Aquifer and Land Subsidence Interaction Assessment Using Sentinel-1 Data and DInSAR Technique
Abstract
1. Introduction
2. Materials and Methods
2.1. Study Area
2.2. Dataset
2.2.1. Groundwater Data
2.2.2. SAR Data
2.2.3. Additional Data
2.3. DInSAR Method
3. Results and Discussion
3.1. Groundwater Level Variation
3.2. Displacement Maps
3.3. Validation
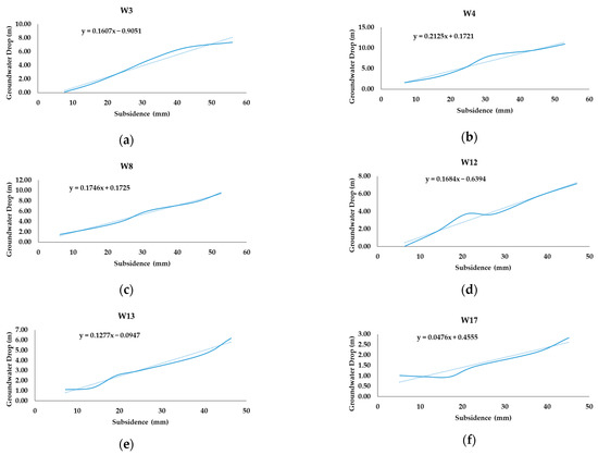
3.4. Groundwater Related Subsidence
3.5. Aquifer Behavior
3.6. Suggestions
3.6.1. Aquifer Conservation
3.6.2. Reduce Water Consumption
- Explaining the leading problems and also increasing the level of awareness of consumers [71];
- Treatment of wastewater and effluents and their reuse [72];
- Improving soil conditions by using modern irrigation methods [73] and reducing evaporation;
- Reducing water transmission losses;
- Promoting greenhouse cultivation [74] in high-consumption areas;
- Promoting and developing hydroponics [75] and providing budgets for these facilities.
3.6.3. Soil Amendation
3.7. Geological Investigation
- East of the plain, on the Marl Formation, including fine sediments;
- North of the plain, on the Tirgan formation (Ktr), and composed of orbitoline limestone;
- Sarcheshmeh formation (Ksr) in the eastern Samalghan plain, containing marl (consisting of a high percentage of clay);
- The center of the plain where the aquifer is located, on new deposits (Qft2) composed of coarse- to fine-grained sediments including clay, sand, and silt, and Khangiran formation (Ekh), formed of sandstone;
- Some parts of eastern Chamanbid at a radius of 14 kms, and the south of Chamanbid at a distance of 2 km from the city on the Pliocene conglomerate (P1QC), which consists of sandstone and conglomerate, and some parts of Kalat Formation (Kk), including fine sand and erodible limestone;
- West of the plain at a distance of 4 km to the north of Chamanbid on a small part of the Jmz formation, composed of lime and dolomite;
- At 5 km to the northeast of Chamanbid, and southwest of Samalghan aquifer, which is located on a part of the Chamanbid formation (Jd).
3.8. Soft Soil Thickness
4. Conclusions
Author Contributions
Funding
Data Availability Statement
Acknowledgments
Conflicts of Interest
References
- Custodio, E. Aquifer overexploitation: What does it mean? Hydrogeol. J. 2002, 10, 254–277. [Google Scholar] [CrossRef]
- Famiglietti, J.S. The global groundwater crisis. Nat. Clim. Chang. 2014, 4, 945–948. [Google Scholar] [CrossRef]
- Béjar-Pizarro, M.; Ezquerro, P.; Herrera, G.; Tomás, R.; Guardiola-Albert, C.; Hernández, J.M.R.; Fernández, M.; Miguel, M.; Martínez, R. Mapping groundwater level and aquifer storage variations from InSAR measurements in the Madrid aquifer, Central Spain. J. Hydrol. 2017, 547, 678–689. [Google Scholar] [CrossRef]
- Chitsazan, M.; Rahmani, G.; Ghafoury, H. Investigation of subsidence phenomenon and impact of groundwater level drop on alluvial aquifer, case study: Damaneh-Daran plain in west of Isfahan province, Iran. Model. Earth Syst. Environ. 2020, 6, 1145–1161. [Google Scholar] [CrossRef]
- Bhattarai, R.; Alifu, H.; Maitiniyazi, A.; Kondoh, A. Detection of land subsidence in Kathmandu Valley, Nepal, using DInSAR technique. Land 2017, 6, 39. [Google Scholar] [CrossRef]
- Bai, Z.; Wang, Y.; Balz, T. Beijing Land Subsidence Revealed Using PS-InSAR with Long Time Series TerraSAR-X SAR Data. Remote Sens. 2022, 14, 2529. [Google Scholar] [CrossRef]
- Gao, M.; Gong, H.; Chen, B.; Li, X.; Zhou, C.; Shi, M.; Yuan, S.; Zheng, C.; Duan, G. Regional land subsidence analysis in eastern Beijing plain by insar time series and wavelet transforms. Remote Sens. 2018, 10, 365. [Google Scholar] [CrossRef]
- Cigna, F.; Tapete, D. Present-day land subsidence rates, surface faulting hazard and risk in Mexico City with 2014–2020 Sentinel-1 IW InSAR. Remote Sens. Environ. 2021, 253, 112161. [Google Scholar] [CrossRef]
- Miller, M.M.; Jones, C.E.; Sangha, S.S.; Bekaert, D. Rapid drought-induced land subsidence and its impact on the California aqueduct. Remote Sens. Environ. 2020, 251, 112063. [Google Scholar] [CrossRef]
- Braun, A.; Hochschild, V.; Pham, G.T.; Nguyen, L.H.K.; Bachofer, F. Linking land subsidence to soil types within Hue city in Central Vietnam. J. Vietnam. Environ. 2020, 12, 1–6. [Google Scholar] [CrossRef]
- Rezaei, A.; Mousavi, Z. Characterization of land deformation, hydraulic head, and aquifer properties of the Gorgan confined aquifer, Iran, from InSAR observations. J. Hydrol. 2019, 579, 124196. [Google Scholar] [CrossRef]
- Yastika, E.; Shimizu, N.; Abidin, H.Z. Monitoring of long-term land subsidence from 2003 to 2017 in coastal area of Semarang, Indonesia by SBAS DInSAR analyses using Envisat-ASAR, ALOS-PALSAR, and Sentinel-1A SAR data. Adv. Space Res. 2019, 63, 1719–1736. [Google Scholar] [CrossRef]
- Gharechelou, S.; Akbari Ghoochani, H.; Golian, S.; Ganji, K. Evaluation of land subsidence relationship with groundwater depletion using Sentinel-1 and ALOS-1 radar data (Case study: Mashhad plain). J. GIS RS for Nat. Res. 2021, 12, 11–14. Available online: http://dorl.net/dor/20.1001.1.26767082.1400.12.3.3.8 (accessed on 1 October 2021). (In Persian).
- Mesgaran, M.B.; Madani, K.; Hashemi, H.; Azadi, P. Iran’s land suitability for agriculture. Sci. Rep. 2017, 7, 7670. [Google Scholar] [CrossRef]
- Mohammady, M.; Pourghasemi, H.R.; Amiri, M.; Tiefenbacher, J. Spatial modeling of susceptibility to subsidence using machine learning techniques. Stoch. Environ. Res. Risk Assess. 2021, 35, 1689–1700. [Google Scholar] [CrossRef]
- Sayyaf, M.; Mahdavi, M.; Barani, O.R.; Feiznia, S.; Motamedvaziri, B. Simulation of land subsidence using finite element method: Rafsanjan plain case study. Nat. Hazards 2014, 72, 309–322. [Google Scholar] [CrossRef]
- Dyskin, A.V.; Pasternak, E.; Shapiro, S.A. Fracture mechanics approach to the problem of subsidence induced by resource extraction. Eng. Fract. Mech. 2020, 236, 107173. [Google Scholar] [CrossRef]
- Abou Zaki, N.; Torabi Haghighi, A.M.; Rossi, P.J.; Tourian, M.; Kløve, B. Monitoring groundwater storage depletion using gravity recovery and climate experiment (GRACE) data in Bakhtegan Catchment, Iran. Water 2019, 11, 1456. [Google Scholar] [CrossRef]
- Wang, D.; Li, M.; Chen, J.; Xia, X.; Zhang, Y. Numerical study on groundwater drawdown and deformation responses of multi-layer strata to pumping in a confined aquifer. J. Shanghai Jiaotong Univ. 2019, 24, 287–293. [Google Scholar] [CrossRef]
- Poland, J.F.; Davis, G.H. Land Subsidence Due to Withdrawal of Fluids. In Reviews in Engineering Geology; Varnes, D.J., Kiersch, G., Eds.; Geological Society of America: Onslow Beach, NC, USA, 1969; Volume 2, pp. 187–269. [Google Scholar] [CrossRef]
- Guzy, A.; Malinowska, A.A. State of the art and recent advancements in the modelling of land subsidence induced by groundwater withdrawal. Water 2020, 12, 2051. [Google Scholar] [CrossRef]
- Wilson, A.M.; Gorelick, S. The effects of pulsed pumping on land subsidence in the Santa Clara Valley, California. J. Hydrol. 1996, 174, 375–396. [Google Scholar] [CrossRef]
- Zhang, Y.; Wu, J.; Xue, Y.; Wang, Z.; Yao, Y.; Yan, X.; Wang, H. Land subsidence and uplift due to long-term groundwater extraction and artificial recharge in Shanghai, China. Hydrogeol. J. 2015, 23, 1851–1866. [Google Scholar] [CrossRef]
- Hammond, W.C.; Burgette, R.J.; Johnson, K.M.; Blewitt, G. Uplift of the western transverse ranges and Ventura area of Southern California: A four-technique geodetic study combining GPS, InSAR, leveling, and tide gauges. J. Geophys. Res. Solid Earth 2018, 123, 836–858. [Google Scholar] [CrossRef]
- Hu, X.; Lu, Z.; Wang, T. Characterization of hydrogeological properties in salt lake valley, Utah, using InSAR. J. Geophys. Res. Earth Surf. 2018, 123, 1257–1271. [Google Scholar] [CrossRef]
- Galloway, D.L.; Burbey, T.J. Regional land subsidence accompanying groundwater extraction. Hydrogeol. J. 2011, 19, 1459–1486. [Google Scholar] [CrossRef]
- Khan, S.D.; Huang, Z.; Karacay, A. Study of ground subsidence in northwest Harris county using GPS, LiDAR, and InSAR techniques. Nat. Hazards 2014, 73, 1143–1173. [Google Scholar] [CrossRef]
- Bürgmann, R.; Rosen, A.; Fielding, E.J. Synthetic aperture radar interferometry to measure Earth’s surface topography and its deformation. Annu. Rev. Earth Planet Sci. 2000, 28, 169–209. [Google Scholar] [CrossRef]
- Ezquerro, P.; Herrera, G.; Marchamalo, M.; Tomás, R.; Béjar-Pizarro, M.; Martínez, R. A quasi-elastic aquifer deformational behavior: Madrid aquifer case study. J. Hydrol. 2014, 519, 1192–1204. [Google Scholar] [CrossRef]
- Sui, L.; Ma, F.; Chen, N. Mining subsidence prediction by combining support vector machine regression and interferometric synthetic aperture radar data. ISPRS Int. J. Geo-Inf. 2020, 9, 390. [Google Scholar] [CrossRef]
- Martins, B.H.; Suzuki, M.; Yastika, E.; Shimizu, N. Ground surface deformation detection in complex landslide area—Bobonaro, Timor-Leste—Using SBAS DinSAR, UAV photogrammetry, and field observations. Geosciences 2020, 10, 245. [Google Scholar] [CrossRef]
- Braun, A. Retrieval of digital elevation models from Sentinel-1 radar data–open applications, techniques, and limitations. Open Geosci. 2021, 13, 532–569. [Google Scholar] [CrossRef]
- Raspini, F.; Bardi, F.; Bianchini, S.; Ciampalini, A.; Del Ventisette, C.; Farina, P.; Ferrigno, F.; Solari, L.; Casagli, N. The contribution of satellite SAR-derived displacement measurements in landslide risk management practices. Nat. Hazards 2017, 86, 327–351. [Google Scholar] [CrossRef]
- Fárová, K.; Jelének, J.; Kopačková-Strnadová, V.; Kycl, P. Comparing DInSAR and PSI techniques employed to Sentinel-1 data to monitor highway stability: A case study of a massive Dobkovičky landslide, Czech Republic. Remote Sens. 2019, 11, 2670. [Google Scholar] [CrossRef]
- Cigna, F.; Tapete, D. Satellite InSAR survey of structurally-controlled land subsidence due to groundwater exploitation in the Aguascalientes Valley, Mexico. Remote Sens. Environ. 2021, 254, 112254. [Google Scholar] [CrossRef]
- Orhan, O.; Oliver-Cabrera, T.; Wdowinski, S.; Yalvac, S.; Yakar, M. Land subsidence and its relations with sinkhole activity in Karapınar region, Turkey: A multi-sensor InSAR time series study. Sensors 2021, 21, 774. [Google Scholar] [CrossRef]
- Del Soldato, M.; Solari, L.; Raspini, F.; Bianchini, S.; Ciampalini, A.; Montalti, R.; Ferretti, A.; Pellegrineschi, V.; Casagli, N. Monitoring ground instabilities using SAR satellite data: A practical approach. ISPRS Int. J. Geo-Inf. 2019, 8, 307. [Google Scholar] [CrossRef]
- Khosropanah, E.; Karami, G.; Jeyhooni, S. Effects of the excessive withdrawals of groundwater and subsidence in the Semalghan plain. In Proceedings of the 7th Iranian Conference of Engineering Geology and the Environment, Shahrud, Iran, 5 September 2011. (In Persian). [Google Scholar]
- Rafiee, F.; Gharechelou, S.; Golian, S.; Nozarpour, N. Recharge and Discharge Zones Identification using GIS (Case study: Semalghan plain). In Proceedings of the 12th International Congress on Civil Engineering, Mashhad, Iran, 12–14 July 2021. [Google Scholar]
- Nasiri, S.; Ansari, H.; Ziaei, A.N. Simulation of water balance equation components using SWAT model in Samalqan Watershed (Iran). Arab. J. Geosci. 2020, 13, 421. [Google Scholar] [CrossRef]
- Singh, N.S.; Sharma, R.; Parween, T.; Patanjali, K. Modern Age Environmental Problems and their Remediation. In Pesticide Contamination and Human Health Risk Factor; Oves, M., Zain Khan, M., Ismail, I.M.I., Eds.; Springer: Cham, Switzerland, 2018; pp. 49–68. [Google Scholar] [CrossRef]
- Ajam, H.; Mohammadzadeh, H.; Karami, Q.; Kazemi Gelian, R. Investigating of Samalqan aquifer groundwater quality base on underground variations of alluvial and rock facies. Sci Semiannu. J. Sediment. Facies 2018, 10, 291–310. (In Persian) [Google Scholar] [CrossRef]
- Liu, Z.; Liu, W.; Massoud, E.; Farr, T.G.; Lundgren, P.; Famiglietti, J.S. Monitoring groundwater change in California’s central valley using sentinel-1 and grace observations. Geosciences 2019, 9, 436. [Google Scholar] [CrossRef]
- Bui, L.K.; Le, V.; Dao, D.; Long, N.Q.; Pham, H.V.; Tran, H.H.; Xie, L. Recent land deformation detected by Sentinel-1A InSAR data (2016–2020) over Hanoi, Vietnam, and the relationship with groundwater level change. Gisci. Remote Sens. 2021, 58, 161–179. [Google Scholar] [CrossRef]
- Koukouvelas, I.; Mpresiakas, A.; Sokos, E.; Doutsos, T. The tectonic setting and earthquake ground hazards of the 1993 Pyrgos earthquake, Peloponnese, Greece. J. Geol. Soc. 1996, 153, 39–49. [Google Scholar] [CrossRef]
- Chen, B.; Gong, H.; Chen, Y.; Lei, K.; Zhou, C.; Si, Y.; Li, X.; Pan, Y.; Gao, M. Investigating land subsidence and its causes along Beijing high-speed railway using multi-platform InSAR and a maximum entropy model. Int. J. Appl. Earth Obs. Geoinf. 2021, 96, 102284. [Google Scholar] [CrossRef]
- Khorrami, M.; Hatami, M.; Alizadeh, B.; Khorrami, H.; Rahgozar, P.; Flood, I. Impact of ground subsidence on groundwater quality: A case study in Los Angeles, California. In Proceedings of the Computing in Civil Engineering 2019: Smart Cities, Sustainability, and Resilience, Atlenta, GA, USA, 17–19 June 2019; American Society of Civil Engineers: Reston, VA, USA, 2019; pp. 162–170. [Google Scholar]
- Veci, L. TOPS Interferometry Tutorial. Sentinel-1 Toolbox; Array Systems Computing Inc. and ESA, 2015. Available online: http://step.esa.int/docs/tutorials/S1TBX%20Stripmap%20Interferometry%20with%20Sentinel-1%20Tutorial.pdf (accessed on 27 September 2018).
- Sansosti, E.; Berardino, P.; Manunta, M.; Serafino, F.; Fornaro, G. Geometrical SAR image registration. IEEE Trans. Geosci. Remote Sens. 2006, 44, 2861–2870. [Google Scholar] [CrossRef]
- Kelany, K.A.H.; Baniasadi, A.; Dimopoulos, N.; Gara, M. Improving InSAR Image Quality and Co-Registration through CNN-Based Super-Resolution. In Proceedings of the IEEE International Symposium on Circuits and Systems (ISCAS), Seville, Spain, 28 September 2020; pp. 1–5. [Google Scholar]
- Fattahi, H.; Agram, P.; Simons, M. A network-based enhanced spectral diversity approach for TOPS time-series analysis. IEEE Trans. Geosci. Remote Sens. 2016, 55, 777–786. [Google Scholar] [CrossRef]
- Wegmttller, U.; Strozzi, T.; Werner, C.; Wiesmann, A.; AG, G.R.S. Sar interferometry for topographic mapping and surface deformation monitoring. FJP 2002, 18, 24–32. [Google Scholar]
- Tolomei, C.; Caputo, R.; Polcari, M.; Famiglietti, N.A.; Maggini, M.; Stramondo, S. The use of interferometric synthetic aperture radar for isolating the contribution of major shocks: The case of the thessaly, Greece, seismic sequence. Geosciences 2021, 11, 191. [Google Scholar] [CrossRef]
- Ai, B.; Liu, K.; Li, X.; Li, D.H. Flat-earth phase removal algorithm improved with frequency information of interferogram. In Proceedings of the Geoinformatics and Joint Conference on GIS and Built Environment: Classification of Remote Sensing Images, Guangzhou, China, 7 November 2008; Volume 7147, pp. 418–427. [Google Scholar] [CrossRef]
- Xu, B.; Li, Z.; Zhu, Y.; Shi, J.; Feng, G. SAR interferometric baseline refinement based on flat-earth phase without a ground control point. Remote Sens. 2020, 12, 233. [Google Scholar] [CrossRef]
- Goldstein, R.M.; Werner, C.L. Radar interferogram filtering for geophysical applications. Geophys. Res. Lett. 1998, 25, 4035–4038. [Google Scholar] [CrossRef]
- Chen, C.W.; Zebker, H.A. Two-dimensional phase unwrapping with statistical models for nonlinear optimization. In Proceedings of the IGARSS 2000—IEEE 2000 International Geoscience and Remote Sensing Symposium. Taking the Pulse of the Planet: The Role of Remote Sensing in Managing the Environment. Proceedings (Cat. No. 00CH37120), Honolulu, HI, USA, 6 August 2000; Volume 7, pp. 3213–3215. [Google Scholar] [CrossRef]
- Huang, Q.; Zhou, H.; Dong, S.; Xu, S. Parallel branch-cut algorithm based on simulated annealing for large-scale phase unwrapping. IEEE Trans. Geosci. Remote Sens. 2015, 53, 3833–3846. [Google Scholar] [CrossRef]
- Johnson, B.; Tateishi, R.; Kobayashi, T. Remote sensing of fractional green vegetation cover using spatially-interpolated endmembers. Remote Sens. 2012, 4, 2619–2634. [Google Scholar] [CrossRef]
- Maghsoudi, Y.; Amani, R.; Ahmadi, H. A study of land subsidence in west of Tehran using Sentinel-1 data and permanent scatterer interferometric technique. Arab. J. Geosci. 2021, 14, 30. [Google Scholar] [CrossRef]
- Sadeghi, Z.; Veldan Zoj, M.J.; Dehghani, M. Introduction and comparison of two radar interferometry methods based on permanent scatterer to measure land subsidence (Case study: Southwest of Tehran plain). Iran. J. Remote Sens. GIS 2012, 4, 97–110. (In Persian) [Google Scholar]
- Bonì, R.; Cigna, F.; Bricker, S.; Meisina, C.; McCormack, H. Characterisation of hydraulic head changes and aquifer properties in the London Basin using Persistent Scatterer Interferometry ground motion data. J. Hydrol. 2016, 540, 835–849. [Google Scholar] [CrossRef]
- Navarro-Hernández, M.I.; Tomás, M.; Lopez-Sanchez, J.M.; Cárdenas-Tristán, A.; Mallorquí, J.J. Spatial analysis of land subsidence in the San Luis Potosi valley induced by aquifer overexploitation using the coherent pixels technique (CPT) and sentinel-1 InSAR observation. Remote Sens. 2020, 12, 3822. [Google Scholar] [CrossRef]
- Tomás, R.; Herrera, G.; Delgado, J.; Lopez-Sanchez, J.M.; Mallorquí, J.J.; Mulas, J. A ground subsidence study based on DInSAR data: Calibration of soil parameters and subsidence prediction in Murcia City (Spain). Eng. Geol. 2010, 111, 19–30. [Google Scholar] [CrossRef]
- Dinh, B.H.; Go, G.H.; Kim, Y.S. Performance of a horizontal heat exchanger for ground heat pump system: Effects of groundwater level drop with soil–water thermal characteristics. Appl. Therm. Eng. 2021, 195, 117203. [Google Scholar] [CrossRef]
- Samani, S. Analyzing the groundwater resources sustainability management plan in Iran through comparative studies. Groundw. Sustain. Dev. 2021, 12, 100521. [Google Scholar] [CrossRef]
- Joshi, D.; Kulkarni, H.; Aslekar, U. Bringing aquifers and communities together: Decentralised groundwater governance in rural India. In Proceedings of the Water Governance: Challenges and Prospects, Singapore, 1 February 2019. [Google Scholar] [CrossRef]
- Lozano-Baez, S.E.; Cooper, M.; Meli, P.; Ferraz, S.F.; Rodrigues, R.R.; Sauer, T.J. Land restoration by tree planting in the tropics and subtropics improves soil infiltration, but some critical gaps still hinder conclusive results. For. Ecol. Manag. 2019, 444, 89–95. [Google Scholar] [CrossRef]
- Parker, A.L.; Pigois, J.P.; Filmer, M.S.; Featherstone, W.E.; Timms, N.E.; Penna, N.T. Land uplift linked to managed aquifer recharge in the Perth Basin, Australia. Int. J. Appl. Earth Obs. Geoinf. 2021, 105, 102637. [Google Scholar] [CrossRef]
- Villeneuve, S.; Cook, G.; Shanafield, M.; Wood, C.; White, N. Groundwater recharge via infiltration through an ephemeral riverbed, central Australia. J. Arid Environ. 2015, 117, 47–58. [Google Scholar] [CrossRef]
- Stavenhagen, M.; Buurman, J.; Tortajada, C. Saving water in cities: Assessing policies for residential water demand management in four cities in Europe. Cities 2018, 79, 187–195. [Google Scholar] [CrossRef]
- Zhang, H.; Xu, Y.; Kanyerere, T. A review of the managed aquifer recharge: Historical development, current situation and perspectives. Phys. Chem. Earth 2020, 118, 102887. [Google Scholar] [CrossRef]
- Porhemmat, J.; Nakhaei, M.; Dadgar, M.A.; Biswas, A. Investigating the effects of irrigation methods on potential groundwater recharge: A case study of semiarid regions in Iran. J. Hydrol. 2018, 565, 455–466. [Google Scholar] [CrossRef]
- Raeisi, L.G.; Morid, S.; Delavar, M.; Srinivasan, R. Effect and side-effect assessment of different agricultural water saving measures in an integrated framework. Agric. Water Manag. 2019, 223, 105685. [Google Scholar] [CrossRef]
- Edgerton, C.; Estrada, A.; Fairchok, K.; Parker, M.T.; Jezak, A.; Pavelka, C.; Lee, H.; Doyle, L.; Feldmeth, A. Addressing water insecurity with a greywater hydroponics system in South Africa. In Proceedings of the IEEE Global Humanitarian Technology Conference (GHTC), Seattle, WA, USA, 29 October–1 November 2020; pp. 1–4. [Google Scholar] [CrossRef]
- Chen, M.; Tomás, R.; Li, Z.; Motagh, M.; Li, T.; Hu, L.; Gong, H.; Li, X.; Yu, J.; Gong, X. Imaging land subsidence induced by groundwater extraction in Beijing (China) using satellite radar interferometry. Remote Sens. 2016, 8, 468. [Google Scholar] [CrossRef]



















| Int ID | Master | Slave | TB (Days) | PB (m) | Int ID | Master | Slave | TB (Days) | PB (m) |
|---|---|---|---|---|---|---|---|---|---|
| D1 | 2020.11.07 | 2020.08.27 | 73 | 19 | D13 | 2017.11.11 | 2017.08.19 | 84 | 20 |
| D2 | 2020.08.27 | 2020.05.23 | 96 | 7 | D14 | 2017.08.19 | 2017.05.27 | 74 | 17 |
| D3 | 2020.05.23 | 2020.02.29 | 84 | 55 | D15 | 2017.05.27 | 2017.02.08 | 108 | 33 |
| D4 | 2020.02.29 | 2019.12.07 | 84 | 1 | D16 | 2017.02.08 | 2016.11.04 | 96 | 36 |
| D5 | 2019.12.07 | 2019.08.21 | 108 | 61 | D17 | 2016.11.04 | 2016.08.24 | 72 | 66 |
| D6 | 2019.08.21 | 2019.05.29 | 84 | 11 | D18 | 2016.08.24 | 2016.05.20 | 96 | 0 |
| D7 | 2019.05.29 | 2019.02.22 | 96 | 55 | D19 | 2016.05.20 | 2016.02.14 | 96 | 26 |
| D8 | 2019.02.22 | 2018.11.06 | 108 | 30 | D20 | 2016.02.14 | 2015.11.10 | 96 | 6 |
| D9 | 2018.11.06 | 2018.08.14 | 84 | 52 | D21 | 2015.11.10 | 2015.08.06 | 96 | 19 |
| D10 | 2018.08.14 | 2018.05.10 | 96 | 10 | D22 | 2015.08.06 | 2015.05.26 | 168 | 38 |
| D11 | 2018.05.10 | 2018.03.11 | 60 | 64 | D23 | 2015.05.26 | 2015.02.07 | 108 | 13 |
| D12 | 2018.03.11 | 2017.11.11 | 120 | 63 | D24 | 2015.02.07 | 2014.11.03 | 180 | 66 |
| Trendline Method | CC | RMSE (m) |
|---|---|---|
| Exponential | 0.93 | 0.58 |
| Linear | 0.92 | 0.51 |
| Logarithmic | 0.81 | 1.00 |
| Polymonal—power 2 | 0.95 | 0.40 |
| Power | 0.82 | 0.76 |
| Trendline Method | RMSE (m) |
|---|---|
| IDW—power1 | 2.3 |
| IDW—power2 | 2.1 |
| IDW—power3 | 2.1 |
| IDW—power4 | 2.2 |
| Spline | 2.7 |
| Ordinary Kriging | 1.6 |
| Year | CC |
|---|---|
| 2018 | 0.72 |
| 2019 | 0.69 |
| 2020 | 0.89 |
| Interferogram ID | Number | Interferogram ID | Number | Interferogram ID | Number |
|---|---|---|---|---|---|
| D24 | 1 | D23 | 2 | D22 | 3 |
| D21 | 4 | D20 | 5 | D19 | 6 |
| D18 | 7 | D17 | 8 | D16 | 9 |
| D15 | 10 | D14 | 11 | D13 | 12 |
| D12 | 13 | D11 | 14 | D10 | 15 |
| D9 | 16 | D8 | 17 | D7 | 18 |
| D6 | 19 | D5 | 20 | D4 | 21 |
| D3 | 22 | D2 | 23 | D1 | 24 |
| Cycle | Phase | 250 m from Well Field | 500 m from Well Field | 1000 m from Well Field |
|---|---|---|---|---|
| Cycle 1 Recovery: 3 November 2014–6 August 2015 Extraction: 6 August 2015–14 February 2016 | Recovery (277 days) | 1.19 | 0.93 | 1.34 |
| Extraction (193 days) | −3.65 | −4.45 | −3.95 | |
| SR | 32% | 20% | 33% | |
| TR | 1.43 | 1.43 | 1.43 | |
| Cycle 2 Recovery: 14 February 2016–20 May 2016 Extraction: 20 May 2016–24 August 2016 | Recovery (97 days) | 7.65 | 8.15 | 9.15 |
| Extraction (97 days) | −9.35 | −9.55 | −9.35 | |
| SR | 81% | 85% | 97% | |
| TR | 1.00 | 1.00 | 1.00 | |
| Cycle 3 Recovery: 24 August 2016–11 November 2017 Extraction: 11 November 2017–6 November 2018 | Recovery (445 days) | 0.83 | 0.88 | 1.23 |
| Extraction (371 days) | −2.26 | −2.45 | −2.99 | |
| SR | 36% | 35.9% | 41% | |
| TR | 1.19 | 1.19 | 1.19 | |
| Cycle 4 Recovery: 6 November 2018–21 August 2019 Extraction: 21 August 2019–7 November 2020 | Recovery (289 days) | 4.27 | 3.78 | 3.51 |
| Extraction (445 days) | −1.83 | −2.05 | −2.42 | |
| SR | 233% | 184% | 145% | |
| TR | 0.65 | 0.65 | 0.65 |
| Well ID | Ske | Well ID | Ske | Well ID | Ske |
|---|---|---|---|---|---|
| W1 | 2.1 × 10−5 | W7 | 5.3 × 10−5 | W13 | 1.6 × 10−4 |
| W2 | 1.6 × 10−5 | W8 | 1.7 × 10−4 | W14 | 4.3 × 10−5 |
| W3 | 1.6 × 10−5 | W9 | 5.4 × 10−5 | W15 | 1 × 10−4 |
| W4 | 2.1 × 10−4 | W10 | 3 × 10−6 | W16 | 1.9 × 10−4 |
| W5 | 1.5 × 10−5 | W11 | 8 × 10−6 | W17 | 4.7 × 10−5 |
| W6 | 1.3 × 10−5 | W12 | 1.6 × 10−4 |
Publisher’s Note: MDPI stays neutral with regard to jurisdictional claims in published maps and institutional affiliations. |
© 2022 by the authors. Licensee MDPI, Basel, Switzerland. This article is an open access article distributed under the terms and conditions of the Creative Commons Attribution (CC BY) license (https://creativecommons.org/licenses/by/4.0/).
Share and Cite
Rafiei, F.; Gharechelou, S.; Golian, S.; Johnson, B.A. Aquifer and Land Subsidence Interaction Assessment Using Sentinel-1 Data and DInSAR Technique. ISPRS Int. J. Geo-Inf. 2022, 11, 495. https://doi.org/10.3390/ijgi11090495
Rafiei F, Gharechelou S, Golian S, Johnson BA. Aquifer and Land Subsidence Interaction Assessment Using Sentinel-1 Data and DInSAR Technique. ISPRS International Journal of Geo-Information. 2022; 11(9):495. https://doi.org/10.3390/ijgi11090495
Chicago/Turabian StyleRafiei, Fatemeh, Saeid Gharechelou, Saeed Golian, and Brian Alan Johnson. 2022. "Aquifer and Land Subsidence Interaction Assessment Using Sentinel-1 Data and DInSAR Technique" ISPRS International Journal of Geo-Information 11, no. 9: 495. https://doi.org/10.3390/ijgi11090495
APA StyleRafiei, F., Gharechelou, S., Golian, S., & Johnson, B. A. (2022). Aquifer and Land Subsidence Interaction Assessment Using Sentinel-1 Data and DInSAR Technique. ISPRS International Journal of Geo-Information, 11(9), 495. https://doi.org/10.3390/ijgi11090495

