Spatiotemporal Analytics of Environmental Sounds and Influencing Factors Based on Urban Sensor Network Data
Abstract
:1. Introduction
2. Related Work
3. Research Area and Data
4. Methodology
4.1. Workflow
4.2. Data Processing of Sound Sensor
4.3. Thiessen Polygon
4.4. GeoDetector
5. Experiment and Results
5.1. Noise Level of Different Nodes
5.2. Noise Level on Weekdays and Weekends
6. Discussion
7. Conclusions and Future Work
Author Contributions
Funding
Data Availability Statement
Acknowledgments
Conflicts of Interest
Appendix A

Appendix B













Appendix C














Appendix D







References
- Caparros-Midwood, D.; Barr, S.; Dawson, R. Optimised spatial planning to meet long term urban sustainability objectives. Comput. Environ. Urban Syst. 2015, 54, 154–164. [Google Scholar] [CrossRef]
- Soliman, A.; Mackay, A.; Schmidt, A.; Allan, B.; Wang, S. Quantifying the geographic distribution of building coverage across the US for urban sustainability studies. Comput. Environ. Urban Syst. 2018, 71, 199–208. [Google Scholar] [CrossRef]
- King, E.A. Here, There, and Everywhere: How the SDGs Must Include Noise Pollution in Their Development Challenges. Environ. Sci. Policy Sustain. Dev. 2022, 64, 17–32. [Google Scholar] [CrossRef]
- Daniel, E. Noise and hearing loss: A review. J. Sch. Health 2007, 77, 225–231. [Google Scholar] [CrossRef] [PubMed]
- Klompmaker, J.O.; Hoek, G.; Bloemsma, L.D.; Wijga, A.H.; van den Brink, C.; Brunekreef, B.; Lebret, E.; Gehring, U.; Janssen, N.A.H. Associations of combined exposures to surrounding green, air pollution and traffic noise on mental health. Environ. Int. 2019, 129, 525–537. [Google Scholar] [CrossRef] [PubMed]
- Hao, G.; Zuo, L.; Xiong, P.; Chen, L.; Liang, X.; Jing, C. Associations of PM2.5 and road traffic noise with mental health: Evidence from UK Biobank. Environ. Res. 2022, 207, 112221. [Google Scholar] [CrossRef] [PubMed]
- Basner, M.; McGuire, S. WHO environmental noise guidelines for the European region: A systematic review on environmental noise and effects on sleep. Int. J. Environ. Res. Public Health 2018, 15, 519. [Google Scholar] [CrossRef] [PubMed]
- Münzel, T.; Sørensen, M.; Daiber, A. Transportation noise pollution and cardiovascular disease. Nat. Rev. Cardiol. 2021, 18, 619–636. [Google Scholar] [CrossRef]
- Bluhm, G.L.; Berglind, N.; Nordling, E.; Rosenlund, M. Road traffic noise and hypertension. Occup. Environ. Med. 2007, 64, 122–126. [Google Scholar] [CrossRef]
- Oftedal, B.; Krog, N.H.; Pyko, A.; Eriksson, C.; Graff-Iversen, S.; Haugen, M.; Schwarze, P.; Pershagen, G.; Aasvang, G.M. Road traffic noise and markers of obesity—A population-based study. Environ. Res. 2015, 138, 144–153. [Google Scholar] [CrossRef]
- Chen, H.L.; Koprowski, J.L. Animal occurrence and space use change in the landscape of anthropogenic noise. Biol. Conserv. 2015, 192, 315–322. [Google Scholar] [CrossRef]
- Catlett, C.E.; Beckman, P.H.; Sankaran, R.; Galvin, K.K. Array of things: A scientific research instrument in the public way: Platform design and early lessons learned. In Proceedings of the 2nd International Workshop on Science of Smart City Operations and Platforms Engineering, Pittsburgh, PA, USA, 18–21 April 2017; pp. 26–33. [Google Scholar] [CrossRef]
- Ricaurte, L. The array of things, Chicago. Urban Plan. Transit. 2021, 171–182. [Google Scholar] [CrossRef]
- Wang, S.; Lyu, F.; Wang, S.; Catlett, C.E.; Padmanabhan, A.; Soltani, K. Integrating CyberGIS and urban sensing for reproducible streaming analytics. In Urban Informatics; Springer: Singapore, 2021; pp. 663–681. [Google Scholar] [CrossRef]
- Lyu, F.; Wang, S.; Han, S.Y.; Catlett, C.; Wang, S. An integrated cyberGIS and machine learning framework for fine-scale prediction of urban Heat Island using satellite remote sensing and urban sensor network data. Urban Inform. 2022, 1, 6. [Google Scholar] [CrossRef] [PubMed]
- English, N.; Zhao, C.; Brown, K.L.; Catlett, C.; Cagney, K. Making sense of sensor data: How local environmental conditions add value to social science research. Soc. Sci. Comput. Rev. 2022, 40, 179–194. [Google Scholar] [CrossRef] [PubMed]
- Ruge, L.; Altakrouri, B.; Schrader, A. Sound of the City—Continuous noise monitoring for a healthy city. In Proceedings of the 2013 IEEE International Conference on Pervasive Computing and Communications Workshops (PERCOM Workshops), San Diego, CA, USA, 18–22 March 2013; pp. 670–675. [Google Scholar] [CrossRef]
- Wang, Y.; Zheng, Y.; Liu, T. A noise map of New York city. In Proceedings of the 2014 ACM International Joint Conference on Pervasive and Ubiquitous Computing: Adjunct Publication, Seattle, WA, USA, 13–17 September 2014; pp. 275–278. [Google Scholar] [CrossRef]
- Rendón, J.; Gómez, D.M.M.; Colorado, H.A. Useful tools for integrating noise maps about noises other than those of transport, infrastructures, and industrial plants in developing countries: Casework of the Aburra Valley, Colombia. J. Environ. Manag. 2022, 313, 114953. [Google Scholar] [CrossRef] [PubMed]
- Khan, J.; Ketzel, M.; Kakosimos, K.; Sørensen, M.; Jensen, S.S. Road traffic air and noise pollution exposure assessment–A review of tools and techniques. Sci. Total Environ. 2018, 634, 661–676. [Google Scholar] [CrossRef]
- Islam, M.N.; Rahman, K.S.; Bahar, M.M.; Habib, M.A.; Ando, K.; Hattori, N. Pollution attenuation by roadside greenbelt in and around urban areas. Urban For. Urban Green. 2012, 11, 460–464. [Google Scholar] [CrossRef]
- Van Renterghem, T.; Botteldooren, D.; Verheyen, K. Road traffic noise shielding by vegetation belts of limited depth. J. Sound Vib. 2012, 331, 2404–2425. [Google Scholar] [CrossRef]
- Ow, L.F.; Ghosh, S. Urban cities and road traffic noise: Reduction through vegetation. Appl. Acoust. 2017, 120, 15–20. [Google Scholar] [CrossRef]
- Yuan, M.; Yin, C.; Sun, Y.; Chen, W. Examining the associations between urban built environment and noise pollution in high-density high-rise urban areas: A case study in Wuhan, China. Sustain. Cities Soc. 2019, 50, 101678. [Google Scholar] [CrossRef]
- Han, X.; Huang, X.; Liang, H.; Ma, S.; Gong, J. Analysis of the relationships between environmental noise and urban morphology. Environ. Pollut. 2018, 233, 755–763. [Google Scholar] [CrossRef] [PubMed]
- Guo, L.H.; Cheng, S.; Liu, J.; Wang, Y.; Cai, Y.; Hong, X.-C. Does social perception data express the spatio-temporal pattern of perceived urban noise? A case study based on 3,137 noise complaints in Fuzhou, China. Appl. Acoust. 2022, 201, 109129. [Google Scholar] [CrossRef]
- Wang, H.; Chen, H.; Cai, M. Evaluation of an urban traffic Noise–Exposed population based on points of interest and noise maps: The case of Guangzhou. Environ. Pollut. 2018, 239, 741–750. [Google Scholar] [CrossRef] [PubMed]
- De Kluijver, H.; Stoter, J. Noise mapping and GIS: Optimising quality and efficiency of noise effect studies. Comput. Environ. Urban Syst. 2003, 27, 85–102. [Google Scholar] [CrossRef]
- Cai, M.; Zou, J.; Xie, J.; Ma, X. Road traffic noise mapping in Guangzhou using GIS and GPS. Appl. Acoust. 2015, 87, 94–102. [Google Scholar] [CrossRef]
- Lan, Z.; Cai, M. Dynamic traffic noise maps based on noise monitoring and traffic speed data. Transp. Res. Part D Transp. Environ. 2021, 94, 102796. [Google Scholar] [CrossRef]
- Yang, W.; He, J.; He, C.; Cai, M. Evaluation of urban traffic noise pollution based on noise maps. Transp. Res. Part D Transp. Environ. 2020, 87, 102516. [Google Scholar] [CrossRef]
- Yilmaz, G.; Hocanli, Y. Mapping of noise by using GIS in Şanliurfa. Environ. Monit. Assess. 2006, 121, 103–108. [Google Scholar] [CrossRef]
- Chiou, Y.C.; Jou, R.C.; Yang, C.H. Factors affecting public transportation usage rate: Geographically weighted regression. Transp. Res. Part A Policy Pract. 2015, 78, 161–177. [Google Scholar] [CrossRef]
- Fang, S.; Zhao, Y.; Chao, Z.; Kang, X. Spatial Distribution Characteristics and Influencing Factors of Tibetan Buddhist Monasteries in Amdo Tibetan Inhabited Regions, China. J. Geovisualiz. Spat. Anal. 2022, 6, 29. [Google Scholar] [CrossRef]
- Huang, Y.; Yan, Q.; Zhang, C. Spatial–temporal distribution characteristics of PM2.5 in China in 2016. J. Geovisualiz. Spat. Anal. 2018, 2, 12. [Google Scholar] [CrossRef]
- Li, T. A Spatiotemporal Analysis of Rock Concerts Associated with Demographics and Leisure and Hospitality Employment. J. Geovisualiz. Spat. Anal. 2022, 6, 18. [Google Scholar] [CrossRef]
- Li, X.; Xie, Y.; Wang, J.; Christakos, G.; Si, J.; Zhao, H.; Ding, Y.; Li, J. Influence of planting patterns on fluoroquinolone residues in the soil of an intensive vegetable cultivation area in northern China. Sci. Total Environ. 2013, 458, 63–69. [Google Scholar] [CrossRef]
- Ren, Y.; Deng, L.; Zuo, S.; Luo, Y.; Shao, G.; Wei, X.; Hua, L.; Yang, Y. Geographical modeling of spatial interaction between human activity and forest connectivity in an urban landscape of southeast China. Landsc. Ecol. 2014, 29, 1741–1758. [Google Scholar] [CrossRef]
- Zhu, L.; Meng, J.; Zhu, L. Applying Geodetector to disentangle the contributions of natural and anthropogenic factors to NDVI variations in the middle reaches of the Heihe River Basin. Ecol. Indic. 2020, 117, 106545. [Google Scholar] [CrossRef]
- Luo, W.; Jasiewicz, J.; Stepinski, T.; Wang, J.; Xu, C.; Cang, X. Spatial association between dissection density and environmental factors over the entire conterminous United States. Geophys. Res. Lett. 2016, 43, 692–700. [Google Scholar] [CrossRef]
- Zhao, R.; Zhan, L.; Yao, M.; Yang, L. A geographically weighted regression model augmented by Geodetector analysis and principal component analysis for the spatial distribution of PM2.5. Sustain. Cities Soc. 2020, 56, 102106. [Google Scholar] [CrossRef]
- Xu, L.; Du, H.; Zhang, X. Driving forces of carbon dioxide emissions in China’s cities: An empirical analysis based on the geodetector method. J. Clean. Prod. 2021, 287, 125169. [Google Scholar] [CrossRef]
- Xinge, W.; Jianchao, X.; Dongyang, Y.; Tian, C. Spatial differentiation of rural touristization and its determinants in China: A geo-detector-based case study of Yesanpo Scenic Area. J. Resour. Ecol. 2016, 7, 464–471. [Google Scholar] [CrossRef]
- Liao, Y.; Zhang, Y.; He, L.; Wang, J.; Liu, X.; Zhang, N.; Xu, B. Temporal and spatial analysis of neural tube defects and detection of geographical factors in Shanxi Province, China. PLoS ONE 2016, 11, e0150332. [Google Scholar] [CrossRef]
- Wang, J.F.; Li, X.H.; Christakos, G.; Liao, Y.-L.; Zhang, T.; Gu, X.; Zheng, X.-Y. Geographical detectors-based health risk assessment and its application in the neural tube defects study of the Heshun Region, China. Int. J. Geogr. Inf. Sci. 2010, 24, 107–127. [Google Scholar] [CrossRef]
- Wang, J.F.; Zhang, T.L.; Fu, B.J. A measure of spatial stratified heterogeneity. Ecol. Indic. 2016, 67, 250–256. [Google Scholar] [CrossRef]
- Xu, D.; Zhang, K.; Cao, L.; Guan, X.; Zhang, H. Driving forces and prediction of urban land use change based on the geodetector and CA-Markov model: A case study of Zhengzhou, China. Int. J. Digit. Earth 2022, 15, 2246–2267. [Google Scholar] [CrossRef]
- Huang, Y.K.; Mitchell, U.A.; Conroy, L.M.; Jones, R.M. Community daytime noise pollution and socioeconomic differences in Chicago, IL. PLoS ONE 2021, 16, e0254762. [Google Scholar] [CrossRef] [PubMed]
- Mu, L. Thiessen polygon. In International Encyclopedia of Human Geography; Elsevier: Amsterdam, The Netherlands, 2009. [Google Scholar] [CrossRef]
- Wang, S.; Sun, L.; Rong, J.; Yang, Z. Transit traffic analysis zone delineating method based on Thiessen polygon. Sustainability 2014, 6, 1821–1832. [Google Scholar] [CrossRef]
- Dong, Z.; Bain, D.J.; Akcakaya, M.; Ng, C.A. Evaluating the Thiessen polygon approach for efficient parameterization of urban stormwater models. Environ. Sci. Pollut. Res. 2023, 30, 30295–30307. [Google Scholar] [CrossRef] [PubMed]
- Widaningrum, D.L. A GIS–based approach for catchment area analysis of convenience store. Procedia Comput. Sci. 2015, 72, 511–518. [Google Scholar] [CrossRef]
- Abeyrathna, W.; Langen, T.A. Effect of Daylight Saving Time clock shifts on white-tailed deer-vehicle collision rates. J. Environ. Manag. 2021, 292, 112774. [Google Scholar] [CrossRef]
- Coate, D.; Markowitz, S. The effects of daylight and daylight saving time on US pedestrian fatalities and motor vehicle occupant fatalities. Accid. Anal. Prev. 2004, 36, 351–357. [Google Scholar] [CrossRef]
- Meyerhoff, N.J. The influence of daylight saving time on motor vehicle fatal traffic accidents. Accid. Anal. Prev. 1978, 10, 207–221. [Google Scholar] [CrossRef]
- Berglund, B.; Lindvall, T.; Schwela, D.H. New WHO guidelines for community noise. Noise Vib. Worldw. 2000, 31, 24–29. [Google Scholar] [CrossRef]
- Zheng, Y.; Liu, T.; Wang, Y.; Zhu, Y.; Liu, Y.; Chang, E. Diagnosing New York city’s noises with ubiquitous data. In Proceedings of the 2014 ACM International Joint Conference on Pervasive and Ubiquitous Computing, Seattle, WA, USA, 13–17 September 2014; pp. 715–725. [Google Scholar] [CrossRef]
- Chen, Y.; Wang, S.; Yu, J.; Li, W.; Shi, X.; Yang, W. Optimal weighted voronoi diagram method of distribution network planning considering city planning coordination factors. In Proceedings of the 2017 4th International Conference on Systems and Informatics (ICSAI), Hangzhou, China, 11–13 November 2017; pp. 335–340. [Google Scholar] [CrossRef]
- Sun, Y.; Wang, S.; Wang, Y. Estimating local-scale urban heat island intensity using nighttime light satellite imageries. Sustain. Cities Soc. 2020, 57, 102125. [Google Scholar] [CrossRef]
- Ren, J.; Yang, J.; Zhang, Y.; Xiao, X.; Xia, J.C.; Li, X.; Wang, S. Exploring thermal comfort of urban buildings based on local climate zones. J. Clean. Prod. 2022, 340, 130744. [Google Scholar] [CrossRef]
- Cohen, P.; Potchter, O.; Schnell, I. The impact of an urban park on air pollution and noise levels in the Mediterranean city of Tel-Aviv, Israel. Environ. Pollut. 2014, 195, 73–83. [Google Scholar] [CrossRef]
- Monazzam, M.R.; Karimi, E.; Shahbazi, H.; Shahidzadeh, H. Effect of cycling development as a non-motorized transport on reducing air and noise pollution-case study: Central districts of Tehran. Urban Clim. 2021, 38, 100887. [Google Scholar] [CrossRef]










| Dataset | Description | Content |
|---|---|---|
| data.csv | Sensor data ordered by ascending timestamp | Describe the measurement completed time by UTC timestamp, take the measurement of ID of nodes, measured sensor name, measured sensor parameter, original value read from sensor, and converted “human readable” value from sensor. |
| node.csv | Node metadata | Node ID, project ID of managed node, node public name, node installed street address, node installation latitude, node installation longitude, detailed description of node’s build and configuration, node installation starting timestamp, node installation ending timestamp. |
| sensors.csv | Sensor metadata | Ontology of measurement, subsystem containing sensor, sensor name, sensor parameter, physical units of HRF value, minimum HRF value according to datasheet (used as lower bound in range filter), maximum HRF value according to datasheet (used as upper bound in range filter), reference to sensor’s datasheet. |
| provenance.csv | Provenance metadata | Data format version, project ID, minimum possible publishing UTC timestamp, maximum possible publishing UTC timestamp, UTC timestamp of this digest was created, URL where this digest was provided. |
| Timestamp | Node_ID | Subsystem | Sensor | Parameter | Value_Raw | Value_Hrf |
|---|---|---|---|---|---|---|
| 30 September 2019 00:00:02 | 001e0610f703 | lightsense | apds_9006_020 | intensity | 28 | 2.251 |
| 30 September 2019 00:00:06 | 001e0610f6db | chemsense | at0 | temperature | 2204.0 | 22.04 |
| 30 September 2019 00:00:07 | 001e0610ba46 | lightsense | hih6130 | humidity | 11096 | 67.73 |
| 30 September 2019 00:00:08 | 001e0610f732 | lightsense | hmc5883l | magnetic_field_x | −118 | −107.273 |
| 30 September 2019 00:00:09 | 001e0610ba15 | metsense | bmp180 | pressure | 10,551,296 | 984.02 |
| 30 September 2019 00:00:10 | 001e061144be | chemsense | co | concentration | 3414.0 | −1.46383 |
| 30 September 2019 00:00:12 | 001e06113107 | metsense | spv1840lr5h_b | intensity | NA | 56.72 |
| Node_ID | Project_ID | Vsn | Address | Lat | Lon | Description |
|---|---|---|---|---|---|---|
| 001e0610ba46 | AoT_Chicago | 004 | State St. & Jackson Blvd, Chicago, IL, USA | 41.878377 | −87.627678 | AoT Chicago (S) [C] |
| 001e0610ba3b | AoT_Chicago | 006 | 18th St. & Lake Shore Dr., Chicago, IL, USA | 41.858136 | −87.616055 | AoT Chicago (S) |
| 001e061135cb | AoT_Chicago | 052 | Ashland & 63rd St., Chicago, IL, USA | 41.779369 | −87.66442099999998 | AoT Chicago (S) [C] |
| 001e0610ba8f | AoT_Chicago | 00D | Cornell & 47th St., Chicago, IL, USA | 41.810342 | −87.590228 | AoT Chicago (S) |
| 001e0610bc10 | AoT_Chicago | 01F | State St. & 87th, Chicago, IL, USA | 41.736314 | −87.624179 | AoT Chicago (S) [C] |
| Factor | Source |
|---|---|
| Population density (PD) | https://landscan.ornl.gov/ (accessed on 21 May 2022) |
| Park area (PA) | https://data.cityofchicago.org/Parks-Recreation/Parks-Chicago-Park-District-Park-Boundaries-curren/ej32-qgdr (accessed on 21 May 2022) |
| Density of road network (DRN) | https://data.cityofchicago.org/Transportation/Street-Center-Lines/6imu-meau (accessed on 29 May 2022) |
| Density of sidewalk (DS) | https://data.cityofchicago.org/Transportation/Sidewalks/77cn-6x4c (accessed on 29 May 2022) |
| Density of bike route (DBR) | https://data.cityofchicago.org/Transportation/Bike-Routes/3w5d-sru8 (accessed on 29 May 2022) |
| Number of hospitals (NH) | https://data.cityofchicago.org/Health-Human-Services/Hospitals-Chicago/ucpz-2r55 (accessed on 21 May 2022) |
| Number of fire stations (NFS) | https://data.cityofchicago.org/Public-Safety/Fire-Stations/28km-gtjn (accessed on 21 May 2022) |
| Mean (dB) | Std | Min (dB) | 25% (dB) | 50% (dB) | 75% (dB) | Max (dB) | ||
|---|---|---|---|---|---|---|---|---|
| Weekday | Morning peak | 59.6 | 6.4 | 55.0 | 56.7 | 56.7 | 62.7 | 99.3 |
| Evening peak | 59.7 | 7.0 | 55.0 | 56.7 | 56.7 | 62.7 | 99.1 | |
| Weekend | Morning peak | 59.4 | 6.4 | 55.0 | 56.7 | 56.7 | 62.7 | 99.1 |
| Evening peak | 59.7 | 8.0 | 55.0 | 56.7 | 56.7 | 62.7 | 99.5 | |
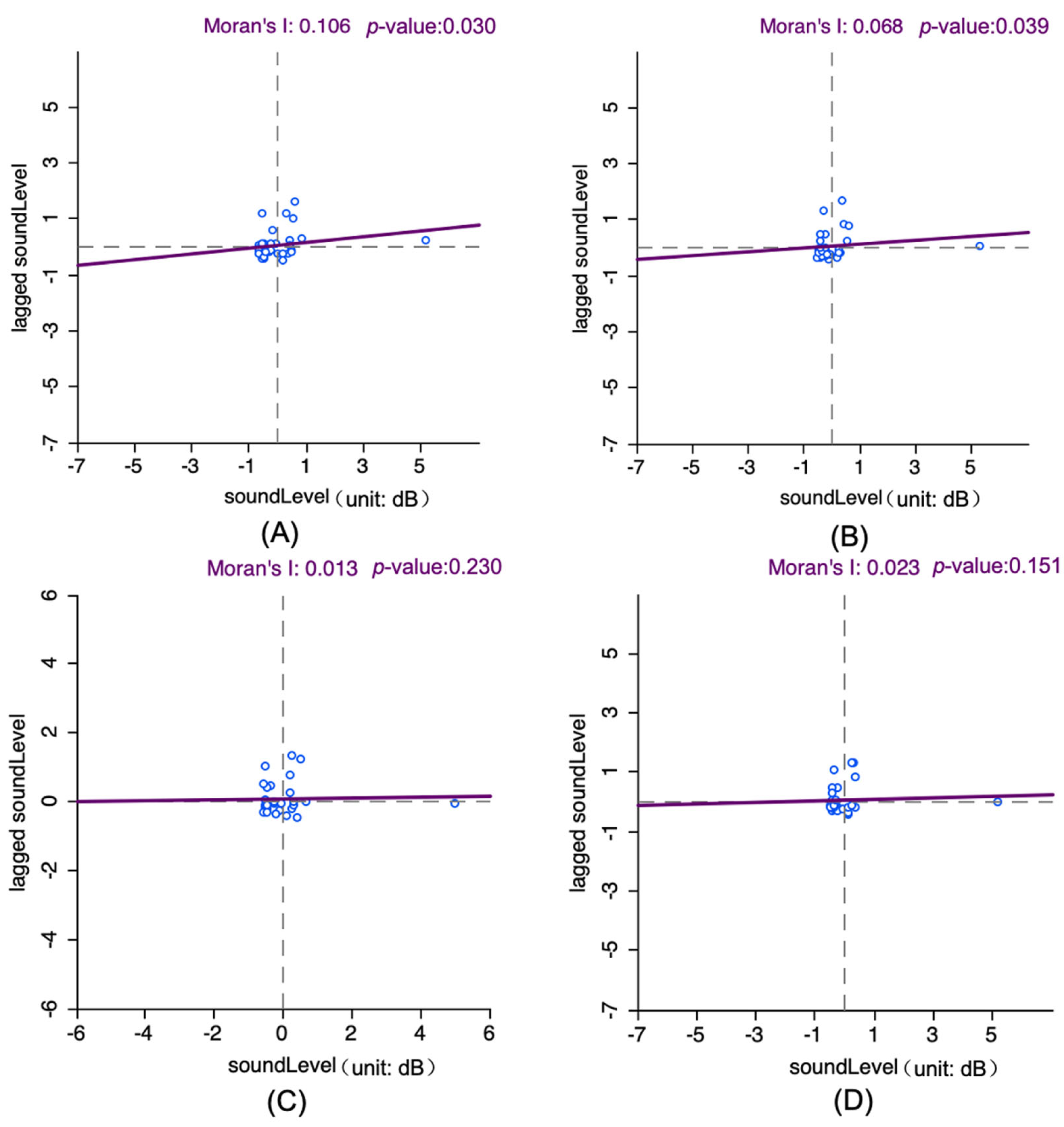
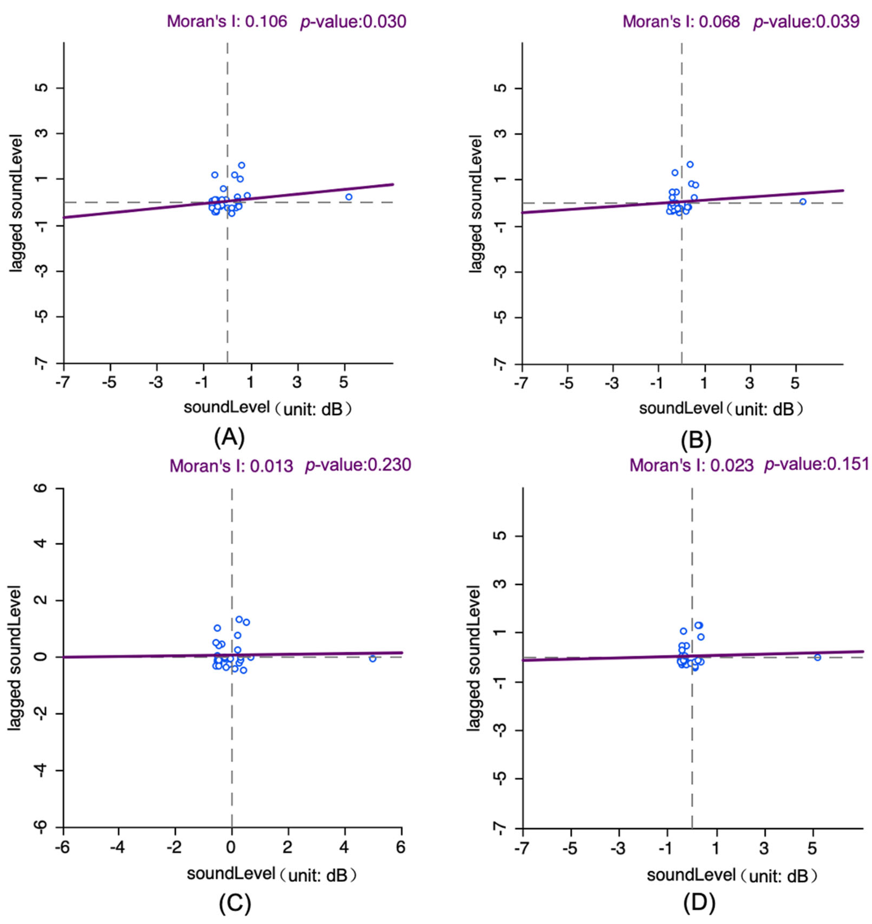
| Factor | Moran’s I | p-Value |
|---|---|---|
| PD | −0.15 | 0.004 |
| PA | −0.18 | 0.004 |
| DBR | −0.10 | 0.08 |
| PD | PA | DRN | DS | DBR | NH | NFS | |
|---|---|---|---|---|---|---|---|
| PD | 0.1975 | ||||||
| PA | 0.7353 a | 0.2617 | |||||
| DRN | 0.5377 a | 0.4379 a | 0.1558 | ||||
| DS | 0.4038 a | 0.5435 a | 0.4061 a | 0.1581 | |||
| DBR | 0.5797 a | 0.6399 a | 0.3219 a | 0.3445 a | 0.1402 | ||
| NH | 0.2005 b | 0.3312 b | 0.1740 b | 0.2892 a | 0.4097 a | 0.0722 | |
| NFS | 0.3714 a | 0.3097 b | 0.3194 a | 0.4129 a | 0.2528 a | 0.1390 b | 0.0970 |
Disclaimer/Publisher’s Note: The statements, opinions and data contained in all publications are solely those of the individual author(s) and contributor(s) and not of MDPI and/or the editor(s). MDPI and/or the editor(s) disclaim responsibility for any injury to people or property resulting from any ideas, methods, instructions or products referred to in the content. |
© 2023 by the authors. Licensee MDPI, Basel, Switzerland. This article is an open access article distributed under the terms and conditions of the Creative Commons Attribution (CC BY) license (https://creativecommons.org/licenses/by/4.0/).
Share and Cite
Zhao, Y.; Cheng, J.; Wang, S.; Qin, L.; Zhang, X. Spatiotemporal Analytics of Environmental Sounds and Influencing Factors Based on Urban Sensor Network Data. ISPRS Int. J. Geo-Inf. 2023, 12, 386. https://doi.org/10.3390/ijgi12090386
Zhao Y, Cheng J, Wang S, Qin L, Zhang X. Spatiotemporal Analytics of Environmental Sounds and Influencing Factors Based on Urban Sensor Network Data. ISPRS International Journal of Geo-Information. 2023; 12(9):386. https://doi.org/10.3390/ijgi12090386
Chicago/Turabian StyleZhao, Yanjie, Jin Cheng, Shaohua Wang, Lei Qin, and Xueyan Zhang. 2023. "Spatiotemporal Analytics of Environmental Sounds and Influencing Factors Based on Urban Sensor Network Data" ISPRS International Journal of Geo-Information 12, no. 9: 386. https://doi.org/10.3390/ijgi12090386
APA StyleZhao, Y., Cheng, J., Wang, S., Qin, L., & Zhang, X. (2023). Spatiotemporal Analytics of Environmental Sounds and Influencing Factors Based on Urban Sensor Network Data. ISPRS International Journal of Geo-Information, 12(9), 386. https://doi.org/10.3390/ijgi12090386

