Applicability of Remote Sensing-Based Vegetation Water Content in Modeling Lightning-Caused Forest Fire Occurrences
Abstract
1. Introduction
2. Study Area and Data Requirements
3. Methods
3.1. Preprocessing of Lightning-Caused Fire Occurrences
3.2. Preprocessing Satellite Data
3.3. Model Development and Validation
4. Results
4.1. Annual Dynamic of NDWI Values
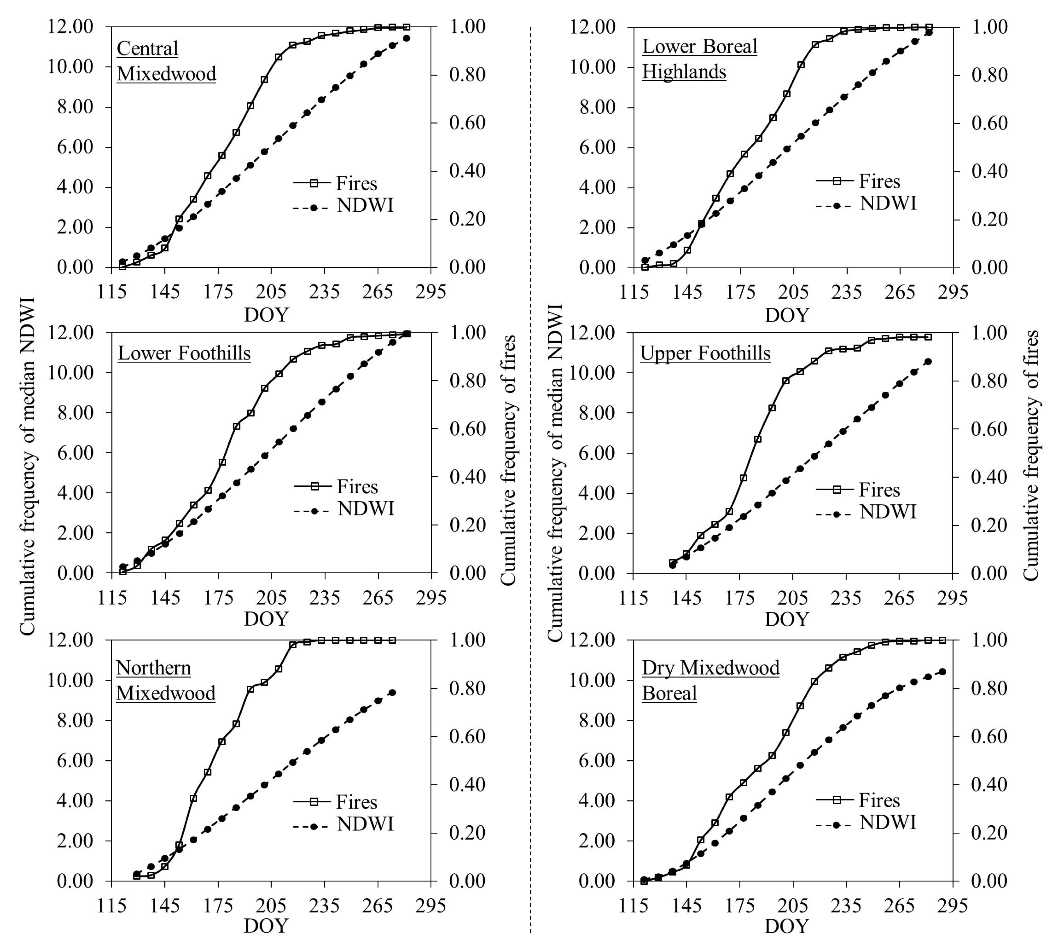
4.2. Subregion-Specific Lightning-Caused Fire Season Dynamic
4.3. Model Development and Validation
5. Discussion
6. Conclusions
Author Contributions
Acknowledgments
Conflicts of Interest
References
- Natural Resources Canada Facts about Wildland Fires in Canada. Available online: http://www.nrcan.gc.ca/forests/fire-insects-disturbances/fire/13143 (accessed on 10 December 2015).
- Fang, L.; Yang, J.; Zu, J.; Li, G.; Zhang, J. Quantifying influences and relative importance of fire weather, topography, and vegetation on fire size and fire severity in a Chinese boreal forest landscape. For. Ecol. Manag. 2015, 356, 2–12. [Google Scholar] [CrossRef]
- Wang, Y.; Anderson, K.R. An evaluation of spatial and temporal patterns of lightning- and human-caused forest fires in Alberta, Canada, 1980–2007. Int. J. Wildland Fire 2010, 19, 1059–1072. [Google Scholar] [CrossRef]
- Li, C.; Liu, J.; Lafortezza, R.; Chen, J. Managing Forest Landscapes under Global Change Scenarios. In Landscape Ecology in Forest Management and Conservation: Challenges and Solutions for Global Change; Springer: Berlin, Germany, 2011; pp. 3–21. [Google Scholar]
- Kasischke, E.S.; Turetsky, M.R. Recent changes in the fire regime across the North American boreal region—Spatial and temporal patterns of burning across Canada and Alaska. Geophys. Res. Lett. 2006, 33. [Google Scholar] [CrossRef]
- Wotton, B.M.; Martell, D.L. A lightning fire occurrence model for Ontario. Can. J. For. Res. 2005, 35, 1389–1401. [Google Scholar] [CrossRef]
- Chen, F.; Du, Y.; Niu, S.; Zhao, J. Modeling forest lightning fire occurrence in the Daxinganling Mountains of Northeastern China with MAXENT. Forests 2015, 6, 1422–1438. [Google Scholar] [CrossRef]
- Liu, W.; Wang, S.; Zhou, Y.; Wang, L.; Zhu, J.; Wang, F. Lightning-caused forest fire risk rating assessment based on case-based reasoning: A case study in DaXingAn Mountains of China. Nat. Hazards. 2016, 81, 347–363. [Google Scholar] [CrossRef]
- Cha, D.H.; Wang, X.; Kim, J.W. Assessing lightning and wildfire hazard by land properties and cloud to ground lightning data with association rule mining in Alberta, Canada. Sensors 2017, 17, 2413. [Google Scholar] [CrossRef] [PubMed]
- Abdollahi, M.; Islam, T.; Gupta, A.; Hassan, Q. An advanced forest fire danger forecasting system: Integration of remote sensing and historical sources of ignition data. Remote Sens. 2018, 10, 923. [Google Scholar] [CrossRef]
- Abatzoglou, J.T.; Kolden, C.A.; Balch, J.K.; Bradley, B.A. Controls on interannual variability in lightning-caused fire activity in the western US. Environ. Res. Lett. 2016, 11, 045005. [Google Scholar] [CrossRef]
- Podur, J.; Martell, D.L.; Csillag, F. Spatial patterns of lightning-caused forest fires in Ontario, 1976–1998. Ecol. Modell. 2003, 164, 1–20. [Google Scholar] [CrossRef]
- Krawchuk, M.A.; Cumming, S.G.; Flannigan, M.D.; Wein, R.W. Biotic and abiotic regulation of lightning fire inititation in the mixedwood boreal forest. Ecology 2006, 87, 458–468. [Google Scholar] [CrossRef] [PubMed]
- Nurdiana, A.; Risdiyanto, I. Indicator determination of forest and land fires vulnerability using Landsat-5 TM data (Case Study: Jambi Province). Procedia Environ. Sci. 2015, 24, 141–151. [Google Scholar] [CrossRef]
- Zhang, J.H.; Yao, F.M.; Liu, C.; Yang, L.M.; Boken, V.K. Detection, emission estimation and risk prediction of forest fires in China using satellite sensors and simulation models in the past three decades-An overview. Int. J. Environ. Res. Public Health 2011, 8, 3156–3178. [Google Scholar] [CrossRef]
- Verbesselt, J.; Somers, B.; Lhermitte, S.; Jonckheere, I.; van Aardt, J.; Coppin, P. Monitoring herbaceous fuel moisture content with SPOT VEGETATION time-series for fire risk prediction in savanna ecosystems. Remote Sens. Environ. 2007, 108, 357–368. [Google Scholar] [CrossRef]
- Dasgupta, S.; Qu, J.J.; Hao, X. Moisture estimations for fire behavior predictions. Remote Sens. Environ. 2007, 108, 138–150. [Google Scholar] [CrossRef]
- Hoscilo, A.; Tansey, K.J.; Page, S.E. Post-fire vegetation response as a proxy to quantify the magnitude of burn severity in tropical peatland. Int. J. Remote Sens. 2013, 34, 412–433. [Google Scholar] [CrossRef]
- Jaya, I.N.S.; Purnama, E.S.; Arianti, I.; Boonyanuphap, J. Forest fire risk assessment model and post-fire evaluation using remote sensing and GIS: A case study in Riau, west Kalimantan and east Kalimantan provinces, Indonesia. In Proceedings of the The Forest Restoration and Rehabilitation Training Course and Workshop in the Viiki Tropical Resources Institute (VITRI) of the University of Helsinki, Helsinki, Finland, 13–19 May 2007; pp. 1–24. [Google Scholar]
- Sekhon, N.S.; Hassan, Q.K.; Sleep, R.W. Evaluating potential of MODIS-based indices in determining “snow gone” stage over forest-dominant regions. Remote Sens. 2010, 2, 1348–1363. [Google Scholar] [CrossRef]
- Delbart, N.; Kergoat, L.; Le Toan, T.; Lhermitte, J.; Picard, G. Determination of phenological dates in boreal regions using normalized difference water index. Remote Sens. Environ. 2005, 97, 26–38. [Google Scholar] [CrossRef]
- Sekhon, N.S.; Hassan, Q.K.; Kamal, M.M. Remote sensing-based determination of conifer needle flushing phenology over boreal-dominant regions. In Remote Sensing Applications in Environmental Research; Srivastava, P.K., Mukherjee, S., Gupta, M., Islam, T., Eds.; Society of Earth Scientists Series; Springer International Publishing: Cham, Switzerland, 2014. [Google Scholar]
- Hassan, Q.K.; Rahman, K.M. Remote sensing-based determination of understory grass greening stage over boreal forest. J. Appl. Remote Sens. 2013, 7, 073578. [Google Scholar] [CrossRef]
- Hassan, Q.K.; Rahman, K.M. Applicability of remote sensing-based surface temperature regimes in determining deciduous phenology over boreal forest. J. Plant. Ecol. 2013, 6, 84–91. [Google Scholar] [CrossRef]
- Bajocco, S.; Koutsias, N.; Ricotta, C. Linking fire ignitions hotspots and fuel phenology: The importance of being seasonal. Ecol. Indic. 2017, 82, 433–440. [Google Scholar] [CrossRef]
- Bajocco, S.; Guglietta, D.; Ricotta, C. Modelling fire occurrence at regional scale: Does vegetation phenology matter? Eur. J. Remote Sens. 2015, 48, 763–775. [Google Scholar] [CrossRef]
- Bowyer, P.; Danson, F.M. Sensitivity of spectral reflectance to variation in live fuel moisture content at leaf and canopy level. Remote Sens. Environ. 2004, 92, 297–308. [Google Scholar] [CrossRef]
- Belda, M.; Holtanová, E.; Halenka, T.; Kalvová, J. Climate classification revisited: From Köppen to Trewartha. Clim. Res. 2014, 59, 1–13. [Google Scholar] [CrossRef]
- Downing, D.J.; Pettapiece, W.W. Natural Regions and Subregions of Alberta; Government of Alberta: Edmonton, AB, Canada, 2006.
- Manikandan, S. Measures of central tendency: Median and mode. J. Pharmacol. Pharmacother. 2011, 2, 214. [Google Scholar] [CrossRef] [PubMed]
- Bhuyan, U.; Zang, C.; Vicente-Serrano, S.M.; Menzel, A. Exploring relationships among tree-ring growth, climate variability, and seasonal leaf activity on varying timescales and spatial resolutions. Remote Sens. 2017, 9, 526. [Google Scholar] [CrossRef]
- Swain, S.; Wardlow, B.D.; Narumalani, S.; Tadesse, T.; Callahan, K. Assessment of vegetation response to drought in Nebraska using Terra-MODIS land surface temperature and normalized difference vegetation index. GISci. Remote Sens. 2013, 48, 432–455. [Google Scholar] [CrossRef]
- McLaurin, M.K.; Turvey, C.G. Applicability of the normalized difference vegetation index in index-based crop insurance design. Weather Clim. Soc. 2011, 4, 271–284. [Google Scholar] [CrossRef]
- Wall, L.; Larocque, D.; Léger, P.M. The early explanatory power of NDVI in crop yield modelling. Int. J. Remote Sens. 2008, 29, 2211–2225. [Google Scholar] [CrossRef]
- Cihlar, J.; Laurent, L.S.; Dyer, J.A. Relation between the normalized difference vegetation index and ecological variables. Remote Sens. Environ. 1991, 35, 279–298. [Google Scholar] [CrossRef]
- Qi, Y.; Dennison, P.E.; Spencer, J.; Riano, D. Monitoring live fuel moisture using soil moisture and remote sensing proxies. Fire Ecol. 2012, 8, 71–87. [Google Scholar] [CrossRef]
- Vandegehuchte, M.L.; de la Peña, E.; Bonte, D. Relative importance of biotic and abiotic soil components to plant growth and insect herbivore population dynamics. PLoS ONE 2010, 5, e12937. [Google Scholar] [CrossRef] [PubMed]
- Hassan, Q.K.; Bourque, C.P.A. Potential species distribution of balsam fir based on the integration of biophysical variables derived with remote sensing and process-based methods. Remote Sens. 2009, 1, 393–407. [Google Scholar] [CrossRef]
- Hassan, Q.K.; Bourque, C.P.A.; Meng, F.R. Estimation of daytime net ecosystem CO2 exchange over balsam fir forests in eastern Canada: Combining averaged tower-based flux measurements with remotely sensed MODIS data. Can. J. Remote Sens. 2006, 32, 405–416. [Google Scholar] [CrossRef]
- Dupilka, M.L.; Reuter, G.W. Composite soundings associated with severe and tornadic thunderstorms in Central Alberta. Atmos. Ocean. 2011, 49, 269–278. [Google Scholar] [CrossRef]
- Brimelow, J.C.; Reuter, G.W.; Poolman, E.R. Modeling maximum hail size in Alberta thunderstorms. Weather Forecast 2002, 17, 1048–1062. [Google Scholar] [CrossRef]
- Negi, M.S.; Kumar, A. Assessment of increasing threat of forest fires in Uttarakhand, Using Remote Sensing and Gis Techniques. Glob. J. Adv. Res. 2016, 3, 457–468. [Google Scholar]
- Bond, W.J.; Keeley, J.E. Fire as a global ‘herbivore’: The ecology and evolution of flammable ecosystems. Trends Ecol. Evol. 2005, 20, 387–394. [Google Scholar] [CrossRef] [PubMed]
- Tymstra, C.; Wang, D.; Rogeau, M.P. Alberta Wildfire Regime Analysis; Alberta Department of Sustainable Resource Development, Forest Protection Division, Wildfire Policy and Business Planning Branch: Edmonton, AB, Canada, 2005.
- Government of Alberta. Flat Top Complex Wildfire Review Committee Flat Top Complex: Final Report from the Flat Top Complex Wildfire Review Committee; Government of Alberta: Edmonton, AB, Canada, 2012.
- Westerling, A.L.; Hidalgo, H.G.; Cayan, D.R.; Swetnam, T.W. Warming and earlier spring increase Western U.S. forest wildfire activity. Science 2006, 313, 940–943. [Google Scholar] [CrossRef]
- Martell, D.L.; Otukol, S.; Stocks, B.J. A logistic model for predicting daily people-caused forest fire occurrence in Ontario. Can. J. For. Res. 1987, 17, 394–401. [Google Scholar] [CrossRef]
- Kilinc, M.; Beringer, J. The spatial and temporal distribution of lightning strikes and their relationship with vegetation type, elevation, and fire scars in the northern Territory. J. Clim. 2007, 20, 1161–1173. [Google Scholar] [CrossRef]
- Chowdhury, E.H.; Hassan, Q.K. Use of remote sensing-derived variables in developing a forest fire danger forecasting system. Nat. Hazards. 2013, 67, 321–334. [Google Scholar] [CrossRef]
- Chowdhury, E.H.; Hassan, Q.K. Development of a new daily-scale forest fire danger forecasting system using remote sensing data. Remote Sens. 2015, 7, 2431–2448. [Google Scholar] [CrossRef]
- Akther, M.S.; Hassan, Q.K. Remote sensing-based assessment of fire danger conditions over boreal forest. IEEE J. Sel. Top. Appl. Earth Obs. Remote Sens. 2011, 4, 992–999. [Google Scholar] [CrossRef]








| Natural Subregion | Dominant Vegetation Type | % of Fires Caused by Lightning Strikes during 2005–2016 |
|---|---|---|
| Central Mixedwood | Aspen | 42 |
| Lower Boreal Highlands | Lodgepole pine and jack pine | 15 |
| Lower Foothills | A mixed of aspen–lodgepole pine–white spruce | 13 |
| Upper Foothills | Lodgepole pine | 7 |
| Northern Mixedwood | A mixed of aspen, white spruce, and black spruce | 6 |
| Dry Mixedwood Boreal | A combination of cultivated areas and aspen forests | 6 |
| Data Type | Source | Period | Specification | Utilization |
|---|---|---|---|---|
| Remote sensing | NASA | 2005–2016 | Eight-day composite of surface reflectance (i.e., MOD09A1) at 500-m spatial resolution | Employed to generate subregion-specific NDWI over our study area of interest |
| Ground | Alberta Forest Service, Govt. of Alberta | 2005–2012 | Historical lightning-caused fire dataset consisting of 3905 fires | Used as calibration dataset for model development |
| 2013–2016 | Historical lightning-caused fire dataset consisting of 1826 fires | Employed as validation dataset for model validation | ||
| GIS layers | Alberta Forest Service, Govt. of Alberta | 2006 | Geographical boundary of Alberta | Used to clip the calculated NDWI |
| Natural subregions of Alberta at 250-m spatial resolution | Used to subdivide lightning-caused fire occurrences at the subregion level |
© 2019 by the authors. Licensee MDPI, Basel, Switzerland. This article is an open access article distributed under the terms and conditions of the Creative Commons Attribution (CC BY) license (http://creativecommons.org/licenses/by/4.0/).
Share and Cite
Abdollahi, M.; Dewan, A.; Hassan, Q.K. Applicability of Remote Sensing-Based Vegetation Water Content in Modeling Lightning-Caused Forest Fire Occurrences. ISPRS Int. J. Geo-Inf. 2019, 8, 143. https://doi.org/10.3390/ijgi8030143
Abdollahi M, Dewan A, Hassan QK. Applicability of Remote Sensing-Based Vegetation Water Content in Modeling Lightning-Caused Forest Fire Occurrences. ISPRS International Journal of Geo-Information. 2019; 8(3):143. https://doi.org/10.3390/ijgi8030143
Chicago/Turabian StyleAbdollahi, Masoud, Ashraf Dewan, and Quazi K. Hassan. 2019. "Applicability of Remote Sensing-Based Vegetation Water Content in Modeling Lightning-Caused Forest Fire Occurrences" ISPRS International Journal of Geo-Information 8, no. 3: 143. https://doi.org/10.3390/ijgi8030143
APA StyleAbdollahi, M., Dewan, A., & Hassan, Q. K. (2019). Applicability of Remote Sensing-Based Vegetation Water Content in Modeling Lightning-Caused Forest Fire Occurrences. ISPRS International Journal of Geo-Information, 8(3), 143. https://doi.org/10.3390/ijgi8030143

