A Comparative Study of Three Non-Geostatistical Methods for Optimising Digital Elevation Model Interpolation
Abstract
1. Introduction
2. Materials and Methods
2.1. Study Sites
2.2. Data Collection and Preparation
2.3. Interpolation Methods and Parameters
2.3.1. Inverse Distance Weighted (IDW)
2.3.2. Topo to Raster
2.3.3. Natural Neighbors (NaN)
2.4. Analysis
3. Results
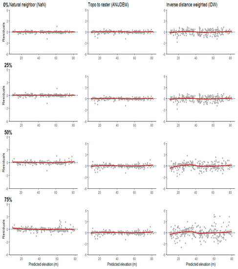
3.1. Digital Elevation Model Resolution Analysis
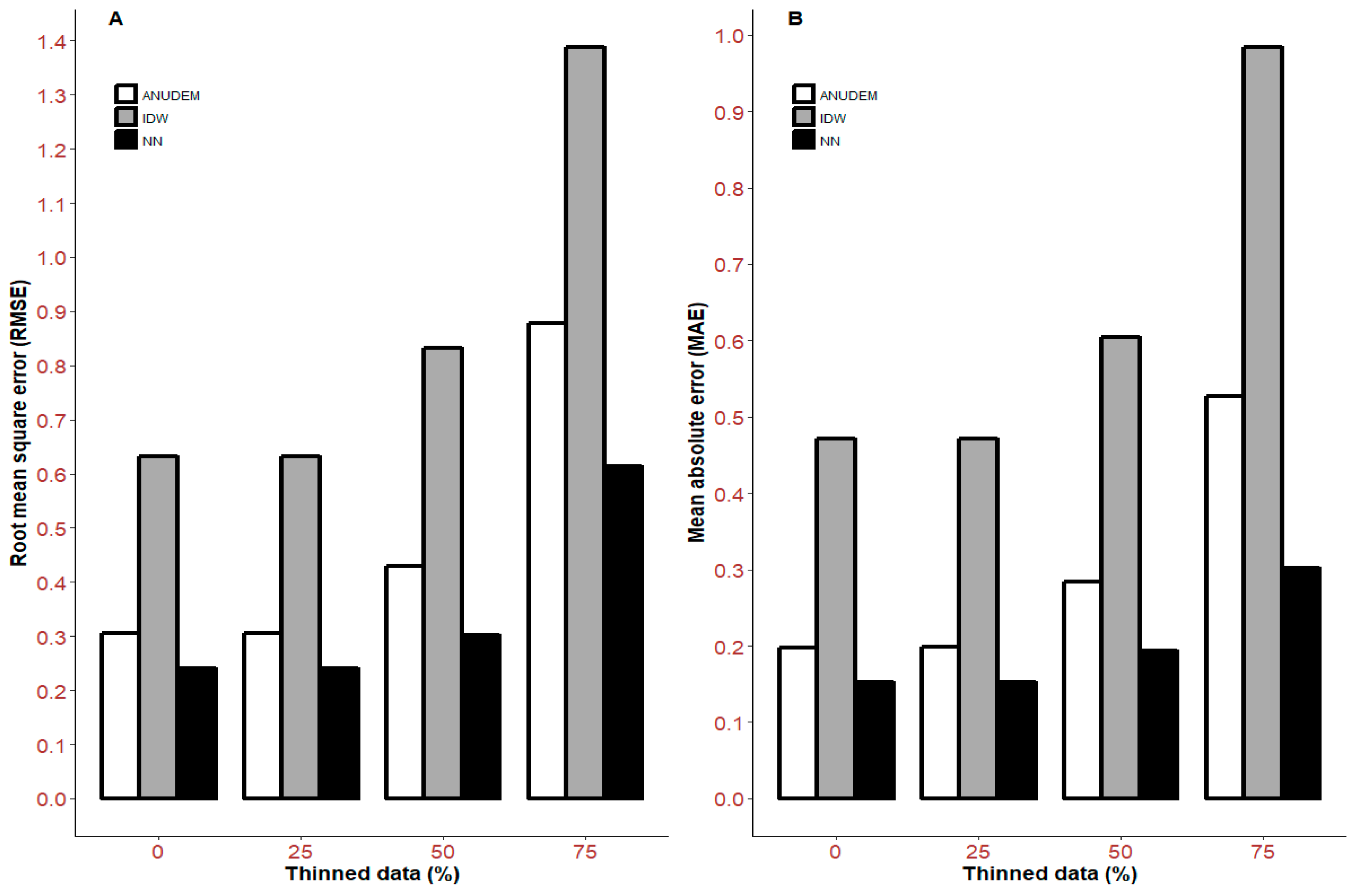
3.2. Interpolation Methods and Data Density
4. Discussion
4.1. An Alternate Data Source
4.2. Optimal Resolution
4.3. Influencers of Digital Elevation Model Quality
4.4. Deterministic Interpolation Method
5. Summary and Conclusions
Author Contributions
Funding
Conflicts of Interest
References
- Peralvo, M.; Maidment, D. Influence of DEM interpolation methods in drainage analysis. Gis Hydro 2004, 4. [Google Scholar]
- Liu, X. Airborne lidar for DEM generation: Some critical issues. Prog. Phys. Geogr. Earth Environ. 2008, 32, 31–49. [Google Scholar]
- Vaze, J.; Teng, J. High resolution lidar DEM—How good is it? Model. Simul. 2007, 692–698. [Google Scholar]
- Koci, J.; Jarihani, B.; Leon, J.X.; Sidle, R.; Wilkinson, S.; Bartley, R. Assessment of uav and ground-based structure from motion with multi-view stereo photogrammetry in a gullied savanna catchment. ISPRS Int. J. Geo-Inf. 2017, 6, 328. [Google Scholar] [CrossRef]
- Traganos, D.; Poursanidis, D.; Aggarwal, B.; Chrysoulakis, N.; Reinartz, P. Estimating satellite-derived bathymetry (SDB) with the google earth engine and sentinel-2. Remote Sens. 2018, 10, 859. [Google Scholar] [CrossRef]
- Kodors, S. Point distribution as true quality of lidar point cloud. Balt. J. Mod. Comput. 2017, 5, 362–378. [Google Scholar] [CrossRef]
- Morgenroth, J.; Visser, R. Uptake and barriers to the use of geospatial technologies in forest management. N. Z. J. For. Sci. 2013, 43, 16. [Google Scholar] [CrossRef]
- Kurz, T.H.; Buckley, S.J.; Howell, J.A.; Schneider, D. In close range hyperspectral and lidar data integration for geological outcrop analysis. In Proceedings of the 2009 First Workshop on Hyperspectral Image and Signal Processing: Evolution in Remote Sensing, Grenoble, France, 26–28 August 2009; pp. 1–4. [Google Scholar]
- Tagarakis, A.C.; Koundouras, S.; Fountas, S.; Gemtos, T. Evaluation of the use of lidar laser scanner to map pruning wood in vineyards and its potential for management zones delineation. Precis. Agric. 2018, 19, 334–347. [Google Scholar] [CrossRef]
- Yu, B.; Liu, H.; Wu, J.; Hu, Y.; Zhang, L. Automated derivation of urban building density information using airborne lidar data and object-based method. Landsc. Urban Plan. 2010, 98, 210–219. [Google Scholar] [CrossRef]
- Parkinson, B.W.; Enge, P.; Axelrad, P.; Spilker, J.J., Jr. Global Positioning System: Theory and Applications, Volume II; American Institute of Aeronautics and Astronautics: Washington, DC, USA, 1996. [Google Scholar]
- Pick, J. A case-study analysis of costs and benefits of geographic information systems: Relationships to firm size and strategy. In Proceedings of the 12th Americas Conference on Information Systems (AMCIS 2006), Acapulco, Mexico, 4–6 August 2006; Curran Associates, Inc.: Red Hook, NY, USA, 2007. [Google Scholar]
- Hofmann-Wellenhof, B.; Lichtenegger, H.; Collins, J. Global Positioning System: Theory and Practice; Springer Science & Business Media: Dordrecht, The Netherlands, 2012. [Google Scholar]
- Groves, P.D. Principles of Gnss, Inertial, and Multisensor Integrated Navigation Systems; Artech House: Norwood, MA, USA, 2013. [Google Scholar]
- Neményi, M.; Mesterházi, P.Á.; Pecze, Z.; Stépán, Z. The role of GIS and GPS in precision farming. Comput. Electron. Agric. 2003, 40, 45–55. [Google Scholar] [CrossRef]
- Olivera, A.; Visser, R.; Acuna, M.; Morgenroth, J. Automatic GNSS-enabled harvester data collection as a tool to evaluate factors affecting harvester productivity in a Eucalyptus spp. Harvesting operation in Uruguay. Int. J. For. Eng. 2016, 27, 15–28. [Google Scholar] [CrossRef]
- Gao, J. Towards accurate determination of surface height using modern geoinformatic methods: Possibilities and limitations. Prog. Phys. Geogr. Earth Environ. 2007, 31, 591–605. [Google Scholar] [CrossRef]
- Yao, H.; Clark, R.L. Evaluation of sub-meter and 2 to 5 meter accuracy GPS receivers to develop digital elevation models. Precis. Agric. 2000, 2, 189–200. [Google Scholar] [CrossRef]
- Gong, J.; Li, Z.; Zhu, Q.; Sui, H.; Zhou, Y. Effects of various factors on the accuracy of dems: An intensive experimental investigation. Photogramm. Eng. Remote Sens. 2000, 66, 1113–1117. [Google Scholar]
- Chaplot, V.; Darboux, F.; Bourennane, H.; Leguédois, S.; Silvera, N.; Phachomphon, K. Accuracy of interpolation techniques for the derivation of digital elevation models in relation to landform types and data density. Geomorphology 2006, 77, 126–141. [Google Scholar] [CrossRef]
- Li, J.; Heap, A.D. A Review of Spatial Interpolation Methods for Environmental Scientists; Geosciene Australia: Canberra, Australia, 2008. [Google Scholar]
- Erdogan, S. A comparision of interpolation methods for producing digital elevation models at the field scale. Earth Surf. Process. Landf. 2009, 34, 366–376. [Google Scholar] [CrossRef]
- Li, J.; Heap, A.D. A review of comparative studies of spatial interpolation methods in environmental sciences: Performance and impact factors. Ecol. Inform. 2011, 6, 228–241. [Google Scholar] [CrossRef]
- Mitas, L.; Mitasova, H. Spatial interpolation. In Geographical Information Systems: Principles, Techniques, Management and Applications; Wiley: New York, NY, USA, 1999; Volume 1, pp. 481–492. [Google Scholar]
- Robinson, T.P.; Metternicht, G. Testing the performance of spatial interpolation techniques for mapping soil properties. Comput. Electron. Agric. 2006, 50, 97–108. [Google Scholar] [CrossRef]
- Zimmerman, D.; Pavlik, C.; Ruggles, A.; Armstrong, M.P. An experimental comparison of ordinary and universal kriging and inverse distance weighting. Math. Geol. 1999, 31, 375–390. [Google Scholar] [CrossRef]
- Amjad, M.; Ali, M.Z.; Shafique, M. Impact of DEM resolution and accuracy on remote sensing and topographic dem derived topographic attributes and drainage pattern. J. Himal. Earth Sci. 2016, 49, 109–117. [Google Scholar]
- Habtezion, N.; Tahmasebi Nasab, M.; Chu, X. How does DEM resolution affect microtopographic characteristics, hydrologic connectivity, and modelling of hydrologic processes? Hydrol. Process. 2016, 30, 4870–4892. [Google Scholar] [CrossRef]
- NIWA. Overview of New Zealand Climate. Available online: https://www.niwa.co.nz/education-and-training/schools/resources/climate/overview (accessed on 26 August 2015).
- Trimble. Trimble r8s GNSS System; Trimble Inc.: Sunnyvale, CA, USA, 2017. Available online: https://geospatial.trimble.com/products-and-solutions (accessed on 13 June 2018).
- Miller, J. Incorporating spatial dependence in predictive vegetation models: Residual interpolation methods. Prof. Geogr. 2005, 57, 169–184. [Google Scholar] [CrossRef]
- Kidner, D.B. Higher-order interpolation of regular grid digital elevation models. Int. J. Remote Sens. 2003, 24, 2981–2987. [Google Scholar] [CrossRef]
- Torlegård, K.; Östman, A.; Lindgren, R. A comparative test of photogrammetrically sampled digital elevation models. Photogrammetria 1986, 41, 1–16. [Google Scholar] [CrossRef]
- Lam, N.S.-N. Spatial interpolation methods: A review. Am. Cartogr. 1983, 10, 129–150. [Google Scholar] [CrossRef]
- Shi, W.Z.; Tian, Y. A hybrid interpolation method for the refinement of a regular grid digital elevation model. Int. J. Geogr. Inf. Sci. 2006, 20, 53–67. [Google Scholar] [CrossRef]
- Grimaldi, S.; Teles, V.; Bras, R.L. Sensitivity of a physically based method for terrain interpolation to initial conditions and its conditioning on stream location. Earth Surf. Process. Landf. 2004, 29, 587–597. [Google Scholar] [CrossRef]
- Niemann, J.D.; Bras, R.L.; Veneziano, D. A physically based interpolation method for fluvially eroded topography. Water Resour. Res. 2003, 39. [Google Scholar] [CrossRef]
- Grimaldi, S.; Teles, V.; Bras, R.L. Preserving first and second moments of the slope area relationship during the interpolation of digital elevation models. Adv. Water Resour. 2005, 28, 583–588. [Google Scholar] [CrossRef]
- Sandmeier, S.; Itten, K.I. A physically-based model to correct atmospheric and illumination effects in optical satellite data of rugged terrain. IEEE Trans. Geosci. Remote Sens. 1997, 35, 708–717. [Google Scholar] [CrossRef]
- Li, J.; Heap, A.D. Spatial interpolation methods applied in the environmental sciences: A review. Environ. Model. Softw. 2014, 53, 173–189. [Google Scholar] [CrossRef]
- ESRI. ArcGIS Release 10.1. ESRI: Redlands, CA, USA, 2012.
- Philip, G.; Watson, D.F. A precise method for determining contoured surfaces. APPEA J 1982, 22, 205–212. [Google Scholar] [CrossRef]
- Hessl, A.; Miller, J.; Kernan, J.; Kenum, D.; McKenzie, D. Mapping paleo-fire boundaries from binary point data: Comparing interpolation methods. Prof. Geogr. 2007, 59, 87–104. [Google Scholar] [CrossRef]
- Garnero, G.; Godone, D. Comparisons between different interpolation techniques. In Proceedings of the International Archives of the Photogrammetry, Remote Sensing and Spatial Information Sciences XL-5 W, Padua, Italy, 27–28 February 2013; Volume 3, pp. 27–28. [Google Scholar]
- Hutchinson, M. A new procedure for gridding elevation and stream line data with automatic removal of spurious pits. J. Hydrol. 1989, 106, 211–232. [Google Scholar] [CrossRef]
- Curebal, I.; Efe, R.; Ozdemir, H.; Soykan, A.; Sönmez, S. Gis-based approach for flood analysis: Case study of keçidere flash flood event (Turkey). Geocarto Int. 2016, 31, 355–366. [Google Scholar] [CrossRef]
- Salari, A.; Zakaria, M.; Nielsen, C.C.; Boyce, M.S. Quantifying tropical wetlands using field surveys, spatial statistics and remote sensing. Wetlands 2014, 34, 565–574. [Google Scholar] [CrossRef]
- Sibson, R. A brief description of natural neighbor interpolation. In Interpreting Multivariate Data; John Wiley & Sons: Hoboken, NJ, USA, 1981; pp. 21–36. [Google Scholar]
- Webster, R.; Oliver, M. Geostatistics for Environmental Scientists (Statistics in Practice); Wiley: Hoboken, NJ, USA, 2001. [Google Scholar]
- Ledoux, H.; Gold, C. An Efficient Natural Neighbour Interpolation Algorithm for Geoscientific Modelling; Springer: Berlin/Heidelberg, Germany, 2005; pp. 97–108. [Google Scholar]
- Willmott, C.J. On the validation of models. Phys. Geogr. 1981, 2, 184–194. [Google Scholar]
- Vicente-Serrano, S.M.; Saz-Sánchez, M.A.; Cuadrat, J.M. Comparative analysis of interpolation methods in the middle Ebro Valley (Spain): Application to annual precipitation and temperature. Clim. Res. 2003, 24, 161–180. [Google Scholar] [CrossRef]
- R Core Team. R: A Language and Environment for Statistical Computing; R Core Team: Vienna, Austria, 2014; Available online: http://www.R-project.org (accessed on 5 June 2018).
- Willmott, C.J. Some comments on the evaluation of model performance. Bull. Am. Meteorol. Soc. 1982, 63, 1309–1313. [Google Scholar] [CrossRef]
- Greenwood, D.J.; Neeteson, J.J.; Draycott, A. Response of potatoes to n fertilizer: Dynamic model. Plant Soil 1985, 85, 185–203. [Google Scholar] [CrossRef]
- Daly, C.; Gibson, W.P.; Taylor, G.H.; Johnson, G.L.; Pasteris, P. A knowledge-based approach to the statistical mapping of climate. Clim. Res. 2002, 22, 99–113. [Google Scholar] [CrossRef]
- Anderson, E.S.; Thompson, J.A.; Crouse, D.A.; Austin, R.E. Horizontal resolution and data density effects on remotely sensed lidar-based DEM. Geoderma 2006, 132, 406–415. [Google Scholar] [CrossRef]
- Liu, X.; Zhang, Z.; Peterson, J.; Chandra, S. The effect of lidar data density on DEM accuracy. In Proceedings of the International Congress on Modelling and Simulation (MODSIM07), Christchurch, New Zealand, 10–13 Decembert 2017; Modelling and Simulation Society of Australia and New Zealand Inc.: Perth, WA, Australia, 2007; pp. 1363–1369. [Google Scholar]
- Kienzle, S. The effect of DEM raster resolution on first order, second order and compound terrain derivatives. Trans. GIS 2004, 8, 83–111. [Google Scholar] [CrossRef]
- Ouma, Y. Evaluation of multiresolution digital elevation model (DEM) from real-time kinematic GPS and ancillary data for reservoir storage capacity estimation. Hydrology 2016, 3, 16. [Google Scholar] [CrossRef]
- Thomas, I.A.; Jordan, P.; Shine, O.; Fenton, O.; Mellander, P.E.; Dunlop, P.; Murphy, P.N.C. Defining optimal DEM resolutions and point densities for modelling hydrologically sensitive areas in agricultural catchments dominated by microtopography. Int. J. Appl. Earth Obs. Geoinf. 2017, 54, 38–52. [Google Scholar] [CrossRef]
- Arun, P.V. A comparative analysis of different DEM interpolation methods. Egypt. J. Remote Sens. Space Sci. 2013, 16, 133–139. [Google Scholar]
- Guo, Q.; Li, W.; Yu, H.; Alvarez, O. Effects of topographic variability and lidar sampling density on several dem interpolation methods. Photogramm. Eng. Remote Sens. 2010, 76, 701–712. [Google Scholar] [CrossRef]
- Albani, M.; Klinkenberg, B.; Andison, D.W.; Kimmins, J.P. The choice of window size in approximating topographic surfaces from digital elevation models. Int. J. Geogr. Inf. Sci. 2004, 18, 577–593. [Google Scholar] [CrossRef]
- Florinsky, I.V. Errors of signal processing in digital terrain modelling. Int. J. Geogr. Inf. Sci. 2002, 16, 475–501. [Google Scholar] [CrossRef]
- Florinsky, I.V. Combined analysis of digital terrain models and remotely sensed data in landscape investigations. Prog. Phys. Geogr. Earth Environ. 1998, 22, 33–60. [Google Scholar] [CrossRef]
- Tan, Q.; Xu, X. Comparative analysis of spatial interpolation methods: An experimental study. Sens. Transducers 2014, 165, 155–163. [Google Scholar]
- Bobach, T.; Umlauf, G. Natural neighbor concepts in scattered data interpolation and discrete function approx-imation. In Visualization of Large and Unstructured Data Sets; GI Digital Library: Kowloon, Hong Kong, China, 2008. [Google Scholar]
- Li, X.; Cheng, G.; Lu, L. Comparison of spatial interpolation methods. Adv. Earth Sci. 2000, 3, 3. [Google Scholar]
- Hodgson, M.E.; Bresnahan, P. Accuracy of airborne lidar-derived elevation. Photogramm. Eng. Remote Sens. 2004, 70, 331–339. [Google Scholar] [CrossRef]







| Thinning (%) | Points | Elevation (m asl) | Point Density m−2 | |||
|---|---|---|---|---|---|---|
| Min. | Max. | Mean | St. Dev | |||
| 0 | 2440 | 9.749 | 82.139 | 44.316 | 18.516 | 0.519 |
| 25 | 1830 | 9.748 | 82.139 | 44.580 | 18.295 | 0.389 |
| 50 | 1220 | 9.748 | 82.139 | 44.962 | 18.236 | 0.259 |
| 75 | 610 | 9.765 | 79.495 | 44.442 | 18.336 | 0.129 |
| Statistical features | Definitions |
| N = umber of observations | |
| = observed value | |
| = mean of observed value | |
| = predicted value | |
| Ordinary least square regression | Slope |
| Intercept | |
| r2 = coefficient of determination | |
| Mean bias error (MBE) | |
| Root mean square error (RMSE) | |
| Mean absolute error (MAE) | |
| Model efficiency (EF) |
| Resolution | r2 | Slope | Intercept | RMSE (m) | MAE (m) | MBE (m) | EF |
|---|---|---|---|---|---|---|---|
| 0.5 | 0.9995 | 1.0042 | −0.2155 | 0.428 | 0.274 | 0.029 | 0.999 |
| 1 | 0.9994 | 1.0051 | −0.2604 | 0.450 | 0.308 | 0.036 | 0.999 |
| 1.5 | 0.9994 | 1.0042 | −0.2114 | 0.455 | 0.325 | 0.024 | 0.999 |
| 2 | 0.9993 | 1.0039 | −0.2213 | 0.488 | 0.363 | 0.049 | 0.999 |
| 2.5 | 0.9992 | 1.0053 | −0.2654 | 0.532 | 0.409 | 0.029 | 0.998 |
| 3 | 0.9991 | 1.0049 | −0.2438 | 0.571 | 0.447 | 0.024 | 0.998 |
| 3.5 | 0.9989 | 1.0027 | −0.1715 | 0.616 | 0.484 | 0.051 | 0.998 |
| 4 | 0.9989 | 1.0048 | −0.2549 | 0.615 | 0.485 | 0.040 | 0.998 |
| 4.5 | 0.9987 | 1.0077 | −0.3825 | 0.697 | 0.548 | 0.044 | 0.998 |
| 5 | 0.9984 | 1.0064 | −0.3156 | 0.758 | 0.600 | 0.033 | 0.998 |
| 5.5 | 0.9982 | 1.0077 | −0.3316 | 0.804 | 0.648 | −0.009 | 0.997 |
| 6 | 0.998 | 1.0020 | −0.1096 | 0.830 | 0.656 | 0.021 | 0.997 |
| 6.5 | 0.9976 | 1.0056 | −0.2718 | 0.91 | 0.744 | 0.024 | 0.997 |
| 7 | 0.9974 | 1.0057 | −0.3005 | 0.968 | 0.789 | 0.050 | 0.996 |
| 7.5 | 0.9966 | 1.0094 | −0.4256 | 1.103 | 0.889 | 0.011 | 0.996 |
| 8 | 0.9965 | 1.0049 | −0.1730 | 1.108 | 0.877 | −0.044 | 0.995 |
| 8.5 | 0.9957 | 1.0032 | −0.1151 | 1.228 | 0.991 | −0.026 | 0.995 |
| 9 | 0.9953 | 1.0034 | −0.0916 | 1.276 | 1.030 | −0.060 | 0.994 |
| 9.5 | 0.9945 | 1.0030 | −0.1725 | 1.384 | 1.107 | 0.040 | 0.994 |
| 10 | 0.9946 | 1.0062 | −0.1957 | 1.380 | 1.088 | −0.077 | 0.994 |
| Method | Thinning (%) | r2 | Slope | Intercept | MBE |
|---|---|---|---|---|---|
| Natural Neighbour (NaN) | 0 | 0.9995 | 1.004 | −0.216 | 0.004 |
| 25 | 0.9998 | 1.001 | −0.090 | 0.004 | |
| 50 | 0.9997 | 1.003 | −0.140 | −0.015 | |
| 75 | 0.999 | 1.009 | −0.370 | −0.059 | |
| Inverse Distance Weighting (IDW) | 0 | 0.9989 | 1.004 | −0.269 | 0.059 |
| 25 | 0.9989 | 1.004 | −0.269 | 0.059 | |
| 50 | 0.9982 | 1.014 | −0.730 | 0.116 | |
| 75 | 0.9952 | 1.027 | −1.238 | 0.029 | |
| Topo to Raster (ANUDEM) | 0 | 0.9998 | 1.005 | −0.284 | 0.024 |
| 25 | 0.9998 | 1.005 | −0.282 | 0.022 | |
| 50 | 0.9996 | 1.010 | −0.489 | 0.028 | |
| 75 | 0.9984 | 1.024 | −1.046 | −0.044 |
© 2018 by the authors. Licensee MDPI, Basel, Switzerland. This article is an open access article distributed under the terms and conditions of the Creative Commons Attribution (CC BY) license (http://creativecommons.org/licenses/by/4.0/).
Share and Cite
Salekin, S.; Burgess, J.H.; Morgenroth, J.; Mason, E.G.; Meason, D.F. A Comparative Study of Three Non-Geostatistical Methods for Optimising Digital Elevation Model Interpolation. ISPRS Int. J. Geo-Inf. 2018, 7, 300. https://doi.org/10.3390/ijgi7080300
Salekin S, Burgess JH, Morgenroth J, Mason EG, Meason DF. A Comparative Study of Three Non-Geostatistical Methods for Optimising Digital Elevation Model Interpolation. ISPRS International Journal of Geo-Information. 2018; 7(8):300. https://doi.org/10.3390/ijgi7080300
Chicago/Turabian StyleSalekin, Serajis, Jack H. Burgess, Justin Morgenroth, Euan G. Mason, and Dean F. Meason. 2018. "A Comparative Study of Three Non-Geostatistical Methods for Optimising Digital Elevation Model Interpolation" ISPRS International Journal of Geo-Information 7, no. 8: 300. https://doi.org/10.3390/ijgi7080300
APA StyleSalekin, S., Burgess, J. H., Morgenroth, J., Mason, E. G., & Meason, D. F. (2018). A Comparative Study of Three Non-Geostatistical Methods for Optimising Digital Elevation Model Interpolation. ISPRS International Journal of Geo-Information, 7(8), 300. https://doi.org/10.3390/ijgi7080300

