Measuring Efficiency and Accuracy in Locating Symbols on Mobile Maps Using Eye Tracking
Abstract
1. Introduction
- How does the frequency of smartphone usage impact users’ efficiency and accuracy in locating symbols within diverse spatial contexts on mobile maps, and what are the potential cognitive mechanisms underlying this relationship?
- To what extent does the average daily smartphone usage time moderate the outcomes of map-related tasks, specifically in terms of scanning speed and the detection of symbols?
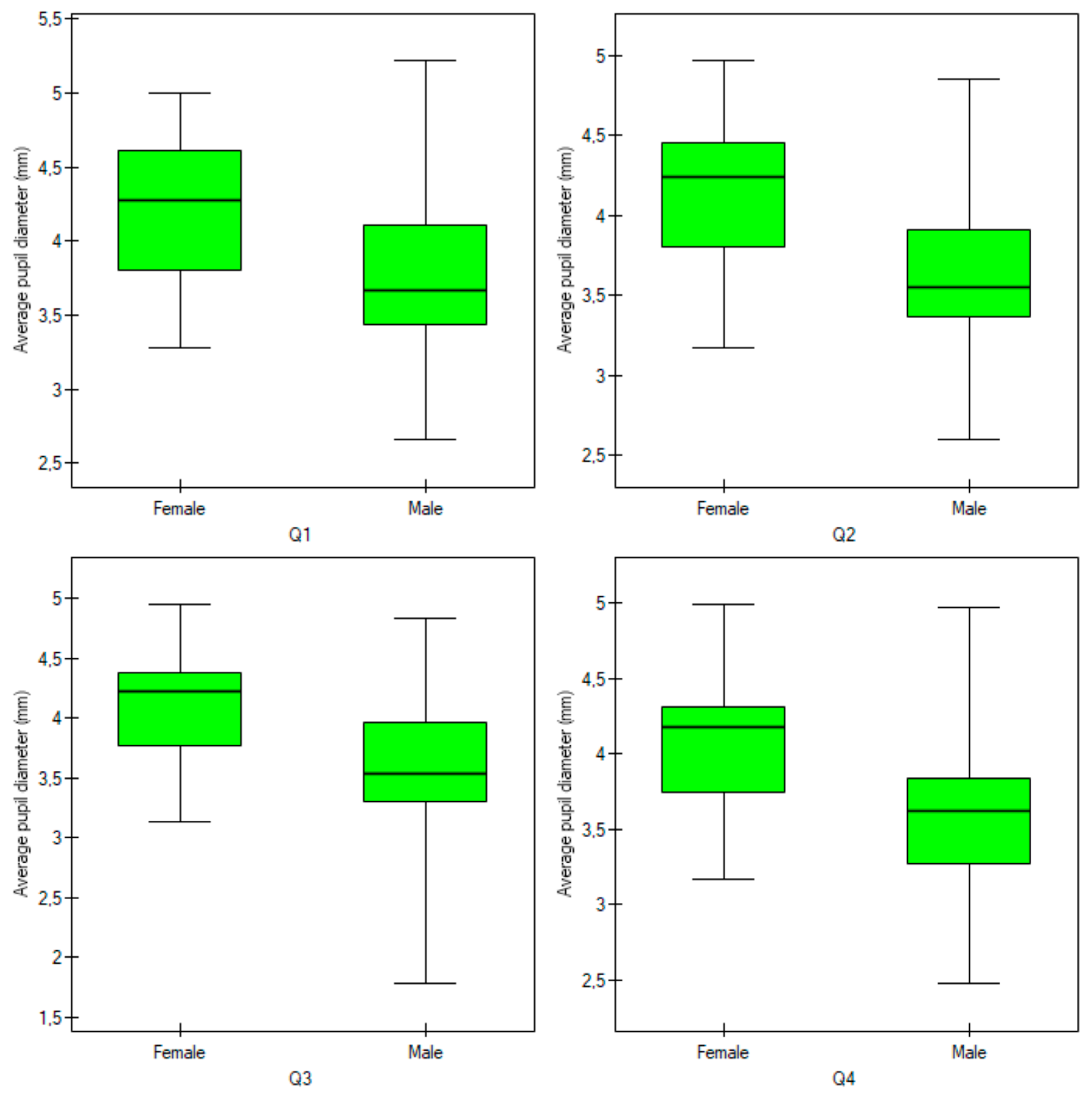
- What are the gender differences in pupil size during map-related tasks, how do these differences relate to variations in cognitive workload, and what insights do these differences provide into the potential cognitive demands of map-based activities for different genders?
2. Related Work
3. Methodology
3.1. Materials
3.2. Participants
3.3. Apparatus
3.4. Procedure
- (a)
- How readable do you think the map was?
- (b)
- How comprehensible do you think the symbols on the map were?
- (c)
- Was there anything you found particularly difficult when using the map?
- (d)
- Which mobile map applications do you use?
- (e)
- Are you familiar with the Mapy.cz application?
- (f)
- How often do you use navigation applications on your smartphone?
- (g)
- What is your average daily smartphone usage time per week?
3.5. Analysis
3.5.1. Eye Tracking Data Associated with the AOI
- Time until the main task element is perceived (AOI; in s)—This is the time until the first fixation for the specified AOI. This allows us to determine how quickly the respondent unconsciously or consciously perceived a key element for the task.
- Fixation duration in AOI (in s)—This is the total time of all fixations for the specified AOI. This allows us to determine how much time the respondent had to decode the symbol during the video. A higher value may reflect a lower level of cognitive processing [30].
- Number of fixations in the AOI (counts)—This is the total number of fixations in the AOI. This allows us to determine how many times the respondent looked at the AOI while processing information from the video.
3.5.2. Eye-Tracking Data for the Entire Video
- The average duration of fixation (in s) is the arithmetic mean of all fixation durations. As with the fixation duration in AOIs, the longer the value, the more time respondents spent decoding map elements, which may reflect a deeper level of cognitive processing [30].
- The total fixation count is the total number of fixations for a particular video. This allows us to determine how many times the respondent has stopped their eyes on an element while watching it.
- The mean amplitude of the saccades (in °) is the average amplitude of all saccades, i.e., the range of the participants’ visual exploration [33].
- The average scan rate (°/s) is the ratio between the length of the saccade connecting the end of one fixation to the beginning of the second fixation and the time difference between the beginning of one fixation and the end of the other.
3.5.3. Response Data
- Response time (in s)—This is the time from the moment the question appears to the verbal articulation of the answer by the respondent. It reflects the process of searching for stored spatial information. In addition, this time can also be combined with measures of effectiveness and productivity [10,35].
- Correctness of the answers (in % for all questions, and 0/1 for individual questions)—This is the ratio between the correct answers and the number of questions. It illustrates the correctness of the process of searching for remembered spatial information [36].
4. Results
4.1. Are You Familiar with the Mapy.cz Application?
- Q3—People who are familiar with the Mapy.cz application give statistically significantly fewer correct answers to question 3 (p < 0.05 *);
- Q3—People who are familiar with the Mapy.cz application give statistically significantly slower answers to question 3 (p < 0.05 *);
- General correctness—People who are familiar with the Mapy.cz application answer all questions less correctly (p < 0.05 *);
- Average response time—People who are familiar with the Mapy.cz application answer all questions more slowly on average (p < 0.05 *).
- Q4—People who are familiar with the Mapy.cz app have a statistically longer average saccade when watching video number 4 (p < 0.05);
- Q3 Symbol 2—People familiar with the Mapy.cz application were statistically quicker to notice Symbol 2 in the video (p < 0.05);
- Q3 Symbol 3—People familiar with the Mapy.cz application were statistically quicker to notice Symbol 3 in the video (p < 0.05 *).
4.2. What Is Your Average Daily Smartphone Usage Time per Week?
- Q4—The longer the average daily time spent on the smartphone, the later the correct symbol in question 4 was noticed (p < 0.05, r = 0.324934). This correlation is also shown in the following figure (Figure 5).
- Q3—The longer the average daily time spent on the smartphone, the longer the average scanning speed when watching movie 3 (p < 0.05, r = 0.329498).
4.3. How Often Do You Use Navigation Applications Your Smartphone?
- Q2—People who stated that they use navigation applications on their smartphone every day were statistically more likely to give the correct answer to question 2 (p < 0.05);
- Q2—People who say they use navigation applications on a smartphone every day statistically looked at the correct symbol for less time (AOI) (p < 0.05);
- Q3 Symbol 1—People who stated that they used smartphone navigation once a month or less often looked at symbol 1 (AOI) for a shorter time (p < 0.05).
4.4. How Readable Do You Think the Map Is?
- Q3 Symbol 3—People who describe the map as poorly readable statistically look longer at Symbol 3 in task 3 (p < 0.05);
- Q3 Symbol 3—People who describe the map as poorly readable statistically look at Symbol 3 more often in task 3 (p < 0.05);
- Q3 Symbol 2—people who describe the map as well and moderately readable statistically later notice symbol 2 in task 3 (p < 0.05).
5. Discussion
6. Conclusions
Author Contributions
Funding
Data Availability Statement
Conflicts of Interest
References
- Sarjakoski, L.T.; Nivala, A.M. Adaptation to Context—A Way to Improve the Usability of Mobile Maps. In Map-Based Mobile Services; Meng, L., Reichenbacher, T., Zipf, A., Eds.; Springer: Berlin, Germany, 2005. [Google Scholar] [CrossRef]
- Ricker, B.; Hedley, N.; Daniel, S. Fuzzy boundaries: Hybridizing Location-based Services, Volunteered Geographic Information and Geovisualization Literature. Geogr. Compass 2014, 8, 490–504. [Google Scholar] [CrossRef]
- Medynska-Gulij, B. Point Symbols: Investigating Principles and Originality in Cartographic Design. Cartogr. J. 2008, 45, 62–67. [Google Scholar] [CrossRef]
- van Tonder, B.; Wesson, J. Design and Evaluation of an Adaptive Mobile Map-Based Visualisation System. In Human-Computer Interaction—INTERACT 2009; Lecture Notes in Computer Science 2009; Gross, T., Gulliksen, J., Kotzé, P., Oestreicher, L., Palanque, P., Prates, R.O., Winckler, M., Eds.; Springer: Berlin/Heidelberg, Germany, 2009; Volume 5726. [Google Scholar] [CrossRef]
- Robinson, A.C.; Pezanowski, S.; Troedson, S.; Bianchetti, R.; Blanford, J.; Stevens, J.; Guidero, E.; Roth, R.; MacEachren, A.M. Symbol Store: Sharing map symbols for emergency management. Cartogr. Geogr. Inf. Sci. 2013, 40, 415–426. [Google Scholar] [CrossRef]
- Roth, R. What is Mobile First Cartographic Design? In ICA Joint Workshop on User Experience Design for Mobile Cartography; International Cartographic Association: Bern, Switzerland, 2019. [Google Scholar]
- Krassanakis, V.; Cybulski, P. Eye Tracking Research in Cartography: Looking into the Future. ISPRS Int. J. Geo-Inf. 2021, 10, 411. [Google Scholar] [CrossRef]
- Krassanakis, V.; Cybulski, P. A review on eye movement analysis in map reading process: The status of the last decade. Geod. Cartogr. 2019, 68, 191–209. [Google Scholar] [CrossRef]
- Goldberg, J.H.; Wichansky, A.M. Eye Tracking in Usability Evaluation: A Practitioner’s Guide. In The Mind’s Eye; Hyönä, J., Radach, R., Deubel, H., Eds.; Elsevier: Amsterdam, The Netherlands, 2003; Volume 200, pp. 493–516. [Google Scholar] [CrossRef]
- Çöltekin, A.; Heil, B.; Garlandini, S.; Fabrikant, S.I. Evaluating the Effectiveness of Interactive Map Interface Designs: A Case Study Integrating Usability Metrics with Eye-Movement Analysis. Cartogr. Geogr. Inf. Sci. 2009, 36, 5–17. [Google Scholar] [CrossRef]
- Dong, W.; Liao, H.; Xu, F.; Liu, Z.; Zhang, S.B. Using eye tracking to evaluate the usability of animated maps. Sci. China Earth Sci. 2014, 57, 512–522. [Google Scholar] [CrossRef]
- Liao, H.; Dong, W.; Peng, C.; Liu, H. Exploring differences of visual attention in pedestrian navigation when using 2D maps and 3D geo-browsers. Cartogr. Geogr. Inf. Sci. 2017, 44, 474–490. [Google Scholar] [CrossRef]
- Smerecnik, C.; Mesters, I.; Kessels, L.; Ruiter, R.; Vries, N.; de Vries, H. Understanding the positive effects of graphical risk information on comprehension: Measuring attention directed to written, tabular, and graphical risk information. Risk Anal. 2010, 30, 1387–1398. [Google Scholar] [CrossRef] [PubMed]
- Cybulski, P.; Medyńska-Gulij, B.; Horbiński, T. Users’ Visual Experience During Temporal Navigation in Forecast Weather Maps on Mobile Devices. J. Geovis Spat. Anal. 2023, 7, 32. [Google Scholar] [CrossRef]
- Al-Showarah, S.; AL-Jawad, N.; Sellahewa, H. Effects of User Age on Smartphone and Tablet Use, Measured with an Eye-Tracker via Fixation Duration, Scan-Path Duration, and Saccades Proportion. In Universal Access in Human-Computer Interaction. Universal Access to Information and Knowledge, Proceedings of the 17th International Conference of UAHCI 2023 and HCII 2023, Copenhagen, Denmark, 23–28 July 2023; Lecture Notes in Computer, Science; Stephanidis, C., Antona, M., Eds.; Springer: Cham, Switzerland, 2023; Volume 8514, pp. 3–14. [Google Scholar] [CrossRef]
- Cybulski, P. Effectiveness of Memorizing an Animated Route—Comparing Satellite and Road Map Differences in the Eye-Tracking Study. ISPRS Int. J. Geo-Inf. 2021, 10, 159. [Google Scholar] [CrossRef]
- Skaramagkas, V.; Giannakakis, G.; Ktistakis, E.; Manousos, D.; Karatzanis, I.; Tachos, N.S.; Tripoliti, E.; Marias, K.; Fotiadis, D.I.; Tsiknakis, M. Review of Eye Tracking Metrics Involved in Emotional and Cognitive Processes. IEEE Rev. Biomed. Eng. 2021, 16, 260–277. [Google Scholar] [CrossRef] [PubMed]
- Foroughi, C.K.; Sibley, C.; Coyne, J.T. Pupil size as a measure of within-task learning. Psychophysiology 2017, 54, 1436–1443. [Google Scholar] [CrossRef]
- Kiefer, P.; Giannopoulos, I.; Duchowski, A.; Raubal, M. Measuring Cognitive Load for Map Tasks Through Pupil Diameter. In Proceedings of the 9th International Conference on Geographic Information Science, Montreal, QC, Canada, 27–30 September 2016; Miller, J., O’Sullivan, D., Wiegand, N., Eds.; Springer: Cham, Switzerland, 2016; Volume 9927. [Google Scholar] [CrossRef]
- Griffin, A.L.; White, T.; Fish, C.; Tomio, B.; Huang, H.; Sluter, C.R.; Bravo, J.V.M.; Fabrikant, S.I.; Bleisch, S.; Yamada, M.; et al. Designing across map use contexts: A research agenda. Int. J. Cartogr. 2017, 3, 90–114. [Google Scholar] [CrossRef]
- Montello, D.R. Cognitive Map-Design Research in the Twentieth Century: Theoretical and Empirical Approaches. Cartogr. Geogr. Inf. Sci. 2002, 29, 283–304. [Google Scholar] [CrossRef]
- Krejtz, K.; Çöltekin, A.; Duchowski, A.; Niedzielska, A. Using Coefficient to Distinguish Ambient/Focal Visual Attention During Cartographic Tasks. J. Eye Mov. Res. 2017, 10, 1–13. [Google Scholar] [CrossRef]
- Putto, K.; Kettunene, P.; Torniainen, J.; Krause, C.M.; Sarjakoski, L.T. Effects of Cartogrpahic Elevation Visualization and Map-reading Tasks on Eye Movements. Cartogr. J. 2014, 51, 225–236. [Google Scholar] [CrossRef]
- Kiefer, P.; Giannopoulos, I.; Raubal, M. Using eye movements to recognize activities on cartographic maps. In Proceedings of the 21st ACM SIGSPATIAL International Conference on Advances in Geographic Information Systems, Orlando, FL, USA, 5–8 November 2013; pp. 488–491. [Google Scholar] [CrossRef]
- Gilmartin, P.P.; Patton, J.C. Comparing the Sexes on Spatial Abilities: Map-Use Skills. Ann. Assoc. Am. Geogr. 1984, 74, 605–619. [Google Scholar] [CrossRef]
- Montello, D.R.; Lovelace, K.L.; Golledge, R.G.; Self, C.M. Sex-Related Differences and Similarities in Geographic and Environmental Spatial Abilities. Ann. Assoc. Am. Geogr. 1999, 89, 515–534. [Google Scholar] [CrossRef]
- Liao, H.; Dong, W. An Exploratory Study Investigating Gender Effects on Using 3D Maps for Spatial Orientation in Wayfinding. ISPRS Int. J. Geo-Inf. 2017, 6, 60. [Google Scholar] [CrossRef]
- Ooms, K.; Dupont, L.; Lapon, L.; Popelka, S. Accuracy and Precision of Fixation Locations Recorded with the Low-Cost Eye Tribe Tracker in Different Experimental Setups. J. Eye Mov. Res. 2015, 8, 1–24. [Google Scholar] [CrossRef]
- Ooms, K.; Krassanakis, V. Measuring the Spatial Noise of a Low-Cost Eye Tracker to Enhance Fixation Detection. J. Imaging 2018, 4, 96. [Google Scholar] [CrossRef]
- Just, M.A.; Carpenter, P.A. Eye fixations and cognitive processes. Cogn. Psychol. 1976, 8, 441–480. [Google Scholar] [CrossRef]
- Lloyd, R.E. Visual search processes used in map reading. Cartographica 1997, 34, 11–32. [Google Scholar] [CrossRef]
- Lloyd, R.E. Attention on maps. Cart. Perspect. 2005, 52, 28–57. [Google Scholar] [CrossRef]
- Dong, W.; Wu, Y.; Qin, T.; Bian, X.; Zhao, Y.; He, Y.; Xu, Y.; Yu, C. What is the difference between augmented reality and 2D navigation electronic maps in pedestrian wayfinding? Cartogr. Geogr. Inf. Sci. 2021, 48, 225–240. [Google Scholar] [CrossRef]
- Backs, R.W.; Walrath, L.C. Eye movement and pupillary response indices of mental workload during visual search of symbolic displays. Appl. Ergon. 1992, 23, 243–254. [Google Scholar] [CrossRef] [PubMed]
- Garlandini, S.; Fabrikant, S.I. Evaluating the efectiveness and efciency of visual variables for geographic information visualization. In Spatial Information Theory; Hornsby, K.S., Claramunt, C., Denis, M., Ligozat, G., Eds.; Springer: Berlin, Germany, 2009; p. 5756. [Google Scholar] [CrossRef]
- Horbiński, T.; Zagata, K. The Cognitive Skills in Interpretation of Spatial Situations in the League of Legends game. Simul. Gaming 2023, 54, 322–347. [Google Scholar] [CrossRef]
- Wolfe, J.M. Visual Search: How Do We Find What We Are Looking For? Annu. Rev. Vis. Sci. 2020, 6, 539–562. [Google Scholar] [CrossRef]
- Gottwald, S.; Laatikainen, T.E.; Kyttä, M. Exploring the usability of PPGIS among older adults: Challenges and opportunities. Int. J. Geogr. Inf. Sci. 2016, 30, 2321–2338. [Google Scholar] [CrossRef]
- Ahmadpoor, N.; Smith, A.D.; Heath, T. Rethinking legibility in the era of digital mobile maps: An empirical study. J. Urban Des. 2021, 26, 296–318. [Google Scholar] [CrossRef]
- Neider, M.B.; Zelinsky, G.J. Scene context guides eye movements during visual search. Vis. Res. 2006, 45, 614–621. [Google Scholar] [CrossRef] [PubMed]
- Popelka, S.; Brychtova, A.; Brus, J.; Voženílek, V. Advanced Map Optimalization Based on Eye-Tracking. In Cartography—A Tool for Spatial Analysis; Bateira, C., Ed.; IntechOpen: London, UK, 2012. [Google Scholar] [CrossRef]
- Keskin, M.; Ooms, K.; Dogru, A.O.; De Maeyer, P. Exploring the Cognitive Load of Expert and Novice Map Users Using EEG and Eye Tracking. ISPRS Int. J. Geo-Inf. 2020, 9, 429. [Google Scholar] [CrossRef]
- Havelková, L.; Gołębiowska, I.M. What Went Wrong for Bad Solvers during Thematic Map Analysis? Lessons learned from an eye-tracking study. ISPRS Int. J. Geo-Inf. 2020, 9, 9. [Google Scholar] [CrossRef]
- Liao, H.; Wang, X.; Dong, W.; Meng, L. Measuring the influence of map label density on perceived complexity: A user study using eye tracking. Cartogr. Geogr. Inf. Sci. 2019, 46, 210–227. [Google Scholar] [CrossRef]
- Bartling, M.; Resch, B.; Reichenbacher, T.; Havas, C.R.; Robinson, A.C.; Fabrikant, S.I.; Blaschke, T. Adapting mobile map application design to map use context: A review and call for action on potential future research themes. Cartogr. Geogr. Inf. Sci. 2022, 49, 237–251. [Google Scholar] [CrossRef]
- Dillemuth, J. Map Design Evaluation for Mobile Display. Cartogr. Geogr. Inf. Sci. 2005, 32, 285–301. [Google Scholar] [CrossRef]
- Nivala, A.M.; Sarjakoski, T.L. User Aspects of Adaptive Visualization for Mobile Maps. Cartogr. Geogr. Inf. Sci. 2007, 34, 275–284. [Google Scholar] [CrossRef]
- Keskin, M.; Ooms, K. Possibilities of eye tracking and EEG integration for visual search on 2D maps. In Proceedings of the 3rd International Workshop on Eye Tracking for Spatial Research, Zurich, Switzerland, 14 January 2018. [Google Scholar] [CrossRef]
- Meng, L. Missing Theories and Methods in Digital Cartography. In Proceedings of the 21st International Cartographic Conference, Durban, South Africa, 10–16 August 2003; Available online: https://icaci.org/files/documents/ICC_proceedings/ICC2003/Papers/244.pdf (accessed on 18 January 2024).








| Q1 | Q2 | Q3 | Q4 | |||||
|---|---|---|---|---|---|---|---|---|
| Mapy.cz | Correctness (%) | Response Time (s) | Correctness (%) | Response Time (s) | Correctness (%) | Response Time (s) | Correctness (%) | Response Time (s) |
| Known | 85 | 5.285 (5.719) | 20 | 9.625 (6.35) | 68.4 | 7.18 (4.75) | 63.16 | 6.925 (2.58) |
| Unknown | 92.1 | 4.825 (1.70) | 28.9 | 7.92 (7.81) | 89.5 | 6.125 (4.183) | 73.7 | 5.935 (3.428) |
Disclaimer/Publisher’s Note: The statements, opinions and data contained in all publications are solely those of the individual author(s) and contributor(s) and not of MDPI and/or the editor(s). MDPI and/or the editor(s) disclaim responsibility for any injury to people or property resulting from any ideas, methods, instructions or products referred to in the content. |
© 2024 by the authors. Licensee MDPI, Basel, Switzerland. This article is an open access article distributed under the terms and conditions of the Creative Commons Attribution (CC BY) license (https://creativecommons.org/licenses/by/4.0/).
Share and Cite
Rymarkiewicz, W.; Cybulski, P.; Horbiński, T. Measuring Efficiency and Accuracy in Locating Symbols on Mobile Maps Using Eye Tracking. ISPRS Int. J. Geo-Inf. 2024, 13, 42. https://doi.org/10.3390/ijgi13020042
Rymarkiewicz W, Cybulski P, Horbiński T. Measuring Efficiency and Accuracy in Locating Symbols on Mobile Maps Using Eye Tracking. ISPRS International Journal of Geo-Information. 2024; 13(2):42. https://doi.org/10.3390/ijgi13020042
Chicago/Turabian StyleRymarkiewicz, Wojciech, Paweł Cybulski, and Tymoteusz Horbiński. 2024. "Measuring Efficiency and Accuracy in Locating Symbols on Mobile Maps Using Eye Tracking" ISPRS International Journal of Geo-Information 13, no. 2: 42. https://doi.org/10.3390/ijgi13020042
APA StyleRymarkiewicz, W., Cybulski, P., & Horbiński, T. (2024). Measuring Efficiency and Accuracy in Locating Symbols on Mobile Maps Using Eye Tracking. ISPRS International Journal of Geo-Information, 13(2), 42. https://doi.org/10.3390/ijgi13020042

