A Synergistic Rehabilitation Approach for Post-Stroke Patients with a Hand Exoskeleton: A Feasibility Study with Healthy Subjects
Abstract
1. Introduction
2. Materials and Methods
2.1. Participants
2.2. System Description
Rehabilitation Platform with the Hand Exoskeleton
2.3. Hand Exoskeleton Low-Level Control Architecture
Setup Sensors
2.4. Offline Experimental Protocol
2.5. Data Acquisition and Synchronization
2.6. Prediction Target and Modeling Overview
- 1.
- Linear regression (LR),
- 2.
- Nonlinear regression using a feedforward neural network (NN),
- 3.
- Long short-term memory network (LSTM).
- 1.
- EMG-only,
- 2.
- Kinematics-only,
- 3.
- EMG+Kinematics.
2.7. Architectures and Settings
2.8. Performance Metrics
2.9. Statistical Analysis
2.10. Muscle Synergy Analysis and Rationale
2.11. Online Test of the Hand Exoskeleton: High-Level Control Strategy
Online Experimental Protocol
3. Results
3.1. Offline Prediction Accuracy Across Models and Inputs
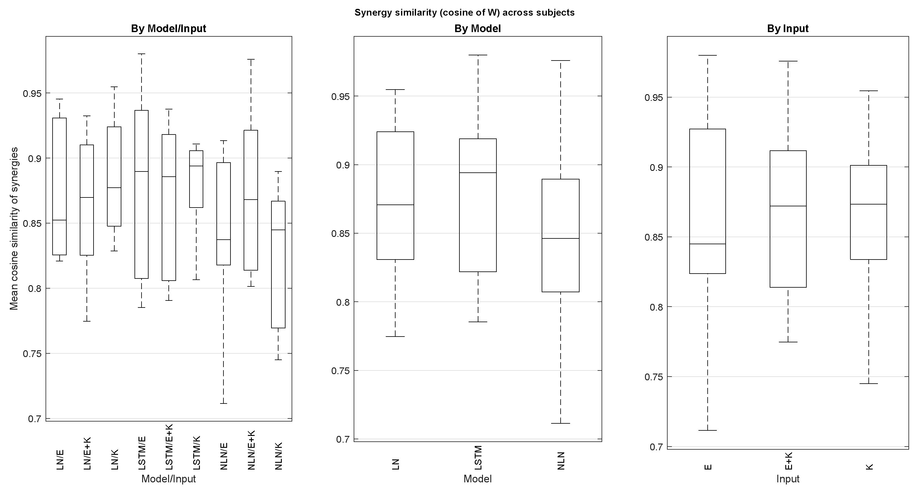
3.2. Synergy Retention with Predicted Channels
3.3. Preliminary Real-Time Control of the Hand Exoskeleton
4. Discussions
4.1. Models and Flexor/Extensor Activity Prediction
4.2. Muscle Synergies Retention Analysis on the Offline Test
4.3. Real-Time Hand Exoskeleton Go-to-Grasp Control
4.4. Applicability of the Proposed Method in Post-Stroke Rehabilitation Contexts
4.5. Limitations
5. Conclusions
Author Contributions
Funding

Institutional Review Board Statement
Informed Consent Statement
Data Availability Statement
Acknowledgments
Conflicts of Interest
References
- Collins, K.C.; Kennedy, N.C.; Clark, R.A.; Pua, Y.H. Kinematic components of reach-to-target movement after stroke: A systematic review and meta-analysis. Front. Neurol. 2018, 9, 472. [Google Scholar] [CrossRef]
- Choi, H.; Park, D.; Rha, D.W.; Nam, H.S.; Jo, Y.J.; Kim, D.Y. Kinematic analysis of movement patterns during a reach-and-grasp task in stroke patients. Front. Neurol. 2023, 14, 1225425. [Google Scholar] [CrossRef]
- Maciejasz, P.; Eschweiler, J.; Gerlach-Hahn, K.; Jansen-Troy, A.; Leonhardt, S. A survey on robotic devices for upper limb rehabilitation. J. Neuroeng. Rehabil. 2014, 11, 3. [Google Scholar] [CrossRef]
- Chien, W.t.; Chong, Y.y.; Tse, M.k.; Chien, C.w.; Cheng, H.y. Robot-assisted therapy for upper-limb rehabilitation in subacute stroke patients: A systematic review and meta-analysis. Brain Behav. 2020, 10, e01742. [Google Scholar] [CrossRef] [PubMed]
- Dalla Gasperina, S.; Roveda, L.; Pedrocchi, A.; Braghin, F.; Gandolla, M. Review on Patient-Cooperative Control Strategies for Upper-Limb Rehabilitation Exoskeletons. Front. Robot. AI 2021, 8, 745018. [Google Scholar] [CrossRef] [PubMed]
- Mehrholz, J.; Pohl, M.; Platz, T.; Kugler, J.; Elsner, B. Electromechanical and robot-assisted arm training for improving activities of daily living, arm function, and arm muscle strength after stroke. Cochrane Database Syst. Rev. 2018, 9, CD006876. [Google Scholar] [CrossRef]
- Rodgers, H.; Bosomworth, H.; Krebs, H.I.; van Wijck, F.; Howel, D.; Wilson, N.; Aird, L.; Alvarado, N.; Andole, S.; Cohen, D.L.; et al. Robot assisted training for the upper limb after stroke (RATULS): A multicentre randomised controlled trial. Lancet 2019, 394, 51–62. [Google Scholar] [CrossRef] [PubMed]
- Banyai, A.D.; Brișan, C. Robotics in physical rehabilitation: Systematic Review. Healthcare 2024, 12, 1720. [Google Scholar] [CrossRef]
- Park, J.M.; Kim, J.U.; Hong, S.C.; Cho, Y.H.; Hong, B.T.; Kim, K.T.; Park, J.H.; Kim, J.S. Effects of Robot-Assisted Therapy for Upper Limb Rehabilitation After Stroke: An Umbrella Review of Systematic Reviews. Stroke, 2025; Advance online publication. [Google Scholar] [CrossRef]
- Gantenbein, J.; Dittli, J.; Meyer, J.T.; Gassert, R.; Lambercy, O. Intention detection strategies for robotic upper-limb orthoses: A scoping review considering usability, daily life application, and user evaluation. Front. Neurorobotics 2022, 16, 815693. [Google Scholar] [CrossRef]
- Bardi, E.; Bruschetta, M.; Fontanelli, A.; Foresti, M.; Meli, E.; Ridolfi, A.; Allotta, B. Upper limb soft robotic wearable devices: A systematic review. J. Neuroeng. Rehabil. 2022, 19, 121. [Google Scholar] [CrossRef]
- Kabir, R.; Sunny, M.; Ahmed, H.; Rahman, M. Hand Rehabilitation Devices: A Comprehensive Systematic Review. Micromachines 2022, 13, 1033. [Google Scholar] [CrossRef]
- du Plessis, T.; Djouani, K.; Oosthuizen, C. A Review of Active Hand Exoskeletons for Rehabilitation and Assistance. Robotics 2021, 10, 40. [Google Scholar] [CrossRef]
- Schabowsky, C.N.; Godfrey, S.B.; Holley, R.J.; Lum, P.S. Development and pilot testing of HEXORR: Hand EXOskeleton Rehabilitation Robot. J. Neuroeng. Rehabil. 2010, 7, 36. [Google Scholar] [CrossRef]
- Ko, M.J.; Chuang, Y.C.; Chen, H.Y.; Tzeng, Y.L.; Lin, Y.C. The Application of Soft Robotic Gloves in Stroke Patients: A Systematic Review and Meta-Analysis of Randomized Controlled Trials. Brain Sci. 2023, 13, 900. [Google Scholar] [CrossRef]
- Shi, X.Q.; Heung, H.L.; Tang, Z.Q.; Li, Z.; Tong, K.Y. Effects of a soft robotic hand for hand rehabilitation in chronic stroke survivors. J. Stroke Cerebrovasc. Dis. 2021, 30, 105812. [Google Scholar] [CrossRef]
- Lu, Y.; Li, H.; Lai, J.; Wang, J.; Yu, Y.; Lu, T.; Wei, X.; Wang, H.; Song, A. Adjustable Rigid-Soft Wearable Hand Robot With Magnetorheological Cable-Driven Mechanism for Grasping Assistance. IEEE Trans. Neural Syst. Rehabil. Eng. 2025, 33, 3053–3064. [Google Scholar] [CrossRef]
- Sarac, M.; Solazzi, M.; Frisoli, A. Design requirements of generic hand exoskeletons and survey of hand exoskeletons for rehabilitation, assistive, or haptic use. IEEE Trans. Haptics 2019, 12, 400–413. [Google Scholar] [CrossRef] [PubMed]
- Carvalho, C.R.; Fernández, J.M.; del Ama, A.J.; Barroso, F.O.; Moreno, J.C. Review of electromyography onset detection methods for real-time control of robotic exoskeletons. J. Neuroeng. Rehabil. 2023, 20, 141. [Google Scholar] [CrossRef]
- Cho, G.; Yang, W.; Lee, D.; You, D.; Lee, H.; Kim, S.; Lee, S.; Nam, W. Characterization of signal features for real-time sEMG onset detection. Biomed. Signal Process. Control 2023, 84, 104774. [Google Scholar] [CrossRef]
- Meyers, E.C.; Gabrieli, D.; Tacca, N.; Wengerd, L.; Darrow, M.; Schlink, B.R.; Baumgart, I.; Friedenberg, D.A. Decoding hand and wrist movement intention from chronic stroke survivors with hemiparesis using a user-friendly, wearable EMG-based neural interface. J. Neuroeng. Rehabil. 2024, 21, 7. [Google Scholar] [CrossRef] [PubMed]
- Chen, Y.; Yang, Z.; Wen, Y. A soft exoskeleton glove for hand bilateral training via surface EMG. Sensors 2021, 21, 578. [Google Scholar] [CrossRef]
- Cervera, M.A.; Soekadar, S.R.; Ushiba, J.; Millán, J.d.R.; Liu, M.; Birbaumer, N.; Garipelli, G. Brain-computer interfaces for post-stroke motor rehabilitation: A meta-analysis. Ann. Clin. Transl. Neurol. 2018, 5, 651–663. [Google Scholar] [CrossRef] [PubMed]
- Kim, D.H.; Lee, K.D.; Bulea, T.C.; Park, H.S. Increasing motor cortex activation during grasping via novel robotic mirror hand therapy: A pilot fNIRS study. J. Neuroeng. Rehabil. 2022, 19, 8. [Google Scholar] [CrossRef]
- Kueper, N.; Kim, S.K.; Kirchner, E.A. Avoidance of specific calibration sessions in motor intention recognition for exoskeleton-supported rehabilitation through transfer learning on EEG data. Sci. Rep. 2024, 14, 16690. [Google Scholar] [CrossRef]
- Grimm, F.; Naros, G.; Gharabaghi, A. Closed-Loop Neuroprosthesis for Reach-to-Grasp Assistance: Combining Adaptive Multi-Channel Neuromuscular Stimulation With a Multi-Joint Arm Exoskeleton. Front. Neurosci. 2016, 10, 284. [Google Scholar] [CrossRef]
- Jeannerod, M. The timing of natural prehension movements. J. Mot. Behav. 1984, 16, 235–254. [Google Scholar] [CrossRef] [PubMed]
- van de Kamp, C.; Zaal, F.T.J.M. Prehension is really reaching and grasping. Exp. Brain Res. 2007, 182, 27–34. [Google Scholar] [CrossRef]
- Thrane, G.; Sunnerhagen, K.S.; Murphy, M.A. Upper limb kinematics during the first year after stroke: The stroke arm longitudinal study at the University of Gothenburg (SALGOT). J. Neuroeng. Rehabil. 2020, 17, 76. [Google Scholar] [CrossRef]
- Stefan, K.; Kunesch, E.; Cohen, L.G.; Benecke, R.; Classen, J. Induction of plasticity in the human motor cortex by paired associative stimulation. Brain 2000, 123, 572–584. [Google Scholar] [CrossRef]
- Wolters, A.; Schmidt, A.; Schramm, A.; Zeller, D.; Naumann, M.; Kunesch, E.; Benecke, R.; Reiners, K.; Classen, J. Timing-dependent plasticity in human primary somatosensory cortex. J. Physiol. 2005, 565, 1039–1052. [Google Scholar] [CrossRef] [PubMed]
- Arai, N.; Müller-Dahlhaus, F.; Murakami, T.; Bliem, B.; Lu, M.K.; Ugawa, Y.; Ziemann, U. State-dependent and timing-dependent bidirectional associative plasticity in the human SMA-M1 network. J. Neurosci. 2011, 31, 15376–15383. [Google Scholar] [CrossRef]
- Classen, J.; Liepert, J.; Wise, S.P.; Hallett, M.; Cohen, L.G. Rapid plasticity of human cortical movement representation induced by practice. J. Neurophysiol. 1998, 79, 1117–1123. [Google Scholar] [CrossRef] [PubMed]
- Biasiucci, A.; Leeb, R.; Iturrate, I.; Perdikis, S.; Al-Khodairy, A.; Corbet, T.; Schnider, A.; Schmidlin, E.; Zhang, H.; Bassolino, M.; et al. Brain-actuated functional electrical stimulation elicits lasting arm motor recovery after stroke. Nat. Commun. 2018, 9, 2421. [Google Scholar] [CrossRef] [PubMed]
- Wilson, R.D.; Page, S.J.; Delahanty, M.; Knutson, J.S.; Gunzler, D.D.; Sheffler, L.R.; Chae, J. Upper-Limb Recovery After Stroke: A Randomized Controlled Trial Comparing EMG-Triggered, Cyclic, and Sensory Electrical Stimulation. Neurorehabilit. Neural Repair 2016, 30, 978–987. [Google Scholar] [CrossRef] [PubMed]
- Manning, C.D.; Bawa, P. Heteronymous reflex connections in human upper limb muscles in response to stretch of forearm muscles. J. Neurophysiol. 2011, 106, 1489–1499. [Google Scholar] [CrossRef]
- Lewis, G.N.; McNair, P.J. Heteronymous Ia-afferent connections in the upper limb following stroke. Muscle Nerve 2010, 41, 71–77. [Google Scholar] [CrossRef]
- Käelin-Lang, A.; Cohen, L.G.; Wassermann, E.M.; Brasil-Neto, J.P.; Hallett, M.; Cohen, D. Modulation of human corticomotor excitability by somatosensory input. J. Physiol. 2002, 540, 623–633. [Google Scholar] [CrossRef]
- Vargas, C.D.; Olivier, E.; Craighero, L.; Fadiga, L.; Duhamel, J.R.; Sirigu, A. The influence of hand posture on corticospinal excitability during motor imagery: A transcranial magnetic stimulation study. Cereb. Cortex 2004, 14, 1200–1206. [Google Scholar] [CrossRef]
- Rogić Vidaković, M.; Kostović, A.; Jerković, A.; Šoda, J.; Russo, M.; Stella, M.; Knežić, A.; Vujović, I.; Mihalj, M.; Baban, J.; et al. Using Cutaneous Receptor Vibration to Uncover the Effect of Transcranial Magnetic Stimulation on Motor Cortical Excitability. Med. Sci. Monit. 2020, 26, e923166. [Google Scholar] [CrossRef]
- Perez, M.A.; Rothwell, J.C. Distinct influence of hand posture on cortical activity during human grasping. J. Neurosci. 2015, 35, 4882–4889. [Google Scholar] [CrossRef]
- Garcia, M.A.C.; de Carvalho, T.S.; Matsuda, R.H.; Baffa, O.; Imbiriba, L.A.; Souza, V.H. Forearm posture affects the corticospinal excitability of intrinsic and extrinsic hand muscles in dominant and nondominant sides. J. Appl. Biomech. 2024, 40, 316–322. [Google Scholar] [CrossRef] [PubMed]
- Stewart, K.C.; Cauraugh, J.H.; Summers, J.J. Bilateral movement training and stroke rehabilitation: A systematic review and meta-analysis. J. Neurol. Sci. 2006, 244, 89–95. [Google Scholar] [CrossRef]
- Camardella, C.; Junata, M.; Tse, K.C.; Frisoli, A.; Tong, R.K.Y. How many muscles? Optimal muscles set search for optimizing myocontrol performance. Front. Comput. Neurosci. 2021, 15, 668579. [Google Scholar] [CrossRef]
- Camardella, C.; Tse, K.C.; Frisoli, A.; Tong, R.K.Y. Investigating muscle synergies changes after rehabilitation robotics training on stroke survivors: A pilot study. In Proceedings of the 2020 42nd Annual International Conference of the IEEE Engineering in Medicine & Biology Society (EMBC), Montreal, QC, Canada, 20–24 July 2020; IEEE: New York, NY, USA, 2020; pp. 3731–3734. [Google Scholar]
- Mogk, J.P.; Keir, P.J. Prediction of forearm muscle activity during gripping. Ergonomics 2006, 49, 1121–1130. [Google Scholar] [CrossRef]
- Ajiboye, A.B.; Weir, R. Muscle synergies as a predictive framework for the EMG patterns of new hand postures. J. Neural Eng. 2009, 6, 036004. [Google Scholar] [CrossRef] [PubMed]
- Cole, N.M.; Ajiboye, A.B. Muscle synergies for predicting non-isometric complex hand function for commanding FES neuroprosthetic hand systems. J. Neural Eng. 2019, 16, 056018. [Google Scholar] [CrossRef] [PubMed]
- Melzner, M.; Engelhardt, L.; Simon, U.; Dendorfer, S. Electromyography-Based validation of a musculoskeletal hand model. J. Biomech. Eng. 2022, 144, 021005. [Google Scholar] [CrossRef]
- Pirondini, E.; Coscia, M.; Marcheschi, S.; Roas, G.; Salsedo, F.; Frisoli, A.; Bergamasco, M.; Micera, S. Evaluation of the effects of the Arm Light Exoskeleton on movement execution and muscle activities: A pilot study on healthy subjects. J. Neuroeng. Rehabil. 2016, 13, 9. [Google Scholar] [CrossRef]
- Cancrini, A.; Baitelli, P.; Lavit Nicora, M.; Malosio, M.; Pedrocchi, A.; Scano, A. The effects of robotic assistance on upper limb spatial muscle synergies in healthy people during planar upper-limb training. PLoS ONE 2022, 17, e0272813. [Google Scholar] [CrossRef]
- Scano, A.; Chiavenna, A.; Malosio, M.; Molinari Tosatti, L.; Molteni, F. Robotic assistance for upper limbs may induce slight changes in motor modules compared with free movements in stroke survivors: A cluster-based muscle synergy analysis. Front. Hum. Neurosci. 2018, 12, 290. [Google Scholar] [CrossRef]
- Gizzi, L.; Nielsen, J.F.; Felici, F.; Moreno, J.C.; Pons, J.L.; Farina, D. Motor modules in robot-aided walking. J. Neuroeng. Rehabil. 2012, 9, 76. [Google Scholar] [CrossRef] [PubMed]
- Roh, J.; Rymer, W.Z.; Perreault, E.J.; Yoo, S.B.; Beer, R.F. Alterations in upper limb muscle synergy structure in chronic stroke survivors. J. Neurophysiol. 2013, 109, 768–781. [Google Scholar] [CrossRef] [PubMed]
- Dipietro, L.; Krebs, H.I.; Fasoli, S.E.; Volpe, B.T.; Stein, J.; Bever, C.; Hogan, N. Changing motor synergies in chronic stroke. J. Neurophysiol. 2007, 98, 757–768. [Google Scholar] [CrossRef] [PubMed]
- Flindall, J.W.; Gonzalez, C.L. On the evolution of handedness: Evidence for feeding biases. PLoS ONE 2013, 8, e78967. [Google Scholar] [CrossRef]
- Grosskopf, A.; Kuhtz-Buschbeck, J.P. Grasping with the left and right hand: A kinematic study. Exp. Brain Res. 2006, 168, 230–240. [Google Scholar] [CrossRef]









| Model | EMG | EMG_KIN | KIN |
|---|---|---|---|
| LINEAR | 0.0035 ± 0.0023 | 0.0032 ± 0.0017 | 0.0032 ± 0.0017 |
| LSTM | 0.0063 ± 0.0025 | 0.0090 ± 0.0020 | 0.0042 ± 0.0018 |
| NONLINEAR | 0.0043 ± 0.0027 | 0.0040 ± 0.0018 | 0.0044 ± 0.0023 |
| Model | EMG | EMG_KIN | KIN |
|---|---|---|---|
| LINEAR | 0.0017 ± 0.0013 | 0.0017 ± 0.0013 | 0.0019 ± 0.0017 |
| LSTM | 0.0057 ± 0.0017 | 0.0103 ± 0.0080 | 0.0033 ± 0.0009 |
| NONLINEAR | 0.0020 ± 0.0016 | 0.0020 ± 0.0016 | 0.0026 ± 0.0024 |
Disclaimer/Publisher’s Note: The statements, opinions and data contained in all publications are solely those of the individual author(s) and contributor(s) and not of MDPI and/or the editor(s). MDPI and/or the editor(s) disclaim responsibility for any injury to people or property resulting from any ideas, methods, instructions or products referred to in the content. |
© 2026 by the authors. Licensee MDPI, Basel, Switzerland. This article is an open access article distributed under the terms and conditions of the Creative Commons Attribution (CC BY) license.
Share and Cite
Camardella, C.; Bagneschi, T.; Serra, F.; Loconsole, C.; Frisoli, A. A Synergistic Rehabilitation Approach for Post-Stroke Patients with a Hand Exoskeleton: A Feasibility Study with Healthy Subjects. Robotics 2026, 15, 21. https://doi.org/10.3390/robotics15010021
Camardella C, Bagneschi T, Serra F, Loconsole C, Frisoli A. A Synergistic Rehabilitation Approach for Post-Stroke Patients with a Hand Exoskeleton: A Feasibility Study with Healthy Subjects. Robotics. 2026; 15(1):21. https://doi.org/10.3390/robotics15010021
Chicago/Turabian StyleCamardella, Cristian, Tommaso Bagneschi, Federica Serra, Claudio Loconsole, and Antonio Frisoli. 2026. "A Synergistic Rehabilitation Approach for Post-Stroke Patients with a Hand Exoskeleton: A Feasibility Study with Healthy Subjects" Robotics 15, no. 1: 21. https://doi.org/10.3390/robotics15010021
APA StyleCamardella, C., Bagneschi, T., Serra, F., Loconsole, C., & Frisoli, A. (2026). A Synergistic Rehabilitation Approach for Post-Stroke Patients with a Hand Exoskeleton: A Feasibility Study with Healthy Subjects. Robotics, 15(1), 21. https://doi.org/10.3390/robotics15010021

