Monitoring Wildfires in the Northeastern Peruvian Amazon Using Landsat-8 and Sentinel-2 Imagery in the GEE Platform
Abstract
1. Introduction
2. Materials and Methods
2.1. Study Area
2.2. Data Processing
2.3. Google Earth Engine (GEE)
2.4. Satellite Multispectral Data and Fire Products
2.5. Masking of Clouds, Cloud Shadow, and Water Bodies
2.6. Mosaic of Pre and Post-Fire Images
2.7. Spectral Indices for Burnt Areas (BA) Mapping
2.8. Images Filtering
2.9. Statistical Validation of BA
2.10. Identification of BA Patterns
3. Results
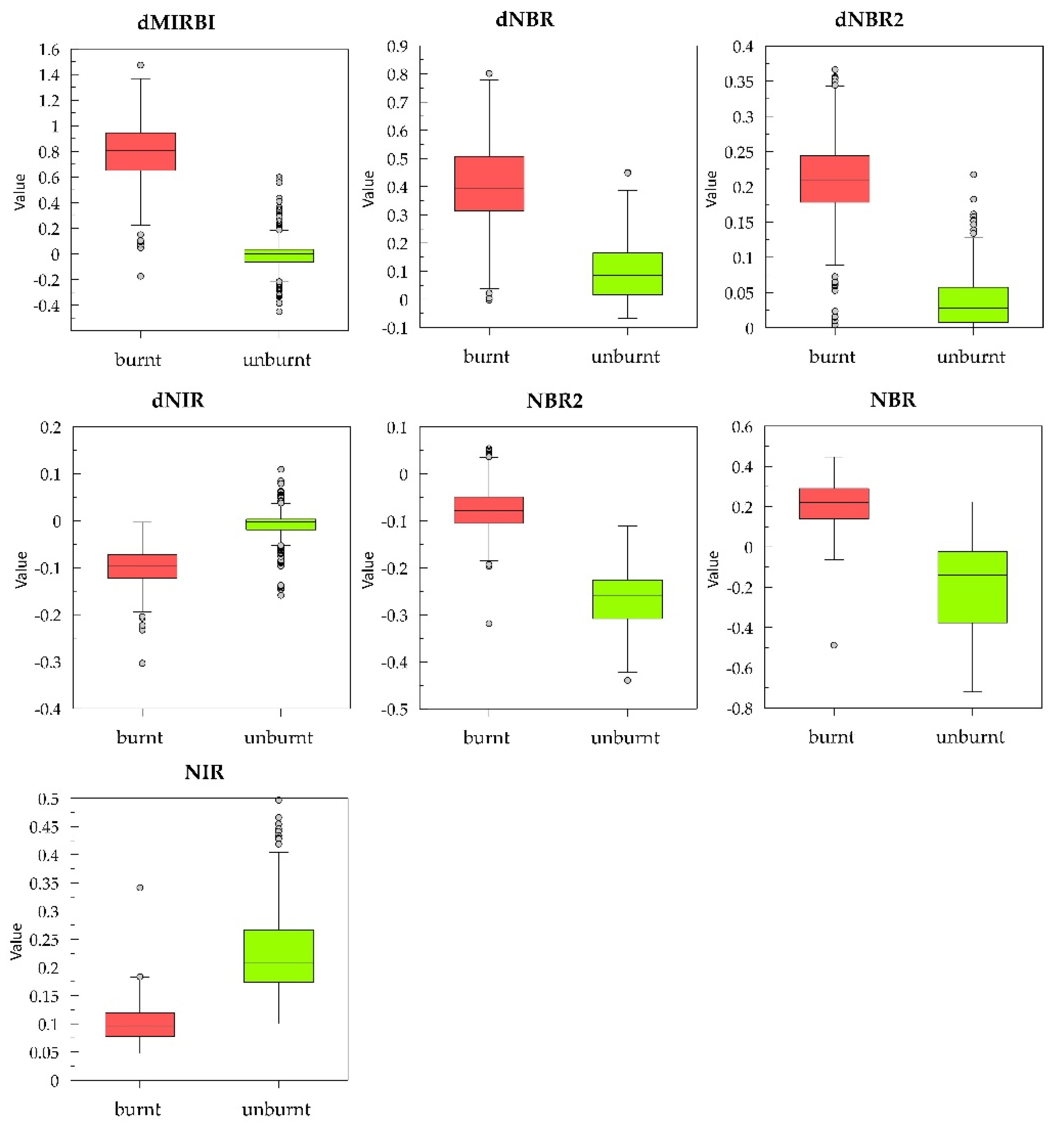
3.1. Validation of the Achieved Results for Assessing BA
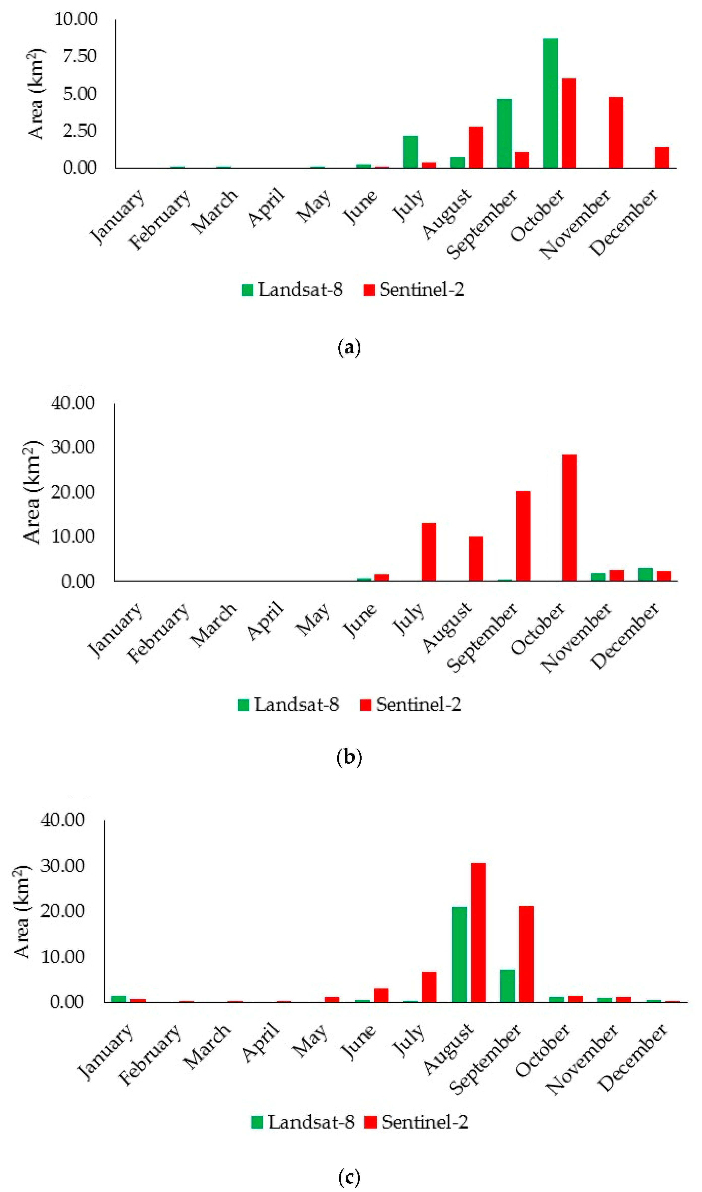
3.2. BA in the Amazonas Department
3.3. Spatial Agreement of BA
3.4. Patterns of BA Density
4. Discussion
5. Conclusions
Supplementary Materials
Author Contributions
Funding
Acknowledgments
Conflicts of Interest
References
- Estrela Navarro, M.J.; Pastor Guzmán, F.; Valiente Pardo, J.A.; Alloza, J.A. Integración de una cartografía de vientos en situaciones meteorológicas de riesgo de incendios forestales en la Comunidad Valenciana mediante un SIG. GeoFocus 2005, 5, 94–114. [Google Scholar]
- Garrido, J.; Vilar, L.; Echevarría, P.; Martinez-Vega, J.; Martín, M.P. ¿Pueden las interfaces de usos del suelo explicar la ocurrencia de incendios forestales a escala provincial? Los casos de Zamora y Madrid. GeoFocus 2018, 71–95. [Google Scholar] [CrossRef]
- Bastarrika, A.; Alvarado, M.; Artano, K.; Martinez, M.P.; Mesanza, A.; Torre, L.; Ramo, R.; Chuvieco, E. BAMS: A tool for supervised burned area mapping using Landsat data. Remote Sens. 2014, 6, 12360–12380. [Google Scholar] [CrossRef]
- Santana, N.C.; Júnior, O.A.D.C.; Gomes, R.A.T.; Guimarães, R.F. Burned-area detection in Amazonian environments using standardized time series per pixel in MODIS data. Remote Sens. 2018, 10, 1904. [Google Scholar] [CrossRef]
- Gilroy, J.J.; Woodcock, P.; Edwards, F.A.; Wheeler, C.; Baptiste, B.L.G.; Medina Uribe, C.A.; Haugaasen, T.; Edwards, D.P. Cheap carbon and biodiversity co-benefits from forest regeneration in a hotspot of endemism. Nat. Clim. Chang. 2014, 4, 503–507. [Google Scholar] [CrossRef]
- Lewis, S.L.; Edwards, D.P.; Galbraith, D. Increasing human dominance of tropical forests. Science 2015, 349, 827–832. [Google Scholar] [CrossRef]
- Alencar, A.A.C.; Solórzano, L.A.; Nepstad, D.C. Modeling forest understory fires in an eastern amazonian landscape. Ecol. Appl. 2004, 14, 139–149. [Google Scholar] [CrossRef]
- Gutiérrez-Velez, V.H.; Uriarte, M.; Defries, R.; Pinedo-Vasquez, M.; Fernandes, K.; Ceccato, P.; Baethgen, W.; Padoch, C. Land cover change interacts with drought severity to change fire regimes in Western Amazonia. Ecol. Appl. 2014, 24, 1323–1340. [Google Scholar] [CrossRef]
- Martin, A.; Coolsaet, B.; Corbera, E.; Dawson, N.; Fisher, J.; Franks, P.; Mertz, O.; Pascual, U.; Rasmussen, L.V.; Ryan, C. Land use intensification: The promise of sustainability and the reality of trade-offs. Ecosyst. Serv. Poverty Alleviation Trade-Offs Gov. 2018, 94–110, ffhalshs-01788070. [Google Scholar]
- Pereira, J.M.C.; Sá, A.C.L.; Sousa, A.M.O.; Silva, J.M.N.; Santos, T.N.; Carreiras, J.M.B. Spectral characterisation and discrimination of burnt areas. Remote Sens. Large Wildfires 1999, 123–138. [Google Scholar] [CrossRef]
- Barbosa, P.M.; Stroppiana, D.; Grégoire, J.M.; Pereira, J.M.C. An assessment of vegetation fire in Africa (1981–1991): Burned areas, burned biomass, and atmospheric emissions. Glob. Biogeochem. Cycles 1999, 13, 933–950. [Google Scholar] [CrossRef]
- Roteta, E.; Bastarrika, A.; Padilla, M.; Storm, T.; Chuvieco, E. Development of a Sentinel-2 burned area algorithm: Generation of a small fire database for sub-Saharan Africa. Remote Sens. Environ. 2019, 222, 1–17. [Google Scholar] [CrossRef]
- Wulder, M.A.; Masek, J.G.; Cohen, W.B.; Loveland, T.R.; Woodcock, C.E. Opening the archive: How free data has enabled the science and monitoring promise of Landsat. Remote Sens. Environ. 2012, 122, 2–10. [Google Scholar] [CrossRef]
- Gorelick, N.; Hancher, M.; Dixon, M.; Ilyushchenko, S.; Thau, D.; Moore, R. Google Earth Engine: Planetary-scale geospatial analysis for everyone. Remote Sens. Environ. 2017, 202, 18–27. [Google Scholar] [CrossRef]
- Chuvieco, E.; Mouillot, F.; van der Werf, G.R.; San Miguel, J.; Tanasse, M.; Koutsias, N.; García, M.; Yebra, M.; Padilla, M.; Gitas, I.; et al. Historical background and current developments for mapping burned area from satellite Earth observation. Remote Sens. Environ. 2019, 225, 45–64. [Google Scholar] [CrossRef]
- Dennison, P.E.; Brewer, S.C.; Arnold, J.D.; Moritz, M.A. Large wildfire trends in the western United States, States, 1984–2011. Geophys. Prospect. 2014, 6413–6419. [Google Scholar] [CrossRef]
- Abatzoglou, J.T.; Williams, A.P. Impact of anthropogenic climate change on wildfire across western US forests. Proc. Natl. Acad. Sci. USA 2016, 113, 11770–11775. [Google Scholar] [CrossRef]
- Sakr, G.E.; Elhajj, I.H.; Mitri, G. Efficient forest fire occurrence prediction for developing countries using two weather parameters. Eng. Appl. Artif. Intell. 2011, 24, 888–894. [Google Scholar] [CrossRef]
- Hawbaker, T.J.; Vanderhoof, M.K.; Beal, Y.J.; Takacs, J.D.; Schmidt, G.L.; Falgout, J.T.; Williams, B.; Fairaux, N.M.; Caldwell, M.K.; Picotte, J.J.; et al. Mapping burned areas using dense time-series of Landsat data. Remote Sens. Environ. 2017, 198, 504–522. [Google Scholar] [CrossRef]
- Chen, J.C.; Chen, C.T. Discourse on Taiwanese Forest Fires. In Wildfire Hazards, Risks, and Disasters; Elsevier Inc.: Amsterdam, The Netherlands, 2015; pp. 145–166. ISBN 9780124096011. [Google Scholar]
- Chuvieco, E.; Congalton, R.G. Mapping and inventory of forest fires from digital processing of tm data Mapping and Inventory of Forest Fires from Digital Processing of TM Data. Geocarto Int. 2008, 3, 41–53. [Google Scholar] [CrossRef]
- Bourgeau-Chavez, L.L.; Kasischke, E.S.; Brunzell, S.; Mudd, J.P.; Tukman, M. Mapping fire scars in global boreal forests using imaging radar data. Int. J. Remote Sens. 2002, 23, 4211–4234. [Google Scholar] [CrossRef]
- Verdú, F.; Salas, J. Cartografía de áreas quemadas mediante análisis visual de imágenes de satélite en la España peninsular para el periodo 1991–2005. GeoFocus 2010, 10, 54–81. [Google Scholar]
- Al Janabi, S.; Al Shourbaji, I.; Salman, M.A. Assessing the suitability of soft computing approaches for forest fires prediction. Appl. Comput. Inform. 2018, 14, 214–224. [Google Scholar] [CrossRef]
- Artés, T.; Cortés, A.; Margalef, T. Large forest fire spread prediction: Data and computational science. Procedia Comput. Sci. 2016, 80, 909–918. [Google Scholar] [CrossRef]
- Feng, X.; Fu, T.M.; Cao, H.; Tian, H.; Fan, Q.; Chen, X. Neural network predictions of pollutant emissions from open burning of crop residues: Application to air quality forecasts in southern China. Atmos. Environ. 2019, 204, 22–31. [Google Scholar] [CrossRef]
- Muñoz, C.; Acevedo, P.; Salvo, S.; Fagalde, G.; Vargas, F. Detección de incendios forestales utilizando imágenes NOAA/16-LAC en la Región de la Araucanía, Chile. Bosque 2007, 28, 119–128. [Google Scholar] [CrossRef][Green Version]
- Ngoc-Thach, N.; Bao-Toan Ngo, D.; Xuan-Canh, P.; Hong-Thi, N.; Hang Thi, B.; Nhat-Duc, H.; Dieu, T.B. Spatial pattern assessment of tropical forest fire danger at Thuan Chau area (Vietnam) using GIS-based advanced machine learning algorithms: A comparative study. Ecol. Inform. 2018, 46, 74–85. [Google Scholar] [CrossRef]
- Collins, L.; Griffioen, P.; Newell, G.; Mellor, A. The utility of Random Forests for wildfire severity mapping. Remote Sens. Environ. 2018, 216, 374–384. [Google Scholar] [CrossRef]
- Hislop, S.; Haywood, A.; Jones, S.; Soto-Berelov, M.; Skidmore, A.; Nguyen, T.H. A satellite data driven approach to monitoring and reporting fire disturbance and recovery across boreal and temperate forests. Int. J. Appl. Earth Obs. Geoinf. 2020, 87, 102034. [Google Scholar] [CrossRef]
- Bastarrika, A.; Chuvieco, E.; Martín, M.P. Mapping burned areas from Landsat TM/ETM+ data with a two-phase algorithm: Balancing omission and commission errors. Remote Sens. Environ. 2011, 115, 1003–1012. [Google Scholar] [CrossRef]
- Goodwin, N.R.; Collett, L.J. Development of an automated method for mapping fire history captured in Landsat TM and ETM+ time series across Queensland, Australia. Remote Sens. Environ. 2014, 148, 206–221. [Google Scholar] [CrossRef]
- Stroppiana, D.; Azar, R.; Calò, F.; Pepe, A.; Imperatore, P.; Boschetti, M.; Silva, J.M.N.; Brivio, P.A.; Lanari, R. Integration of Optical and SAR Data for Burned Area Mapping in Mediterranean Regions. Remote Sens. 2015, 7, 1320–1345. [Google Scholar] [CrossRef]
- Fornacca, D.; Ren, G.; Xiao, W. Evaluating the best spectral indices for the detection of burn scars at several post-fire dates in a Mountainous Region of Northwest Yunnan, China. Remote Sens. 2018, 10, 1196. [Google Scholar] [CrossRef]
- Guillem-Cogollos, R.; Vinué-Visús, D.; Caselles-Miralles, V.; Espinós-Morató, H. Estudio crítico de los índices de severidad y la superficie afectada por el incendio de Sierra de Luna (Zaragoza). Revista de Teledeteccion 2017, 49, 63–77. [Google Scholar] [CrossRef][Green Version]
- Key, C.H.; Benson, N. The Normalized Burn Ratio (NBR): A Landsat TM Radiometric Measure of Burn Severity; United States Geological Survey, Northern Rocky Mountain Science Center: Bozeman, MT, USA, 2003. Available online: https://www.frames.gov/catalog/5860 (accessed on 27 May 2020).
- Teobaldo, D.; de Mello Baptista, G.M. Quantificação da severidade das queimadas e da perda de sequestro florestal de carbono em unidades de conservação do Distrito Federal. Rev. Bras. Geogr. Física 2016, 9, 250–264. [Google Scholar] [CrossRef]
- Trigg, S.; Flasse, S. An evaluation of di V erent bi-spectral spaces for discriminating burned. Int. J. Remote Sens. 2001, 22, 2641–2647. [Google Scholar] [CrossRef]
- López García, M.J.; Caselles, V. Mapping burns and natural reforestation using thematic mapper data. Geocarto Int. 1991, 6, 31–37. [Google Scholar] [CrossRef]
- Rouse, J.W.; Haas, R.H.; Schell, J.A. Monitoring the Vernal Advancement and Retrogradation (Greenwave Effect) of Natural Vegetation; Final Report; NASA/GSFC: Greenbelt, MD, USA, 1974. Available online: https://ntrs.nasa.gov/citations/19740022555 (accessed on 10 May 2020).
- SERFOR. Plan de Prevención y Reducción de Riesgos de Incendios Forestales; SERFOR: Lima, Peru, 2018; Available online: http://siar.minam.gob.pe/puno/sites/default/files/archivos/public/docs/plan-de-prevencion-y-reduccion-de-riesgos-de-incendios-forestales.pdf (accessed on 10 April 2020).
- Manríquez Zapata, H.M. Especies forestales afectadas en incendios ocurridos en Amazonas: Un análisis de la información fiscal de los casos de Chachapoyas y Luya. Arnaldoa 2019, 26, 965–976. [Google Scholar] [CrossRef]
- Vilar, L.; Gómez, I.; Martínez-vega, J.; Echavarría, P.; Ria, D. Multitemporal modelling of socio-economic wildfire drivers in Central Spain between the 1980s and the 2000s: Comparing generalized linear models to machine learning algorithms. PLoS ONE 2016, 11, 1–17. [Google Scholar] [CrossRef]
- INEI. Censos Nacionales de Población y Vivienda. 2017. Available online: http://censos2017.inei.gob.pe/redatam/ (accessed on 11 June 2020).
- GRA; IIAP. Zonificación Ecológica y Económica (ZEE) del Departamento de Amazonas; GRA and IIAP: Iquitos, Peru, 2010. [Google Scholar]
- Rojas, N.B.; Barboza, E.; Torres, O.A.G.; Oliva, M.; Leiva, D.; Barrena, M.Á.; Corroto, F.; Salas, R.; Rascón, J. Morphometric prioritization, fluvial classification, and hydrogeomorphological quality in high Andean livestock micro-watersheds in northern Peru. ISPRS Int. J. Geo-Inf. 2020, 9, 305. [Google Scholar] [CrossRef]
- Vargas, J. Clima, informe temático. Proyecto Zonificación Ecológica y Económica del departamento de Amazonas, Instituto de Investigaciones de la Amazonía Peruana (IIAP) & Programa de Investigaciones en Cambio Climático, Desarrollo Territorial y Ambiente (PROTERRA); Gobierno Regional de Amazonas e Instituto de Investigaciones de la Amazonía Peruana: Chachapoyas, Peru, 2010; Volume 1, pp. 1–27. Available online: https://docplayer.es/57855699-Zonificacion-ecologica-y-economica-del.html (accessed on 25 May 2020).
- MapBiomas. Documento Base Teórico de Algoritmos (ATBD): RAISG—MapBiomas Amazonía—Colección 1. 2019. Available online: http://mapbiomas.org (accessed on 5 June 2020).
- MINAM. Estudio para la Identificación de Áreas Degradadas y Propuesta de Monitoreo; MINAM: Lima, Peru, 2017. [Google Scholar]
- CENEPRED. Caracterización del peligro por incendios forestales; CENEPRED: Lima, Peru, 2018. [Google Scholar]
- MINAM. GEOBOSQUES: Bosque y Pérdida de Bosque. Available online: http://geobosques.minam.gob.pe/geobosque/view/perdida.php (accessed on 15 April 2019).
- FIRMS. Fire Information for Resource Management Systems. 2020. Available online: https://firms.modaps.eosdis.nasa.gov/map/#d:2020-09-17..2020-09-18;@0.6,-0.3,3z (accessed on 19 September 2020).
- SERFOR. Incendios Forestales. 2020. Available online: https://geo.serfor.gob.pe/monitoreosatelitalforestal/incendios.html (accessed on 19 September 2020).
- Tamiminia, H.; Salehi, B.; Mahdianpari, M.; Quackenbush, L.; Adeli, S.; Brisco, B. Google Earth Engine for geo-big data applications: A meta-analysis and systematic review. ISPRS J. Photogramm. Remote Sens. 2020, 164, 152–170. [Google Scholar] [CrossRef]
- Arekhi, M.; Goksel, C.; Sanli, F.B.; Senel, G. Comparative evaluation of the spectral and spatial consistency of Sentinel-2 and Landsat-8 OLI data for Igneada longos forest. ISPRS Int. J. Geo-Inf. 2019, 8, 56. [Google Scholar] [CrossRef]
- Foga, S.; Scaramuzza, P.L.; Guo, S.; Zhu, Z.; Dilley, R.D.; Beckmann, T.; Schmidt, G.L.; Dwyer, J.L.; Joseph Hughes, M.; Laue, B. Cloud detection algorithm comparison and validation for operational Landsat data products. Remote Sens. Environ. 2017, 194, 379–390. [Google Scholar] [CrossRef]
- Samsammurphy Cloud Masking with Sentinel 2. 2017. Available online: https://github.com/samsammurphy/cloud-masking-sentinel2/blob/master/cloud-masking-sentinel2.ipynb (accessed on 23 April 2020).
- Hollstein, A.; Segl, K.; Guanter, L.; Brell, M.; Enesco, M. Ready-to-use methods for the detection of clouds, cirrus, snow, shadow, water and clear sky pixels in Sentinel-2 MSI images. Remote Sens. 2016, 8, 666. [Google Scholar] [CrossRef]
- McFeeters, S.K. The use of the Normalized Difference Water Index (NDWI) in the delineation of open water features. Int. J. Remote Sens. 1996, 17, 1425–1432. [Google Scholar] [CrossRef]
- Bar, S.; Parida, B.R.; Chandra Pandey, A. Landsat-8 and Sentinel-2 based Forest fire burn area mapping using machine learning algorithms on GEE cloud platform over Uttarakhand, Western Himalaya. Remote Sens. Appl. Soc. Environ. 2020, 100324. [Google Scholar] [CrossRef]
- Rouse, J.W.; Hass, R.H.; Schell, J.A.; Deering, D.W. Monitoring vegetation systems in the great plains with ERTS. In Proceedings of the Third Earth Resources Technology Satellite-1 Symposium, Washington, DC, USA, 10–14 December 1973; Volume 1, pp. 309–317. [Google Scholar]
- Gao, X.; Huete, A.R.; Ni, W.; Miura, T. Optical-biophysical relationships of vegetation spectra without background contamination. Remote Sens. Environ. 2000, 74, 609–620. [Google Scholar] [CrossRef]
- Huete, A.R. A Soil-Adjusted Vegetation Index (SAVI). Remote Sens. Environ. 1988, 25, 295–309. [Google Scholar] [CrossRef]
- Schepers, L.; Haest, B.; Veraverbeke, S.; Spanhove, T.; Vanden Borre, J.; Goossens, R. Burned area detection and burn severity assessment of a heathland fire in belgium using airborne imaging spectroscopy (APEX). Remote Sens. 2014, 6, 1803–1826. [Google Scholar] [CrossRef]
- McCarley, T.R.; Kolden, C.A.; Vaillant, N.M.; Hudak, A.T.; Smith, A.M.S.; Wing, B.M.; Kellogg, B.S.; Kreitler, J. Multi-temporal LiDAR and Landsat quantification of fire-induced changes to forest structure. Remote Sens. Environ. 2017, 191, 419–432. [Google Scholar] [CrossRef]
- Key, C.; Benson, N. Landscape Assessment: Sampling and Analysis Methods; USDA For. Serv. Gen. Technol. Rep. RMRS-GTR-164-CD; USDA Forest Service: Washington, DC, USA, 2006; pp. 1–55. Available online: https://www.fs.usda.gov/treesearch/pubs/24066 (accessed on 23 June 2020).
- Anaya, J.A.; Sione, W.F.; Rodríguez-Montellano, A.M. Identificación de áreas quemadas mediante el análisis de series de tiempo en el ámbito de computación en la nube. Rev. Teledetección. 2018, 51, 61–73. [Google Scholar] [CrossRef]
- Turpo Cayo, E.Y.; Raul Arnaldo, E.V.; Ríos Cáceres, S.; Moreno Flores, C.N. Mapeo multitemporal de cuerpos de agua y área urbanas en los andes del Perú usando imágenes Landsat en la plataforma Google Earth Engine, periodo 1984–2018. An. do XIX Simpósio Bras. Sensoriamento Remoto. 2018, 3569–3572. Available online: http://marte2.sid.inpe.br/rep/sid.inpe.br/marte2/2019/09.02.18.08?metadatarepository=sid.inpe.br/marte2/2019/09.02.18.08.26&ibiurl.backgroundlanguage=pt&ibiurl.requiredsite=marte2.sid.inpe.br+802&requiredmirror=dpi.inpe.br/marte2/2013/05.17.15.03.08&searchsite=urlib.net:80&searchmirror=dpi.inpe.br/banon/2004/02.16.09.30.00&choice=briefTitleAuthorMisc (accessed on 16 April 2020).
- MINAM. Protocolo: Evaluacion de la Exactitud Tematica del Mapa de Deforestación; MINAM: Lima, Peru, 2014. [Google Scholar]
- Chuvieco, E. Fundamentals of Satellite Remote Sensing an Environmental Approach, 2nd ed.; CRC Press: Boca Raton, FL, USA, 2016; ISBN 9781498728072. [Google Scholar]
- Padilla, M.; Stehman, S.V.; Chuvieco, E. Validation of the 2008 MODIS-MCD45 global burned area product using strati fi ed random sampling. Remote Sens. Environ. 2014, 144, 187–196. [Google Scholar] [CrossRef]
- Pontius, R.G.; Millones, M. Death to Kappa: Birth of quantity disagreement and allocation disagreement for accuracy assessment. Int. J. Remote Sens. 2011, 32, 4407–4429. [Google Scholar] [CrossRef]
- Sokolova, M.; Lapalme, G. A systematic analysis of performance measures for classification tasks. Inf. Process. Manag. 2009, 45, 427–437. [Google Scholar] [CrossRef]
- Pontius, R.G.; Santacruz, A. Quantity, exchange, and shift components of difference in a square contingency table. Int. J. Remote Sens. 2014, 35, 7543–7554. [Google Scholar] [CrossRef]
- Brigand, R.; Weller, O. Kernel density estimation and transition maps of Moldavian Neolithic and Eneolithic settlement. Data BR 2018, 17, 452–458. [Google Scholar] [CrossRef]
- Monjarás-Vega, N.A.; Briones-Herrera, C.I.; Vega-Nieva, D.J.; Calleros-Flores, E.; Corral-Rivas, J.J.; López-Serrano, P.M.; Pompa-García, M.; Rodríguez-Trejo, D.A.; Carrillo-Parra, A.; González-Cabán, A.; et al. Predicting forest fire kernel density at multiple scales with geographically weighted regression in Mexico. Sci. Total Environ. 2020, 718, 137313. [Google Scholar] [CrossRef]
- Rojas, N.B.; Barboza, E.; Maicelo, J.L.; Oliva, S.M.; Salas, R. Deforestación en la Amazonía peruana: Índices de cambios de cobertura y uso del suelo basado en SIG. Boletín la Asoc. Geógrafos Españoles 2019, 1–34. [Google Scholar] [CrossRef]
- Jenks, G.F. The data model concept in statistical mapping. Int. Yearb. Cartogr. 1967, 7, 186–190. [Google Scholar]
- Yule, G.U. On the Methods of Measuring Association Between Two Attributes. J. R. Stat. Soc. 1912, 75, 579. [Google Scholar] [CrossRef]
- de Barros, A. Análise Quantitativa Espacial. Conceitos e Fundamentos; Appris: Salvador, Brazil, 2018; ISBN 9788547314026. [Google Scholar]
- Congalton, R.G.; Green, K. Assessing the Accuracy of Remotely Sensed Data: Principles and Practices, 2nd ed.; CRC/Taylor & Francis: Boca Raton, FL, USA, 2009; ISBN 978-1-4200-5512-2. [Google Scholar]
- Chaves, P.P.; Zuquim, G.; Ruokolainen, K.; Van doninck, J.; Kalliola, R.; Rivero, E.G.; Tuomisto, H. Mapping floristic patterns of trees in Peruvian Amazonia using remote sensing and machine learning. Remote Sens. 2020, 12, 1523. [Google Scholar] [CrossRef]
- Mallinis, G.; Mitsopoulos, I.; Chrysafi, I. Evaluating and comparing Sentinel 2A and landsat-8 operational land imager (OLI) spectral indices for estimating fire severity in a mediterranean pine ecosystem of Greece. GIScience Remote Sens. 2018, 55, 1–18. [Google Scholar] [CrossRef]
- Long, T.; Zhang, Z.; He, G.; Jiao, W.; Tang, C.; Wu, B.; Zhang, X.; Wang, G.; Yin, R. 30m resolution global annual burned area mapping based on Landsat images and Google Earth Engine. Remote Sens. 2019, 11, 489. [Google Scholar] [CrossRef]
- Roy, D.P.; Huang, H.; Boschetti, L.; Giglio, L.; Yan, L.; Zhang, H.H.; Li, Z. Landsat-8 and Sentinel-2 burned area mapping—A combined sensor multi-temporal change detection approach. Remote Sens. Environ. 2019, 231, 111254. [Google Scholar] [CrossRef]
- García-Llamas, P.; Suárez-Seoane, S.; Fernández-Guisuraga, J.M.; Fernández-García, V.; Fernández-Manso, A.; Quintano, C.; Taboada, A.; Marcos, E.; Calvo, L. Evaluation and comparison of Landsat 8, Sentinel-2 and Deimos-1 remote sensing indices for assessing burn severity in Mediterranean fire-prone ecosystems. Int. J. Appl. Earth Obs. Geoinf. 2019, 80, 137–144. [Google Scholar] [CrossRef]
- Syifa, M.; Panahi, M.; Lee, C.W. Mapping of post-wildfire burned area using a hybrid algorithm and satellite data: The case of the camp fire wildfire in California, USA. Remote Sens. 2020, 12, 623. [Google Scholar] [CrossRef]
- Portillo-Quintero, C.; Sanchez-Azofeifa, A.; Marcos do Espirito-Santo, M. Monitoring deforestation with MODIS Active Fires in Neotropical dry forests: An analysis of local-scale assessments in Mexico, Brazil and Bolivia. J. Arid Environ. 2013, 97, 150–159. [Google Scholar] [CrossRef]
- Giglio, L.; Schroeder, W.; Justice, C.O. The collection 6 MODIS active fire detection algorithm and fire products. Remote Sens. Environ. 2016, 178, 31–41. [Google Scholar] [CrossRef]
- Giglio, L.; Schroeder, W. A global feasibility assessment of the bi-spectral fire temperature and area retrieval using MODIS data. Remote Sens. Environ. 2014, 152, 166–173. [Google Scholar] [CrossRef]
- Lizundia-Loiola, J.; Pettinari, M.L.; Chuvieco, E. Temporal Anomalies in Burned Area Trends: Satellite Estimations of the Amazonian 2019 Fire Crisis. Remote Sens. 2020, 12, 151. [Google Scholar] [CrossRef]
- Boschetti, L.; Roy, D.P.; Giglio, L.; Huang, H.; Zubkova, M.; Humber, M.L. Global validation of the collection 6 MODIS burned area product. Remote Sens. Environ. 2019, 235, 111490. [Google Scholar] [CrossRef]
- Belenguer-Plomer, M.A.; Tanase, M.A.; Fernandez-Carrillo, A.; Chuvieco, E. Burned area detection and mapping using Sentinel-1 backscatter coefficient and thermal anomalies. Remote Sens. Environ. 2019, 233, 111345. [Google Scholar] [CrossRef]
- Hawbaker, T.J.; Vanderhoof, M.K.; Schmidt, G.L.; Beal, Y.J.; Picotte, J.J.; Takacs, J.D.; Falgout, J.T.; Dwyer, J.L. The Landsat Burned Area algorithm and products for the conterminous United States. Remote Sens. Environ. 2020, 244, 111801. [Google Scholar] [CrossRef]
- Rascón, J.; Angeles, W.G.; Oliva, M. Determinación de las épocas lluviosas y secas en la ciudad de Chachapoyas para el periodo de 2014–2018. REVISTA DE CLIMATOLOGÍA 2020, 20, 15–28. [Google Scholar]
- Inglis, N.C.; Vukomanovic, J. Visualizing when, where, and how fires happen in U.S. Parks and protected areas. ISPRS Int. J. Geo-Inf. 2020, 9, 333. [Google Scholar] [CrossRef]
- Bui, D.T.; Le, K.T.T.; Nguyen, V.C.; Le, H.D.; Revhaug, I. Tropical forest fire susceptibility mapping at the Cat Ba National Park area, Hai Phong City, Vietnam, using GIS-based Kernel logistic regression. Remote Sens. 2016, 8, 347. [Google Scholar] [CrossRef]
- Oliveira, S.; Oehler, F.; San-Miguel-Ayanz, J.; Camia, A.; Pereira, J.M.C. Modeling spatial patterns of fire occurrence in Mediterranean Europe using Multiple Regression and Random Forest. For. Ecol. Manag. 2012, 275, 117–129. [Google Scholar] [CrossRef]
- Jaiswal, R.K.; Mukherjee, S.; Raju, K.D.; Saxena, R. Forest fire risk zone mapping from satellite imagery and GIS. Int. J. Appl. Earth Obs. Geoinf. 2002, 4, 1–10. [Google Scholar] [CrossRef]
- Su, Z.; Hu, H.; Tigabu, M.; Wang, G.; Zeng, A.; Guo, F. Geographically weighted negative Binomial regression model predicts wildfire occurrence in the Great Xing’an Mountains better than negative Binomial Model. Forests 2019, 10, 377. [Google Scholar] [CrossRef]
- Cruz, M.G.; Alexander, M.E. Modelling the rate of fire spread and uncertainty associated with the onset and propagation of crown fires in conifer forest stands. Int. J. Wildl. Fire 2017, 26, 413–426. [Google Scholar] [CrossRef]
- Maletta, H.E. La pequeña agricultura familiar en el Perú: Una tipología microrregionalizada; FAO: Lima, Peru, 2017; Available online: http://www.fao.org/3/a-i6759s.pdf (accessed on 24 April 2020).
- Truckenbrodt, J.; Freemantle, T.; Williams, C.; Jones, T.; Small, D.; Dubois, C.; Thiel, C.; Rossi, C.; Syriou, A.; Giuliani, G. Towards Sentinel-1 SAR analysis-ready data: A best practices assessment on preparing backscatter data for the cube. Data 2019, 4, 93. [Google Scholar] [CrossRef]
- ESA. Sentinel-1. Available online: https://sentinel.esa.int/web/sentinel/missions/sentinel-1 (accessed on 13 September 2020).
- Verhegghen, A.; Eva, H.; Ceccherini, G.; Achard, F.; Gond, V.; Gourlet-Fleury, S.; Cerutti, P.O. The potential of Sentinel satellites for burnt area mapping and monitoring in the Congo Basin forests. Remote Sens. 2016, 8, 986. [Google Scholar] [CrossRef]
- Cilli, R.; Monaco, A.; Amoroso, N.; Tateo, A.; Tangaro, S.; Bellotti, R. Machine learning for cloud detection of globally distributed Sentinel-2 images. Remote Sens. 2020, 12, 2355. [Google Scholar] [CrossRef]
- Nazarova, T.; Martin, P.; Giuliani, G. Monitoring vegetation change in the presence of high cloud cover with Sentinel-2 in a lowland tropical forest region in Brazil. Remote Sens. 2020, 12, 1829. [Google Scholar] [CrossRef]









| Collection | Spectral Bands | Temporal Resolution | Spatial Resolution | Nr. of Images * (Cloud Cover < 50%) | ||
|---|---|---|---|---|---|---|
| 2017 | 2018 | 2019 | ||||
| LANDSAT/LC08/C01/T1_SR | 9 bands | 16 days | 30 m | 28 | 39 | 33 |
| COPERNICUS/S2 | 13 bands | 5 days | 10, 20, and 60 m | 156 | 487 | 426 |
| Landsat-8/OLI (μm) | Band | Resolution (m) | Sentinel–2/MSI (μm) | Band | Resolution (m) |
|---|---|---|---|---|---|
| Band 2 (0.45–0.51) | Blue | 30 | Band 2 (0.46–0.52) | Blue | 10 |
| Band 3 (0.53–0.59) | Green | 30 | Band 3 (0.54–0.58) | Green | 10 |
| Band 4 (0.64–0.67) * | Red | 30 | Band 4 (0.65–0.68) * | Red | 10 |
| Band 5 (0.85–0.88) * | NIR | 30 | Band 5 (0.7–0.71) | Red-edge-1 | 20 |
| Band 6 (1.57–1.65) * | SWIR-1 | 30 | Band 6 (0.73–0.75) | Red-edge-2 | 20 |
| Band 7 (2.11–2.29) * | SWIR-2 | 30 | Band 7 (0.76–0.78) | Red-edge-3 | 20 |
| Band 8 (0.50– 0.68) | Panchromatic | 15 | Band 8 (0.78–0.90) * | NIR | 10 |
| Band 8A (0.85–0.87) | NIR plateau | 20 | |||
| Band 11 (1.56–1.65) * | SWIR-1 | 20 | |||
| Band 12 (2.10–2.28) * | SWIR-2 | 20 |
| Name | Abbreviation | Formula | Source |
|---|---|---|---|
| Normalized Difference Vegetation Index | NDVI | [61] | |
| Normalized Burn Ratio | NBR | [36] | |
| Normalized Burn Ratio 2 | NBR2 | [39] | |
| Mid-InfraRed Burn Index | MIRBI | [38] |
| Year | Satellite | PA (%) | UA (%) | Accuracy | F-Score (F1) | Qt (Quantity Component) | Et (Exchange Component) | ||
|---|---|---|---|---|---|---|---|---|---|
| Burnt | Unburnt | Burnt | Unburnt | (%) | (%) | ||||
| 2017 | Landsat-8 | 98.5 | 86.2 | 84.2 | 98.7 | 91.4 | 90.8 | 85 | 15 |
| Sentinel-2 | 98.6 | 95.3 | 95.2 | 98.7 | 96.9 | 96.9 | 57 | 43 | |
| 2018 | Landsat 8 | 98.1 | 74.8 | 66.7 | 98.7 | 82.7 | 79.4 | 92 | 8 |
| Sentinel-2 | 96.8 | 92.5 | 92.1 | 96.9 | 94.5 | 94.4 | 44 | 56 | |
| 2019 | Landsat-8 | 97.8 | 83 | 79.8 | 98.2 | 89 | 87.9 | 84 | 16 |
| Sentinel-2 | 97.8 | 99.1 | 99.1 | 97.8 | 98.5 | 98.5 | 43 | 57 | |
| Satellite | Burnt Areas (km2) | ||
|---|---|---|---|
| 2017 | 2018 | 2019 | |
| Landsat-8 | 16.39 | 6.24 | 32.93 |
| Sentinel-2 | 16.55 | 78.50 | 67.19 |
| Burnt Area | Sentinel-2 | Spatial Comparison | ||||
|---|---|---|---|---|---|---|
| Burnt | Unburnt | Total (km2) | Omission | Extension | ||
| 2017 | ||||||
| Landsat-8 | Burnt | 3.51 | 12.88 | 16.39 | 0.21 * | 1.00 ** |
| Unburnt | 13.04 | 39,277.04 | 39,290.08 | |||
| Total (km2) | 16.55 | 39,289.92 | 39,306.47 | Q Coefficient | 1 | |
| 2018 | ||||||
| Landsat-8 | Burnt | 2.35 | 3.89 | 6.24 | 0.38 * | 1.00 ** |
| Unburnt | 76.15 | 39,224.09 | 39,300.24 | |||
| Total (km2) | 78.50 | 39,227.98 | 39,306.47 | Q Coefficient | 0.99 | |
| 2019 | ||||||
| Landsat-8 | Burnt | 18.88 | 14.05 | 32.93 | 0.57 * | 1.00 ** |
| Unburnt | 48.31 | 39,225.23 | 39,273.54 | |||
| Total (km2) | 67.19 | 39,239.28 | 39,306.47 | Q Coefficient | 1.00 | |
© 2020 by the authors. Licensee MDPI, Basel, Switzerland. This article is an open access article distributed under the terms and conditions of the Creative Commons Attribution (CC BY) license (http://creativecommons.org/licenses/by/4.0/).
Share and Cite
Barboza Castillo, E.; Turpo Cayo, E.Y.; de Almeida, C.M.; Salas López, R.; Rojas Briceño, N.B.; Silva López, J.O.; Barrena Gurbillón, M.Á.; Oliva, M.; Espinoza-Villar, R. Monitoring Wildfires in the Northeastern Peruvian Amazon Using Landsat-8 and Sentinel-2 Imagery in the GEE Platform. ISPRS Int. J. Geo-Inf. 2020, 9, 564. https://doi.org/10.3390/ijgi9100564
Barboza Castillo E, Turpo Cayo EY, de Almeida CM, Salas López R, Rojas Briceño NB, Silva López JO, Barrena Gurbillón MÁ, Oliva M, Espinoza-Villar R. Monitoring Wildfires in the Northeastern Peruvian Amazon Using Landsat-8 and Sentinel-2 Imagery in the GEE Platform. ISPRS International Journal of Geo-Information. 2020; 9(10):564. https://doi.org/10.3390/ijgi9100564
Chicago/Turabian StyleBarboza Castillo, Elgar, Efrain Y. Turpo Cayo, Cláudia Maria de Almeida, Rolando Salas López, Nilton B. Rojas Briceño, Jhonsy Omar Silva López, Miguel Ángel Barrena Gurbillón, Manuel Oliva, and Raul Espinoza-Villar. 2020. "Monitoring Wildfires in the Northeastern Peruvian Amazon Using Landsat-8 and Sentinel-2 Imagery in the GEE Platform" ISPRS International Journal of Geo-Information 9, no. 10: 564. https://doi.org/10.3390/ijgi9100564
APA StyleBarboza Castillo, E., Turpo Cayo, E. Y., de Almeida, C. M., Salas López, R., Rojas Briceño, N. B., Silva López, J. O., Barrena Gurbillón, M. Á., Oliva, M., & Espinoza-Villar, R. (2020). Monitoring Wildfires in the Northeastern Peruvian Amazon Using Landsat-8 and Sentinel-2 Imagery in the GEE Platform. ISPRS International Journal of Geo-Information, 9(10), 564. https://doi.org/10.3390/ijgi9100564

