Remote Sensing-Based Spatiotemporal Assessment of Heat Risk in the Guangdong–Hong Kong–Macao Greater Bay Area
Abstract
1. Introduction
2. Materials and Methods
2.1. Study Area
2.2. Data Sources and Processing
2.3. Multi-Dimensional Assessment of Heat Risk
2.3.1. Heat Hazard Index
2.3.2. Heat Vulnerability Index
Indicators Used in HVI Assessment
Static Weighting Within the Entropy Weight Method
2.3.3. Integrated Heat Risk Index
3. Results
3.1. Spatiotemporal Patterns of Heat Hazard in GBA
3.2. Characterizing Heat Vulnerability Across the GBA
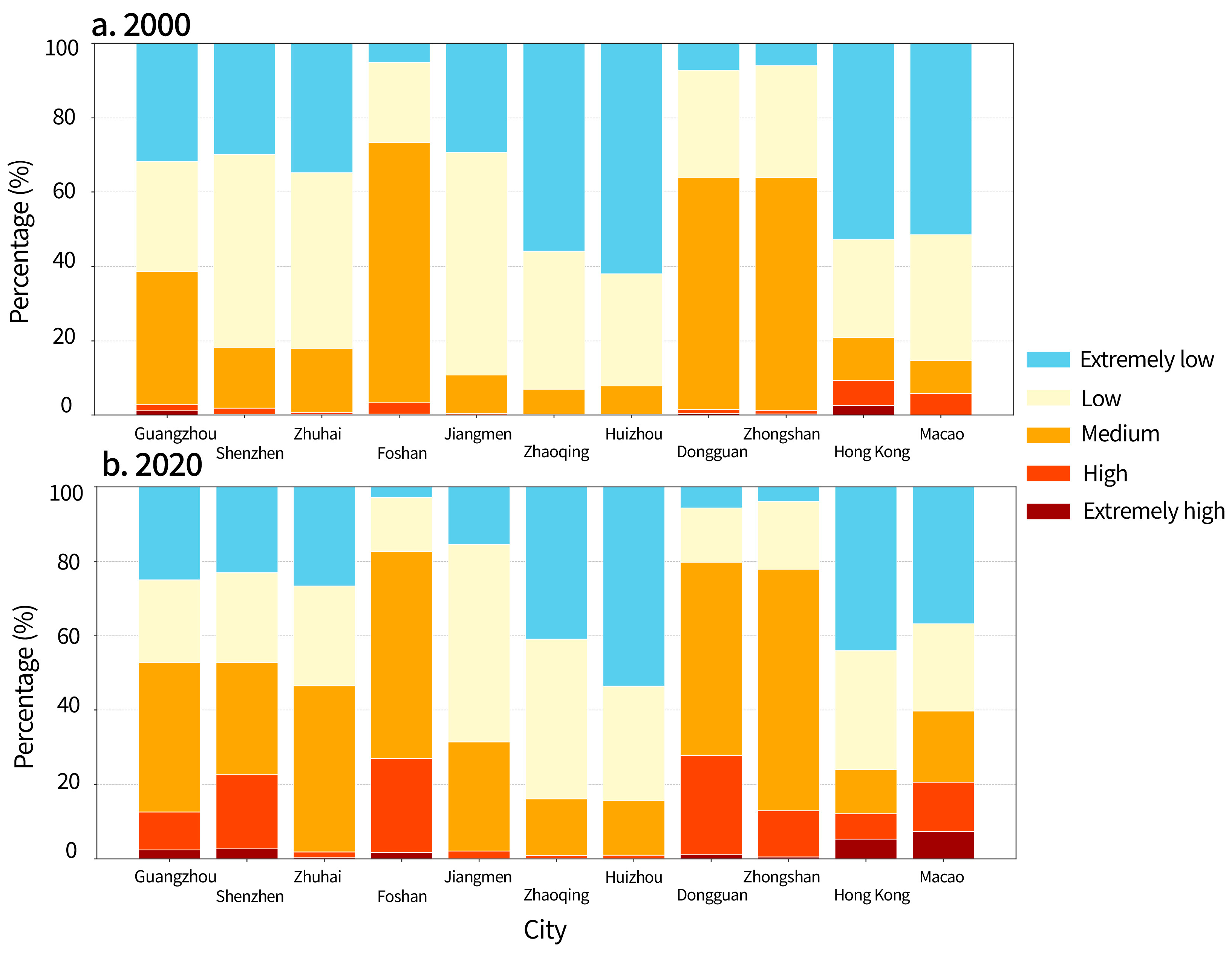
3.3. Assessment of Heat Risk
4. Discussion
4.1. The Heat Risk in GBA Urban Agglomeration
4.2. The Critical Role of Nighttime Warming and Health Implications
4.3. Mitigation Strategies for Building Climate Resilience in the GBA
4.4. Limitations and Future Research
5. Conclusions
Author Contributions
Funding
Data Availability Statement
Acknowledgments
Conflicts of Interest
Abbreviations
| GBA | Guangdong–Hong Kong–Macao Greater Bay Area |
| EWM | Entropy Weight Method |
| UHI | Urban Heat Island |
| GDP | Gross Domestic Product |
| NDVI | Normalized Difference Vegetation Index |
| NDBI | Normalized Difference Built-up Index |
| NDWI | Normalized Difference Water Index |
| HHI | Heat Hazard Index |
| SU35 | Number of hot days with daily maximum temperature ≥35 °C |
| TR25 | Number of hot nights with daily minimum temperature ≥25 °C |
| HVI | Heat Vulnerability Index |
| HRI | Heat Risk Index |
References
- Cheval, S.; Amihăesei, V.-A.; Chitu, Z.; Dumitrescu, A.; Falcescu, V.; Irașoc, A.; Micu, D.M.; Mihulet, E.; Ontel, I.; Paraschiv, M.-G.; et al. A Systematic Review of Urban Heat Island and Heat Waves Research (1991–2022). Clim. Risk Manag. 2024, 44, 100603. [Google Scholar] [CrossRef]
- Fan, G.; Yu, Y.; Gao, M.; Sharifi, A.; Pathak, M.; Zhang, K.; de Arróyabe Hernáez, P.F.; Deng, Q. Editorial: One Climate, One Urban, One Health. Sustain. Cities Soc. 2025, 130, 106619. [Google Scholar] [CrossRef]
- Eight Warmest Years on Record Witness Upsurge in Climate Change Impacts. Available online: https://wmo.int/news/media-centre/eight-warmest-years-record-witness-upsurge-climate-change-impacts (accessed on 25 August 2025).
- Perkins-Kirkpatrick, S.E.; Lewis, S.C. Increasing Trends in Regional Heatwaves. Nat. Commun. 2020, 11, 3357. [Google Scholar] [CrossRef]
- Vicedo-Cabrera, A.M.; Scovronick, N.; Sera, F.; Royé, D.; Schneider, R.; Tobias, A.; Astrom, C.; Guo, Y.; Honda, Y.; Hondula, D.M.; et al. The Burden of Heat-Related Mortality Attributable to Recent Human-Induced Climate Change. Nat. Clim. Change 2021, 11, 492–500. [Google Scholar] [CrossRef]
- Sun, Y.; Zhang, X.; Zwiers, F.W.; Song, L.; Wan, H.; Hu, T.; Yin, H.; Ren, G. Rapid Increase in the Risk of Extreme Summer Heat in Eastern China. Nat. Clim. Change 2014, 4, 1082–1085. [Google Scholar] [CrossRef]
- Palmeiro-Silva, Y.; Chandler, R.E.; Kelman, I. Estimating the Regional Effects of Temperature on Mortality and Hospitalisations in Chile: A Population-Based, Modelling Study Using Four Different Climate Change Scenarios. Lancet Reg. Health Am. 2025, 48, 101151. [Google Scholar] [CrossRef]
- Zhang, P.; Deschenes, O.; Meng, K.; Zhang, J. Temperature Effects on Productivity and Factor Reallocation: Evidence from a Half Million Chinese Manufacturing Plants. J. Environ. Econ. Manag. 2018, 88, 1–17. [Google Scholar] [CrossRef]
- Fant, C.; Boehlert, B.; Strzepek, K.; Larsen, P.; White, A.; Gulati, S.; Li, Y.; Martinich, J. Climate Change Impacts and Costs to U.S. Electricity Transmission and Distribution Infrastructure. Energy 2020, 195, 116899. [Google Scholar] [CrossRef]
- Pataki, D.E.; Carreiro, M.M.; Cherrier, J.; Grulke, N.E.; Jennings, V.; Pincetl, S.; Pouyat, R.V.; Whitlow, T.H.; Zipperer, W.C. Coupling Biogeochemical Cycles in Urban Environments: Ecosystem Services, Green Solutions, and Misconceptions. Front. Ecol. Environ. 2011, 9, 27–36. [Google Scholar] [CrossRef]
- Chen, B.; Xie, M.; Feng, Q.; Li, Z.; Chu, L.; Liu, Q. Heat Risk of Residents in Different Types of Communities from Urban Heat-Exposed Areas. Sci. Total Environ. 2021, 768, 145052. [Google Scholar] [CrossRef] [PubMed]
- Zhang, K.; Cao, C.; Chu, H.; Zhao, L.; Zhao, J.; Lee, X. Increased Heat Risk in Wet Climate Induced by Urban Humid Heat. Nature 2023, 617, 738–742. [Google Scholar] [CrossRef]
- Esperon-Rodriguez, M.; Gallagher, R.V.; Lenoir, J.; Barradas, V.L.; Beaumont, L.J.; Calfapietra, C.; Cariñanos, P.; Livesley, S.J.; Iungma, T.; Manoli, G.; et al. Urban Heat in Global Cities and the Role of Nature-Based Solutions in Mitigating Future Climate Risks. Environ. Res. Clim. 2025, 4, 023001. [Google Scholar] [CrossRef]
- Augusto, B.; Roebeling, P.; Rafael, S.; Ferreira, J.; Ascenso, A.; Bodilis, C. Short and Medium- to Long-Term Impacts of Nature-Based Solutions on Urban Heat. Sustain. Cities Soc. 2020, 57, 102122. [Google Scholar] [CrossRef]
- Sahani, J.; Kumar, P.; Debele, S.E. Efficacy Assessment of Green-Blue Nature-Based Solutions against Environmental Heat Mitigation. Environ. Int. 2023, 179, 108187. [Google Scholar] [CrossRef] [PubMed]
- Luo, M.; Lau, N.-C. Heat Waves in Southern China: Synoptic Behavior, Long-Term Change, and Urbanization Effects. J. Clim. 2017, 30, 703–720. [Google Scholar] [CrossRef]
- Wang, Y.; Han, Z.; Gao, R. Changes of Extreme High Temperature and Heavy Precipitation in the Guangdong-Hong Kong-Macao Greater Bay Area. Geomat. Nat. Hazards Risk 2021, 12, 1101–1126. [Google Scholar] [CrossRef]
- Zhang, J.; Lin, T.; Sun, C.; Lin, M.; Zhan, Y.; Chen, Y.; Ye, H.; Yao, X.; Huang, Y.; Zhang, G.; et al. Long-Term Spatiotemporal Characteristics and Impact Factors of Land Surface Temperature of Inhabited Islands with Different Urbanization Levels. Remote Sens. 2022, 14, 4997. [Google Scholar] [CrossRef]
- Deng, X.; Gao, F.; Liao, S.; Liu, Y.; Chen, W. Spatiotemporal Evolution Patterns of Urban Heat Island and Its Relationship with Urbanization in Guangdong-Hong Kong-Macao Greater Bay Area of China from 2000 to 2020. Ecol. Indic. 2023, 146, 109817. [Google Scholar] [CrossRef]
- Huang, S.; Su, Z.; Cui, G.; Huang, Y.; Deng, Z.; Lin, S. The Greater Bay Area as a Hotspot: Interacting Impacts of Urbanization and Extreme Events on Wet-Bulb Temperatures in Guangdong Province. Front. Clim. 2025, 7, 1653561. [Google Scholar] [CrossRef]
- Cui, G.; Deng, Z.; Tian, H.; Shi, S. Spatiotemporal Evolution and Future Projections of Compound Heat–Drought and Heat–Heavy Precipitation Extremes in the Pearl River Basin. Pearl River 2025, 1–18. Available online: https://link.cnki.net/urlid/44.1037.tv.20250911.1524.002 (accessed on 1 October 2025).
- Li, K.; Wang, M.; Liu, K. The Study on Compound Drought and Heatwave Events in China Using Complex Networks. Sustainability 2021, 13, 12774. [Google Scholar] [CrossRef]
- Sun, S.; Zhang, Q.; Singh, V.P.; Shi, C.; Wang, G.; Wu, W.; Shen, Z. Increased Moist Heat Stress Risk across China under Warming Climate. Sci. Rep. 2022, 12, 22548. [Google Scholar] [CrossRef]
- Wang, J.; Yan, Z. Rapid Rises in the Magnitude and Risk of Extreme Regional Heat Wave Events in China. Weather Clim. Extrem. 2021, 34, 100379. [Google Scholar] [CrossRef]
- Wang, H.; Xue, H.; He, W.; Han, Q.; Xu, T.; Gao, X.; Liu, S.; Jiang, R.; Huang, M. Spatial-Temporal Evolution Mechanism and Dynamic Simulation of the Urban Resilience System of the Guangdong-Hong Kong-Macao Greater Bay Area in China. Environ. Impact Assess. Rev. 2024, 104, 107333. [Google Scholar] [CrossRef]
- Zhang, J.; Liu, B.; Ren, S.; Han, W.; Ding, Y.; Peng, S. A 4 Km Daily Gridded Meteorological Dataset for China from 2000 to 2020. Sci. Data 2024, 11, 1230. [Google Scholar] [CrossRef]
- Lebakula, V.; Sims, K.; Reith, A.; Rose, A.; McKee, J.; Coleman, P.; Kaufman, J.; Urban, M.; Jochem, C.; Whitlock, C.; et al. LandScan Global 30 Arcsecond Annual Global Gridded Population Datasets from 2000 to 2022. Sci. Data 2025, 12, 495. [Google Scholar] [CrossRef]
- Chen, Z.; Yu, B.; Yang, C.; Zhou, Y.; Yao, S.; Qian, X.; Wang, C.; Wu, B.; Wu, J. An extended time series (2000–2018) of global NPP-VIIRS-like nighttime light data from a cross-sensor calibration. Earth Syst. Sci. Data 2021, 13, 889–906. [Google Scholar] [CrossRef]
- Didan, K. MOD13A3 MODIS/Terra Vegetation Indices Monthly L3 Global 1km SIN Grid V006; Nasa Earth Data: Greenbelt, MD, USA, 2023. [Google Scholar]
- Pettorelli, N. The Normalized Difference Vegetation Index; Oxford University Press: Cary, NC, USA, 2013. [Google Scholar]
- Wu, S.; Dai, E.; Ge, Q. The Comprehensive Risk Prevention: Chinese Comprehensive Climate Change Risks; Beijing Science Press: Beijing China, 2011. [Google Scholar]
- Siyan, D.; Ying, X.; Botao, Z.; Meiting, H.; Rouke, L.; Li, Y.; Yongxiang, Z. Projected Risk of Extreme Heat in China Based on CMIP5 Models. Adv. Clim. Change Res. 2014, 10, 365. [Google Scholar]
- Yin, X.; Dong, S.; Han, Z.; Wang, R. Projected Risk of Drought and Flood at Yangtze River Delta for the next 50 Years. J. Meteorol. Environ. 2018, 34, 66–75. [Google Scholar]
- Wei, C.; Wan, Y.; Huang, G.; Zhou, L.; Chang, Y. Spatial and Temporal Characteristics and Population Exposure of Heat Waves in China’s Coastal Regions. Remote Sens. Technol. Appl. 2024, 39, 679–689. [Google Scholar] [CrossRef]
- Feng, X.; Zeng, Z.; Jing, M.; Gao, K.; Xiao, Y. Influence of Driving Factors under Different Vegetation Indices of NDVI and EVI in Guangdong-Hong Kong-Macao Greater Bay Area. J. Huazhong Agric. Univ. 2023, 42, 116–124. [Google Scholar] [CrossRef]
- Margalef-Marrase, J.; Pérez-Navarro, M.Á.; Lloret, F. Relationship between Heatwave-induced Forest Die-off and Climatic Suitability in Multiple Tree Species. Glob. Change Biol. 2020, 26, 3134–3146. [Google Scholar] [CrossRef]
- Cardone, B.; Di Martino, F.; Mauriello, C.; Miraglia, V. A GIS-Based Framework to Analyze the Behavior of Urban Greenery During Heatwaves Using Satellite Data. ISPRS Int. J. Geo-Inf. 2024, 13, 377. [Google Scholar] [CrossRef]
- Xian, C.; He, L.; He, Z.; Xue, D.; Li, Z. Assessing the Response of Satellite Solar-Induced Chlorophyll Fluorescence and NDVI to Impacts of Heat Waves on Winter Wheat in the North China Plain. Adv. Meteorol. 2020, 2020, 8873534. [Google Scholar] [CrossRef]
- Yan, W.; Zhou, J.; Wang, X.; Luo, J.; Yang, F.; Wu, R. Vegetation Resistance to Compound Drought and Heatwave Events Buffers the Spatial Shift Velocities of Vegetation Vulnerability. Commun. Earth Environ. 2025, 6, 320. [Google Scholar] [CrossRef]
- Wang, Y.; Ren, Y.; Song, L.; Xiang, Y. Responses of Extreme High Temperatures to Urbanization in the Beijing–Tianjin–Hebei Urban Agglomeration in the Context of a Changing Climate. Meteorol. Appl. 2021, 28, e2024. [Google Scholar] [CrossRef]
- Shao-Hong, W.; Tao, P.; Shan-Feng, H. Primary Study on the Theories and Methods of Research on Climate Change Risk. Adv. Clim. Change Res. 2011, 7, 363. [Google Scholar]
- Szagri, D.; Nagy, B.; Szalay, Z. How Can We Predict Where Heatwaves Will Have an Impact?—A Literature Review on Heat Vulnerability Indexes. Urban Clim. 2023, 52, 101711. [Google Scholar] [CrossRef]
- Zhao, N.; Liu, Y.; Cao, G.; Samson, E.L.; Zhang, J. Forecasting China’s GDP at the Pixel Level Using Nighttime Lights Time Series and Population Images. GIScience Remote Sens. 2017, 54, 407–425. [Google Scholar] [CrossRef]
- Wang, T.; Sun, F. Global Gridded GDP Data Set Consistent with the Shared Socioeconomic Pathways. Sci. Data 2022, 9, 221. [Google Scholar] [CrossRef]
- Guha, S.; Govil, H. An Assessment on the Relationship between Land Surface Temperature and Normalized Difference Vegetation Index. Environ. Dev. Sustain. 2021, 23, 1944–1963. [Google Scholar] [CrossRef]
- Zha, Y.; Gao, J.; Ni, S. Use of Normalized Difference Built-up Index in Automatically Mapping Urban Areas from TM Imagery. Int. J. Remote Sens. 2003, 24, 583–594. [Google Scholar] [CrossRef]
- Zhu, Y.; Tian, D.; Yan, F. Effectiveness of Entropy Weight Method in Decision-Making. Math. Probl. Eng. 2020, 2020, 3564835. [Google Scholar] [CrossRef]
- Nie, Z.; Wang, L.; Cheshmehzangi, A.; Wu, H.; Lu, D.; Zhao, L. Subdistrict-Scale Day–Night Assessment of Urban Heat Vulnerability: A Multi-Dimensional Framework and Mitigation Strategies for Megacities—Case of Guangzhou, China. Build. Environ. 2025, 287, 113803. [Google Scholar] [CrossRef]
- Yao, L.; Gao, C.; Zhuang, Y.; Yang, H.; Wang, X. Exploring the Spatiotemporal Dynamics and Simulating Heritage Corridors for Sustainable Development of Industrial Heritage in Foshan City, China. Sustainability 2024, 16, 5605. [Google Scholar] [CrossRef]
- Cutter, S.L. The Origin and Diffusion of the Social Vulnerability Index (SoVI). Int. J. Disaster Risk Reduct. 2024, 109, 104576. [Google Scholar] [CrossRef]
- Cutter, S.L.; Boruff, B.J.; Shirley, W.L. Social Vulnerability to Environmental Hazards. In Hazards Vulnerability and Environmental Justice; Routledge: Oxfordshire, UK, 2012; pp. 115–132. [Google Scholar]
- Balakrishnan, K.; Ramalingam, A.; Dasu, V.; Chinnadurai Stephen, J.; Raj Sivaperumal, M.; Kumarasamy, D.; Mukhopadhyay, K.; Ghosh, S.; Sambandam, S. Case Studies on Heat Stress Related Perceptions in Different Industrial Sectors in Southern India. Glob. Health Action 2010, 3, 5635. [Google Scholar] [CrossRef] [PubMed]
- Davy, R.; Esau, I.; Chernokulsky, A.; Outten, S.; Zilitinkevich, S. Diurnal Asymmetry to the Observed Global Warming. Int. J. Climatol. 2017, 37, 79–93. [Google Scholar] [CrossRef]
- Dai, A.; Trenberth, K.E.; Karl, T.R. Effects of Clouds, Soil Moisture, Precipitation, and Water Vapor on Diurnal Temperature Range. J. Clim. 1999, 12, 2451–2473. [Google Scholar] [CrossRef]
- Jiang, S.; Wang, K.; Mao, Y. Rapid Local Urbanization around Most Meteorological Stations Explains the Observed Daily Asymmetric Warming Rates across China from 1985 to 2017. J. Clim. 2020, 33, 9045–9061. [Google Scholar] [CrossRef]
- Musa, A.A.; Mourad, K.A. Asymmetric Climate Extremes and Urban Flood Risk in Coastal Megacities: Diverging Hydroclimatic Trajectories of Mumbai and Lagos (1981–2023). Preprint 2025, 2025080723. [Google Scholar] [CrossRef]
- Tao, J.; Zhang, Y.; Li, Z.; Yang, M.; Huang, C.; Hossain, M.Z.; Xu, Y.; Wei, X.; Su, H.; Cheng, J.; et al. Daytime and Nighttime High Temperatures Differentially Increased the Risk of Cardiovascular Disease: A Nationwide Hospital-Based Study in China. Environ. Res. 2023, 236, 116740. [Google Scholar] [CrossRef]
- He, C.; Breitner, S.; Zhang, S.; Huber, V.; Naumann, M.; Traidl-Hoffmann, C.; Hammel, G.; Peters, A.; Ertl, M.; Schneider, A. Nocturnal Heat Exposure and Stroke Risk. Eur. Heart J. 2024, 45, 2158–2166. [Google Scholar] [CrossRef]
- Zhou, W.; Li, X.; Wang, Q.; Ling, L.; Zhang, H. The Combined Effects of Sleep and Extreme Heat Exposure on Cognitive Function among Older Adults. Ecotoxicol. Environ. Saf. 2025, 289, 117683. [Google Scholar] [CrossRef]
- Murage, P.; Hajat, S.; Kovats, R.S. Effect of Night-Time Temperatures on Cause and Age-Specific Mortality in London. Environ. Epidemiol. 2017, 1, e005. [Google Scholar] [CrossRef]
- Obradovich, N.; Migliorini, R.; Mednick, S.C.; Fowler, J.H. Nighttime Temperature and Human Sleep Loss in a Changing Climate. Sci. Adv. 2017, 3, e1601555. [Google Scholar] [CrossRef]
- Li, M.; Shen, X.; Wu, W.; Cetin, K.; Mcintyre, F.; Wang, L.; Ding, L.; Bishop, D.; Bellamy, L.; Liu, M. Cooling Demand Reduction with Nighttime Natural Ventilation to Cool Internal Thermal Mass under Harmonic Design-Day Weather Conditions. Appl. Energy 2025, 379, 124947. [Google Scholar] [CrossRef]
- Anand, J.; Sailor, D.J. How Can We Combine Urban Cooling Strategies to Effectively Cool Cities over the Entire Diurnal Cycle? Build. Environ. 2023, 242, 110524. [Google Scholar] [CrossRef]
- Akbari, H.; Pomerantz, M.; Taha, H. Cool Surfaces and Shade Trees to Reduce Energy Use and Improve Air Quality in Urban Areas. Sol. Energy 2001, 70, 295–310. [Google Scholar] [CrossRef]
- Demuzere, M.; Orru, K.; Heidrich, O.; Olazabal, E.; Geneletti, D.; Orru, H.; Bhave, A.G.; Mittal, N.; Feliu, E.; Faehnle, M. Mitigating and Adapting to Climate Change: Multi-Functional and Multi-Scale Assessment of Green Urban Infrastructure. J. Environ. Manag. 2014, 146, 107–115. [Google Scholar] [CrossRef]
- Cui, Y.; Yin, M.; Cheng, X.; Tang, J.; He, B.-J. Towards Cool Cities and Communities: Preparing for an Increasingly Hot Future by the Development of Heat-Resilient Infrastructure and Urban Heat Management Plan. Environ. Technol. Innov. 2024, 34, 103568. [Google Scholar] [CrossRef]
- Krayenhoff, E.S.; Broadbent, A.M.; Zhao, L.; Georgescu, M.; Middel, A.; Voogt, J.A.; Martilli, A.; Sailor, D.J.; Erell, E. Cooling Hot Cities: A Systematic and Critical Review of the Numerical Modelling Literature. Environ. Res. Lett. 2021, 16, 053007. [Google Scholar] [CrossRef]
- Schneider, F.A.; Ortiz, J.C.; Vanos, J.K.; Sailor, D.J.; Middel, A. Evidence-Based Guidance on Reflective Pavement for Urban Heat Mitigation in Arizona. Nat. Commun. 2023, 14, 1467. [Google Scholar] [CrossRef] [PubMed]
- Makido, Y.; Hellman, D.; Shandas, V. Nature-Based Designs to Mitigate Urban Heat: The Efficacy of Green Infrastructure Treatments in Portland, Oregon. Atmosphere 2019, 10, 282. [Google Scholar] [CrossRef]
- Degirmenci, K.; Desouza, K.C.; Fieuw, W.; Watson, R.T.; Yigitcanlar, T. Understanding Policy and Technology Responses in Mitigating Urban Heat Islands: A Literature Review and Directions for Future Research. Sustain. Cities Soc. 2021, 70, 102873. [Google Scholar] [CrossRef]









| Data Type | Source and Note |
|---|---|
| Meteorological data from in situ observation stations | National Meteorological Science Data Center (https://data.cma.cn/) |
| Meteorological grid data | CDMet: A 4 km daily gridded meteorological dataset for China (2000–2020) generated using Thin Plate Spline (TPS) and Random Forest algorithms (https://zenodo.org/records/10963932, accessed on 1 February 2025) [26] |
| Population density data | LandScan Global Population Dynamic Distribution dataset at 30 arc-second resolution from Oak Ridge National Laboratory (ORNL, https://landscan.ornl.gov/, accessed on 1 February 2025) [27] |
| Socioeconomic data | Annual Statistical Yearbooks of Guangdong, Hong Kong, and Macao |
| Nighttime light data | Global NPP-VIIRS-like (1 km) nighttime light datasets from Harvard Dataverse (https://gee-community-catalog.org/projects/npp_viirs_ntl/#earth-engine-snippet, accessed on 1 February 2025), available from 2000 onward [28] |
| Normalized Difference Vegetation Index (NDVI) | MODIS Terra Vegetation Index Monthly Product (MOD13A3) at 1 km resolution from NASA EOSDIS Land Processes DAAC (https://ladsweb.modaps.eosdis.nasa.gov/missions-and-measurements/products/MOD13A3, accessed on 1 October 2025) [29] |
| Normalized Difference Built-up Index (NDBI) | Urban built-up areas (500 m) calculated using generated from the MODIS/061/MOD09A1 surface reflectance using Google Earth Engine (https://earthengine.google.com, accessed on 1 October 2025) |
| Normalized Difference Water Index (NDWI) | Water body map (500 m) generated from the MODIS/006/MOD09GA surface reflectance composites (https://developers.google.com/earth-engine/datasets/catalog/MODIS_MOD09GA_006_NDWI, accessed on 1 October 2025) |
| HVI Indicator | Entropy (E) | Redundancy (D) | Weight (W) |
|---|---|---|---|
| POP | 0.862 | 0.138 | 0.313 |
| GDP | 0.708 | 0.292 | 0.664 |
| NDBI | 0.999 | 0.001 | 0.003 |
| NDVI | 0.993 | 0.008 | 0.017 |
| NDWI | 0.999 | 0.001 | 0.003 |
Disclaimer/Publisher’s Note: The statements, opinions and data contained in all publications are solely those of the individual author(s) and contributor(s) and not of MDPI and/or the editor(s). MDPI and/or the editor(s) disclaim responsibility for any injury to people or property resulting from any ideas, methods, instructions or products referred to in the content. |
© 2025 by the authors. Published by MDPI on behalf of the International Society for Photogrammetry and Remote Sensing. Licensee MDPI, Basel, Switzerland. This article is an open access article distributed under the terms and conditions of the Creative Commons Attribution (CC BY) license (https://creativecommons.org/licenses/by/4.0/).
Share and Cite
Yuan, Z.; Cui, G.; Zhang, Z. Remote Sensing-Based Spatiotemporal Assessment of Heat Risk in the Guangdong–Hong Kong–Macao Greater Bay Area. ISPRS Int. J. Geo-Inf. 2025, 14, 421. https://doi.org/10.3390/ijgi14110421
Yuan Z, Cui G, Zhang Z. Remote Sensing-Based Spatiotemporal Assessment of Heat Risk in the Guangdong–Hong Kong–Macao Greater Bay Area. ISPRS International Journal of Geo-Information. 2025; 14(11):421. https://doi.org/10.3390/ijgi14110421
Chicago/Turabian StyleYuan, Zhoutong, Guotao Cui, and Zhiqiang Zhang. 2025. "Remote Sensing-Based Spatiotemporal Assessment of Heat Risk in the Guangdong–Hong Kong–Macao Greater Bay Area" ISPRS International Journal of Geo-Information 14, no. 11: 421. https://doi.org/10.3390/ijgi14110421
APA StyleYuan, Z., Cui, G., & Zhang, Z. (2025). Remote Sensing-Based Spatiotemporal Assessment of Heat Risk in the Guangdong–Hong Kong–Macao Greater Bay Area. ISPRS International Journal of Geo-Information, 14(11), 421. https://doi.org/10.3390/ijgi14110421

