S.; Teixeira, S.D. Attraction of the Fruit-Eating Bat Carollia perspicillata to Piper gaudichaudianum Essential Oil. J. Chem. Ecol. 2003, 29, 2379–2383. [Google Scholar] [CrossRef] [PubMed]
- Bieber, A.G.; de Toledo Castanho, C.; de Moura, C.A.; Leitão, R.P.; da Silva, W.R.; Sasal, Y. Dispersão de sementes de Piper sp. (Piperaceae) por Morcegos e Aves em Floresta de Terra Firme, Amazônia Central. Unpublished. Available online: https://www.researchgate.net/profile/Carlos-Moura-12/publication/268303612_DISPERSAO_DE_SEMENTES_DE_Piper_sp_PIPERACEAE_POR_MORCEGOS_E_AVES_EM_FLORESTA_DE_TERRA_FIRME_AMAZONIA_CENTRAL/links/268303654ef268303615d268303690cf268303612e268355866f268303640a268303619e/DISPERSAO-DE-SEMENTES-DE-Piper-sp-PIPERACEAE-POR-MORCEGOS-E-AVES-EM-FLORESTA-DE-TERRA-FIRME-AMAZONIA-CENTRAL.pdf (accessed on 10 February 2021).
- Parrini, R.; Pardo, C.S.; Pacheco, J.F. Conhecendo as plantas cujos frutos e recursos florais são consumidos pelas aves na mata atlântica do parque nacional da serra dos órgãos. Atual. Ornitol. 2017, 199, 38–136. [Google Scholar]
- Braga, S.M.P.; Dias, M.M.; Penteado-Dias, A.M. Bionomic aspects of eois tegularia (guenée) and eois glauculata (walker)(lepidoptera, geometridae, larentiinae) and their parasitoids. Rev. Bras. Zool. 2001, 18, 837–840. [Google Scholar] [CrossRef]
- Figueiredo, R.A.; Sazima, M. Pollination biology of piperaceae species in southeastern brazil. Ann. Bot. 2000, 5, 455–460. [Google Scholar] [CrossRef]
- Laroca, S.; Lauer, S. Adaptação comportamental de Scaura latitarsis para coleta de pólen. Acta Biol. Parana. 1973, 2, 1. [Google Scholar] [CrossRef]
- Penz, C.M.; Araújo, A.M. Interaction between papilio hectorides (papilionidae) and four host plants (piperaceae, rutaceae) in a southern brazilian population. J. Res. Lepid. 1990, 29, 161–171. [Google Scholar]
- Pereira, A.D.; Reis, N.R.; Orsi, M.L.; Vidotto-Magnoni, A.P. Dieta de Artibeus lituratus (Olfers, 1818) (Mammalia, Chiroptera) em um fragmento florestal urbano da cidade de Londrina, Paraná, Brasil. Biotemas 2019, 32, 79–86. [Google Scholar] [CrossRef]
- Ramos, C.S.; Vanin, S.A.; Kato, M.J. Sequestration of prenylated benzoic acid and chromenes by Naupactus bipes (Coleoptera: Curculionidae) feeding on Piper gaudichaudianum (Piperaceae). Chemoecology 2009, 19, 73–80. [Google Scholar] [CrossRef]
- Richards, L.A.; Glassmire, A.E.; Ochsenrider, K.M.; Smilanich, A.M.; Dodson, C.D.; Jeffrey, C.S.; Dyer, L.A. Phytochemical diversity and synergistic effects on herbivores. Phytochem. Rev. 2016, 15, 1153–1166. [Google Scholar] [CrossRef]
- Salazar, D.; Jaramillo, M.A.; Marquis, R.J. Chemical similarity and local community assembly in the species rich tropical genus Piper. Ecology 2016, 97, 3176–3183. [Google Scholar] [CrossRef]
- Barros, M.A.; Rui, A.M.; Fabian, M.E. Seasonal variation in the diet of the bat anoura caudifer (phyllostomidae: Glossophaginae) at the southern limit of its geographic range. Acta Chiropterologica 2013, 15, 77–84. [Google Scholar] [CrossRef]
- Bianconi, G.V.; Mikich, S.B.; Teixeira, S.D.; Maia, B.H.L. Attraction of Fruit-Eating Bats with Essential Oils of Fruits: A Potential Tool for Forest Restoration. Biotropica 2007, 39, 136–140. [Google Scholar] [CrossRef]
- Bianconi, G.V.; Suckow, U.M.S.; Cruz-Neto, A.; Mikich, S.B. Use of Fruit Essential Oils to Assist Forest Regeneration by Bats. Restor. Ecol. 2012, 20, 211–217. [Google Scholar] [CrossRef]
- Leiner, N.O.; Silva, W.R. Seasonal Variation in the Diet of the Brazilian Slender Opossum (Marmosops paulensis) in a Montane Atlantic Forest Area, Southeastern Brazil. J. Mammal. 2007, 88, 158–164. [Google Scholar] [CrossRef]
- Leiser-Miller, L.B.; Kaliszewska, Z.A.; Lauterbur, M.E.; Mann, B.; Riffell, J.A.; Santana, S.E. A Fruitful Endeavor: Scent Cues and Echolocation Behavior Used by Carollia castanea to Find Fruit. Integr. Org. Biol. 2020, 2, obaa007. [Google Scholar] [CrossRef]
- Lima, I.P.; Reis, N.R. The availability of piperaceae and the search for this resource by carollia perspicillata (linnaeus) (chiroptera, phyllostomidae, carolliinae) in Parque Municipal Arthur Thomas, Londrina, Paraná, Brazil. Rev. Bras. Zool. 2004, 21, 371–377. [Google Scholar] [CrossRef]
- Marinho-Filho, J.S. The coexistence of two frugivorous bat species and the phenology of their food plants in brazil. J. Trop. Ecol. 1991, 7, 59–67. [Google Scholar] [CrossRef]
- Mikich, S.B. A dieta dos morcegos frugívoros (Mammalia, Chiroptera, Phyllostomidae) de um pequeno remanescente de Floresta Estacionai Semidecidual do sul do Brasil. Rev. Bras. Zool. 2002, 19, 239–249. [Google Scholar] [CrossRef]
- Martius, K.F.P.; Urban, I.; Eichler, A.W. Flora Brasiliensis; Stephan Endlicher: Vienna, Austria, 1844; Volume 3. [Google Scholar]
- Bolson, M.; Hefler, S.M.; Dall’Oglio Chaves, E.I.; Gasparotto Junior, A.; Cardozo Junior, E.L. Ethno-medicinal study of plants used for treatment of human ailments, with residents of the surrounding region of forest fragments of Parana, Brazil. J Ethnopharmacol. 2015, 161, 1–10. [Google Scholar] [CrossRef] [PubMed]
- Somavilla, N.; Dorow, T.S.C. Levantamento das plantas medicinais utilizadas em bairros de Santa Maria-RS. Ciênc. Nat. 1996, 18, 131–148. [Google Scholar] [CrossRef]
- Di Stasi, L.; Oliveira, G.; Carvalhaes, M.; Queiroz-Junior, M.; Tien, O.; Kakinami, S.; dos Reis, M.S. Medicinal plants popularly used in the Brazilian Tropical Atlantic Forest. Fitoterapia 2002, 73, 69–91. [Google Scholar] [CrossRef]
- Zuchiwschi, E.; Fantini, A.C.; Alves, A.C.; Peroni, N. Limitations of native forest species use may contribute to erosion of traditional and local ecological knowledge among family farmers. Acta Bot. Bras. 2010, 24, 270–282. [Google Scholar] [CrossRef]
- Brandão, M.D.G.L.; Cosenza, G.P.; Pereira, F.L.; Vasconcelos, A.S.; Fagg, C.W. Changes in the trade in native medicinal plants in Brazilian public markets. Environ. Monit. Assess. 2013, 185, 7013–7023. [Google Scholar] [CrossRef]
- Margonari, N. Florais de Saint Germain: Os Doze Raios Divinos; Florais de Saint Ger Publisher: São Paulo, Brazil, 1999. [Google Scholar]
- Barros, J.F.P. A Floresta Sagrada de Ossaim: O Segredo das Folhas; Pallas Publisher: Rio de Janeiro, Brazil, 2015. [Google Scholar]
- Guedes, R.R.; Profice, S.R.; Costa, E.D.L.; Baumgratz, J.F.A.; De Lima, H.C. Plantas utilizadas em rituais afro-brasileiros no Estado do Rio de Janeiro—um ensaio Etnobotânico. Rodriguésia 1985, 37, 3–9. [Google Scholar] [CrossRef][Green Version]
- Rwanda, A.D. Banhos, Defumações e Amacis da Umbanda; Spiritualista Publisher: Rio de Janeiro, Brazil, 1954. [Google Scholar]
- Batista, J.M.; Batista, A.N.L.; Rinaldo, D.; Vilegas, W.; Ambrósio, D.L.; Cicarelli, R.M.B.; Bolzani, V.S.; Kato, M.J.; Nafie, L.A.; Lopez, S.N.; et al. Absolute Configuration and Selective Trypanocidal Activity of Gaudichaudianic Acid Enantiomers. J. Nat. Prod. 2011, 74, 1154–1160. [Google Scholar] [CrossRef]
- Junior, J.M.B.; Lopes, A.A.; Ambrósio, D.L.; Regasini, L.O.; Kato, M.; Bolzani, V.; Cicarelli, R.M.B.; Furlan, M. Natural Chromenes and Chromene Derivatives as Potential Anti-trypanosomal Agents. Biol. Pharm. Bull. 2008, 31, 538–540. [Google Scholar] [CrossRef]
- Lopes, A.A.; Baldoqui, D.C.; López, S.N.; Kato, M.J.; Bolzani, V.D.S.; Furlan, M. Biosynthetic origins of the isoprene units of gaudichaudianic acid in Piper gaudichaudianum (Piperaceae). Phytochemistry 2007, 68, 2053–2058. [Google Scholar] [CrossRef] [PubMed]
- Péres, V.F.; Saffi, J.; Melecchi, M.I.S.; Abad, F.C.; de Assis Jacques, R.; Martinez, M.M.; Oliveira, E.C.; Caramão, E.B. Comparison of soxhlet, ultrasound-assisted and pressurized liquid extraction of terpenes, fatty acids and Vitamin E from Piper gaudichaudianum Kunth. J. Chromatogr. A 2006, 1105, 115–118. [Google Scholar] [CrossRef]
- Peres, V.F.; Saffi, J.; Melecchi, M.I.S.; Abad, F.C.; Martinez, M.M.; Oliveira, E.C.; Jacques, R.; Caramão, E.B. Optimization of pressurized liquid extraction of Piper gaudichaudianum Kunth leaves. J. Chromatogr. A 2006, 1105, 148–153. [Google Scholar] [CrossRef] [PubMed]
- Rorig, L.R.; Poser, G.L.V. Investigação fitoquímica em espécies de piperaceae. Rev. Bras. Farm. 1991, 72, 15–17. [Google Scholar]
- Andrade, E.H.A.; Zoghbi, M.D.G.B.; Santos, A.S.; Maia, J.G.S. Essential oils of Piper gaudichaudianum kunth and P. regnellii (Miq.) C. DC. J. Essent. Oil Res. 1998, 10, 465–467. [Google Scholar] [CrossRef]
- Chaaban, A.; Santos, V.M.C.S.; Gomes, E.N.; Martins, C.E.N.; Amaral, W.D.; Deschamps, C.; Molento, M.B. Chemical composition of Piper gaudichaudianum essential oil and its bioactivity against Lucilia cuprina (Diptera: Calliphoridae). J. Essent. Oil Res. 2018, 30, 159–166. [Google Scholar] [CrossRef]
- Krinski, D.L.; Foerster, A. Toxicity of essential oils from leaves of piperaceae species in rice stalk stink bug eggs, Tibraca limbativentris (hemiptera: Pentatomidae). Ciênc. Agrotecnologia 2016, 40, 676–687. [Google Scholar] [CrossRef]
- De Morais, S.M.; Facundo, V.A.; Bertini, L.M.; Cavalcanti, E.S.B.; Júnior, J.F.D.A.; Ferreira, S.A.; de Brito, E.S.; Neto, M.A.D.S. Chemical composition and larvicidal activity of essential oils from Piper species. Biochem. Syst. Ecol. 2007, 35, 670–675. [Google Scholar] [CrossRef]
- Péres, V.; Moura, D.; Sperotto, A.; Damasceno, F.; Caramão, E.; Zini, C.; Saffi, J. Chemical composition and cytotoxic, mutagenic and genotoxic activities of the essential oil from Piper gaudichaudianum Kunth leaves. Food Chem. Toxicol. 2009, 47, 2389–2395. [Google Scholar] [CrossRef]
- Schindler, B.; Heinzmann, B.M. Piper gaudichaudianum Kunth: Seasonal Characterization of the Essential Oil Chemical Composition of Leaves and Reproductive Organs. Braz. Arch. Biol. Technol. 2017, 60, 1–11. [Google Scholar] [CrossRef]
- Sperotto, A.; Moura, D.; Péres, V.; Damasceno, F.; Caramão, E.; Henriques, J.; Saffi, J. Cytotoxic mechanism of Piper gaudichaudianum Kunth essential oil and its major compound nerolidol. Food Chem. Toxicol. 2013, 57, 57–68. [Google Scholar] [CrossRef]
- Von Poser, G.L.; Rörig, L.R.; Henriques, A.T.; Lamaty, G.; Menut, C.; Bessiere, J.M. Aromatic plants from brazil. III. The chemical composition of Piper gaudichaudianum kunth and P. Mikanianum (kunth) steudel essential oils. J. Essent. Oil Res. 1994, 6, 337–340. [Google Scholar] [CrossRef]
- De Souza, M.T.; de Souza, M.T.; Bernardi, D.; Krinski, D.; de Melo, D.J.; da Costa Oliveira, D.; Rakes, M.; Zarbin, P.H.G.; de Noronha Sales Maia, B.H.L.; Zawadneak, M.A.C. Chemical composition of essential oils of selected species of Piper and their insecticidal activity against Drosophila suzukii and Trichopria anastrephae. Environ. Sci. Pollut. Res. 2020, 27, 13056–13065. [Google Scholar] [CrossRef] [PubMed]
- Bernuci, K.Z.; Iwanaga, C.C.; de Andrade, C.M.M.F.; Lorenzetti, F.B.; Torres-Santos, E.C.; Faiões, V.D.S.; Gonçalves, J.E.; Amaral, W.D.; Deschamps, C.; Scodro, R.B.D.L.; et al. Evaluation of Chemical Composition and Antileishmanial and Antituberculosis Activities of Essential Oils of Piper Species. Molecules 2016, 21, 1698. [Google Scholar] [CrossRef] [PubMed]
- Finato, A.C.; Fraga-Silva, T.F.; Prati, A.U.C.; Júnior, A.A.D.S.; Mazzeu, B.F.; Felippe, L.G.; Pinto, R.A.; Golim, M.D.A.; Arruda, M.S.P.; Furlan, M.; et al. Crude leaf extracts of Piperaceae species downmodulate inflammatory responses by human monocytes. PLoS ONE 2018, 13, e0198682. [Google Scholar] [CrossRef] [PubMed]
- Lago, J.H.; Ramos, C.S.; Casanova, D.C.; Morandim Ade, A.; Bergamo, D.C.; Cavalheiro, A.J.; Bolzani Vda, S.; Furlan, M.; Guimaraes, E.F.; Young, M.C.; et al. Benzoic acid derivatives from Piper species and their fungitoxic activity against cladosporium cladosporioides and C. Sphaerospermum. J. Nat. Prod. 2004, 67, 1783–1788. [Google Scholar] [CrossRef] [PubMed]
- Moreira, D.L.; Júnior, C.R.L.; Souza, P.; Cardoso, G.; Pereira, N.; Kaplan, M.A. Estudos fitoquímico e farmacológico de Piper gaudichaudianum kunth (piperaceae). Rev. Bras. Cienc. 2001, 80, 29–32. [Google Scholar]
- Parmar, V.S.; Jain, S.C.; Bisht, K.S.; Jain, R.; Taneja, P.; Jha, A.; Tyagi, O.D.; Prasad, A.K.; Wengel, J.; Olsen, C.E.; et al. Phytochemistry of the genus Piper. Phytochemistry 1997, 46, 597–673. [Google Scholar] [CrossRef]
- Puhl, M.C.M.N.; Cortez, D.A.G.; Ueda-Nakamura, T.; Nakamura, C.V.; Filho, B.P.D. Antimicrobial Activity of Piper gaudichaudianum Kuntze and Its Synergism with Different Antibiotics. Molecules 2011, 16, 9925–9938. [Google Scholar] [CrossRef]
- Defaveri, A.C.A.; Sato, A.; Borré, L.B.; Aguiar, D.L.M.; Gil, R.A.; Arruda, R.D.; Riehl, C.A.S. Eugenia neonitida Sobral and Eugenia rotundifolia Casar. (Myrtaceae) essential oils: Composition, seasonality influence, antioxidant activity and leaf histochemistry. J. Braz. Chem. Soc. 2011, 22, 1531–1538. [Google Scholar] [CrossRef]
- Karagoz, H.; Cakmakci, R.; Hosseinpour, A.H.; Ozkan, G.; Haliloglu, K. Analysis of genetic variation and population structure among of oregano (Origanum acutidens L.) accessions revealed by agro-morphological traits, oil constituents and retrotransposon-based inter-primer binding sites (iPBS) markers. Genet. Resour. Crop. Evol. 2020, 67, 1367–1384. [Google Scholar] [CrossRef]
- Sangwan, R.S.; Farooqi, A.; Shabih, F.; Sangwan, R.S. Regulation of essential oil production in plants. Plant Growth Regul. 2001, 34, 3–21. [Google Scholar] [CrossRef]
- Sadgrove, N.J. Comparing essential oils from Australia’s ‘victorian christmas bush’ (prostanthera lasianthos labill., lamiaceae) to closely allied new species: Phenotypic plasticity and taxonomic variability. Phytochemistry 2020, 176, 112403. [Google Scholar] [CrossRef]
- Sadgrove, N.; Padilla-González, G.; Green, A.; Langat, M.; Mas-Claret, E.; Lyddiard, D.; Klepp, J.; Legendre, S.; Greatrex, B.; Jones, G.; et al. The Diversity of Volatile Compounds in Australia’s Semi-Desert Genus Eremophila (Scrophulariaceae). Plants 2021, 10, 785. [Google Scholar] [CrossRef]
- Brückner, A.; Heethoff, M. A chemo-ecologists’ practical guide to compositional data analysis. Chemoecology 2017, 27, 33–46. [Google Scholar] [CrossRef]
- Kessler, A.; Kalske, A. Plant Secondary Metabolite Diversity and Species Interactions. Annu. Rev. Ecol. Evol. Syst. 2018, 49, 115–138. [Google Scholar] [CrossRef]
- Zidorn, C. Plant chemophenetics—A new term for plant chemosystematics/plant chemotaxonomy in the macro-molecular era. Phytochemistry 2019, 163, 147–148. [Google Scholar] [CrossRef] [PubMed]
- Feng, X.; Zhang, W.; Wu, W.; Bai, R.; Kuang, S.; Shi, B.; Li, D. Chemical composition and diversity of the essential oils of Juniperus rigida along the elevations in Helan and Changbai Mountains and correlation with the soil characteristics. Ind. Crop. Prod. 2021, 159, 113032. [Google Scholar] [CrossRef]
- Gouyon, P.H.; Vernet, P.; Guillerm, J.L.; Valdeyron, G. Polymorphisms and environment: The adaptive value of the oil polymorphisms in Thymus vulgaris L. Heredity 1986, 57, 59–66. [Google Scholar] [CrossRef]
- Mártonfi, P.; Grejtovský, A.; Repčák, M. Chemotype pattern differentiation of Thymus pulegioides on different substrates. Biochem. Syst. Ecol. 1994, 22, 819–825. [Google Scholar] [CrossRef]
- Shannon, C.E. A mathematical theory of communication. Bell Syst. Tech. J. 1948, 27, 379–423. [Google Scholar] [CrossRef]
- Kfoury, N.; Scott, E.; Orians, C.; Ahmed, S.; Cash, S.B.; Griffin, T.; Matyas, C.; Stepp, J.R.; Han, W.; Xue, D.; et al. Plant-Climate Interaction Effects: Changes in the Relative Distribution and Concentration of the Volatile Tea Leaf Metabolome in 2014–2016. Front. Plant Sci. 2019, 10, 1518. [Google Scholar] [CrossRef]
- Simpson, E.H. Measurement of diversity. Nature 1949, 163, 688. [Google Scholar] [CrossRef]
- Pielou, E. Species-diversity and pattern-diversity in the study of ecological succession. J. Theor. Biol. 1966, 10, 370–383. [Google Scholar] [CrossRef]
- Iason, G.R.; Lennon, J.J.; Pakeman, R.J.; Thoss, V.; Beaton, J.K.; Sim, D.A.; Elston, D.A. Does chemical composition of individual scots pine trees determine the biodiversity of their associated ground vegetation? Ecol. Lett. 2005, 8, 364–369. [Google Scholar] [CrossRef]
- Sørensen, T.A. A method of establishing groups of equal amplitude in plant sociology based on similarity of species content and its application to analyses of the vegetation on danish commons. Biol. Skar. 1948, 5, 1–34. [Google Scholar]
- Jaccard, P. Distribution de la flore alpine dans le bassin des dranses et dans quelques régions voisines. Bull. Soc. Vaud. Sci. Nat. 1901, 37, 241–272. [Google Scholar] [CrossRef]
- Cody, M.L. Towards a theory of continental species diversities. In Ecology and Evolution of Communities; Harvard University Press: Cambridge, MA, USA, 1975; pp. 214–257. [Google Scholar]
- Salazar, D.; Jaramillo, A.; Marquis, R.J. The impact of plant chemical diversity on plant–herbivore interactions at the community level. Oecologia 2016, 181, 1199–1208. [Google Scholar] [CrossRef]
- Gottlieb, O.R. Micromolecular Evolution, Systematics and Ecology: An Essay Into a Novel Botanical Discipline; Springer Science & Business Media: Berlin/Heidelberg, Germany, 2012. [Google Scholar]
- Gottlieb, O.R.; Borin, M.R.D.M.B. Químico-biologia quantitativa: Um novo paradigma? Quím. Nova. 2012, 35, 2105–2114. [Google Scholar] [CrossRef][Green Version]
- Reynolds, T. The evolution of chemosystematics. Phytochemistry 2007, 68, 2887–2895. [Google Scholar] [CrossRef]
- Gottlieb, O.R. The role of oxygen in phytochemical evolution towards diversity. Phytochemistry 1989, 28, 2545–2558. [Google Scholar] [CrossRef]
- Hendrickson, J.B.; Cram, D.J.; Hammond, G.S. Organic Chemistry, 3rd ed.; McGraw-Hill: New York, NY, USA, 1970. [Google Scholar]
- Emerenciano, V.P.; Cabrol-Bass, D.; Ferreira, M.J.; Alvarenga, S.A.; Brant, A.J.; Scotti, M.T.; Barbosa, K.O. Chemical evolution in the asteraceae. The oxidation-reduction mechanism and production of secondary metabolites. Nat. Prod. Commun. 2006, 1, 1934578X0600100612. [Google Scholar] [CrossRef]
- Emerenciano, V.P.; Rodrigues, G.V.; Alvarenga, S.A.V.; Macari, P.A.T.; Kaplan, M.A.C. Um novo método para agrupar parâmetros quimiotaxonômicos. Quím. Nova. 1998, 21, 125–129. [Google Scholar] [CrossRef][Green Version]
- Sayuri, V.A.; Romoff, P.; Fávero, O.A.; Ferreira, M.J.P.; Lago, J.H.G.; Buturi, F.O.S. Chemical Composition, Seasonal Variation, and Biosynthetic Considerations of Essential Oils from Baccharis microdonta and B. elaeagnoides (Asteraceae). Chem. Biodivers. 2010, 7, 2771–2782. [Google Scholar] [CrossRef] [PubMed]
- Gottlieb, O.R.; Kaplan, M.A.C. Phytochemical Evolution: The Redox Theory. Nat. Prod. Lett. 1993, 2, 171–176. [Google Scholar] [CrossRef]
- Pilon, A.C.; Selegato, D.M.; Fernandes, R.P.; Bueno, P.C.; Pinho, D.R.; Neto, F.C.; Freire, R.T.; Gamboa, I.C.; Bolzani, V.S.; Lopes, N.P. Metabolômica de plantas: Métodos e desafios. Quím. Nova. 2020, 43, 329–354. [Google Scholar] [CrossRef]
- Santos, T.G. Composição Química e Atividade Antimicrobiana dos Óleos Essenciais de Três Espécies do Gênero Piper e de Baccharis Semiserrata DC; Regional University of Blumenau: Blumenau, Brazil, 2009. [Google Scholar]
- Mattana, R.S.; Vieira, M.A.R.; Marchese, J.A.; Ming, L.C.; Marques, M. Shade level effects on yield and chemical composition of the leaf essential oil of Pothomorphe umbellata (L.) Miquel. Sci. Agricola 2010, 67, 414–418. [Google Scholar] [CrossRef]
- Saleh, M. Effects of light upon quantity and quality of Matricaria chamomilla L. oil. 2. Preliminary study of supplementary coloured light effects under controlled conditions. Pharmazie 1972, 27, 608–611. [Google Scholar] [PubMed]
- Marchese, J.A.; Figueira, G.M. The use of pre and post-harvest technologies and good agricultural practices in the production of medicinal and aromatic plants. Rev. Bras. Plantas Med. 2005, 7, 86–96. [Google Scholar]
- Mattana, R.S.; Ming, L.C.; Marchese, J.A.; Marques, M.O.M. Biomass production in plants of Pothomorphe umbellata (L.) miq. Submitted to differents shade levels. Rev. Bras. Plantas Med. 2006, 8, 83–85. [Google Scholar]
- Rehman, R.; Hanif, M.A.; Mushtaq, Z.; Al-Sadi, A. Biosynthesis of essential oils in aromatic plants: A review. Food Rev. Int. 2016, 32, 117–160. [Google Scholar] [CrossRef]
- Thakur, M.; Kumar, R. Microclimatic buffering on medicinal and aromatic plants: A review. Ind. Crop. Prod. 2020, 160, 113144. [Google Scholar] [CrossRef]
- Morandim, A.D.A.; Pin, A.R.; Pietro, N.A.; Alecio, A.C.; Kato, M.J.; Young, C.M.; Oliveira, J.E.; Furlan, M. Composition and screening of antifungal activity against cladosporium sphaerospermum and cladosporium cladosporioides of essential oils of leaves and fruits of Piper species. Afri. J. Biotechnol. 2010, 9, 6135–6139. [Google Scholar]
- Navickiene, H.M.D.; Morandim, A.D.A.; Alécio, A.C.; Regasini, L.O.; Bergamo, D.C.B.; Telascrea, M.; Cavalheiro, A.J.; Lopes, M.N.; Bolzani, V.D.S.; Furlan, M.; et al. Composition and antifungal activity of essential oils from Piper aduncum, Piper arboreum and Piper tuberculatum. Quím. Nova. 2006, 29, 467–470. [Google Scholar] [CrossRef]
- Andrade, E.H.A.; Ribeiro, A.F.; Guimaraes, E.F.; Maia, J.G.S. Essential Oil Composition of Piper Manausense Yuncker. J. Essent. Oil Bear. Plants 2005, 8, 295–299. [Google Scholar] [CrossRef]
- Krinski, D.; Foerster, L.; Deschamps, C. Ovicidal effect of the essential oils from 18 brazilian Piper species: Controlling Anticarsia gemmatalis (Lepidoptera, Erebidae) at the initial stage of development. Acta Sci. Agron. 2018, 40, 35273. [Google Scholar] [CrossRef]
- Da Silva, A.C.A.; Matias, E.F.F.; Rocha, J.E.; de Araújo, A.C.J.; de Freitas, T.S.; Campina, F.F.; Costa, M.D.S.; Silva, L.E.; Amaral, W.D.; Maia, B.H.L.N.S.; et al. Gas chromatography coupled to mass spectrometry (GC-MS) characterization and evaluation of antibacterial bioactivities of the essential oils from Piper arboreum Aubl., Piper aduncum L. e Piper gaudichaudianum Kunth. Z. Naturforsch. C J. Biosci. 2021, 76, 35–42. [Google Scholar] [CrossRef] [PubMed]
- Quiqui, E.M.D.; Deschamps, C.; Amaral, W.; Sipriano, R.R.; Machado, M.P. Yield and chemical composition of essential oil of piperaceae in one segment of the semi deciduous forest of paraná state, brazil, in seasonal samplings. Int. J. Adv. Sci. Eng. Inf. Technol. 2019, 6, 355–367. [Google Scholar]
- Ramos, Y.J.; Moreira, D.L. Seasonal study of essential oil from aerial parts of peperomia galioides kunth (piperaceae). Rev. Virtual Quím. 2019, 11, 1540–1550. [Google Scholar] [CrossRef]
- Barros, F.M.C.D.; Zambarda, E.D.O.; Heinzmann, B.M.; Mallmann, C.A. Variabilidade sazonal e biossíntese de terpenóides presentes no óleo essencial de lippia alba (mill.) ne brown (verbenaceae). Quím. Nova. 2009, 32, 861–867. [Google Scholar] [CrossRef]
- Bergman, M.E.; Davis, B.; Phillips, M.A. Medically Useful Plant Terpenoids: Biosynthesis, Occurrence, and Mechanism of Action. Molecules 2019, 24, 3961. [Google Scholar] [CrossRef] [PubMed]
- Cheng, A.-X.; Lou, Y.-G.; Mao, Y.-B.; Lu, S.; Wang, L.-J.; Chen, X.-Y. Plant Terpenoids: Biosynthesis and Ecological Functions. J. Integr. Plant Biol. 2007, 49, 179–186. [Google Scholar] [CrossRef]
- Silva, A.V.; Vieira, M.F. Phenology of two co-occurring Piper (piperaceae) species in brazil. Aust. J. Bot. 2015, 63, 581–589. [Google Scholar] [CrossRef]
- Daghbouche, S.; Ammar, I.; Rekik, D.M.; Djazouli, Z.-E.; Zebib, B.; Merah, O. Effect of phenological stages on essential oil composition of Cytisus triflorus L’Her. J. King Saud Univ.-Sci. 2020, 32, 2383–2387. [Google Scholar] [CrossRef]
- Ben Farhat, M.; Jordán, M.J.; Chaouch-Hamada, R.; Landoulsi, A.; Sotomayor, J.A. Phenophase effects on sage (Salvia officinalis L.) yield and composition of essential oil. J. Appl. Res. Med. Aromat. Plants 2016, 3, 87–93. [Google Scholar] [CrossRef]
- Hazrati, S.; Mollaei, S.; Rabbi Angourani, H.; Hosseini, S.J.; Sedaghat, M.; Nicola, S. How do essential oil composition and phenolic acid profile of heracleum persicum fluctuate at different phenological stages? Food Sci. Nutr. 2020, 8, 6192–6206. [Google Scholar] [CrossRef] [PubMed]
- Gomes, A.F.; Almeida, M.P.; Leite, M.F.; Schwaiger, S.; Stuppner, H.; Halabalaki, M.; Amaral, J.G.; David, J.M. Seasonal variation in the chemical composition of two chemotypes of Lippia alba. Food Chem. 2019, 273, 186–193. [Google Scholar] [CrossRef] [PubMed]
- Dobson, H.E.M. Relationship between floral fragrance composition and type of pollinator. In Biology Of Floral Scent; Dudareva, N., Pichersky, E., Eds.; CRC Press: Boca Raton, FL, USA, 2006. [Google Scholar]
- Balao, F.; Herrera, J.; Talavera, S.; Dötterl, S. Spatial and temporal patterns of floral scent emission in Dianthus inoxianus and electroantennographic responses of its hawkmoth pollinator. Phytochemistry 2011, 72, 601–609. [Google Scholar] [CrossRef]
- Bouwmeester, H.J.; Verstappen, F.W.; Posthumus, M.A.; Dicke, M. Spider Mite-Induced (3S)-(E)-Nerolidol Synthase Activity in Cucumber and Lima Bean. The First Dedicated Step in Acyclic C11-Homoterpene Biosynthesis. Plant Physiol. 1999, 121, 173–180. [Google Scholar] [CrossRef]
- Donath, J.; Boland, W. Biosynthesis of acyclic homoterpenes: Enzyme selectivity and absolute configuration of the nerolidol precursor. Phytochemistry 1995, 39, 785–790. [Google Scholar] [CrossRef]
- Tholl, D.; Sohrabi, R.; Huh, J.-H.; Lee, S. The biochemistry of homoterpenes—Common constituents of floral and herbivore-induced plant volatile bouquets. Phytochemistry 2011, 72, 1635–1646. [Google Scholar] [CrossRef]
- Pichersky, E.; Gershenzon, J. The formation and function of plant volatiles: Perfumes for pollinator attraction and defense. Curr. Opin. Plant Biol. 2002, 5, 237–243. [Google Scholar] [CrossRef]
- Chautá, A.; Whitehead, S.; Márquez, M.A.; Poveda, K. Leaf herbivory imposes fitness costs mediated by hummingbird and insect pollinators. PLoS ONE 2017, 12, e0188408. [Google Scholar] [CrossRef]
- Parachnowitsch, A.L.; Manson, J.S. The chemical ecology of plant-pollinator interactions: Recent advances and future directions. Curr. Opin. Insect Sci. 2015, 8, 41–46. [Google Scholar] [CrossRef]
- Kárpáti, Z.; Knaden, M.; Reinecke, A.; Hansson, B.S. Intraspecific Combinations of Flower and Leaf Volatiles Act Together in Attracting Hawkmoth Pollinators. PLoS ONE 2013, 8, e72805. [Google Scholar] [CrossRef]
- Nsangou, M.F.; Happi, E.N.; Fannang, S.V.; Atangana, A.F.; Waffo, A.F.K.; Wansi, J.D.; Isyaka, S.M.; Sadgrove, N.; Sewald, N.; Langat, M.K. Chemical Composition and Synergistic Antimicrobial Effects of a Vegetatively Propagated Cameroonian Lemon, Citrus × limon (L.) Osbeck. ACS Food Sci. Technol. 2021, 1, 354–361. [Google Scholar] [CrossRef]
- Connahs, H.; Rodríguez-Castañeda, G.; Walters, T.; Walla, T.; Dyer, L. Geographic Variation in Host-Specificity and Parasitoid Pressure of an Herbivore (Geometridae) Associated with the Tropical Genus Piper (Piperaceae). J. Insect Sci. 2009, 9, 28. [Google Scholar] [CrossRef] [PubMed]
- Dudareva, N.; Martin, D.; Kish, C.M.; Kolosova, N.; Gorenstein, N.; Faldt, J.; Miller, B.; Bohlmann, J. (e)-beta-ocimene and myrcene synthase genes of floral scent biosynthesis in snapdragon: Function and expression of three terpene synthase genes of a new terpene synthase subfamily. Plant Cell 2003, 15, 1227–1241. [Google Scholar] [CrossRef] [PubMed]
- Gil, M.; Pontin, M.; Berli, F.; Bottini, R.; Piccoli, P. Metabolism of terpenes in the response of grape (Vitis vinifera L.) leaf tissues to UV-B radiation. Phytochemistry 2012, 77, 89–98. [Google Scholar] [CrossRef] [PubMed]
- Behnke, K.; Kaiser, A.; Zimmer, I.; Brüggemann, N.; Janz, D.; Polle, A.; Hampp, R.; Hänsch, R.; Popko, J.; Schmitt-Kopplin, P.; et al. RNAi-mediated suppression of isoprene emission in poplar transiently impacts phenolic metabolism under high temperature and high light intensities: A transcriptomic and metabolomic analysis. Plant Mol. Biol. 2010, 74, 61–75. [Google Scholar] [CrossRef]
- Loreto, F.; Dicke, M.; Schnitzler, J.-P.; Turlings, T.C.J. Plant volatiles and the environment. Plant Cell Environ. 2014, 37, 1905–1908. [Google Scholar] [CrossRef]
- Granshaw, T.; Tsukamoto, M.; Brody, S. Circadian Rhythms in Neurospora Crassa: Farnesol or Geraniol Allow Expression of Rhythmicity in the Otherwise Arrhythmic Strains frq 10, wc-1, and wc-2. J. Biol. Rhythm. 2003, 18, 287–296. [Google Scholar] [CrossRef]
- Apostol, S. Rhythmobiochemistry: Modifications in photoassimilating pigments rhythms by pollution. Rom. J. Biol.-Plant Biol. 2010, 55, 37–45. [Google Scholar]
- Shawa, N.; E Rae, D.; Roden, L.C. Impact of seasons on an individual’s chronotype: Current perspectives. Nat. Sci. Sleep 2018, 10, 345–354. [Google Scholar] [CrossRef]
- Bülow, N.; König, W.A. The role of germacrene D as a precursor in sesquiterpene biosynthesis: Investigations of acid catalyzed, photochemically and thermally induced rearrangements. Phytochemistry 2000, 55, 141–168. [Google Scholar] [CrossRef]
- Verma, R.S.; Singh, S.; Padalia, R.C.; Tandon, S.; Kt, V.; Chauhan, A. Essential oil composition of the sub-aerial parts of eight species of Cymbopogon (Poaceae). Ind. Crop. Prod. 2019, 142, 111839. [Google Scholar] [CrossRef]
- Dudareva, N.; Klempien, A.; Muhlemann, J.; Kaplan, I. Biosynthesis, function and metabolic engineering of plant volatile organic compounds. New Phytol. 2013, 198, 16–32. [Google Scholar] [CrossRef]
- Zheng, R.; Liu, C.; Wang, Y.; Luo, J.; Zeng, X.; Ding, H.; Xiao, W.; Gan, J.; Wang, C. Expression of MEP Pathway Genes and Non-volatile Sequestration are Associated with Circadian Rhythm of Dominant Terpenoids Emission in Osmanthus fragrans Lour. Flowers. Front. Plant Sci. 2017, 8, 1869. [Google Scholar] [CrossRef]
- Liebelt, D.J.; Jordan, J.T.; Doherty, C.J. Only a matter of time: The impact of daily and seasonal rhythms on phytochemicals. Phytochem. Rev. 2019, 18, 1409–1433. [Google Scholar] [CrossRef]
- Toyota, M.; Koyama, H.; Mizutani, M.; Asakawa, Y. (−)-ent-spathulenol isolated from liverworts is an artefact. Phytochemistry 1996, 41, 1347–1350. [Google Scholar] [CrossRef]
- Sadgrove, N.J.; Telford, I.R.; Padilla-Gonzalez, G.; Greatrex, B.; Bruhl, J.J. GC–MS ‘chemophenetics’ on Australian pink-flowered Phebalium (Rutaceae) using herbarium leaf material demonstrates phenetic agreement with putative new species. Phytochem. Lett. 2020, 38, 112–120. [Google Scholar] [CrossRef]
- Dietz, K.-J.; Pfannschmidt, T. Novel Regulators in Photosynthetic Redox Control of Plant Metabolism and Gene Expression. Plant Physiol. 2011, 155, 1477–1485. [Google Scholar] [CrossRef] [PubMed]
- Jaiswal, D.; Agrawal, S. Ultraviolet-B induced changes in physiology, phenylpropanoid pathway, and essential oil composition in two Curcuma species (C. caesia Roxb. and C. longa L.). Ecotoxicol. Environ. Saf. 2021, 208, 111739. [Google Scholar] [CrossRef]
- Flora do Brasil. Available online: http://floradobrasil.jbrj.gov.br/jabot/floradobrasil/FB12780 (accessed on 10 February 2021).
- Guo, X.W.; Fernando, W.G.D.; Seow-Brock, H.Y. Population Structure, Chemotype Diversity, and Potential Chemotype Shifting of Fusarium graminearum in Wheat Fields of Manitoba. Plant Dis. 2008, 92, 756–762. [Google Scholar] [CrossRef]
- Nielsen, J.A.; Whigham, P.A.; Frew, R.D.; Callaway, R.M.; Dickinson, K.J.M. Invasion essentials: Does secondary chemistry plasticity contribute to the invasiveness of Thymus vulgaris L.? Chemoecology 2014, 24, 15–27. [Google Scholar] [CrossRef]
- Oliveira, G.L.; Moreira, D.D.L.; Mendes, A.D.R.; Guimaraes, E.F.; Figueiredo, L.S.; Kaplan, M.A.C.; Martins, E.R. Growth study and essential oil analysis of Piper aduncum from two sites of Cerrado biome of Minas Gerais State, Brazil. Rev. Bras. Farm. 2013, 23, 743–753. [Google Scholar] [CrossRef]
- Dool, H.V.D.; Kratz, P.D. A generalization of the retention index system including linear temperature programmed gas—liquid partition chromatography. J. Chromatogr. A 1963, 11, 436–471. [Google Scholar] [CrossRef]
- Adams, R.P. Identification of Essential Oil Components by Gas Chromatography/Mass Spectrometry, 4th ed.; Allured Publishing Corporation: Carol Stream, IL, USA, 2007; ISBN 978-1-932633-21-4. [Google Scholar]
- Sadgrove, N.J.; Jones, G.L. Cytogeography of essential oil chemotypes of Eremophila longifolia F. Muell (Scrophulariaceae). Phytochemistry 2014, 105, 43–51. [Google Scholar] [CrossRef] [PubMed]












| C-Skeleton | Compounds a | RIcalc | RIlit | Relative Peak Area (%) ± SD | |||||||||||
|---|---|---|---|---|---|---|---|---|---|---|---|---|---|---|---|
| Jan | Feb | Mar | Apr | May | Jun | Jul | Aug | Sept | Oct | Nov | Dec | ||||
| Hexane | 3E-Hexenol | 844 | 844 | tr | |||||||||||
| Pinane | α-Pinene | 931 | 932 | 0.2 | 0.2 | 0.3 | |||||||||
| Camphane | Camphene | 956 | 954 | ||||||||||||
| Pinane | β-Pinene | 975 | 979 | 0.6 | 0.5 | 0.5 | 0.1 | ||||||||
| Myrcane | Myrcene | 985 | 988 | 0.3 | |||||||||||
| Menthane | Limonene | 1022 | 1024 | ||||||||||||
| Myrcane | Z-Linalool oxide | 1064 | 1067 | 0.8 | 1.2 | ||||||||||
| Myrcane | Linalool | 1093 | 1095 | 5.4 | 1.2 | 4.3 | 1.2 | ||||||||
| - | Undefined m/z 154 | 1095 | - | 0.4 | |||||||||||
| Nonane | n-Nonanal | 1100 | 1100 | 0.1 | |||||||||||
| Menthane | 1-Terpineol | 1132 | 1130 | 0.3 | |||||||||||
| Camphane | Camphor | 1142 | 1141 | 0.1 | 0.1 | 4.6 | 3.5 | 4.8 | |||||||
| Camphane | Camphene hydrate | 1144 | 1145 | 0.4 | 1.4 | 0.3 | tr | ||||||||
| Menthane | α-Terpineol | 1182 | 1186 | 0.2 | 1.2 | 6.3 | 2.1 | tr | tr | ||||||
| Camphane | Borneol | 1162 | 1165 | ||||||||||||
| Camphane | Bornyl acetate | 1282 | 1285 | tr | 0.3 | ||||||||||
| Undecane | Undecanal | 1303 | 1305 | tr | |||||||||||
| Elemane | Bicycloelemene | 1322 | 1329 | 0.7 | tr | 0.5 | 0.3 | 2.3 | 2.9 | 3.4 | tr | ||||
| Elemane | δ-Elemene | 1332 | 1335 | 0.5 | 3.2 | 3.2 | 5.7 | 4.6 | 3.5 | 6.5 | 2.6 | 3.4 | |||
| Cubebane | α-Cubebene | 1345 | 1348 | 0.3 | tr | 1.2 | 0.4 | 5.6 | 3.4 | 1.2 | 2.8 | ||||
| Myrcane | Neryl acetate | 1356 | 1359 | 1.3 | 0.3 | ||||||||||
| Copaane | α-Ylangene | 1372 | 1373 | 0.3 | |||||||||||
| Copaane | α-Copaene | 1375 | 1374 | 0.4 | 1.6 | 3.8 | 6.3 | 5.3 | 4.9 | 5.9 | 3.2 | ||||
| - | undefined m/z 202 | 1376 | - | 1.2 | |||||||||||
| Myrcane | Geranyl acetate | 1376 | 1379 | 0.3 | tr | 0.4 | |||||||||
| Bourbonane | β-Bourbonene | 1386 | 1387 | 0.1 | 0.1 | tr | 0.1 | ||||||||
| - | undefined m/z 206 | 1387 | - | 0.3 | 1.2 | 2.3 | |||||||||
| Elemane | β-Elemene | 1388 | 1389 | 1.7 | 0.7 | 4.6 | 2.3 | 2.3 | 5.7 | 4.5 | 1.9 | 2.0 | 3.2 | 2.6 | 3.4 |
| Aromadendrane | α-Gurjunene | 1409 | 1409 | 0.2 | 2.3 | 1.1 | 3.2 | 4.1 | 4.6 | ||||||
| Caryophyllane | iso-Caryophyllene | 1411 | 1409 | tr | 0.3 | 1.2 | tr | ||||||||
| Caryophyllane | E-Caryophyllene | 1417 | 1419 | 3.3 | 8.7 | 9.0 | 6.9 | 7.6 | 10.2 | 11.2 | 5.4 | 7.3 | 9.3 | 4.8 | 3.1 |
| Copaane | β-Copaene | 1428 | 1430 | 1.2 | 1.9 | 3.2 | 3.2 | 2.3 | 2.4 | 2.7 | 2.1 | ||||
| Aromadendrane | β-Gurjunene | 1431 | 1434 | 0.9 | 1.2 | 2.0 | 2.2 | ||||||||
| Humulane | β-Humulene | 1433 | 1436 | 2.3 | |||||||||||
| Elemane | γ-Elemene | 1436 | 1437 | 0.8 | 0.2 | 1.2 | 1.8 | 1.1 | 1.2 | 2.7 | |||||
| Aromadendrane | Aromadendrene | 1437 | 1438 | 1.7 | 1.5 | 2.4 | 4.2 | 1.9 | 1.6 | 2.1 | 2.2 | 2.3 | 3.2 | 2.3 | 1.6 |
| Farnesane | Z-β-Farnesene | 1439 | 1440 | ||||||||||||
| Humulane | α-Humulene | 1450 | 1452 | 1.2 | 4.0 | 7.2 | 3.9 | 2.3 | 6.4 | 4.32 | 4.3 | 5.5 | 7.5 | 0.3 | 0.1 |
| Farnesane | E-β-Farnesene | 1453 | 1454 | 1.2 | |||||||||||
| Aromadendrane | allo-Aromadendrene | 1457 | 1458 | 0.4 | 0.8 | 0.2 | 0.9 | ||||||||
| Aromadendrane | dehydro-Aromadendrane | 1459 | 1460 | 2.3 | |||||||||||
| Cadinane | Z-Cadina-1(6),4-diene | 1461 | 1461 | 1.2 | |||||||||||
| Caryophyllane | 9-epi-E-Caryophyllene | 1462 | 1464 | ||||||||||||
| γ-Gurjunene | 1472 | 1475 | 0.2 | 0.5 | 1.6 | 2.1 | 3,2 | ||||||||
| Cadinane | γ-Muurolene | 1477 | 1478 | 1.3 | 0.1 | 0.1 | |||||||||
| Cadinane | Amorpha-4,7(11)-diene | 1479 | 1479 | 1.2 | 0.2 | 0.1 | |||||||||
| Germacrane | Germacrene D | 1481 | 1480 | 0.5 | 7.5 | 4.7 | 5.7 | 5.3 | 2.3 | 7.8 | 1.2 | 1.1 | 4.6 | 1.2 | 4.2 |
| Cadinane | α-Amorphene | 1482 | 1483 | 1.9 | 0.1 | tr | 0.3 | 0.1 | tr | 1.3 | 0.1 | ||||
| Eremophilane | Aristolochene | 1485 | 1487 | tr | tr | tr | |||||||||
| Eudesmane | Z-Eudesma-6,11-diene (Eudesmadiene) | 1488 | 1489 | 3.1 | 4.7 | 8.4 | 10.2 | 14.3 | 15.3 | 11.2 | 9.3 | 10.2 | 7.3 | 2.3 | 4.2 |
| Eudesmane | β-Selinene | 1493 | 1492 | 0.7 | 1.9 | 1.5 | tr | 0.1 | tr | tr | 0.1 | 2.3 | |||
| Cadinane | γ-Amorphene | 1494 | 1495 | 0.4 | tr | 1.0 | 0.9 | 0.1 | 3.4 | ||||||
| Eremophilane | Valencene | 1496 | 1496 | 2.8 | 0.4 | ||||||||||
| Eudesmane | α-Selinene | 1498 | 1498 | 0.3 | 0.9 | 1.8 | 0.2 | 0.8 | 0.2 | 2.0 | |||||
| Bicyclogermacrene | Bicyclogermacrene | 1499 | 1500 | 12.2 | 17.0 | 16.9 | 18.1 | 20.3 | 19.3 | 15.3 | 12.3 | 11.2 | 20.2 | 23.2 | 12.1 |
| Cadinane | α-Muurolene | 1502 | 1500 | 0.5 | 0.1 | tr | 0.1 | tr | |||||||
| Farnesane | E,E-α-Farnesene | 1504 | 1505 | tr | |||||||||||
| Bisabolane | β-Bisabolene | 1506 | 1505 | 0.2 | 0.9 | tr | tr | 0.1 | |||||||
| Cadinane | γ-Cadinene | 1512 | 1513 | 0.5 | 1.0 | 1.0 | 0.1 | tr | 1.2 | 4.2 | 0.1 | 1.0 | |||
| Eudesmane | 7-epi-α-Selinene | 1518 | 1520 | tr | 1.2 | ||||||||||
| Cadinane | δ-Cadinene | 1521 | 1522 | 1.6 | 1.2 | 0.2 | 0.1 | tr | 3.3 | 1.3 | |||||
| Cadinane | Zonarene | 1528 | 1528 | tr | |||||||||||
| Cadinane | Z-Cadina-1,4-diene | 1533 | 1533 | 1.2 | 0.3 | tr | tr | tr | 1.6 | 0.2 | 0.7 | 0.1 | |||
| Cadinane | α-Cadinene | 1537 | 1537 | 2.3 | tr | 0.5 | tr | tr | 1.2 | 1.2 | 2.2 | ||||
| Eudesmane | Selina-3,7(11)-diene | 1545 | 1545 | 0.1 | tr | 2.6 | 0.2 | ||||||||
| Elemane | Elemol | 1548 | 1548 | 0.4 | 0.3 | 0.3 | |||||||||
| Germacrane | Germacrene B | 1557 | 1559 | 2.1 | 1.2 | 2.3 | 5.67 | 1.2 | 1.2 | 3.0 | 2.3 | 7.0 | 5.4 | 2.3 | |
| Cadinane | β-Calacorene | 1564 | 1564 | ||||||||||||
| Farnesane | E-Nerolidol | 1561 | 1561 | 17.6 | 22.9 | 6.3 | 5.8 | 4.3 | 4.2 | 3.8 | 4.6 | 4.3 | 5.3 | 10.3 | 15.9 |
| Farnesane | Z-Nerolidol | 1531 | 1531 | 0.3 | tr | tr | 0.1 | 0.2 | |||||||
| Aromadendrane | Spathulenol | 1576 | 1577 | 1.4 | 1.0 | 3.3 | 2.3 | 1.2 | 2.3 | 1.2 | tr | 2.1 | 1.4 | ||
| Caryophyllane | Caryophyllene oxide | 1582 | 1582 | 1.4 | 1.5 | 1.1 | 1.2 | 1.3 | 1.0 | 2.2 | 2.3 | ||||
| Aromadendrane | Viridiflorol | 1592 | 1592 | 1.8 | 1.2 | 3.2 | 4.4 | 5.8 | tr | 2.2 | 1.9 | 0.3 | 3.5 | 3.6 | |
| Eudesmane | Rosifoliol | 1602 | 1600 | 1.8 | 0.4 | 0.2 | |||||||||
| Aromadendrane | Ledol | 1601 | 1602 | 5.3 | 0.3 | 4.0 | 1.2 | 3.5 | tr | 4.1 | 1.6 | 0.5 | 1.2 | 2.7 | |
| Eudesmane | 5-epi-7-epi-α-Eudesmol | 1606 | 1607 | 0.3 | tr | ||||||||||
| Humulane | Humulene epoxide II | 1608 | 1608 | 3.9 | 0.2 | 0.1 | 0.1 | 1.1 | 0.7 | ||||||
| Cadinane | 1,10-di-epi-Cubenol | 1618 | 1618 | 1.0 | tr | 0.1 | 0.4 | 0.1 | 0.1 | ||||||
| Cadinane | α-Corocalene | 1620 | 1622 | 2.4 | 0.1 | ||||||||||
| Eudesmane | 10-epi-γ-Eudesmol | 1622 | 1622 | 2.3 | |||||||||||
| Cadinane | Muurola-4,10(14)-dien-1-β-ol | 1628 | 1630 | 1.2 | |||||||||||
| Eudesmane | γ-Eudesmol | 1631 | 1630 | 0.3 | |||||||||||
| Cadinane | epi-α-Muurolol | 1640 | 1640 | 1.0 | 1.2 | tr | tr | tr | tr | 0.2 | 0.1 | ||||
| Eudesmane | Selina-3,11-dien-6-α-ol | 1642 | 1642 | 0.5 | |||||||||||
| Cadinane | α-Muurolol | 1644 | 1644 | 0.7 | 1.7 | tr | 0.2 | 0.1 | 2.4 | 1.2 | 0.5 | ||||
| Eudesmane | α-Eudesmol | 1652 | 1652 | 0.4 | 0.6 | 2.4 | 3.5 | tr | 1.0 | tr | 2.9 | tr | 1.0 | ||
| Cadinane | α-Cadinol | 1652 | 1652 | 6.5 | 2.3 | 2.3 | 1.4 | 5.8 | 6.9 | 9.4 | 11.2 | 8.3 | 9.2 | 2.3 | 1.2 |
| Cadinane | Z-Calamenen-10-ol | 1660 | 1660 | tr | |||||||||||
| Eudesmane | 7-epi-α-Eudesmol | 1662 | 1662 | 5.6 | 1.0 | 2.9 | 0.10 | ||||||||
| Caryophyllane | Caryophylla-4(12),8(13)-dien-5α-ol | 1639 | 1639 | 0.2 | tr | tr | tr | tr | tr | tr | |||||
| Caryophyllane | 14-hydroxy-Z-Caryophyllene | 1666 | 1666 | 1.5 | 0.3 | tr | 0.1 | tr | 0.7 | 0.1 | tr | ||||
| Caryophyllane | 14-hydroxy-9-epi-E-Caryophyllene | 1668 | 1668 | 2.9 | tr | ||||||||||
| Cadinane | Cadalene | 1675 | 1675 | 1.7 | 1.0 | ||||||||||
| - | undefined m/z 264 | 1677 | - | 0.4 | 0.4 | 0.1 | 1.2 | ||||||||
| Cadinane | Amorpha-4,9-dien-2-ol | 1700 | 1700 | 0.2 | 0.4 | 0.2 | |||||||||
| Caryophyllane | Caryophyllene acetate | 1701 | 1701 | 0.9 | |||||||||||
| Cadinane | Amorpha-4,9-dien-14-al | 1704 | 1704 | 0.2 | |||||||||||
| Octadecano | n-Octadecane | 1801 | 1800 | tr | 0.4 | 0.2 | |||||||||
| Non-Oxygenated Monoterpenes | 0.6 | 0.6 | 0.7 | 0.7 | 0.0 | 0.0 | 0.0 | 0.0 | 0.0 | 0.0 | 0.0 | 0.0 | |||
| Oxygenated monoterpenes | 7.9 | 0.1 | 7.5 | 17.0 | 9.7 | 0.0 | 0.0 | 0.0 | 0.0 | 0.0 | 0.3 | 0.1 | |||
| Non-Oxygenated Sesquiterpenes | 37.9 | 64.1 | 64.4 | 60.5 | 79.1 | 67.3 | 80.4 | 68.2 | 69.0 | 81.5 | 67.6 | 67.5 | |||
| Oxygenated sesquiterpenes | 50.5 | 33.6 | 24.3 | 16.3 | 10.5 | 24.1 | 15.7 | 30.2 | 29.4 | 18.3 | 27.0 | 29.6 | |||
| Other compounds | 0.0 | 0.1 | 0.0 | 0.0 | 0.0 | 0.0 | 0.0 | 0.1 | 0.0 | 0.0 | 0.4 | 0.2 | |||
| Identified compounds in numbers | 44 | 49 | 41 | 32 | 38 | 26 | 36 | 42 | 37 | 36 | 43 | 43 | |||
| Identified compounds in relative percentage (%) | 96.3 | 98.5 | 96.9 | 94.5 | 99.2 | 91.5 | 96.0 | 98.5 | 98.5 | 99.8 | 95.3 | 97.4 | |||
| Yields (%) | 0.12 | 0.09 | 0.08 | 0.03 | 0.09 | 0.06 | 0.02 | 0.02 | 0.05 | 0.09 | 0.11 | 0.14 | |||
| GMRO b | −3.4 | −3.2 | −3.7 | −4.7 | −4.1 | −5.6 | −4.3 | −3.7 | −4.2 | −4.4 | −3.4 | −3.6 | |||
| C-Skeleton | Compounds a | IRcalc | IRlit | Relative Peak Area (%) ± SD | ||||||||||||||||
|---|---|---|---|---|---|---|---|---|---|---|---|---|---|---|---|---|---|---|---|---|
| Rainy Season (March) | Dry Season (October) | |||||||||||||||||||
| 6 a.m. | 9 a.m. | 12 p.m. | 3 p.m. | 6 p.m. | 9 p.m. | 12 a.m. | 3 a.m. | 6 a.m. | 9 a.m. | 12 p.m. | 3 p.m. | 6 p.m. | 9 p.m. | 12 a.m. | 3 a.m. | |||||
| Myrcane | Linalool | 1093 | 1095 | tr | tr | |||||||||||||||
| Menthane | Limonene | 1021 | 1024 | tr | 0.1 | 0.1 | 0.1 | |||||||||||||
| Menthane | Camphor | 1140 | 1141 | 0.1 | 0.8 | 0.2 | 0.1 | |||||||||||||
| Menthane | α-Terpineol | 1183 | 1186 | 0.1 | 1.0 | 1.4 | 0.1 | 0.1 | ||||||||||||
| Elemane | δ-Elemene | 1331 | 1335 | 0.6 | 3.7 | 3.5 | 3.1 | 0.5 | 0.3 | 6.0 | 0.6 | 3.2 | 3.5 | 3.1 | 0.5 | 0.3 | 9.9 | 6.0 | ||
| Cubebane | α-Cubebene | 1344 | 1348 | tr | 0.3 | 0.3 | 0.2 | 0.7 | 0.1 | 0.3 | 0.1 | 0.5 | 0.2 | tr | tr | tr | ||||
| Myrcane | Neryl acetate | 1353 | 1359 | 1.6 | 2.3 | 3.4 | 0.4 | 0.4 | 2.3 | 3.2 | 1.2 | 0.1 | 1.2 | |||||||
| Copaane | α-Copaene | 1372 | 1374 | 2.2 | 1.6 | 2.1 | 4.1 | 4.4 | 1.3 | 1.6 | 4.3 | 5.1 | 6.3 | 6.8 | 7.1 | 5.4 | 4.3 | 4.2 | 4.3 | |
| - | Undefined m/z 202 | 1379 | - | tr | 2.1 | 1.2 | 0.2 | 0.2 | 0.6 | 0.3 | tr | |||||||||
| Elemane | β-Elemene | 1387 | 1389 | 2.1 | 1.2 | 0.3 | 0.3 | 0.9 | 0.6 | 1.2 | 1.1 | 0.3 | tr | 0.1 | 0.1 | 0.4 | 0.3 | 0.6 | 1.3 | |
| Caryophyllane | iso-Caryophyllene | 1406 | 1409 | 0.2 | 0.3 | 0.4 | 1.2 | 1.5 | 0.1 | tr | 0.6 | 0.5 | 0.3 | 0.2 | 1.0 | 1.7 | 0.7 | 0.1 | 0.8 | |
| Caryophyllane | E-Caryophyllene | 1416 | 1419 | 4.2 | 9.1 | 13.3 | 12.2 | 22.7 | 4.7 | 1.3 | 3.9 | 4.4 | 8.2 | 9.3 | 19.2 | 20.2 | 4.8 | 4.4 | 4.2 | |
| Copaane | β-Copaene | 1428 | 1430 | 0.7 | 0.3 | 0.1 | 0.1 | 0.1 | 0.7 | 0.8 | 1.5 | 1.0 | 0.9 | 0.8 | 0.4 | 0.3 | 1.2 | 1.0 | 1.2 | |
| Aromadendrane | β-Gurjunene | 1431 | 1434 | 0.5 | 0.3 | 0.1 | 2.0 | 0.2 | 0.1 | 0.3 | ||||||||||
| Humulane | β-Humulene | 1435 | 1436 | 1.2 | 2.3 | 3.2 | 3.9 | 4.2 | 0.1 | tr | 0.5 | 3.4 | 3.6 | 4.1 | 4.3 | 3.6 | tr | tr | 3.7 | |
| Elemane | γ-Elemene | 1436 | 1437 | 1.2 | 1.0 | 0.1 | 0.1 | tr | tr | 0.4 | 0.4 | tr | tr | tr | tr | |||||
| Aromadendrane | Aromadendrene | 1438 | 1438 | 2.3 | 1.3 | 1.6 | 2.3 | 3.5 | 1.5 | 0.1 | tr | 3.2 | 3.1 | 2.3 | 1.3 | 2.3 | 1.9 | 1.0 | 1.2 | |
| Humulane | α-Humulene | 1450 | 1452 | 4.0 | 5.2 | 5.0 | 4.7 | 5.4 | 1.3 | 0.6 | 3.4 | 4.3 | 6.6 | 6.0 | 7.2 | 5.6 | 0.4 | 0.1 | 3.2 | |
| Farnesane | E-β-Farnesene | 1452 | 1454 | 1.0 | 1.2 | |||||||||||||||
| Aromadendrane | allo-Aromadendrene | 1457 | 1458 | 1.9 | 0.3 | 0.2 | 0.5 | 0.4 | 1.2 | 1.3 | 1.9 | 1.2 | 1.8 | 2.0 | 2.1 | 2.2 | 0.2 | 0.3 | 2.3 | |
| Cadinane | Amorpha-4,7(11)-diene | 1476 | 1479 | 0.3 | 0.1 | 0.3 | 0.1 | 0.1 | 0.2 | tr | ||||||||||
| Germacrane | Germacrene D | 1481 | 1480 | 1.5 | 5.6 | 6.0 | 5.3 | 6.7 | 1.1 | 0.5 | 2.1 | 2.3 | 8.3 | 9.3 | 6.3 | 5.3 | 3.1 | 3.5 | 2.3 | |
| Cadinane | α-Amorphene | 1482 | 1483 | 0.3 | tr | tr | 0.1 | 2.1 | 1.3 | 1.2 | ||||||||||
| Eudesmane | cis-Eudesma-6,11-diene (Eudesmadiene) | 1486 | 1489 | 18.5 | 4.9 | 1.5 | 3.4 | 4.8 | 19.3 | 21.7 | 16.1 | 6.5 | 2.3 | 2.5 | 4.5 | 3.5 | 8.3 | 12.7 | 5.2 | |
| Eudesmane | β-Selinene | 1490 | 1492 | 0.2 | 0.3 | 0.2 | tr | 3.2 | 3.6 | 2.3 | ||||||||||
| Cadinane | γ-Amorphene | 1493 | 1495 | 0.4 | tr | 0.1 | 0.4 | tr | tr | 0.9 | 1.23 | 4.0 | ||||||||
| Eudesmane | α-Selinene | 1496 | 1498 | 0.2 | 0.1 | 0.8 | 1.5 | 1.6 | ||||||||||||
| Bicyclogermacrane | Bicyclogermacrene | 1498 | 1500 | 15.7 | 19.6 | 19.4 | 19.7 | 19.1 | 13.3 | 14.0 | 14.9 | 13.2 | 28.6 | 26.8 | 18.3 | 18.2 | 11.8 | 10.2 | 12.9 | |
| Cadinane | α-Muurolene | 1504 | 1500 | tr | 0.9 | 0.9 | 0.2 | 0.2 | tr | tr | ||||||||||
| Cadinane | γ-Cadinene | 1510 | 1513 | tr | tr | 0.1 | 0.4 | |||||||||||||
| Eudesmane | 7-epi-α-Selinene | 1518 | 1520 | 0.1 | 0.8 | 0.3 | 0.1 | tr | tr | tr | tr | |||||||||
| Cadinane | δ-Cadinene | 1523 | 1522 | 2.3 | 0.2 | 0.3 | 3.2 | 2.2 | 1.0 | 1.4 | 6.0 | 4.3 | 0.3 | 0.5 | 0.3 | 1.3 | 4.6 | 4.9 | 5.5 | |
| Cadinane | Zonarene | 1526 | 1528 | 0.5 | 0.2 | 0.4 | ||||||||||||||
| Eremophilane | γ-Vetivenene | 1530 | 1531 | tr | tr | 0.2 | ||||||||||||||
| Cadinane | E-Cadina-1,4-diene | 1532 | 1533 | tr | tr | 0.8 | ||||||||||||||
| Cadinane | α-Cadinene | 1535 | 1537 | 0.3 | 0.2 | |||||||||||||||
| Eudesmane | Selina-3,7(11)-diene | 1542 | 1545 | 0.4 | 0.1 | 0.1 | ||||||||||||||
| Germacrane | Germacrene B | 1557 | 1559 | 0.7 | 0.2 | 0.1 | 0.2 | 0.2 | ||||||||||||
| Farnesane | E-Nerolidol | 1560 | 1561 | 0.6 | 10.3 | 14.2 | 10.3 | 6.1 | 0.3 | 0.5 | 4.9 | 10.3 | 15.3 | 12.3 | 8.4 | 3.2 | 1.2 | 4.2 | ||
| Cadinane | β-Calacorene | 1563 | 1564 | tr | tr | tr | tr | tr | 0.8 | 0.2 | 0.1±0.0 | |||||||||
| Farnesane | Z-Nerolidol | 1531 | 1531 | 0.3 | 0.1 | 0.7 | 0.2 | |||||||||||||
| Aromadendrane | Spathulenol | 1574 | 1577 | 7.1 | 3.3 | 4.4 | 4.9 | 4.3 | 8.3 | 10.9 | 5.0 | 9.1 | 2.3 | 1.4 | 1.9 | 3.3 | 10.3 | 15.9 | 9.0 | |
| Caryophyllane | Caryophyllene oxide | 1579 | 1582 | 2.7 | 1.1 | 1.1 | 1.3 | 1.3 | 2.1 | 2.2 | ||||||||||
| Aromadendrane | Viridiflorol | 1588 | 1592 | 4.3 | 1.7 | 2.0 | 1.0 | 0.4 | 1.2 | 1.1 | 1.4 | 1.6 | 1.8 | 1.9 | 1.1 | 1.8 | 2.1 | 1.2 | ||
| Eudesmane | Rosifoliol | 1598 | 1600 | tr | tr | 1.0 | 2.0 | 0.8 | ||||||||||||
| Aromadendrane | Ledol | 1601 | 1602 | 1.4 | 0.2 | 2.0 | 0.3 | 0.2 | 0.3 | |||||||||||
| Eudesmane | 5-epi-7-epi-α-Eudesmol | 1605 | 1607 | 0.6 | 0.7 | 0.9 | tr | |||||||||||||
| Humulane | Humulene epoxide II | 1609 | 1608 | tr | 2.3 | 1.2 | 1.0 | 2.3 | 1.3 | |||||||||||
| Cadinane | 1,10-di-epi-Cubenol | 1615 | 1618 | 1.3 | 1.5 | 1.0 | ||||||||||||||
| Cadinane | α-Corocalene | 1623 | 1622 | 0.3 | 0.1 | 0.1 | 0.1 | 0.3 | 2.6 | tr | ||||||||||
| Cadinane | epi-α-Muurolol | 1638 | 1640 | 0.4 | 0.3 | 0.1 | 2.3 | 2.3 | 0.1 | |||||||||||
| Cadinane | α-Muurolol | 1642 | 1644 | 1.0 | 0.9 | 0.8 | 0.1 | |||||||||||||
| Eudesmane | β-Eudesmol | 1648 | 1650 | 1.3 | 3.0 | 4.0 | 4.6 | 0.8 | 0.4 | 0.8 | 0.9 | |||||||||
| Eudesmane | α-Eudesmol | 1651 | 1652 | 0.6 | 1.0 | 2.3 | 0.3 | |||||||||||||
| Cadinane | α-Cadinol | 1653 | 1652 | 12.1 | 2.3 | 1.2 | 0.2 | 2.3 | 14.1 | 15.4 | 14.0 | 9.3 | 2.2 | 1.2 | 4.3 | 6.1 | 19.4 | 10.2 | 9.1 | |
| Cadinane | Z-Calamenen-10-ol | 1660 | 1660 | tr | tr | 0.1 | 0.3 | 0.3 | tr | tr | 0.8 | |||||||||
| Caryophyllane | 14-hydroxy-Z-Caryophyllene | 1664 | 1666 | 1.9 | 1.6 | 1.2 | 1.0 | 0.2 | 2.3 | 2.4 | 0.8 | tr | tr | 0.1 | 0.2 | 0.1 | 0.6 | 0.4 | tr | |
| Cadinane | Cadalene | 1672 | 1675 | 0.2 | 2.0 | 1.3 | 0.4 | 0.3 | 0.3 | 0.1 | 0.3 | |||||||||
| Cadinane | Amorpha-4,9-dien-2-ol | 1697 | 1700 | 0.3 | 2.2 | 2.3 | 0.1 | tr | tr | |||||||||||
| - | Undefined m/z 220 | 1718 | - | 1.2 | 1.1 | 0.3 | 0.4 | 1.2 | 1.3 | 1.9 | 0.9 | |||||||||
| Non-Oxygenated Monoterpenes | 0,0 | 0.0 | 0.0 | 0.0 | 0.0 | 0.0 | 0.0 | 0.0 | 0.0 | 0.0 | 0.0 | 0.0 | 0.0 | 0.0 | 0.0 | 0.0 | ||||
| Oxygenated monoterpenes | 0.2 | 1.6 | 2.3 | 3.4 | 2.4 | 1.8 | 0.4 | 0.6 | 2.3 | 3.2 | 1.2 | 0.1 | 0.0 | 0.0 | 0.0 | 1.2 | ||||
| Non-Oxygenated Sesquiterpenes | 60.1 | 57.7 | 57.9 | 63.2 | 78.1 | 48.3 | 48.7 | 63.0 | 53.0 | 71.2 | 71.5 | 73.3 | 70.1 | 49.6 | 51.0 | 60.0 | ||||
| Oxygenated sesquiterpenes | 33.1 | 22.1 | 28.2 | 24.5 | 16.2 | 40.5 | 44.8 | 31.0 | 30.4 | 16.6 | 20.9 | 21.0 | 20.8 | 36.8 | 31.9 | 26.6 | ||||
| Other compounds | 0.0 | 0.0 | 0.0 | 0.0 | 0.0 | 0.0 | 0.0 | 0.0 | 0.0 | 0.0 | 0.0 | 0.0 | 0.0 | 0.0 | 0.0 | 0.0 | ||||
| Identified compounds in numbers | 40 | 28 | 33 | 34 | 43 | 38 | 38 | 43 | 39 | 26 | 24 | 28 | 24 | 32 | 33 | 41 | ||||
| Identified compounds in relative percentage (%) | 93.9 | 84.5 | 91.9 | 94.3 | 97.0 | 90.9 | 93.9 | 99.4 | 86.2 | 94.2 | 97.1 | 97.5 | 91.1 | 86.7 | 92.8 | 93.8 | ||||
| Yields (%) | 0.23 | 0.19 | 0.10 | 0.14 | 0.13 | 0.17 | 0.12 | 0.10 | 0.14 | 0.11 | 0.09 | 0.11 | 0.12 | 0.15 | 0.16 | 0.13 | ||||
| GMRO b | -3.9 | -4.8 | -4.5 | -4.5 | -3.6 | -3.7 | -3.9 | -3.7 | -3.6 | -5.7 | -6.4 | -6.0 | -6.0 | -4.2 | -4.3 | -3.6 | ||||
| Analyzed Variables | r | ||||||||
|---|---|---|---|---|---|---|---|---|---|
| Relative Humidity (%) | Temperature (°C) | Radiation (KJm−2) | Precipitation (mm) | ||||||
| Annual | March | October | Annual | March | October | March | October | Annual | |
| Yields (%) | 0.361 | 0.478 | −0.887 ** | 0.084 | −0.154 | −0.787 ** | −0.394 | −0.862 ** | −0.350 |
| Bicyclogermacrene | −0.035 | −0.373 | 0.703 * | 0.228 | 0.347 | 0.588 | 0.855 ** | 0.861 ** | −0.057 |
| Eudesmadiene | −0.631 * | 0.292 | −0.775 * | 0.366 | −0.260 | −0.629 | −0.916 ** | −0.635 | −0.716 ** |
| E-Caryophyllene | −0.432 | −0.598 | 0.535 | 0.119 | −0.311 | 0.724 * | 0.676 | 0.324 | −0.463 |
| α-Cadinol | −0.751 * | 0.419 | −0.581 | −0.209 | −0.276 | −0.509 | −0.896 ** | −0.756 * | −0.749 ** |
| Spathulenol | 0.031 | 0.235 | −0.850 ** | −0.097 | −0.213 | −0.826 ** | −0.619 | −0.766 * | 0.110 |
| E-Nerolidol | 0.791 ** | −0.097 | 0.911 ** | −0.472 | 0.474 | 0.871 ** | 0.956 ** | 0.915 ** | 0.769 ** |
| Non-Oxygenated Monoterpenes | 0.735 * | - | - | −0.388 | - | - | - | - | 0.701 * |
| Oxygenated monoterpenes | 0.358 | −0.490 | 0.038 | 0.072 | −0.029 | −0.177 | 0.796 ** | 0.313 | 0.296 |
| Non-Oxygenated Sesquiterpenes | −0.593 * | −0.566 | 0.735 * | 0.625* | −0.334 | 0.791 * | 0.328 | 0.762 * | −0.591 * |
| Oxygenated sesquiterpenes | 0.480 | 0.533 | −0.588 | −0.721 ** | 0.008 | −0.589 | −0.588 | −0.706 * | 0.506 |
| Other compounds | 0.240 | - | - | 0.075 | − | - | - | - | 0.300 |
| GMRO | −0.362 | −0.0803 | −0.762 ** | 0.520 | −0.823 ** | −0.809 ** | −0.649 | −0.776 ** | −0.143 |
| C-Skeleton | Percentages (%) | |||||||||||
|---|---|---|---|---|---|---|---|---|---|---|---|---|
| Jan | Feb | Mar | Apr | May | Jun | Jul | Aug | Sept | Oct | Nov | Dec | |
| Aromadendrane | 10.9 | 6.4 | 12.9 | 12.1 | 2.1 | 13.1 | 5.7 | 14.8 | 10.1 | 9.0 | 13.3 | 19.3 |
| Bicyclogermacrane | 12.2 | 17.0 | 16.9 | 18.1 | 20.3 | 19.3 | 15.3 | 12.3 | 11.2 | 20.2 | 23.2 | 12.1 |
| Bisabolane | - | 0.2 | 0.9 | - | - | - | tr | - | - | tr | 0.1 | - |
| Bourbonane | - | 0.1 | 0.1 | tr | - | - | - | - | 0.1 | - | - | - |
| Cadinane | 18.5 | 11.5 | 7.2 | 2.2 | 7.0 | 7.0 | 10.0 | 15.3 | 19.7 | 12.1 | 11.4 | 6.5 |
| Caryophyllane | 6.1 | 10.8 | 10.1 | 6.9 | 7.7 | 11.8 | 12.5 | 5.6 | 8.7 | 10.4 | 7.0 | 5.5 |
| Camphane | 0.1 | 0.1 | 5.0 | 5.2 | 5.1 | - | - | - | - | - | - | tr |
| Copaane | - | 1.9 | 1.6 | - | 5.7 | - | 9.6 | 8.5 | 7.2 | 8.2 | 2.7 | 5.3 |
| Cubebane | - | 0.2 | tr | - | 1.2 | - | 0.4 | 5.6 | 3.4 | 1.2 | 2.9 | |
| Elemane | 3.6 | 1.3 | 9.0 | 5.6 | 10.2 | 10.5 | 10.6 | 12.4 | 5.4 | 3.2 | 6.3 | 9.9 |
| Eremophilane | Tr | 2.8 | tr | 0.4 | - | - | tr | tr | tr | - | - | - |
| Eudesmane | 11.9 | 7.6 | 10.8 | 13.7 | 16.1 | 15.4 | 12.1 | 14.5 | 16.2 | 8.6 | 5.8 | 11.0 |
| Farnesane | 17.9 | 22.9 | 6.3 | 5.8 | 4.3 | 4.2 | 3.8 | 4.6 | 4.3 | 5.3 | 10.3 | 17.3 |
| Germacrane | 0.5 | 9.9 | 5.9 | 8.01 | 11.0 | 3.6 | 9.0 | 4.2 | 3.4 | 11.6 | 6.7 | 6.5 |
| Guaiane | 0.2 | 0.5 | - | - | - | - | - | 1.6 | - | - | 2.1 | 3.2 |
| Humulane | 5.1 | 4.2 | 7.2 | 3.9 | 2.3 | 6.5 | 6.6 | 4.4 | 5.5 | 7.6 | 1.4 | 0.8 |
| Menthane | 0.6 | - | 1.2 | 6.3 | 2.1 | tr | - | - | - | - | - | tr |
| Myrcane | 6.3 | - | 1.2 | 5.8 | 2.8 | tr | 0.5 | - | - | - | 0.3 | - |
| Pinane | 0.6 | 0.7 | 0.7 | 0.4 | - | - | - | - | - | - | - | - |
| C-Skeleton | Percentages (%) | |||||||
|---|---|---|---|---|---|---|---|---|
| Rainy Season (March) | ||||||||
| 6 a.m. | 9 a.m. | 12 p.m. | 3 p.m. | 6 p.m. | 9 p.m. | 12 a.m. | 3 a.m. | |
| Aromadendrane | 17.4 | 5 | 7.9 | 10.1 | 9.3 | 11.5 | 13.8 | 12.1 |
| Bicyclogermacrane | 15.8 | 19.6 | 19.4 | 19.7 | 19.1 | 13.3 | 14 | 14.9 |
| Cadinane | 15.5 | 5.3 | 3.8 | 4.2 | 5.7 | 23.3 | 27.5 | 25 |
| Camphane | 0.1 | - | - | - | 0.8 | 0.2 | 0.1 | - |
| Caryophyllane | 9.1 | 12.2 | 16 | 15.8 | 25.7 | 9.3 | 6 | 5.3 |
| Copaane | 2.9 | 2 | 2.2 | 4.3 | 4.5 | 1.9 | 2.3 | 5.8 |
| Cubebane | 0 | 0.3 | 0.3 | 0.2 | 0.7 | 0.1 | 0.3 | |
| Elemane | 3.9 | 5.4 | 3.9 | 3.5 | 1.4 | 1 | 1.7 | 7.6 |
| Eremophilane | - | - | - | - | - | - | - | 0.2 |
| Eudesmane | 19.9 | 8 | 6.5 | 8.7 | 6.1 | 21.9 | 25.4 | 19.8 |
| Farnesane | 0.6 | 10.3 | 14.2 | 10.3 | 6.1 | 0.3 | 0 | 0.5 |
| Germacrane | 2.1 | 5.7 | 6 | 5.3 | 6.9 | 1.1 | 0.5 | 2.2 |
| Humulane | 5.3 | 7.5 | 8.2 | 8.5 | 9.6 | 3.8 | 1.9 | 5 |
| Menthane | 0.2 | - | - | - | 1.9 | 1.8 | 0.3 | 0.1 |
| Myrcane | 0 | 1.6 | 2.3 | 3.5 | 0.4 | 0 | 0 | 0.5 |
| Dry season (October) | ||||||||
| Aromadendrane | 15 | 8.8 | 7.8 | 7.7 | 9.4 | 14.2 | 19.3 | 14 |
| Bicyclogermacrane | 13.2 | 28.6 | 26.8 | 18.3 | 18.2 | 11.8 | 10.2 | 12.9 |
| Cadinane | 15.7 | 2.7 | 1.7 | 4.7 | 7.5 | 27.8 | 18.1 | 21.4 |
| Camphane | - | - | - | - | - | - | - | - |
| Caryophyllane | 4.9 | 8.6 | 9.6 | 20.4 | 22 | 6 | 5 | 5.1 |
| Copaane | 6.1 | 7.2 | 7.5 | 7.6 | 5.8 | 5.6 | 5.2 | 5.6 |
| Cubebane | 0.1 | 0.5 | 0.2 | 0 | 0 | 0 | ||
| Elemane | 0.9 | 3.2 | 3.6 | 3.2 | 0.9 | 0.7 | 10.4 | 7.4 |
| Eremophilane | - | - | - | - | - | - | - | - |
| Eudesmane | 8.7 | 2.3 | 2.9 | 4.6 | 3.5 | 12.3 | 17.8 | 9.2 |
| Farnesane | 6.2 | 10.4 | 16.1 | 12.5 | 8.4 | 3.2 | 1.2 | 5.5 |
| Germacrane | 2.6 | 8.3 | 9.3 | 6.3 | 5.3 | 3.1 | 3.5 | 2.5 |
| Humulane | 10.1 | 10.2 | 10.1 | 11.6 | 8.9 | 0.5 | 0.1 | 8.2 |
| Menthane | - | - | - | - | - | - | - | - |
| Myrcane | 2.3 | 3.2 | 1.2 | 0.1 | - | - | - | 1.2 |
Publisher’s Note: MDPI stays neutral with regard to jurisdictional claims in published maps and institutional affiliations. |
© 2021 by the authors. Licensee MDPI, Basel, Switzerland. This article is an open access article distributed under the terms and conditions of the Creative Commons Attribution (CC BY) license (https://creativecommons.org/licenses/by/4.0/).
Share and Cite
Ramos, Y.J.; Costa-Oliveira, C.d.; Candido-Fonseca, I.; Queiroz, G.A.d.; Guimarães, E.F.; Defaveri, A.C.A.e.; Sadgrove, N.J.; Moreira, D.d.L. Advanced Chemophenetic Analysis of Essential Oil from Leaves of Piper gaudichaudianum Kunth (Piperaceae) Using a New Reduction-Oxidation Index to Explore Seasonal and Circadian Rhythms. Plants 2021, 10, 2116. https://doi.org/10.3390/plants10102116
Ramos YJ, Costa-Oliveira Cd, Candido-Fonseca I, Queiroz GAd, Guimarães EF, Defaveri ACAe, Sadgrove NJ, Moreira DdL. Advanced Chemophenetic Analysis of Essential Oil from Leaves of Piper gaudichaudianum Kunth (Piperaceae) Using a New Reduction-Oxidation Index to Explore Seasonal and Circadian Rhythms. Plants. 2021; 10(10):2116. https://doi.org/10.3390/plants10102116
Chicago/Turabian StyleRamos, Ygor Jessé, Claudete da Costa-Oliveira, Irene Candido-Fonseca, George Azevedo de Queiroz, Elsie Franklin Guimarães, Anna C. Antunes e Defaveri, Nicholas John Sadgrove, and Davyson de Lima Moreira. 2021. "Advanced Chemophenetic Analysis of Essential Oil from Leaves of Piper gaudichaudianum Kunth (Piperaceae) Using a New Reduction-Oxidation Index to Explore Seasonal and Circadian Rhythms" Plants 10, no. 10: 2116. https://doi.org/10.3390/plants10102116
APA StyleRamos, Y. J., Costa-Oliveira, C. d., Candido-Fonseca, I., Queiroz, G. A. d., Guimarães, E. F., Defaveri, A. C. A. e., Sadgrove, N. J., & Moreira, D. d. L. (2021). Advanced Chemophenetic Analysis of Essential Oil from Leaves of Piper gaudichaudianum Kunth (Piperaceae) Using a New Reduction-Oxidation Index to Explore Seasonal and Circadian Rhythms. Plants, 10(10), 2116. https://doi.org/10.3390/plants10102116

