The Effects of Length and Orientation on Numerical Representation in Flow Maps
Abstract
1. Introduction
2. Related Work
2.1. Perception of the Magnitude of Flow Lines
2.2. Psychophysics and Graphical Perception
3. Methods
3.1. Experimental Design
3.2. Design of Stimulus Materials
3.3. Participants
3.4. Apparatus
3.5. Procedure
4. Results
4.1. Task Performance: Data Analysis
4.2. The Effect of Length
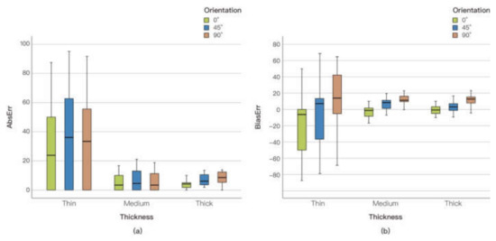
4.3. The Effect of Orientation
5. Discussion
5.1. Discussion of the Effect of Length
5.2. Discussion of the Effect of Orientation
5.3. Advice on the Design of Flow Maps
- The use of inconsistent references as perceptual anchors to obtain information about the magnitude of a flow may cause more substantial errors to occur. We advise map designers to pay attention to the illusions that are created by the visual variables they use. We suggest that map designers standardize the mode by which a map is read and provide an identical reference and scale.
- Map designers should carefully examine the distribution of the magnitude of the data, especially the maximal/minimal value that a flow could take. If the data range over large magnitudes, which, in the envisioned scenarios, may cause small values to be represented invalidly, we suggest the use of filtering techniques. Small values can be visualized hierarchically on a different scale. We suggest an adaptive design for dynamic data that cannot be checked before visualization.
- When encountering extreme cases in which the dataset ranges over large magnitudes, we recommend adding an explanation or a partial map with different scales to ensure the accurate transmission of all of the information in the flow map.
6. Conclusions and Future Work
Author Contributions
Funding
Acknowledgments
Conflicts of Interest
References
- De Waard, J.M.; Van der Burg, E.; Olivers, C.N. A Thickness Illusion: Horizontal Is Perceived as Thicker than Vertical. Vision 2019, 3, 1. [Google Scholar] [CrossRef] [PubMed]
- Cleveland, W.S.; McGill, R. Graphical perception: Theory, experimentation, and application to the development of graphical methods. J. Am. Stat. Assoc. 1984, 79, 531–554. [Google Scholar] [CrossRef]
- Heer, J.; Bostock, M. Crowdsourcing graphical perception: Using mechanical turk to assess visualization design. In Proceedings of the SIGCHI Conference on Human Factors in Computing Systems, Atanta, GA, USA, 10–15 April 2010; pp. 203–212. [Google Scholar]
- Saket, B.; Srinivasan, A.; Ragan, E.D.; Endert, A. Evaluating interactive graphical encodings for data visualization. IEEE Trans. Vis. Comput. Graph. 2017, 24, 1316–1330. [Google Scholar] [CrossRef] [PubMed]
- Bertin, J. Graphics and Graphic Information Processing; Walter de Gruyter: Berlin, Germany, 1981. [Google Scholar]
- Wolfe, J.M.; Horowitz, T.S. What attributes guide the deployment of visual attention and how do they do it? Nat. Rev. Neurosci. 2004, 5, 495–501. [Google Scholar] [CrossRef] [PubMed]
- Guo, H.; Huang, J.; Laidlaw, D.H. Representing uncertainty in graph edges: An evaluation of paired visual variables. IEEE Trans. Vis. Comput. Graph. 2015, 21, 1173–1186. [Google Scholar] [CrossRef]
- Garner, W.R. The Processing of Information and Structure. Psychology Press: New York, NY, USA; London, UK, 2014. [Google Scholar]
- Reimer, A. Squaring the circle? Bivariate colour maps and Jacques Bertins concept of disassociation. In Proceedings of the International Cartographic Conference, Paris, France, 3–8 July 2011; pp. 3–8. [Google Scholar]
- Hochuli, J. Detail in Typography: Letters, letterspacing, Words, Wordspacing, Lines, Linespacing, Columns; Éditions B42: Paris, France, 2015. [Google Scholar]
- Mamassian, P.; de Montalembert, M. A simple model of the vertical–horizontal illusion. Vis. Res. 2010, 50, 956–962. [Google Scholar] [CrossRef]
- Wyszecki, G.; Stiles, W.S. Color Science: Concepts and Methods, Quantitative Data and Formulae, 2nd ed.; Wiley: New York, NY, USA, 2000. [Google Scholar]
- Redmond, S. Visual cues in estimation of part-to-whole comparisons. In Proceedings of the 2019 IEEE Visualization Conference (VIS), Vancouver, BC, Canada, 20–25 October 2019; IEEE: Piscataway, NJ, USA, 2019; pp. 1–5. [Google Scholar]
- Simkin, D.; Hastie, R. An information-processing analysis of graph perception. J. Am. Stat. Assoc. 1987, 82, 454–465. [Google Scholar] [CrossRef]
- Spence, I. No humble pie: The origins and usage of a statistical chart. J. Educ. Behav. Stat. 2005, 30, 353–368. [Google Scholar] [CrossRef]
- Schiano, D.J. Relative size and spatial separation: Effects on the parallel-lines illusion. Percept. Mot. Ski. 1986, 63, 1151–1155. [Google Scholar] [CrossRef]
- Stevens, S.S. On the psychophysical law. Psychol. Rev. 1957, 64, 153. [Google Scholar] [CrossRef]
- Künnapas, T.M. Vertical-horizontal illusion and surrounding field. Nordisk Psykologi 1957, 9, 35–42. [Google Scholar] [CrossRef]
- Xiao, K.; Luo, M.R.; Li, C.; Cui, G.; Park, D. Investigation of colour size effect for colour appearance assessment. Color Res. Appl. 2011, 36, 201–209. [Google Scholar] [CrossRef]
- Tedford, W.H., Jr.; Bergquist, S.L.; Flynn, W.E. The size-color illusion. J. Gen. Psychol. 1997, 97, 145–150. [Google Scholar] [CrossRef] [PubMed]
- Fell, J. THE UNITY OF THE SENSES: Interrelations Among the Modalities. Film Quarterly (ARCHIVE) 1981, 34, 44. [Google Scholar] [CrossRef]
- Baird, J.C. Psychophysical Analysis of Visual Space: International Series of Monographs in Experimental Psychology; Elsevier: Amsterdam, The Netherlands, 2013. [Google Scholar]
- Stevens, S.S.; Galanter, E.H. Ratio scales and category scales for a dozen perceptual continua. J. Exp. Psychol. 1957, 54, 377. [Google Scholar] [CrossRef]
- Teghtsoonian, M. The judgment of size. Am. J. Psychol. 1965, 78, 392–402. [Google Scholar] [CrossRef]
- Spence, I. The apparent and effective dimensionality of representations of objects. Hum. Factors 2004, 46, 738–747. [Google Scholar] [CrossRef]
- Cleveland, W.S.; McGill, R. Graphical perception and graphical methods for analyzing scientific data. Science 1985, 229, 828–833. [Google Scholar] [CrossRef]
- Wagner, M. The Geometries of Visual Space; Lawrence Erlbaum Associates: London, UK, 2006. [Google Scholar]
- Isenberg, P.; Bezerianos, A.; Dragicevic, P.; Fekete, J.D. A study on dual-scale data charts. IEEE Trans. Vis. Comput. Graph. 2011, 17, 2469–2478. [Google Scholar] [CrossRef]
- Wigdor, D.; Shen, C.; Forlines, C.; Balakrishnan, R. Perception of elementary graphical elements in tabletop and multi-surface environments. In Proceedings of the SIGCHI Conference on Human Factors in Computing Systems, San Jose, CA, USA, 28 April–3 May 2007; pp. 473–482. [Google Scholar]
- Treutwein, B. Adaptive psychophysical procedures. Vis. Res. 1995, 35, 2503–2522. [Google Scholar] [CrossRef]
- Psychophysics. Available online: https://en.wikipedia.org/wiki/Psychophysics (accessed on 9 March 2020).
- Bezerianos, A.; Isenberg, P. Perception of visual variables on tiled wall-sized displays for information visualization applications. IEEE Trans. Vis. Comput. Graph. 2012, 18, 2516–2525. [Google Scholar] [CrossRef] [PubMed]
- Mckee, S.P.; Welch, L. The precision of size constancy. Vis. Res. 1992, 32, 1447–1460. [Google Scholar] [CrossRef]
- Formankiewicz, M.A.; Mollon, J.D. The psychophysics of detecting binocular discrepancies of luminance. Vis. Res. 2009, 49, 1929–1938. [Google Scholar] [CrossRef] [PubMed][Green Version]
- Pienkowski, M.; Hagerman, B. Auditory intensity discrimination as a function of level-rove and tone duration in normal-hearing and impaired subjects: The “mid-level hump” revisited. Hear Res. 2009, 253, 107–115. [Google Scholar] [CrossRef]
- Howe, C.Q.; Purves, D. Range image statistics can explain the anomalous perception of length. Proc. Natl. Acad. Sci. USA 2002, 99, 13184–13188. [Google Scholar] [CrossRef]






| Visual Variable | Direction | Overestimated | Underestimated | Chi-square Test |
|---|---|---|---|---|
| Length | Decrease | 40.0% | 50.7% | χ2 = 14.4, p < 0.05* |
| Increase | 38.7% | 43.0% | χ2 = 2.3, p = 0.12 | |
| Orientation | Decrease | 53.0% | 46.3% | χ2 = 3.7, p = 0.07 |
| Increase | 37.2% | 41.5% | χ2 = 0.3, p = 0.51 |
| Thickness | (I) Length | (J) Length | Mean Difference (I-J) | Std. Error | Sig. | 95% Confidence Interval for Differences | |
|---|---|---|---|---|---|---|---|
| Lower Bound | Upper Bound | ||||||
| Thin | short | control group | –12.037* | 3.138 | 0.001 | –19.694 | –4.380 |
| long | –33.889* | 3.317 | 0.000 | –41.983 | –25.795 | ||
| control group | long | –21.852* | 3.439 | 0.000 | –30.243 | –3.460 | |
| Medium | short | control group | –3.620* | 0.707 | 0.000 | –5.346 | –1.895 |
| long | –8.491* | 0.870 | 0.000 | –10.615 | –6.367 | ||
| control group | long | –4.870* | 0.817 | 0.000 | –6.864 | –2.876 | |
| Thick | short | control group | –3.778* | 0.650 | 0.000 | –5.363 | –2.192 |
| long | –8.111* | 0.850 | 0.000 | –10.184 | –6.038 | ||
| control group | long | –4.333* | 0.742 | 0.000 | 2.192 | 5.363 | |
| Apparent Thickness | (I) Orientation | (J) Orientation | Mean Difference (I-J) | Std. Error | Sig. | 95% Confidence Interval for Differences | |
|---|---|---|---|---|---|---|---|
| Lower Bound | Upper Bound | ||||||
| Thin | 0° | 45° | –18.898 | 3.557 | 0.405 | –30.021 | 6.493 |
| 90° | –25.998* | 3.039 | 0.003 | –40.145 | 11.439 | ||
| 45° | 90° | –7.100* | 3.178 | 0.012 | –11.938 | 3.023 | |
| Medium | 0° | 45° | –12.212* | 1.702 | 0.041 | –13.439 | 11.145 |
| 90° | –14.831* | 1.893 | 0.000 | –17.115 | 10.271 | ||
| 45° | 90° | –2.619 | 1.645 | 0.157 | –4.021 | 1.918 | |
| Thick | 0° | 45° | –7.615 | 0.987 | 0.061 | –10.951 | 4.145 |
| 90° | –16.198* | 1.157 | 0.001 | –27.021 | 5.347 | ||
| 45° | 90° | –8.583* | 1.041 | 0.007 | –13.938 | 3.938 | |
© 2020 by the authors. Licensee MDPI, Basel, Switzerland. This article is an open access article distributed under the terms and conditions of the Creative Commons Attribution (CC BY) license (http://creativecommons.org/licenses/by/4.0/).
Share and Cite
Lin, Y.; Xue, C.; Niu, Y.; Zhou, X.; Zhu, Y. The Effects of Length and Orientation on Numerical Representation in Flow Maps. ISPRS Int. J. Geo-Inf. 2020, 9, 219. https://doi.org/10.3390/ijgi9040219
Lin Y, Xue C, Niu Y, Zhou X, Zhu Y. The Effects of Length and Orientation on Numerical Representation in Flow Maps. ISPRS International Journal of Geo-Information. 2020; 9(4):219. https://doi.org/10.3390/ijgi9040219
Chicago/Turabian StyleLin, Yun, Chengqi Xue, Yafeng Niu, Xiaozhou Zhou, and Yanfei Zhu. 2020. "The Effects of Length and Orientation on Numerical Representation in Flow Maps" ISPRS International Journal of Geo-Information 9, no. 4: 219. https://doi.org/10.3390/ijgi9040219
APA StyleLin, Y., Xue, C., Niu, Y., Zhou, X., & Zhu, Y. (2020). The Effects of Length and Orientation on Numerical Representation in Flow Maps. ISPRS International Journal of Geo-Information, 9(4), 219. https://doi.org/10.3390/ijgi9040219

