Generating Different Urban Land Configurations Based on Heterogeneous Decisions of Private Land Developers: An Agent-Based Approach in a Developing Country Context
Abstract
1. Introduction
2. Study Area and Model Development
2.1. Study Area
2.2. Model Development
2.2.1. The Agent Module
2.2.2. The Environment Module
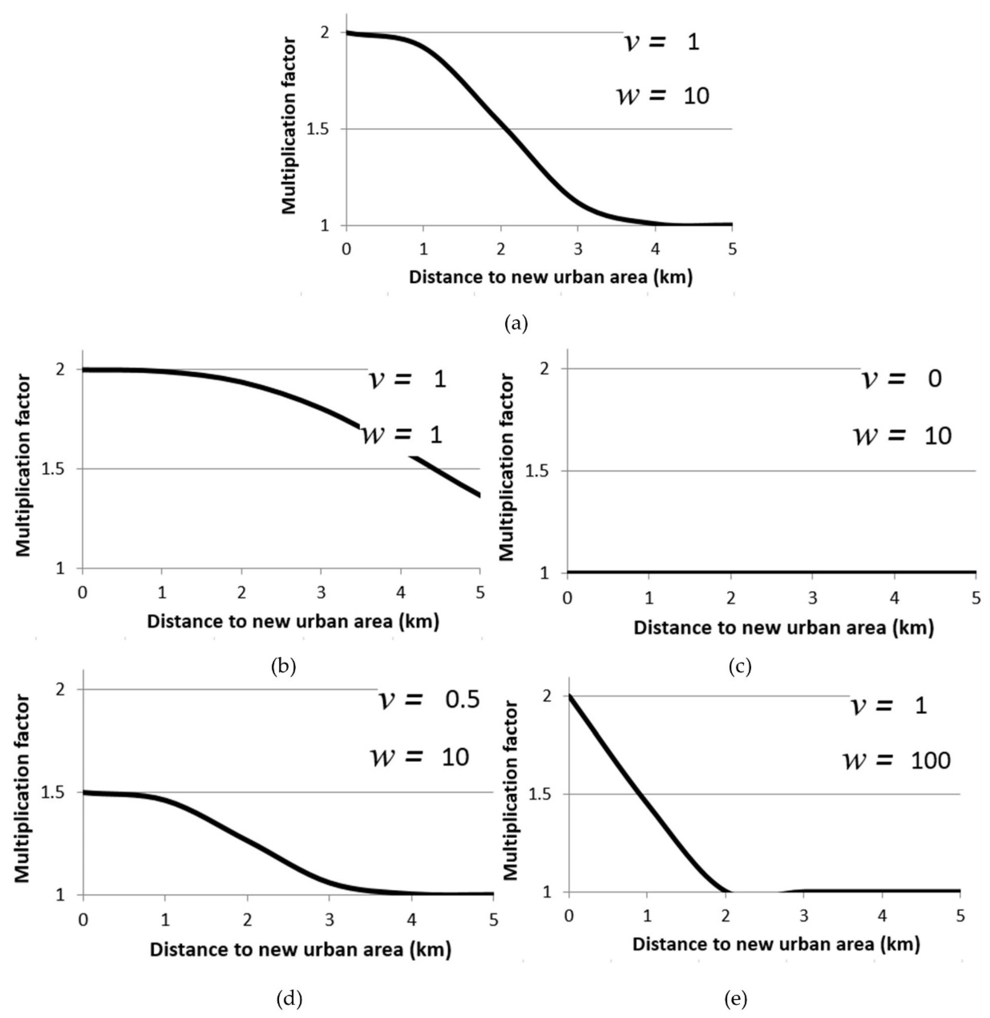
2.2.3. The Interaction Module
2.3. Temporal Dimension
2.4. Scenario Testing
3. Results
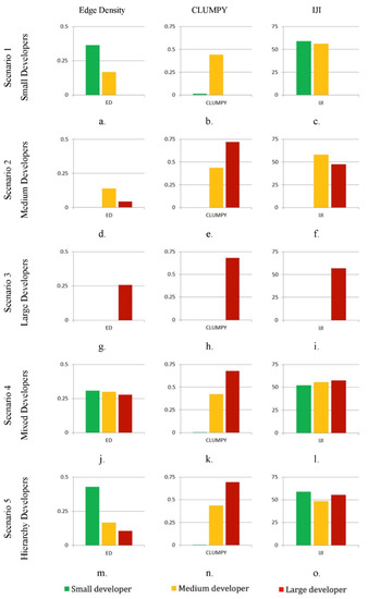
3.1. Urban Expansion
3.2. Simulated Land Values
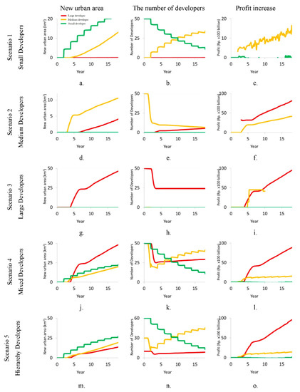
3.3. Urban Development over Time
4. Discussion
5. Limitations and Conclusions
Author Contributions
Funding
Conflicts of Interest
References
- Rudin, J.R. The Changing Structure of the Land Development Industry in the Toronto Area; University of Toronto, Centre for Urban and Community Studies: Toronto, ON, Canada, 1978. [Google Scholar]
- Coiacetto, E.J. Places shape place shapers? Real estate developers’ outlooks concerning community, planning and development differ between places. Plan. Pract. Res. 2000, 15, 353–374. [Google Scholar] [CrossRef]
- Kaiser, E.J. Locational decision factors in a producer model of residential development. Land Econ. 1968, 44, 351–362. [Google Scholar] [CrossRef]
- Ligmann-Zielinska, A. The impact of risk-taking attitudes on a land use pattern: An agent-based model of residential development. J. Land Use Sci. 2009, 4, 215–232. [Google Scholar] [CrossRef]
- UN-DESA. World Urbanization Prospects: The 2014 Revision; UN: New York, NY, USA, 2014. [Google Scholar]
- Morgan, F.; O’Sullivan, D. Residential Developers: Competition, Behaviour and the Resulting Urban Landscape. 2009. Available online: http://www.geocomputation.org (accessed on 4 January 2019).
- Mohamed, R. Why do residential developers prefer large exurban lots? Infrastructure costs and exurban development. Environ. Plan. B Plan. Des. 2009, 36, 12–29. [Google Scholar] [CrossRef]
- Diappi, L.; Bolchi, P. Smith’s rent gap theory and local real estate dynamics: A multi-agent model. Comput. Environ. Urban Syst. 2008, 32, 6–18. [Google Scholar] [CrossRef]
- Tan, R.; Liu, Y.; Zhou, K.; Jiao, L.; Tang, W. A game-theory based agent-cellular model for use in urban growth simulation: A case study of the rapidly urbanizing Wuhan area of central China. Comput. Environ. Urban Syst. 2015, 49, 15–29. [Google Scholar] [CrossRef]
- Coiacetto, E. Diversity in real estate developer behaviour: A case for research. Urban Policy Res. 2001, 19, 43–59. [Google Scholar] [CrossRef]
- Coiacetto, E. Real estate development industry structure: Consequences for urban planning and development. Plan. Pract. Res. 2006, 21, 423–441. [Google Scholar] [CrossRef]
- Grimm, V.; Railsback, S.F. Individual-Based Modeling and Ecology; Princeton University Press: Princeton, NJ, USA, 2005. [Google Scholar]
- Auchincloss, A.H.; Diez Roux, A.V. A new tool for epidemiology: The usefulness of dynamic-agent models in understanding place effects on health. Am. J. Epidemiol. 2008, 168, 1–8. [Google Scholar] [CrossRef]
- Huang, Q.; Parker, D.C.; Filatova, T.; Sun, S. A review of urban residential choice models using agent-based modeling. Environ. Plan. B Plan. Des. 2014, 41, 661–689. [Google Scholar] [CrossRef]
- An, L. Modeling human decisions in coupled human and natural systems: Review of agent-based models. Ecol. Model. 2012, 229, 25–36. [Google Scholar] [CrossRef]
- Parker, D.C.; Manson, S.M.; Janssen, M.A.; Hoffmann, M.J.; Deadman, P. Multi-agent systems for the simulation of land-use and land-cover change: A review. Ann. Assoc. Am. Geogr. 2003, 93, 314–337. [Google Scholar] [CrossRef]
- Matthews, R.B.; Gilbert, N.G.; Roach, A.; Polhill, J.G.; Gotts, N.M. Agent-based land-use models: A review of applications. Landsc. Ecol. 2007, 22, 1447–1459. [Google Scholar] [CrossRef]
- Robinson, D.T.; Murray-Rust, D.; Rieser, V.; Milicic, V.; Rounsevell, M. Modelling the impacts of land system dynamics on human well-being: Using an agent-based approach to cope with data limitations in Koper, Slovenia. Comput. Environ. Urban Syst. 2012, 36, 164–176. [Google Scholar] [CrossRef]
- Wu, J.; Mohamed, R.; Wang, Z. Agent-based simulation of the spatial evolution of the historical population in China. J. Hist. Geogr. 2011, 37, 12–21. [Google Scholar] [CrossRef]
- Jjumba, A.; Dragićević, S. High Resolution Urban Land-use Change Modeling: Agent iCity Approach. Appl. Spat. Anal. Policy 2012, 5, 291–315. [Google Scholar] [CrossRef]
- Kaiser, E.J. A decision Agent Modeling Approach to Planning for Urban Residential Growth; University of North Carolina: Chapel Hill, NC, USA, 1970. [Google Scholar]
- Goldberg, M.A. Residential Developer Behavior: Some Empirical Findings. Land Econ. 1974, 50, 85–89. [Google Scholar] [CrossRef]
- Brown, D.G.; Robinson, D.T.; An, L.; Nassauer, J.I.; Zellner, M.; Rand, W.; Riolo, R.; Page, S.E.; Low, B.; Wang, Z. Exurbia from the bottom-up: Confronting empirical challenges to characterizing a complex system. Geoforum 2008, 39, 805–818. [Google Scholar] [CrossRef]
- Caruso, G.; Peeters, D.; Cavailhès, J.; Rounsevell, M. Spatial configurations in a periurban city. A cellular automata-based microeconomic model. Reg. Sci. Urban Econ. 2007, 37, 542–567. [Google Scholar] [CrossRef]
- Parker, D.C.; Meretsky, V. Measuring pattern outcomes in an agent-based model of edge-effect externalities using spatial metrics. Agric. Ecosyst. Environ. 2004, 101, 233–250. [Google Scholar] [CrossRef]
- Benenson, I. Multi-agent simulations of residential dynamics in the city. Comput. Environ. Urban Syst. 1998, 22, 25–42. [Google Scholar] [CrossRef]
- Fontaine, C.M.; Rounsevell, M.D.A. An agent-based approach to model future residential pressure on a regional landscape. Landsc. Ecol. 2009, 24, 1237–1254. [Google Scholar] [CrossRef]
- Lemoy, R.; Raux, C.; Jensen, P. An agent-based model of residential patterns and social structure in urban areas. Cyber. Eur. J. Geogr. 2010. [Google Scholar] [CrossRef]
- Heckbert, S.; Smajgl, A. Analysing urban systems using agent-based modelling. In Proceedings of the MODSIM, Melbourne, Australia, 12–15 December 2005; pp. 134–140. [Google Scholar]
- Caruso, G.; Vuidel, G.; Cavailhes, J.; Frankhauser, P.; Peeters, D.; Thomas, I. Morphological similarities between DBM and a microeconomic model of sprawl. J. Geogr. Syst. 2011, 13, 31–48. [Google Scholar] [CrossRef]
- Torrens, P.M. A Geographic Automata Model of Residential Mobility. Environ. Plan. B Plan. Des. 2007, 34, 200–222. [Google Scholar] [CrossRef]
- Parker, D.C.; Filatova, T. A conceptual design for a bilateral agent-based land market with heterogeneous economic agents. Comput. Environ. Urban Syst. 2008, 32, 454–463. [Google Scholar] [CrossRef]
- Filatova, T.; Parker, D.; van der Veen, A. Agent-based urban land markets: Agent’s pricing behavior, land prices and urban land use change. JASSS 2009, 12, 3. [Google Scholar]
- Gillen, M.; Fisher, P. Residential developer behaviour in land price determination. J. Prop. Res. 2002, 19, 39–59. [Google Scholar] [CrossRef]
- Smith, N. Gentrification and the Rent Gap. Ann. Assoc. Am. Geogr. 1987, 77, 462–465. [Google Scholar] [CrossRef]
- Li, X.; Liu, X. Defining agents’ behaviors to simulate complex residential development using multicriteria evaluation. J. Environ. Manag. 2007, 85, 1063–1075. [Google Scholar] [CrossRef] [PubMed]
- Zhang, H.; Zeng, Y.; Bian, L.; Yu, X. Modelling urban expansion using a multi agent-based model in the city of Changsha. J. Geogr. Sci. 2010, 20, 540–556. [Google Scholar] [CrossRef]
- Wahyudi, A.; Liu, Y.; Corcoran, J. Combining Landsat and landscape metrics to analyse large-scale urban land cover change: A case study in the Jakarta Metropolitan Area. J. Spat. Sci. 2018, 1–20. [Google Scholar] [CrossRef]
- Statistics Indonesia. Population of Indonesia by Province 1971, 1980, 1990, 1995, 2000 and 2010; BPS: Jakarta, Indonesia, 2015.
- URDI. Jakarta Metropolitan Region Policy Analysis: Final Report; Urban and Regional Development Institute: Jakarta, Indonesia, 2012. [Google Scholar]
- Dardak, A.H. Metropolitan di Indonesia: Kenyataan dan Tantangan Dalam Penataan Ruang; Direktorat Jenderal Penataan Ruang, Departemen Pekerjaan Umum: Jakarta, Indonesia, 2006. [Google Scholar]
- Firman, T. From ‘global city’ to ‘city of crisis’: Jakarta metropolitan region under economic turmoil. Habitat Int. 1999, 23, 447–466. [Google Scholar] [CrossRef]
- Silver, C. Planning the Megacity: Jakarta in the Twentieth Century; Routledge: New York, NY, USA, 2007. [Google Scholar]
- Firman, T. Large-Scale Housing and New Town Development in Jakarta Metropolitan Area (JMA): Towards an Urban Spatial Segregation; Department of Regional and City Planning, Institute of Technology Bandung: Bandung, Indonesia, 2004. [Google Scholar]
- Winarso, H. Developer’s Behaviour in Residential Land Development in Jabotabek, Indonesia; University of London: London, UK, 2000. [Google Scholar]
- Firman, T. Major issues in Indonesia’s urban land development. Land Use Policy 2004, 21, 347–355. [Google Scholar] [CrossRef]
- Struyk, R.J.; Hoffman, M.L.; Katsura, H.M. The Market for Shelter in Indonesian Cities; The Urban Insitute: Washington, DC, USA, 1990. [Google Scholar]
- Nichols, M. Road Costs Associated with Differing Forms of Urban Development; University of Sydney: Sydney, Australia, 2013. [Google Scholar]
- Kamps, S. Dual-Agent Simulation Model of the Residential Development Process: An Institutional Approach to Explaining the Spatial Patterns of Residential Developments in France, England and the Netherlands; Université de Franche-Comté: Besançon, France, 2013. [Google Scholar]
- Setiady, D. Daftar Harga Pasaran Tanah Menurut Klasifikasi jalan dan Peruntukan per Kelurahan se Kota Depok (Market Land Prices per District in Kota Depok); Depok City: Depok, Indonesia, 2011. [Google Scholar]
- Bonabeau, E. Agent-based modeling: Methods and techniques for simulating human systems. Proc. Natl. Acad. Sci. USA 2002, 99, 7280–7287. [Google Scholar] [CrossRef]
- Simmonds, D.; Waddell, P.; Wegener, M. Equilibrium versus dynamics in urban modelling. Environ. Plan. B Plan. Des. 2013, 40, 1051–1070. [Google Scholar] [CrossRef]
- Wilensky, A. NetLogo. Available online: http://ccl.northwestern.edu/netlogo/ (accessed on 4 January 2019).
- McGarigal, K. FRAGSTATS: Spatial Pattern Analysis Program for Quantifying Landscape Structure; General Technical Report PNW-351; USDA Forest Service: Portland, OR, USA, 2013.
- Deng, J.S.; Wang, K.; Hong, Y.; Qi, J.G. Spatio-temporal dynamics and evolution of land use change and landscape pattern in response to rapid urbanization. Landsc. Urban Plan. 2009, 92, 187–198. [Google Scholar] [CrossRef]
- Romano, B.; Zullo, F.; Fiorini, L.; Ciabò, S.; Marucci, A. Sprinkling: An approach to describe urbanization dynamics in Italy. Sustainability 2017, 9, 97. [Google Scholar] [CrossRef]
- Malanson, G.P.; Walsh, S.J. Agent-based models: Individuals interacting in space. Appl. Geogr. 2015, 56, 95–98. [Google Scholar] [CrossRef]
- Xie, Y.; Batty, M.; Zhao, K. Simulating emergent urban form using agent-based modeling: Desakota in the Suzhou-Wuxian region in China. Ann. Assoc. Am. Geogr. 2007, 97, 477–495. [Google Scholar] [CrossRef]
- Ligtenberg, A.; Wachowicz, M.; Bregt, A.K.; Beulens, A.; Kettenis, D.L. A design and application of a multi-agent system for simulation of multi-actor spatial planning. J. Environ. Manag. 2004, 72, 43–55. [Google Scholar] [CrossRef] [PubMed]
- Simon, H. Bounded rationality in social science: Today and tomorrow. Mind Soc. 2000, 1, 25–39. [Google Scholar] [CrossRef]







| Key Parameters | Small Developer | Medium Developer | Large Developer |
|---|---|---|---|
| Capital (US$. million) | 70–140 | 140–500 | 500–700 |
| Initial loan (% of capital) | 20 | 50 | 75 |
| Profit margin (% of capital) | >0 | 15 | 15 |
| Search radius (km) | 9 | 30 | 150 |
| Operation cost (US$ per month) | 700 | 3500 | 7000 |
| Urban land per development (ha) | 10 | 50 | 100 |
| Construction time (months) | 24 | 36 | 48 |
| Development Stage | Small Developer | Medium Developer | Large Developer |
|---|---|---|---|
| Land searching | Search in the area where no developer has visited before, within a 10 km radius and in the municipality where the developer is located. | Search in an area where no developer has visited before. | Search in an area where no developer has visited before. |
| Land assessment | Assess development cost, including land acquisition and land clearing costs. | Assess development cost, including land acquisition and land clearing costs and costs for the construction of connection road. | Assess development cost, including land acquisition and land clearing costs and costs for the construction of connection road. |
| Land acquisition | Purchase when cost is lower than capital possession and revenue is positive; otherwise, leave the site. | Purchase when cost is lower than capital, revenue is 15% more than initial investment and the profit is more than the expected; otherwise, leave the site. | Purchase when cost is lower than capital, revenue is 15% more than initial investments and the profit is more than expected; otherwise, leave the site. |
| Land development action | Develop the land and release it to market in 24 months. | Develop the land and release it to market in 36 months. | Develop the land and release it to market in 48 months. |
| Scenarios | Number of Developers | ||
|---|---|---|---|
| Small | Medium | Large | |
| Scenario 1 (small developers only) | 50 | 0 | 0 |
| Scenario 2 (medium developers only) | 0 | 50 | 0 |
| Scenario 3 (large developers only) | 0 | 0 | 50 |
| Scenario 4 (equal mixed of developers) | 50 | 50 | 50 |
| Scenario 5 (hierarchical mix of developers) | 60 | 30 | 10 |
© 2019 by the authors. Licensee MDPI, Basel, Switzerland. This article is an open access article distributed under the terms and conditions of the Creative Commons Attribution (CC BY) license (http://creativecommons.org/licenses/by/4.0/).
Share and Cite
Wahyudi, A.; Liu, Y.; Corcoran, J. Generating Different Urban Land Configurations Based on Heterogeneous Decisions of Private Land Developers: An Agent-Based Approach in a Developing Country Context. ISPRS Int. J. Geo-Inf. 2019, 8, 229. https://doi.org/10.3390/ijgi8050229
Wahyudi A, Liu Y, Corcoran J. Generating Different Urban Land Configurations Based on Heterogeneous Decisions of Private Land Developers: An Agent-Based Approach in a Developing Country Context. ISPRS International Journal of Geo-Information. 2019; 8(5):229. https://doi.org/10.3390/ijgi8050229
Chicago/Turabian StyleWahyudi, Agung, Yan Liu, and Jonathan Corcoran. 2019. "Generating Different Urban Land Configurations Based on Heterogeneous Decisions of Private Land Developers: An Agent-Based Approach in a Developing Country Context" ISPRS International Journal of Geo-Information 8, no. 5: 229. https://doi.org/10.3390/ijgi8050229
APA StyleWahyudi, A., Liu, Y., & Corcoran, J. (2019). Generating Different Urban Land Configurations Based on Heterogeneous Decisions of Private Land Developers: An Agent-Based Approach in a Developing Country Context. ISPRS International Journal of Geo-Information, 8(5), 229. https://doi.org/10.3390/ijgi8050229

