Simulation of the Urban Jobs–Housing Location Selection and Spatial Relationship Using a Multi-Agent Approach
Abstract
1. Introduction
2. Materials and Methodology
2.1. Study Area
2.2. Methodology
2.2.1. Analysis Method of the Urban Jobs–Housing Relationship
2.2.2. Behavior Setting of Agents
Resident Agents
Enterprise Agents
2.3. Data Sources
3. Results and Discussion
3.1. Analysis of the Urban Jobs–Housing Relationship
3.2. Simulation Results of Location Selection for Various Agents
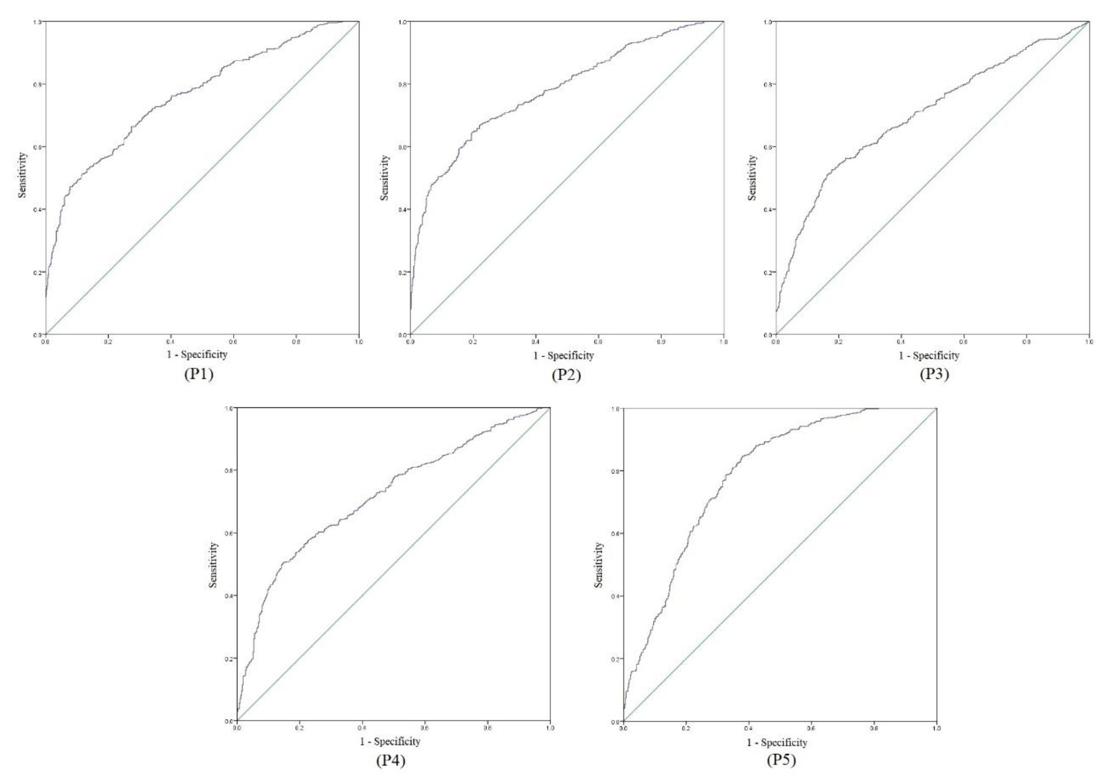
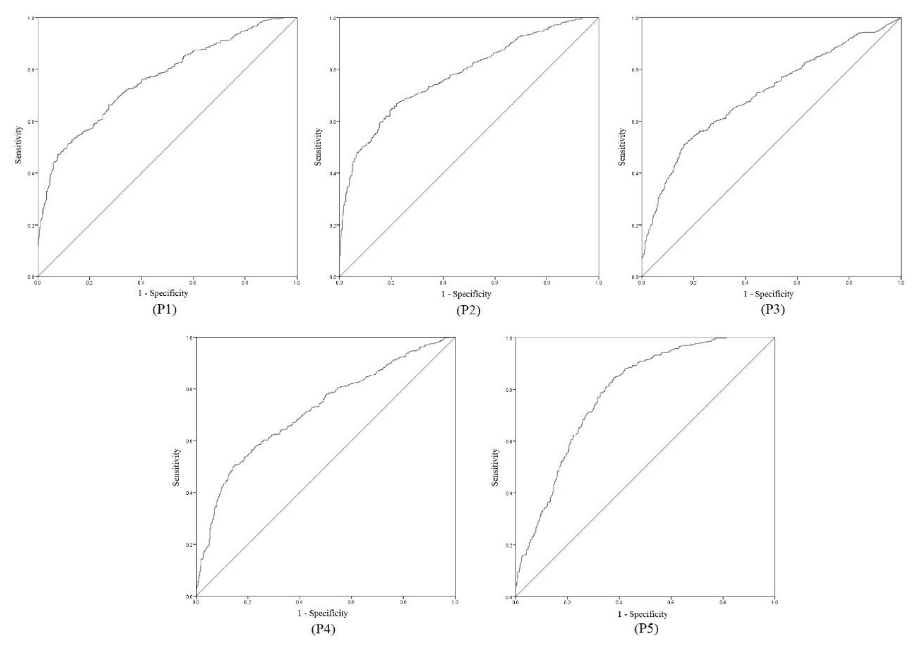
3.2.1. Results of Location Selection for Resident Agents
3.2.2. Results of Location Selection for Enterprise Agents
3.3. Simulation Results of Urban Jobs–Housing Spatial Relationship
4. Conclusions
Author Contributions
Funding
Institutional Review Board Statement
Informed Consent Statement
Data Availability Statement
Acknowledgments
Conflicts of Interest
Nomenclature
| C | commuting cost |
| D | distance to water body |
| e | the error |
| E | the habitability index |
| I | income level |
| J | the number of jobs |
| N | number of green space units in adjacent units |
| P | product prices |
| the average unit environmental value in residential area | |
| Q | the sum of squares of errors |
| R | the total number of residents |
| U | utility |
| X | external factor |
| Y | the value of binary variables selected by Agents location |
| Subscripts | |
| i | the ith street |
| h | the total housing price |
| h1 | the basic price of housing |
| h2 | the environmental price of housing |
| ta | traffic accessibility |
| col | convenience of life |
| goe | the gracefulness of the environment |
| n | the nth external factor |
| Abbreviations | |
| ABMs | agent-based models |
| CNY | Chinese Yuan |
| FS | financial services |
| GDP | gross domestic product |
| GHGs | greenhouse gases |
| IM | industrial manufacturing |
| JHI | jobs–housing imbalance |
| JHR | jobs–housing ratio |
| JHS | jobs–housing separation |
| ROC | receiver operating characteristic |
| SS | social service |
| TAZ | traffic analysis zones |
| TI | technological innovation |
Appendix A










References
- Zhang, P.; Zhou, J.; Zhang, T. Quantifying and visualizing jobs-housing balance with big data: A case study of Shanghai. Cities 2017, 66, 10–22. [Google Scholar] [CrossRef]
- Shrestha, A.; Mullins, B.J.; Zhao, Y.; Selvey, L.A.; Rumchev, K. Exposure to air pollutants among cyclists: A comparison of different cycling routes in Perth, Western Australia. Air Qual. Atmos. Health 2020, 13, 1023–1034. [Google Scholar] [CrossRef]
- Ha, J.; Lee, S.; Ko, J. Unraveling the impact of travel time, cost, and transit burdens on commute mode choice for different income and age groups. Transp. Res. Part A Policy Pr. 2020, 141, 147–166. [Google Scholar] [CrossRef]
- He, S.Y.; Tao, S.; Ng, M.K.; Tieben, H. Evaluating Hong Kong’s Spatial Planning in New Towns From the Perspectives of Job Accessibility, Travel Mobility, and Work–Life Balance. J. Am. Plan. Assoc. 2020, 86, 324–338. [Google Scholar] [CrossRef]
- Li, X.; Chen, H.; Shi, Y.; Shi, F. Transportation Equity in China: Does Commuting Time Matter? Sustainability 2019, 11, 5884. [Google Scholar] [CrossRef]
- Zhu, Z.; Qin, X.; Ke, J.; Zheng, Z.; Yang, H. Analysis of multi-modal commute behavior with feeding and competing ridesplitting services. Transp. Res. Part A Policy Pract. 2020, 132, 713–727. [Google Scholar] [CrossRef]
- Huang, J.; Levinson, D.; Wang, J.; Zhou, J.; Wang, Z.-J. Tracking job and housing dynamics with smartcard data. Proc. Natl. Acad. Sci. USA 2018, 115, 12710–12715. [Google Scholar] [CrossRef]
- Giuliano, G.; Small, K.A. Is the Journey to Work Explained by Urban Structure? Urban Stud. 1993, 30, 1485–1500. [Google Scholar] [CrossRef]
- Cervero, R. Jobs-housing balance as public policy. Urban Land. 1991, 10, 14. [Google Scholar]
- Levinson, D.M.; Kumar, A. The Rational Locator: Why Travel Times Have Remained Stable. J. Am. Plan. Assoc. 1994, 60, 319–332. [Google Scholar] [CrossRef]
- Weitz, J. Jobs-Housing Balance; American Planning Association: Chicago, IL, USA, 2003. [Google Scholar]
- California Planning Roundtable. Deconstructing Jobs-Housing Balance; California Planning Roundtable: Sacramento, CA, USA, 2008; Available online: http://goo.gl/Q5Z4m4 (accessed on 30 June 2008).
- Zheng, M.; Liu, F.; Guo, X.; Lei, X. Assessing the Distribution of Commuting Trips and Jobs-Housing Balance Using Smart Card Data: A Case Study of Nanjing, China. Sustainability 2019, 11, 5346. [Google Scholar] [CrossRef]
- Zhou, X.; Yeh, A.G.O. Understanding the modifiable areal unit problem and identifying appropriate spatial unit in jobs–housing balance and employment self-containment using big data. Transportation 2020, 4, 1–17. [Google Scholar] [CrossRef]
- Peng, Z.-R. The Jobs-Housing Balance and Urban Commuting. Urban Stud. 1997, 34, 1215–1235. [Google Scholar] [CrossRef]
- Margolis, J. Municipal fiscal structure in a metropolitan region. In Urban Economics: Readings and Analysis; Grienson, R.E., Ed.; Little Brown: Boston, MA, USA, 1973. [Google Scholar]
- Cervero, R. Jobs-Housing Balancing and Regional Mobility. J. Am. Plan. Assoc. 1989, 55, 136–150. [Google Scholar] [CrossRef]
- Giuliano, G. Is Jobs-Housing Balance a Transportation Issue? University of California Transportation Center Working Papers; University of California: California, CA, USA, 1991; Volume 1305, pp. 305–312. [Google Scholar]
- Boussauw, K.; Neutens, T.; Witlox, F. Relationship between Spatial Proximity and Travel-to-Work Distance: The Effect of the Compact City. Reg. Stud. 2012, 46, 687–706. [Google Scholar] [CrossRef]
- Horner, M.W. ‘Optimal’ Accessibility Landscapes? Development of a New Methodology for Simulating and Assessing Jobs—Housing Relationships in Urban Regions. Urban Stud. 2008, 45, 1583–1602. [Google Scholar] [CrossRef]
- Cervero, R. America’s Suburban Centers: The Land Use Transportation Link; Unwin-Hyman: Boston, MA, USA, 1989. [Google Scholar]
- White, M.J. Urban Commuting Journeys Are Not “Wasteful”. J. Politi-Econ. 1988, 96, 1097–1110. [Google Scholar] [CrossRef]
- Murphy, E. Excess commuting and modal choice. Transp. Res. Part A Policy Pr. 2009, 43, 735–743. [Google Scholar] [CrossRef]
- Qin, P.; Wang, L. Job opportunities, institutions, and the jobs-housing spatial relationship: Case study of Beijing. Transp. Policy 2019, 81, 331–339. [Google Scholar] [CrossRef]
- Zhou, J.; Murphy, E. Day-to-day variation in excess commuting: An exploratory study of Brisbane, Australia. J. Transp. Geogr. 2019, 74, 223–232. [Google Scholar] [CrossRef]
- Bwire, H.; Zengo, E. Comparison of efficiency between public and private transport modes using excess commuting: An experience in Dar es Salaam. J. Transp. Geogr. 2020, 82, 102616. [Google Scholar] [CrossRef]
- Horner, M.W. A multi-scale analysis of urban form and commuting change in a small metropolitan area (1990–2000). Ann. Reg. Sci. 2006, 41, 315–332. [Google Scholar] [CrossRef]
- Horner, M.W. Spatial dimensions of urban commuting: A review of major issues and their implications for future geographic research. Prof. Geographer. 2004, 56, 160–174. [Google Scholar] [CrossRef]
- Jiangping, Z.; Chun, Z.; Xiaojian, C.; Wei, H.; Peng, Y. Has the legacy of Danwei persisted in transformations? The jobs-housing balance and commuting efficiency in Xi’an. J. Transp. Geogr. 2014, 40, 64–76. [Google Scholar] [CrossRef]
- Hincks, S.; Wong, C. The Spatial Interaction of Housing and Labour Markets: Commuting Flow Analysis of North West England. Urban Stud. 2009, 47, 620–649. [Google Scholar] [CrossRef]
- Sener, I.N.; Pendyala, R.M.; Bhat, C.R. Accommodating spatial correlation across choice alternatives in discrete choice models: An application to modeling residential location choice behavior. J. Transp. Geogr. 2011, 19, 294–303. [Google Scholar] [CrossRef]
- Berger, T. Agent-based spatial models applied to agriculture: A simulation tool for technology diffusion, resource use changes and policy analysis. Agric. Econ. 2001, 25, 245–260. [Google Scholar] [CrossRef]
- Li, X.; Liu, X. Defining agents’ behaviors to simulate complex residential development using multicriteria evaluation. J. Environ. Manag. 2007, 85, 1063–1075. [Google Scholar] [CrossRef]
- Monticino, M.; Acevedo, M.; Callicott, B.; Cogdill, T.; Lindquist, C. Coupled human and natural systems: A multi-agent-based approach. Environ. Model. Softw. 2007, 22, 656–663. [Google Scholar] [CrossRef]
- Moreno, N.; Quintero, R.; Ablan, M.; Barros, R.; Davila, J.; Ramírez, H.; Tonella, G.; Acevedo, M.F. Biocomplexity of deforestation in the Caparo tropical forest reserve in Venezuela: An integrated multi-agent and cellular automata model. Environ. Model. Softw. 2007, 22, 664–673. [Google Scholar] [CrossRef]
- Crooks, A.; Castle, C.; Batty, M. Key challenges in agent-based modelling for geo-spatial simulation. Comput. Environ. Urban Syst. 2008, 32, 417–430. [Google Scholar] [CrossRef]
- Gotts, N.M.; Polhill, J.G. When and how to imitate your neighbours: Lessons from and for FEARLUS. J. Artif. Soc. Soc. Simul. 2009, 12, 2. [Google Scholar]
- Benenson, I. Agent-based modeling: From individual residential choice to urban residential dynamics. In Spatially Integrated Social Science: Examples in Best Practice; Goodchild, M.F., Janelle, D.G., Eds.; Oxford University Press: New York, NY, USA, 2004; pp. 67–95. [Google Scholar]
- Berger, T.; Birner, R.; McCarthy, N.; Díaz, J.; Wittmer, H. Capturing the complexity of water uses and water users within a multi-agent framework. Water Resour. Manag. 2006, 21, 129–148. [Google Scholar] [CrossRef]
- Ma, Y.; Shen, Z.; Kawakami, M.; Suzuki, K.; Long, Y. An Agent-Based Approach to Support Decision-Making of Total Amount Control for Household Water Consumption. In Agent-Based Models and Complexity Science in the Age of Geospatial Big Data; Springer: Berlin/Heidelberg, Germany, 2012. [Google Scholar] [CrossRef]
- Yuan, X.-C.; Wei, Y.-M.; Pan, S.-Y.; Jin, J.-L. Urban Household Water Demand in Beijing by 2020: An Agent-Based Model. Water Resour. Manag. 2014, 28, 2967–2980. [Google Scholar] [CrossRef]
- Tamene, L.; Le, Q.B.; Vlek, P.L.G. A Landscape Planning and Management Tool for Land and Water Resources Management: An Example Application in Northern Ethiopia. Water Resour. Manag. 2013, 28, 407–424. [Google Scholar] [CrossRef]
- Ligtenberg, A.; Bregt, A.K.; Van Lammeren, R. Multi-actor-based land use modelling: Spatial planning using agents. Landsc. Urban Plan. 2001, 56, 21–33. [Google Scholar] [CrossRef]
- Macal, C.M.; North, M.J. Tutorial on agent-based modelling and simulation. J. Simul. 2010, 4, 151–162. [Google Scholar] [CrossRef]
- Hyun, J.-Y.; Huang, S.-Y.; Yang, Y.E.; Tidwell, V.; Macknick, J. Using a coupled agent-based modeling approach to analyze the role of risk perception in water management decisions. Hydrol. Earth Syst. Sci. 2019, 23, 2261–2278. [Google Scholar] [CrossRef]
- Neil, E.; Madsen, J.K.; Carrella, E.; Payette, N.; Bailey, R.M. Agent-based modelling as a tool for elephant poaching mitigation. Ecol. Model. 2020, 427, 109054. [Google Scholar] [CrossRef]
- Parker, D.C.; Berger, T.; Manson, S.M. Agent-Based Models of Land-Use and Land-Cover Change: Report and Review of an International Workshop; LUCC Report Series; LUCC: Bloomington, Indiana, 2002. [Google Scholar]
- Matthews, R.B.; Gilbert, N.G.; Roach, A.; Polhill, J.G.; Gotts, N.M. Agent-based land-use models: A review of applications. Landsc. Ecol. 2007, 22, 1447–1459. [Google Scholar] [CrossRef]
- Liu, Y.; Ye, H. The dynamic study on firm’s environmental behavior and influencing factors: An adaptive agent-based modeling approach. J. Clean. Prod. 2012, 37, 278–287. [Google Scholar] [CrossRef]
- Ardestani, B.M.; O’Sullivan, D.; Davis, P. A multi-scaled agent-based model of residential segregation applied to a real metropolitan area. Comput. Environ. Urban Syst. 2018, 69, 1–16. [Google Scholar] [CrossRef]
- Yue, T.; Long, R.; Chen, H.; Liu, J.; Liu, H.; Gu, Y. Energy-saving behavior of urban residents in China: A multi-agent simulation. J. Clean. Prod. 2020, 252, 119623. [Google Scholar] [CrossRef]
- NBS (National Bureau of Statistics). China Statistical Yearbook 2019; China Statistics Press: Beijing, China, 2019. [Google Scholar]
- BMBS (Beijing Municipal Bureau of Statistics). Beijing Statistical Yearbook; Beijing Municipal Bureau of Statistics: Beijing, China, 2006–2019. Available online: http://tjj.beijing.gov.cn/nj/main/2019-tjnj/zk/indexch.htm.2019.11.05 (accessed on 13 September 2019).
- Beijing Transport Committee and Capital Planning Committee (BTCCPC). Report of Beijing Third Transportation Survey. (In Chinese: Beijing Shi Di San Ci Quan Shi Jiao Tong Zong He Diao Cha); Beijing Transport Committee and Capital Planning Committee: Beijing, China, 2005. [Google Scholar]
- Beijing Transport Committee and Capital Planning Committee (BTCCPC). Report of Beijing Fifth Transportation Survey (In Chinese: Beijing Shi Di Wu Ci Quan Shi Jiao Tong Zong He Diao Cha); Beijing Transport Committee and Capital Planning Committee: Beijing, China, 2014. [Google Scholar]
- Kain, J.F. Housing Segregation, Negro Employment, and Metropolitan Decentralization. Q. J. Econ. 2006, 82, 175. [Google Scholar] [CrossRef]
- Wang, H.H.; Yu, L.Q.; Zeng, W.H. Potential of reducing carbon emission from urban transport based on adjustments to jobs-housing separation in Beijing. China Popul. Resour. Environ. 2018, 28, 41–51. (In Chinese) [Google Scholar]
- Filatova, T. Empirical agent-based land market: Integrating adaptive economic behavior in urban land-use models. Comput. Environ. Urban Syst. 2015, 54, 397–413. [Google Scholar] [CrossRef]
- Cheng, X.; Long, R.; Chen, H.; Yang, J. Does social interaction have an impact on residents’ sustainable lifestyle decisions? A multi-agent stimulation based on regret and game theory. Appl. Energy 2019, 251, 113366. [Google Scholar] [CrossRef]
- Mobeen, N.; Shahabuddin, S. Challenges of Working as Agricultural Extension Agents and Balancing Family Responsibilities. Asian J. Agric. Ext. Econ. Sociol. 2016, 13, 1–10. [Google Scholar] [CrossRef]
- Aziz, H.A.; Park, B.H.; Morton, A.; Stewart, R.N.; Hilliard, M.; Maness, M. A high resolution agent-based model to support walk-bicycle infrastructure investment decisions: A case study with New York City. Transp. Res. Part C: Emerg. Technol. 2018, 86, 280–299. [Google Scholar] [CrossRef]
- Sun, L.; Wang, Q.; Ge, S. Urban resident energy-saving behavior: A case study under the A2SC framework. Nat. Hazards 2017, 91, 515–536. [Google Scholar] [CrossRef]
- Li, F.; Xie, Z.; Clarke, K.C.; Li, M.; Chen, H.; Liang, J.; Chen, Z. An agent-based procedure with an embedded agent learning model for residential land growth simulation: The case study of Nanjing, China. Cities 2019, 88, 155–165. [Google Scholar] [CrossRef]
- Diao, M.; Ferreira, J. Residential Property Values and the Built Environment. Transp. Res. Rec. J. Transp. Res. Board 2010, 2174, 138–147. [Google Scholar] [CrossRef]
- Iacono, M.; Levinson, D.M. Location, Regional Accessibility, and Price Effects. Transp. Res. Rec. J. Transp. Res. Board 2011, 2245, 87–94. [Google Scholar] [CrossRef]
- Mostafizi, A.; Wang, H.; Cox, D.T.; Dong, S. An agent-based vertical evacuation model for a near-field tsunami: Choice behavior, logical shelter locations, and life safety. Int. J. Disaster Risk Reduct. 2019, 34, 467–479. [Google Scholar] [CrossRef]
- Habib, M.A.; Miller, E.J. Influence of Transportation Access and Market Dynamics on Property Values. Transp. Res. Rec. J. Transp. Res. Board 2008, 2076, 183–191. [Google Scholar] [CrossRef]
- Dorantes, L.M.; Páez, A.; Vassallo, J.M. Analysis of House Prices to Assess Economic Impacts of New Public Transport Infrastructure. Transp. Res. Rec. J. Transp. Res. Board 2011, 2245, 131–139. [Google Scholar] [CrossRef]
- Li, S.; Li, X.; Liu, X.; Wu, Z.; Ai, B.; Wang, F. Simulation of spatial population dynamics based on labor economics and multi-agent systems: A case study on a rapidly developing manufacturing metropolis. Int. J. Geogr. Inf. Sci. 2013, 27, 2410–2435. [Google Scholar] [CrossRef]
- Huang, Q.; Parker, D.C.; Filatova, T.; Sun, S. A Review of Urban Residential Choice Models Using Agent-Based Modeling. Environ. Plan. B Plan. Des. 2014, 41, 661–689. [Google Scholar] [CrossRef]
- Wang, H.; Cao, R.; Zeng, W. Multi-agent based and system dynamics models integrated simulation of urban commuting relevant carbon dioxide emission reduction policy in China. J. Clean. Prod. 2020, 272, 122620. [Google Scholar] [CrossRef]
- Mason, C. Spatial variations in enterprise: The geography of new firm formation. In Deciphering the Enterprise Culture (Routledge Revivals); Routledge: Abingdon, UK, 2015; pp. 94–126. [Google Scholar]
- Tetiana, H.; Inna, N.; Walery, O.K.; Olga, G.; Svetlana, D. Innovative model of economic behavior of agents in the sphere of energy conservation. Acad. Entrep. J. 2018, 24, 1–7. [Google Scholar]
- Ye, Y.; Wu, K.; Xie, Y.; Huang, G.; Wang, C.; Chen, J. How firm heterogeneity affects foreign direct investment location choice: Micro-evidence from new foreign manufacturing firms in the Pearl River Delta. Appl. Geogr. 2019, 106, 11–21. [Google Scholar] [CrossRef]
- Walls, M.; Magliocca, N.; McConnell, V. Modeling coastal land and housing markets: Understanding the competing influences of amenities and storm risks. Ocean Coast. Manag. 2018, 157, 95–110. [Google Scholar] [CrossRef]
- Zhuge, C.; Shao, C. Agent-based modelling of office market for a land use and transport model. Transp. B Transp. Dyn. 2019, 7, 1232–1257. [Google Scholar] [CrossRef]
- Colombo, A.W.; Karnouskos, S.; Mendes, J.; Leitão, P. Industrial Agents in the Era of Service-Oriented Architectures and Cloud-Based Industrial Infrastructures. Ind. Agents 2015, 67–87. [Google Scholar] [CrossRef]
- De La Prieta, F.; Rodríguez, S.; Corchado, J.M.; Bajo, J. Infrastructure to simulate intelligent agents in cloud environments. J. Intell. Fuzzy Syst. 2015, 28, 29–41. [Google Scholar] [CrossRef]
- Yang, Z.; Yin, M.; Xu, J.; Lin, W. Spatial evolution model of tourist destinations based on complex adaptive system theory: A case study of Southern Anhui, China. J. Geogr. Sci. 2019, 29, 1411–1434. [Google Scholar] [CrossRef]
- Li, G.; Jin, F.; Chen, Y.; Jiao, J.; Liu, S. Location characteristics and differentiation mechanism of logistics nodes and logistics enterprises based on points of interest (POI): A case study of Beijing. J. Geogr. Sci. 2017, 27, 879–896. [Google Scholar] [CrossRef]
- Meng, Q.; Zhu, H.; Li, Z.; Du, J.; Wang, X.; Kim, M.J. How Green Building Product Decisions from Customers Can Be Transitioned to Manufacturers: An Agent-Based Model. Sustainability 2018, 10, 3977. [Google Scholar] [CrossRef]
- Akopov, A.S.; Beklaryan, L.A.; Saghatelyan, A. Agent-based modelling of interactions between air pollutants and greenery using a case study of Yerevan, Armenia. Environ. Model. Softw. 2019, 116, 7–25. [Google Scholar] [CrossRef]
- Chesney, T.; Evans, K.; Gold, S.; Trautrims, A. Understanding labour exploitation in the Spanish agricultural sector using an agent based approach. J. Clean. Prod. 2019, 214, 696–704. [Google Scholar] [CrossRef]
- Chai, Y.W.; Zhang, Y.; Liu, Z.L. Spatial differences of home-work separation and the impacts of housing policy and urban sprawl: Evidence from household survey data in Beijing. Acta Geogr. Sin. 2011, 66, 157–166. (In Chinese) [Google Scholar]
- Liu, Z.L.; Wang, M.J.; Chai, Y.W. Spatial mismatch theory: A review on empirical research and methodology. Hum. Geogr. 2010, 2010, 1–6. (In Chinese) [Google Scholar]
- Zhao, H.; Yang, J.; Liu, C.P.; Wang, K. Measurement method and characteristics of spatial organization for jobs-housing misbalance: A case study of the effects of metro systems on jobs-housing misbalance in Beijing. Prog. Geogr. 2011, 30, 198–204. (In Chinese) [Google Scholar]













| Code | Income Level | Proportion |
|---|---|---|
| P1 | High income | 0.178 |
| P2 | Medium and high income | 0.202 |
| P3 | Medium income | 0.147 |
| P4 | Medium and low income | 0.285 |
| P5 | Low income | 0.188 |
| Code | Agent Type | Proportion |
|---|---|---|
| q1 | Industrial Manufacturing (IM) | 0.188 |
| q2 | Social Service (SS) | 0.627 |
| q3 | Financial Services (FS) | 0.124 |
| q4 | Technological Innovation (TI) | 0.061 |
| Region | 2010 | 2014 | ||
|---|---|---|---|---|
| JHR | Status | JHR | Status | |
| The whole city | 1.20 | Balance | 1.30 | Imbalance |
| Dongcheng | 2.09 | Imbalance | 2.52 | Imbalance |
| Xicheng | 2.22 | Imbalance | 2.32 | Imbalance |
| Chaoyang | 2.11 | Imbalance | 1.37 | Imbalance |
| Fengtai | 1.00 | Balance | 0.97 | Balance |
| Shijingshan | 0.89 | Balance | 1.24 | Balance |
| Haidian | 1.89 | Imbalance | 1.94 | Imbalance |
| Fangshan | 0.62 | Imbalance | 0.72 | Imbalance |
| Tongzhou | 0.70 | Imbalance | 0.73 | Imbalance |
| Shunyi | 1.37 | Imbalance | 1.54 | Imbalance |
| Changping | 0.59 | Imbalance | 0.67 | Imbalance |
| Daxing | 0.71 | Imbalance | 0.74 | Imbalance |
| Mentougou | 0.80 | Balance | 0.86 | Balance |
| Huairou | 0.83 | Balance | 1.04 | Balance |
| Pinggu | 0.74 | Imbalance | 0.88 | Balance |
| Miyun | 0.68 | Imbalance | 0.83 | Balance |
| Yanqing | 0.56 | Imbalance | 0.81 | Balance |
| Code | Jobs–Housing Balance | Jobs–Housing Imbalance | ||
|---|---|---|---|---|
| Streets | JHR | Streets | JHR | |
| 1 | Nanyuan | 0.93 | Dongxiaokou | 0.15 |
| 2 | Guangning | 0.96 | Huoying | 0.15 |
| 3 | Beiyuan | 0.97 | Tiantongyuan | 0.15 |
| 4 | Sanjianfang | 0.98 | Beiqijia | 0.27 |
| 5 | Qinghe | 0.99 | Huilongguan | 0.32 |
| 6 | Chunshu | 1.03 | Haidian | 4.54 |
| 7 | Tiantan | 1.06 | Dongzhimen | 4.67 |
| 8 | Qinghuayuan | 1.08 | Zhanlanlu | 7.37 |
| 9 | Wenquan | 1.10 | Maizidian | 8.41 |
| 10 | Dongfeng | 1.12 | Jianwai | 9.19 |
Publisher’s Note: MDPI stays neutral with regard to jurisdictional claims in published maps and institutional affiliations. |
© 2021 by the authors. Licensee MDPI, Basel, Switzerland. This article is an open access article distributed under the terms and conditions of the Creative Commons Attribution (CC BY) license (http://creativecommons.org/licenses/by/4.0/).
Share and Cite
Wang, H.; Zeng, W.; Cao, R. Simulation of the Urban Jobs–Housing Location Selection and Spatial Relationship Using a Multi-Agent Approach. ISPRS Int. J. Geo-Inf. 2021, 10, 16. https://doi.org/10.3390/ijgi10010016
Wang H, Zeng W, Cao R. Simulation of the Urban Jobs–Housing Location Selection and Spatial Relationship Using a Multi-Agent Approach. ISPRS International Journal of Geo-Information. 2021; 10(1):16. https://doi.org/10.3390/ijgi10010016
Chicago/Turabian StyleWang, Huihui, Weihua Zeng, and Ruoxin Cao. 2021. "Simulation of the Urban Jobs–Housing Location Selection and Spatial Relationship Using a Multi-Agent Approach" ISPRS International Journal of Geo-Information 10, no. 1: 16. https://doi.org/10.3390/ijgi10010016
APA StyleWang, H., Zeng, W., & Cao, R. (2021). Simulation of the Urban Jobs–Housing Location Selection and Spatial Relationship Using a Multi-Agent Approach. ISPRS International Journal of Geo-Information, 10(1), 16. https://doi.org/10.3390/ijgi10010016

