Efficient Four-Level LOD Simplification for Single- and Multi-Mesh 3D Scenes Towards Scalable BIM/GIS/Digital Twin Integration
Abstract
1. Introduction
2. Background: QEM Edge Collapse Method
- 1.
- Compute the QEM for each vertex in the mesh model using Equation (5).
- 2.
- 3.
- Maintain a set of collapsible edges in a priority queue (min-heap) ordered by collapse error.
- 4.
- Iteratively extract the edge with the smallest error from the queue, perform the collapse, and update the QEMs and collapse errors of the affected vertices and edges, until the desired simplification target is reached.
3. Methods
3.1. Overview
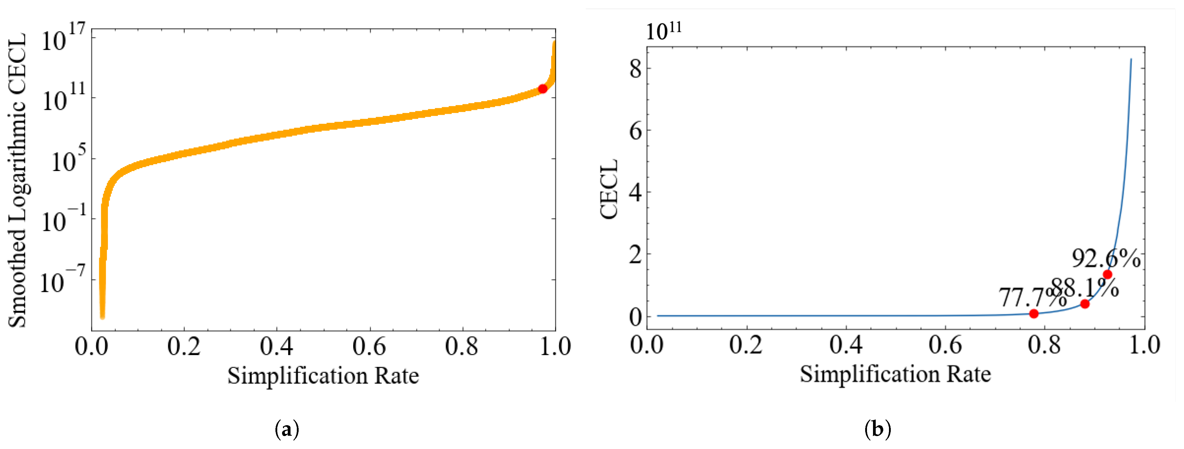
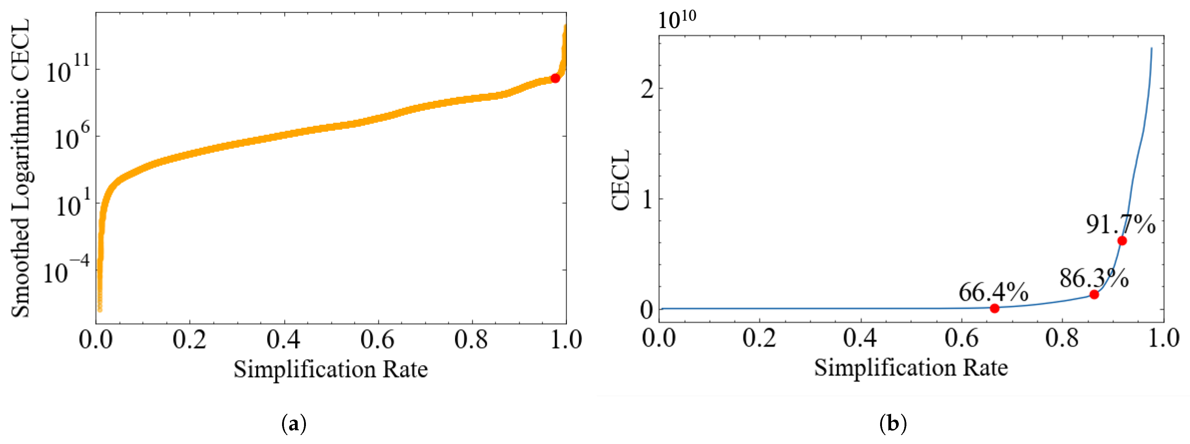
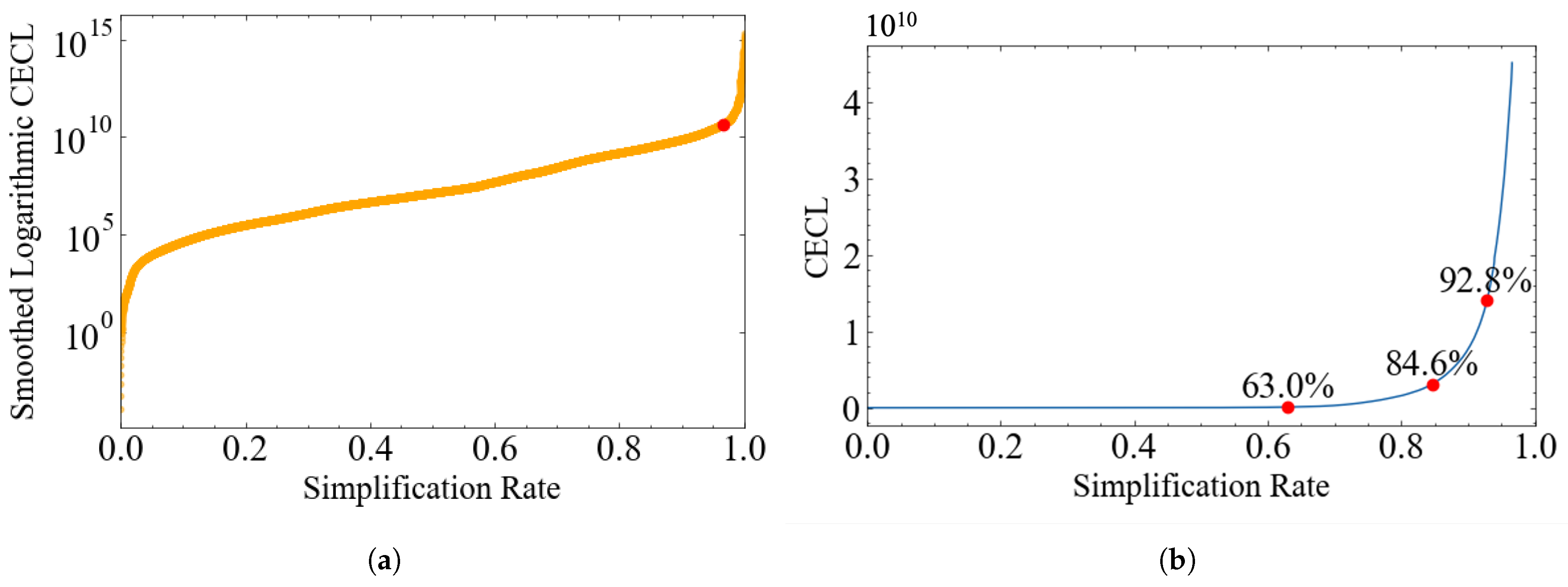
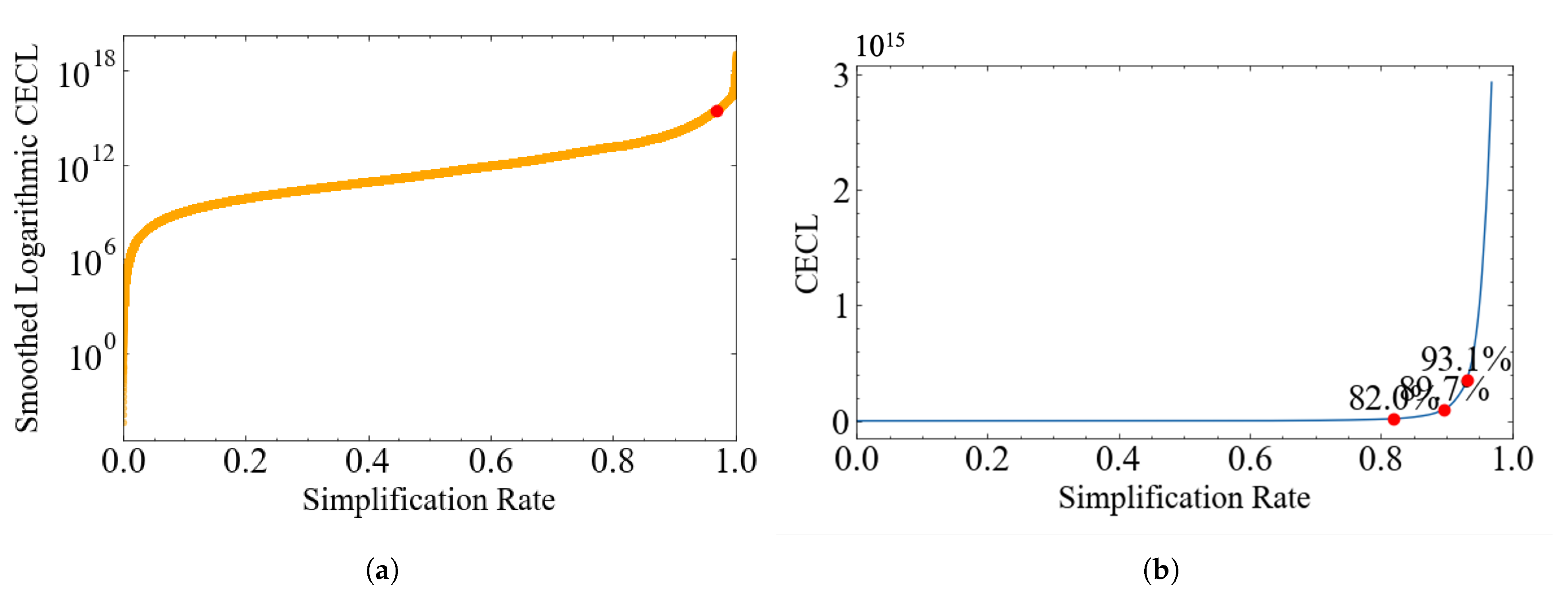
3.2. Simplification Rate–Cumulative Edge Collapse Loss Curve
3.2.1. Curve Construction
3.2.2. Logarithmic Transformation
3.2.3. Removing the Rapid-Degeneration Regime
3.2.4. Recovering Simplification Rate–Cumulative Edge Collapse Loss Curve
3.2.5. Determining Target Simplification Rates for Different LOD Levels
- Point A: This achieves the highest simplification rate with negligible visual error. It provides maximum compression with almost no perceptible loss, suitable for close viewing distances.
- Point C: This marks the onset of acceptable significant visual error and represents the maximum allowable simplification rate. It is suitable for far viewing distances.
- Point B: Located between Points A and C, it serves as a balanced compromise between visual quality and simplification rate, suitable for medium viewing distances.
3.3. Automatic Determination of Multi-Level LOD Simplification Rates
3.3.1. Normalization
3.3.2. Determination of Point B
3.3.3. Determination of Points A and C
- When the loss curve is close to an L-shape, Point B lies near . In this case, Point A should be positioned close to Point B to achieve higher compression while preserving visual quality. Likewise, Point C should also be moved toward Point B, as beyond B the curve slope approaches infinity, meaning even a slight increase in the simplification rate can cause significant visual degradation. Therefore, should be closer to 1.
- When the loss curve is nearly linear, Point B lies near . To maintain precision for close-up use, Point A should be placed farther from Point B. Because the slope after Point B is lower than in the L-shaped case, Point C can also be moved farther from Point B to broaden the simplification-rate range. In this case, should be closer to 0.
- representing the inclination of the line from Point B to the origin with respect to the X-axis;
- representing the inclination of the line from Point B to the endpoint with respect to the Y-axis.
3.3.4. Generation of LOD Models
3.4. Multi-Mesh Scene LOD Simplification Rate Allocation
4. Experimental Results and Discussion
4.1. Single-Mesh Simplification Experiments
4.1.1. Steel Truss Model
4.1.2. Power Transformer Model
4.2. Scene-Level Multi-Mesh Simplification Experiments
4.2.1. Traction Substation Scene
4.2.2. Roadbed with Slope Scene
5. Conclusions
Limitations and Future Work
Author Contributions
Funding
Data Availability Statement
Acknowledgments
Conflicts of Interest
Abbreviations
| LOD | level of detail |
| BIM | Building Information Modeling |
| GIS | Geographic Information System |
| QEM | Quadric Error Metrics |
| CECL | cumulative edge collapse loss |
References
- Xia, J.C.; Varshney, A. Dynamic View-Dependent Simplification for Polygonal Models. In Proceedings of the Seventh Annual IEEE Visualization’96, San Francisco, CA, USA, 27 October–1 November 1996; pp. 327–334. [Google Scholar]
- Biljecki, F.; Ledoux, H.; Stoter, J. An Improved LOD Specification for 3D Building Models. Comput. Environ. Urban Syst. 2016, 59, 25–37. [Google Scholar] [CrossRef]
- Biljecki, F.; Ledoux, H.; Stoter, J.; Zhao, J. Formalisation of the Level of Detail in 3D City Modelling. Comput. Environ. Urban Syst. 2014, 48, 1–15. [Google Scholar] [CrossRef]
- Luebke, D.; Erikson, C. View-Dependent Simplification of Arbitrary Polygonal Environments. In Proceedings of the the 24th Annual Conference on Computer Graphics and Interactive Techniques, Los Angeles, CA, USA, 3–8 August 1997; pp. 199–208. [Google Scholar]
- Somanath, S.; Naserentin, V.; Eleftheriou, O.; Sjölie, D.; Wästberg, B.S.; Logg, A. Towards Urban Digital Twins: A Workflow for Procedural Visualization Using Geospatial Data. Remote Sens. 2024, 16, 1939. [Google Scholar] [CrossRef]
- Zhang, J.; Cheng, J.C.P.; Chen, W.; Chen, K. Digital Twins for Construction Sites: Concepts, LoD Definition, and Applications. J. Manag. Eng. 2022, 38, 04021094. [Google Scholar] [CrossRef]
- Luebke, D.; Reddy, M.; Cohen, J.D.; Varshney, A.; Watson, B.; Huebner, R. Level of Detail for 3D Graphics; Elsevier: Amsterdam, The Netherlands, 2002. [Google Scholar]
- Clark, J.H. Hierarchical Geometric Models for Visible Surface Algorithms. Commun. ACM 1976, 19, 547–554. [Google Scholar] [CrossRef]
- Funkhouser, T.A.; Séquin, C.H. Adaptive Display Algorithm for Interactive Frame Rates during Visualization of Complex Virtual Environments. In Proceedings of the the 20th Annual Conference on Computer Graphics and Interactive Techniques, Anaheim, CA, USA, 2–6 August 1993; Siggraph ’93. pp. 247–254. [Google Scholar] [CrossRef]
- Buyukdemircioglu, M.; Kocaman, S. Reconstruction and Efficient Visualization of Heterogeneous 3D City Models. Remote Sens. 2020, 12, 2128. [Google Scholar] [CrossRef]
- Heok, T.K.; Daman, D. A Review on Level of Detail. In Proceedings of the International Conference on Computer Graphics, Imaging and Visualization, 2004, CGIV 2004, Penang, Malaysia, 2 July 2004; pp. 70–75. [Google Scholar]
- Zhu, J.; Wu, P. Towards Effective BIM/GIS Data Integration for Smart City by Integrating Computer Graphics Technique. Remote Sens. 2021, 13, 1889. [Google Scholar] [CrossRef]
- Renganathan, B.; Shanthi Priya, R.; Kumar, G.R.; Thiruvengadam, J.; Senthil, R. Intuitive and Experiential Approaches to Enhance Conceptual Design in Architecture Using Building Information Modeling and Virtual Reality. Infrastructures 2025, 10, 127. [Google Scholar] [CrossRef]
- Rowaizak, M.; Farhat, A.; Khalil, R. From Brain Lobes to Neurons: Navigating the Brain Using Advanced 3D Modeling and Visualization Tools. J. Imaging 2025, 11, 298. [Google Scholar] [CrossRef]
- Lebaku, P.K.R.; Gao, L.; Lu, P.; Sun, J. Deep Learning for Pavement Condition Evaluation Using Satellite Imagery. Infrastructures 2024, 9, 155. [Google Scholar] [CrossRef]
- Tang, L.; Li, L.; Ying, S.; Lei, Y. A Full Level-of-Detail Specification for 3D Building Models Combining Indoor and Outdoor Scenes. ISPRS Int. J. Geo-Inf. 2018, 7, 419. [Google Scholar] [CrossRef]
- Zhan, W.; Chen, Y.; Chen, J. 3D Tiles-Based High-Efficiency Visualization Method for Complex BIM Models on the Web. ISPRS Int. J. Geo-Inf. 2021, 10, 476. [Google Scholar] [CrossRef]
- Zhu, J.; Wu, P.; Anumba, C. A Semantics-Based Approach for Simplifying IFC Building Models to Facilitate the Use of BIM Models in GIS. Remote Sens. 2021, 13, 4727. [Google Scholar] [CrossRef]
- Lam, P.D.; Gu, B.H.; Lam, H.K.; Ok, S.Y.; Lee, S.H. Digital Twin Smart City: Integrating IFC and CityGML with Semantic Graph for Advanced 3D City Model Visualization. Sensors 2024, 24, 3761. [Google Scholar] [CrossRef]
- Löwner, M.O.; Gröger, G.; Benner, J.; Biljecki, F.; Nagel, C. Proposal for a New Lod and Multi-Representation Concept for Citygml. ISPRS Ann. Photogramm. Remote Sens. Spat. Inf. Sci. 2016, IV-2/W1, 3–12. [Google Scholar] [CrossRef]
- Boeters, R.; Arroyo Ohori, K.; Biljecki, F.; Zlatanova, S. Automatically Enhancing CityGML LOD2 Models with a Corresponding Indoor Geometry. Int. J. Geogr. Inf. Sci. 2015, 29, 2248–2268. [Google Scholar] [CrossRef]
- Xiang, H.; Huang, X.; Lan, F.; Yang, C.; Gao, Y.; Wu, W.; Zhang, F. A Shape-Preserving Simplification Method for Urban Building Models. ISPRS Int. J. Geo-Inf. 2022, 11, 562. [Google Scholar] [CrossRef]
- Hussain, M.; Okada, Y. LOD Modelling of Polygonal Models. Mach. Graph. Vis. 2005, 14, 325. [Google Scholar]
- Wang, B.; Wu, G.; Zhao, Q.; Li, Y.; Gao, Y.; She, J. A Topology-Preserving Simplification Method for 3D Building Models. ISPRS Int. J. Geo-Inf. 2021, 10, 422. [Google Scholar] [CrossRef]
- Sun, Y.; Ma, J.; She, J.; Zhao, Q.; He, L. View-Dependent Progressive Transmission Method for 3D Building Models. ISPRS Int. J. Geo-Inf. 2021, 10, 228. [Google Scholar] [CrossRef]
- Li, J.; Chen, D.; Hu, F.; Wang, Y.; Li, P.; Peethambaran, J. Shape-Preserving Mesh Decimation for 3D Building Modeling. Int. J. Appl. Earth Obs. Geoinf. 2024, 126, 103623. [Google Scholar] [CrossRef]
- Yang, Z.; Aihemaiti, M.; Abudureheman, B.; Tao, H. High-Precision Optimization of BIM-3D GIS Models for Digital Twins: A Case Study of Santun River Basin. Sensors 2025, 25, 4630. [Google Scholar] [CrossRef]
- Zhao, T.; Jiang, J.; Guo, X. A Novel Quadratic Error Metric Mesh Simplification Algorithm for 3d Building Models Based on ‘Local-Vertex’ Texture Features. Int. Arch. Photogramm. Remote Sens. Spat. Inf. Sci. 2022, XLVIII-3/W2-2022, 109–115. [Google Scholar] [CrossRef]
- Sun, Z.; Wang, C.; Wu, J. Industry Foundation Class-Based Building Information Modeling Lightweight Visualization Method for Steel Structures. Appl. Sci. 2024, 14, 5507. [Google Scholar] [CrossRef]
- Liu, Z.; Zhang, C.; Cai, H.; Qv, W.; Zhang, S. A Model Simplification Algorithm for 3D Reconstruction. Remote Sens. 2022, 14, 4216. [Google Scholar] [CrossRef]
- Hoppe, H. Progressive Meshes. In Proceedings of the the 23rd Annual Conference on Computer Graphics and Interactive Techniques, New York, NY, USA, 4–9 August 1996; Siggraph ’96. pp. 99–108. [Google Scholar] [CrossRef]
- Garland, M.; Heckbert, P.S. Surface Simplification Using Quadric Error Metrics. In Proceedings of the the 24th Annual Conference on Computer Graphics and Interactive Techniques, Los Angeles, CA, USA, 3–8 August 1997; pp. 209–216. [Google Scholar]
- Satopaa, V.; Albrecht, J.; Irwin, D.; Raghavan, B. Finding a “Kneedle” in a Haystack: Detecting Knee Points in System Behavior. In Proceedings of the 2011 31st International Conference on Distributed Computing Systems Workshops, Minneapolis, MN, USA, 20–24 June 2011; pp. 166–171. [Google Scholar] [CrossRef]
- Savitzky, A.; Golay, M.J.E. Smoothing and Differentiation of Data by Simplified Least Squares Procedures. Anal. Chem. 1964, 36, 1627–1639. [Google Scholar] [CrossRef]
- Savitzky, A. A Historic Collaboration. Anal. Chem. 1989, 61, 921A–923A. [Google Scholar] [CrossRef]
- Sullivan, B.; Kaszynski, A. PyVista: 3D Plotting and Mesh Analysis through a Streamlined Interface for the Visualization Toolkit (VTK). J. Open Source Softw. 2019, 4, 1450. [Google Scholar] [CrossRef]



















| ID 1 | Original Faces | Faces (A) 2 | Faces (B) | Faces (C) | Rate (A) 3 | Rate (B) | Rate (C) |
|---|---|---|---|---|---|---|---|
| 1 | 37,842 | 11,346 | 5276 | 3288 | 70.0% | 80.1% | 87.3% |
| 3 | 7228 | 5383 | 2613 | 1393 | 25.5% | 63.8% | 80.7% |
| 4 | 193,260 | 24,009 | 12,582 | 7694 | 87.6% | 93.5% | 96.0% |
| 5 | 476 | 312 | 210 | 163 | 34.5% | 55.9% | 65.8% |
| 6 | 1742 | 1586 | 1512 | 1122 | 9.0% | 13.2% | 35.6% |
| 7 | 52,748 | 16,514 | 8900 | 4922 | 68.7% | 83.1% | 90.7% |
| 8 | 4588 | 2134 | 1231 | 856 | 53.5% | 73.2% | 81.3% |
| 9 | 14,094 | 3534 | 1756 | 862 | 74.9% | 87.5% | 93.9% |
| 10 | 11,422 | 2662 | 1091 | 510 | 76.7% | 90.4% | 95.5% |
| 11 | 12 | 12 | 12 | 12 | 0.0% | 0.0% | 0.0% |
| 12 | 92 | 92 | 92 | 92 | 0.0% | 0.0% | 0.0% |
| 13 | 136 | 58 | 50 | 46 | 57.4% | 63.2% | 66.2% |
| ID 1 | Original Faces | Faces (A) 2 | Faces (B) | Faces (C) | Rate (A) 3 | Rate (B) | Rate (C) |
|---|---|---|---|---|---|---|---|
| 1 | 3506 | 1177 | 933 | 765 | 66.4% | 73.4% | 78.2% |
| 2 | 22,068 | 3497 | 2120 | 1583 | 84.1% | 90.4% | 92.8% |
| 3 | 36 | 36 | 36 | 36 | 27.8% | 27.8% | 33.3% |
| 4 | 1927 | 602 | 392 | 258 | 68.8% | 79.7% | 86.6% |
| 5 | 36 | 36 | 36 | 36 | 16.7% | 27.8% | 33.3% |
| 6 | 1884 | 465 | 303 | 221 | 75.3% | 83.9% | 88.2% |
| 7 | 784 | 191 | 125 | 94 | 75.6% | 84.1% | 88.0% |
| 8 | 3224 | 713 | 479 | 393 | 77.9% | 85.1% | 87.8% |
| 9 | 22 | 22 | 22 | 22 | 0.0% | 0.0% | 0.0% |
| 10 | 9864 | 5300 | 2716 | 1802 | 46.3% | 72.5% | 81.7% |
| 11 | 36 | 36 | 36 | 36 | 0.0% | 0.0% | 0.0% |
Disclaimer/Publisher’s Note: The statements, opinions and data contained in all publications are solely those of the individual author(s) and contributor(s) and not of MDPI and/or the editor(s). MDPI and/or the editor(s) disclaim responsibility for any injury to people or property resulting from any ideas, methods, instructions or products referred to in the content. |
© 2026 by the authors. Published by MDPI on behalf of the International Society for Photogrammetry and Remote Sensing. Licensee MDPI, Basel, Switzerland. This article is an open access article distributed under the terms and conditions of the Creative Commons Attribution (CC BY) license.
Share and Cite
Sun, S.; Su, L.; Yang, X.; Qi, C.; Liu, X.; Pan, L.; Zhang, Q. Efficient Four-Level LOD Simplification for Single- and Multi-Mesh 3D Scenes Towards Scalable BIM/GIS/Digital Twin Integration. ISPRS Int. J. Geo-Inf. 2026, 15, 61. https://doi.org/10.3390/ijgi15020061
Sun S, Su L, Yang X, Qi C, Liu X, Pan L, Zhang Q. Efficient Four-Level LOD Simplification for Single- and Multi-Mesh 3D Scenes Towards Scalable BIM/GIS/Digital Twin Integration. ISPRS International Journal of Geo-Information. 2026; 15(2):61. https://doi.org/10.3390/ijgi15020061
Chicago/Turabian StyleSun, Siyuan, Lin Su, Xukun Yang, Chunyu Qi, Xinyu Liu, Licheng Pan, and Qilin Zhang. 2026. "Efficient Four-Level LOD Simplification for Single- and Multi-Mesh 3D Scenes Towards Scalable BIM/GIS/Digital Twin Integration" ISPRS International Journal of Geo-Information 15, no. 2: 61. https://doi.org/10.3390/ijgi15020061
APA StyleSun, S., Su, L., Yang, X., Qi, C., Liu, X., Pan, L., & Zhang, Q. (2026). Efficient Four-Level LOD Simplification for Single- and Multi-Mesh 3D Scenes Towards Scalable BIM/GIS/Digital Twin Integration. ISPRS International Journal of Geo-Information, 15(2), 61. https://doi.org/10.3390/ijgi15020061

