Next Article in Journal
A Body Power Hydraulic Prosthetic Hand
Previous Article in Journal
Design Evolution and Experimental Validation of the AlmatyExoElbow Assisting Device
Previous Article in Special Issue
A Decentralized Potential Field-Based Self-Organizing Control Framework for Trajectory, Formation, and Obstacle Avoidance of Fully Autonomous Swarm Robots
 
 
Font Type:
Arial Georgia Verdana
Font Size:
Aa Aa Aa
Line Spacing:
Column Width:
Background:
Article

Kinematic Characterization of a Novel 4-DoF Parallel Mechanism with Modular Actuation

by
Zoltán Forgó
* and
Ferenc Tolvaly-Roșca
Department of Mechanical Engineering, Sapientia Hungarian University of Transylvania, 547367 Târgu Mureș, Romania
*
Author to whom correspondence should be addressed.
Robotics 2026, 15(1), 13; https://doi.org/10.3390/robotics15010013
Submission received: 25 November 2025 / Revised: 27 December 2025 / Accepted: 30 December 2025 / Published: 1 January 2026
(This article belongs to the Special Issue Advanced Control and Optimization for Robotic Systems)

Abstract

The accelerating industrial demand for high-speed manipulation has necessitated the development of robotic architectures that effectively balance dynamic performance with workspace size. While serial SCARA robots offer large workspaces and parallel Delta robots provide high acceleration, existing architectures fail to combine these benefits effectively for specific four-degree-of-freedom (4-DoF) Schoenflies motion tasks. This study introduces and characterizes a novel 4-DoF parallel topology, having a symmetrical build-up, which is distinguished by its use of modular 2-DoF linear drive units. The research methodology entails the structural synthesis of the kinematic chain followed by kinematic analysis using vector algebra to derive closed-form inverse geometric models. Additionally, the Jacobian matrix is formulated to evaluate velocity transmission and systematically classify singular configurations, while the dexterity index is defined to assess the rotational capabilities of the mechanism. Numerical simulations of pick-and-place trajectory were also conducted, varying trajectory curvature to analyze kinematic behavior. The results demonstrate that the proposed modular architecture yields a highly symmetric and homogeneous workspace that can be scaled simply by adjusting the drive module lengths. Furthermore, the singularity and dexterity analyses reveal a substantial, singularity-free operational workspace, although tighter trajectory curvatures were found to impose higher velocity demands on the joints. In conclusion, the proposed mechanism successfully achieves the targeted Schoenflies motion, offering a solution for automated industrial tasks.

1. Introduction

In the realm of kinematics, the motion of a rigid body is generally described by the Special Euclidean group S E ( 3 ) , comprising three translations and three rotations. However, a significant subset of industrial tasks does not require full 6-degree-of-freedom (6-DoF) capability. The motion subgroup, known as Schoenflies motion, involves translation along three axes and rotation about one fixed axis (typically the vertical z -axis) [1].
Formally denoted as 3T1R (three translations, one rotation), this kinematic pattern corresponds to the motion required for vertical insertion and horizontal alignment, fundamental to assembly and packaging operations. While serial manipulators like SCARA (Selective Compliance Assembly Robot Arm) have traditionally fulfilled this role, recent academic and industrial focus has shifted toward Parallel Kinematic Machines (PKMs) to achieve higher stiffness and dynamic performance [2]. The PKM Schoenflies motion generators represent an optimal kinematic solution for high-speed handling. They maintain the end-effector parallel to a fixed plane, while allowing rotation around the normal to that plane. This enables the motors to be fixed to the base frame, minimizing inertia and maximizing acceleration, often exceeding 100 m/s2 in modern iterations like the Par4 or Quattro robots [3].
Despite the above, the industry’s need for automation involves implementing both serial and parallel robots. While serial robots are simple to analyze, the complexity and potential of their parallel counterparts drive significant academic and industrial research.
Lower-degree-of-freedom mechanisms are often preferred for specific tasks due to their architectural simplicity, ease of control, and cost-effectiveness. This is evidenced by the 4-DoF SCARA robot, which holds 15% of the market and its share is growing at 5–10% annually, thus confirming a strong demand for 4-DoF systems [4]. This market also includes 3 to 6 DoF Delta robots, which have a 5% market share. A 4-DoF Delta, for example, offers better dynamic properties than a SCARA, but its limited workspace hinders widespread adoption. This drawback has motivated researchers to develop new 4-DoF parallel, symmetrical topologies, such as those using Schoenflies motion generators [5,6,7,8,9,10,11,12,13,14].
A similar compromise exists with 6-DoF robots. Articulated serial robots dominate the market (≈60%) with their large workspace, but they suffer from poor dynamics compared to 6-DoF parallel robots [4]. This fundamental conflict between workspace and performance continues to fuel research into new, optimized parallel robot topologies. Several methods are used to resolve the above conflict, all of which have extensive research background; therefore, we will only refer to a few publications as examples in the following. The workspace enlargement by crossing singularities uses control strategies to avoid or safely move through singular configurations [15,16]. Some scholars used, in their research, the kinematic redundancy to obtain larger workspaces [17,18], while others make the mechanisms reconfigurable, so the effective workspace will be the union of multiple singularity-free workspaces [19,20]. Combining serial–parallel topologies into one hybrid mechanism is another way to combine their positive characteristics of large workspace and stiffness [21,22,23].
Another approach, the workspace enlargement by design, is taken by the authors. Preliminary research for this paper was presented by the authors in other papers. In paper [24], they introduced the 2-degree-of-freedom (DoF) drive module, a dual-actuated module that produces controlled translational ( d ) and rotational ( θ ) motion. As shown in Figure 1, the inputs of the module are the angular displacements from two motors, each equipped with a toothed belt pulley (radius r ). These drives pull a toothed belt that is routed through other pulleys, including two (radius R ) on a central slider.
The resulting motion is determined by the motors: rotating in the same direction at the same speed causes spindle rotation ( θ ), while rotating in opposite directions at the same speed causes the slider to undergo linear displacement ( d ). The synchronous motion of the motors allows for the simultaneous realization of spindle rotation and slider displacement. The relationship between the inputs and outputs is straightforward because the geometry of the module is fixed and does not change over time.
Previous studies [24] have established the viability of this 2-DoF actuation principle for parallel mechanisms. Because of its structure, by an adequate design, the elements (low friction sliders, tooth belt drive, etc.) that have already proven themselves in robot construction can be implemented, resulting in a no-backlash solution for mechanism drive.
Generally, parallel robots use one actuated joint per kinematic chain, meaning the chain count must be equal to the robot’s total DoF. However, references [15,26] support the approach that each chain gets two actuated joints, thereby halving the required number of kinematic chains. This reduction offers significant advantages: the dynamics of the robot is improved by moving less mass, as the chance of self-collision is reduced due to fewer kinematic chains, enhancing the workspace. Furthermore, the robot mechanism may encounter fewer singular configurations. In [15], Hesselbach et al. are presenting a two kinematic chain parallel structure, but the actuation of the mechanism is realized in a serial way: in a kinematic chain, the second actuation unit is fixed to the first arm. Using the above 2-DoF drive module, this dynamic drawback is eliminated. The solution presented in [26] uses a parallel actuation method as well, improving the dynamical characteristic. The disadvantage of that mechanism, regarding the mechanism introduced in this paper, consists of the still-limited workspace in any direction. Based on the advantages outlined above, the authors of this paper believe that the next presented parallel mechanism is suitable for any industrial task that require 4-DoF for pick-and-place, packaging, or other operations.

2. Mathematical Model of the 2TRRPa Mechanism

Based on the previous section, it is possible to use two 2-DoF drive modules to obtain a parallel mechanism with two kinematic chains in order to obtain robots performing Schoenflies motion. The systematic search for appropriate mechanisms and results was presented by the authors in [25]. In Figure 2 of the referred article, several Schoenflies motion generators are presented, and possible mechanism build-ups are considered and examined. The present paper introduces another 4-DoF mechanism based on Figure 2—(e1) family from [25]. Figure 2 presents a new parallel topology mechanism with two kinematic chains, each of them consisting of a translational (T) and two rotational (R) joints, as well as a parallel mechanism (Pa), referred to as the 2TRRPa mechanism in the following.
For the mathematical modeling of parallel robots, several methods may be used [27,28]. Due to the presence of passive joints, the application of the Denavit–Hartenberg convention becomes challenging for establishing a mathematical model [29,30], despite its otherwise elegant framework to describe the geometry and kinematics of serial mechanisms. Another possibility is to determine the loop closure equations using vector algebra and solving them in order to determine the relation between robot parameters and robot characteristic point parameters, then obtaining the kinematic correlation between the time variations in the same parameters [31].
Our research relies on this second method to examine the 2TRRPa parallel mechanism, and annotations from Figure 2 will be used for further work. Moreover, in order to clearly exemplify the different configurations of the mechanism, the simplified representation of the mechanism is introduced in Figure 2b. Examining the subfigures in Figure 2, it is clear that even if there are no graphical joint representations in (b), the possible degrees of freedom of the robot arms are obvious due to the simple topology of the mechanism. The superimposition of the schematic diagram onto the physical model aids in interpreting the preceding figures and contextualizes the mathematical model developed in subsequent sections.
As stated earlier, the use of two 2-DoF modules to drive the first two joints in each kinematic chain of the mechanism introduces only a transmission ratio between the module’s inputs and outputs. As such, its further consideration for the mathematical modeling of the whole mechanism may be omitted.
Based on Figure 1, the relation between the input parameters q 1 , q 2 and the output parameters d , θ is given by a straightforward geometrical relation presented in [24], which may be transformed in a transmission matrix having time-independent parameters. Further, the Jacobi matrix of the module mechanism was determined by
[ d θ ] = [ r 2 r 2 r 2 R r 2 R ] [ q 1 q 2 ] ,   and
[ d ˙ θ ˙ ] = [ r 2 r 2 r 2 R r 2 R ] [ q ˙ 1 q ˙ 2 ]
The 4-DoF robot parameter vector can be written as q = [ q 1 q 2 q 3 q 4 ] T , hence the robot joint velocities are represented by the vector q ˙ = [ q ˙ 1 q ˙ 2 q ˙ 3 q ˙ 4 ] T . To obtain the kinematic relation between the four input and four output parameters of the drive modules, the equation must be doubled, as follows:
[ d ˙ 1 θ ˙ 1 d ˙ 2 θ ˙ 2 ] = [ r 2 r 2 0 0 r 2 R r 2 R 0 0 0 0 r 2 r 2 0 0 r 2 R r 2 R ] · [ q ˙ 1 q ˙ 2 q ˙ 3 q ˙ 4 ] = J m [ q ˙ 1 q ˙ 2 q ˙ 3 q ˙ 4 ] q ˙ p a r = J m q ˙ ,
where the [ d ˙ 1 θ ˙ 1 d ˙ 2 θ ˙ 2 ] T vector represents the output velocities of the two actuated modules and J m denotes the Jacobian matrix for the driving modules.
As stated earlier, Equation (3) will be incorporated in the mathematical model of the mechanism only at the end of the presented work. Thus, the elements of the [ d 1 θ 1 d 2 θ 2 ] T vector (Figure 2) will be considered as the input parameters for the robot mechanism. Parameter d i characterizes the displacement of point B i (center of the rotational joint) relative to the x O z plane, and it is constrained to be inside the interval of [ 0 ,   d i m a x ] . Parameter θ i will be the angle parameter between the A i B i and B i C i robot arms, having no value constrain. The B i C i arm is characterized by its length l 1 . The moving platform for the 2TRRPa parallel robot is the P D 1 D 2 element, which is linked to the C i rotational joints by parallel mechanisms. So, accepting that by the [ d 1 θ 1 d 2 θ 2 ] T parameters, the position of the joint centers B i ( x B i , y B i , 0 ) and C i ( x C i , y C i , 0 ) are explicitly defined, the position of the characteristic point P ( x P , y P , z P ) are determined easily. One remark must be made regarding the z P value of the characteristic point parameter. Considering the simple direct geometry problem of the proposed mechanism, the z P parameter may have two solutions: z p { h H h p ; h + H h P } . The first solution represents the mechanism’s position depicted in Figure 2a, and another when the C i D i parallel mechanism arms are faced upward. Taking into consideration the configurations of the 2TRRPa robot mechanism, it is obvious that the first solution has a more practical applicability regarding the pick-and-place applications. For that reason, the second solution is excluded from further consideration.
Based on the above paragraph, the direct geometry problem of the 2TRRPa robot mechanism may be written as follows:
{ x P = 1 2 [ a 1 + a 2 l 1 ( s θ 1 + s θ 2 ) ] y P = 1 2 [ d 1 + d 2 + l 1 ( c θ 1 + c θ 2 ) ] z P = h 1 2 4 l 2 2 ( d 2 d 1 + l 1 ( c θ 2 c θ 1 ) ) 2 ( a 2 a 1 + l 1 ( s θ 2 s θ 1 ) ) 2 h p θ P = a t a n 2 ( d 2 d 1 + l 1 ( c θ 2 c θ 1 ) ,   a 2 a 1 + l 1 ( s θ 2 s θ 1 ) )
In Equation (4), x P ,   y P , and z P are the position parameters of the characteristic point P, and the θ P denotes the rotation of the mobile platform regarding the x ¯ axes. Based on the notations of Figure 2, the platform orientation definition is
θ ^ P = ( x ¯ , C 1 C 2 ¯ )
Based on (4), the relation between the robot parameter velocities and the characteristic point velocities (direct kinematics) may be presented using the Jacobian matrix:
[ x ˙ P y ˙ P z ˙ P θ ˙ P ] = [ x p d 1 x p θ 1 x p d 2 x p θ 2 y p d 1 y p θ 1 y p d 2 y p θ 2 z p d 1 z p θ 1 z p d 2 z p θ 2 θ p d 1 θ p θ 1 θ p d 2 θ p θ 2 ] · [ d ˙ 1 θ ˙ 1 d ˙ 2 θ ˙ 2 ] = J m e c h q ˙ p a r
where
J m e c h = [ 0 l 1 c θ 1 2 0 l 1 c θ 2 2 1 2 l 1 s θ 1 2 1 2 l 1 s θ 2 2 τ 1 2 4 l 2 2 τ 1 2 τ 2 2 l 1 ( s θ 1 τ 1 + c θ 1 τ 2 ) 2 4 l 2 2 τ 1 2 τ 2 2 τ 1 2 4 l 2 2 τ 1 2 τ 2 2 l 1 ( s θ 2 τ 1 + c θ 2 τ 2 ) 2 4 l 2 2 τ 1 2 τ 2 2 τ 2 τ 1 2 + τ 2 2 l 1 ( s θ 1 τ 2 + c θ 1 τ 1 ) τ 1 2 + τ 2 2 τ 2 τ 1 2 + τ 2 2 l 1 ( s θ 2 τ 2 + c θ 2 τ 1 ) τ 1 2 + τ 2 2 ] .
In the above equation, the symbols τ 1 and τ 2 have the following definitions:
τ 1 = d 2 d 1 + l 1 ( c θ 2 c θ 1 )   and   τ 2 = a 2 a 1 l 1 ( s θ 2 s θ 1 )
Using Equations (3) and (6), the overall kinematic model of the modular driven robot may be determined:
[ x ˙ P y ˙ P z ˙ P θ ˙ P ] = J m e c h J m [ q ˙ 1 q ˙ 2 q ˙ 3 q ˙ 4 ] X ˙ 0 = J r o b o t q ˙
To complete the kinematical modeling of the proposed solution, the inverse kinematic model should also be determined. As by the direct modeling, the mathematical model of the drive modules may be treated separately, and it will be considered only in the final stage of the modeling process. Thus, the elements of the [ d 1 θ 1 d 2 θ 2 ] T vector (Figure 2) will be considered as the output parameters for the robot mechanism; hence, the parameters of the moving platform (defined through the characteristic point P: X 0 = [ x P   y P   z P   θ P ] T ) will be used as the inputs of the algorithm. Based on this statement, using the notations from Figure 2a, and taking advantage of the mechanism’s simplicity, the definitions of the output parameters could be determined easily with the below equations:
{   d 1 = y C 1 l 1 2 ( a 1 x C 1 ) 2 θ 1 = a t a n 2 ( x C 1 a 1 , l 1 2 ( a 1 x C 1 ) 2 ) d 2 = y C 2 l 1 2 ( a 2 x C 2 ) 2 θ 2 = a t a n 2 ( x C 2 a 2 , l 1 2 ( a 2 x C 2 ) 2 )
It must be mentioned that the overall solutions for parameters d 1 and d 2 involve square root with positive and negative values. Nevertheless, only the negative ones will be used for further calculation. Because of the mechanism setup, the other solutions (with positive square root) are viable solutions also, but for the sake of a simpler mathematical model, we will disregard it. The coordinates of points C 1 and C 2 in Equation (10) may be written in terms of index i { 1 , 2 } as follows:
x C i = x P + ( 1 ) i c θ P l 2 2 ( z p h h P ) 2 y C i = y P + ( 1 ) i s θ P l 2 2 ( z p h h P ) 2
The relation between the characteristic point velocities and the robot parameter velocities (inverse kinematics) is given by the partial derivatives of parameters from Equation (10) in respect to the input parameters:
[ d ˙ 1 θ ˙ 1 d ˙ 2 θ ˙ 2 ] = [ d 1 x p 1 d 1 z p d 1 θ p θ 1 x p 0 θ 1 z p θ 1 θ p d 2 x p 1 d 2 z p d 2 θ p θ 2 x p 0 θ 2 z p θ 2 θ p ] · [ x ˙ P y ˙ P z ˙ P θ ˙ P ] = J m e c h 1 X ˙ 0
where
{ d 1 x p = ( l 2 σ 1 ) 2 1 1 θ 1 x p = l 1 2 σ 1 2 d 1 z p = z p 80 l 2 2 ( z p 80 ) 2 ( s θ p c θ p ( l 2 σ 1 ) 2 1 1 ) θ 1 z p = c θ p ( z p 80 ) l 2 2 ( z p 80 ) 2 l 1 2 σ 1 2 d 1 θ p = l 2 2 ( z p 80 ) 2 ( c θ p + s θ p ( l 2 σ 1 ) 2 1 1 ) θ 1 θ p = l 2 2 ( z p 80 ) 2 l 1 2 σ 1 2 s θ p d 2 x p = ( l 2 σ 2 ) 2 1 1 θ 2 x p = l 1 2 σ 2 2 d 2 z p = z p 80 l 2 2 ( z p 80 ) 2 ( s θ p + c θ p ( l 2 σ 2 ) 2 1 1 ) θ 2 z p = c θ p ( z p 80 ) l 2 2 ( z p 80 ) 2 l 1 2 σ 2 2 d 2 θ p = l 2 2 ( z p 80 ) 2 ( c θ p   s θ p ( l 2 σ 2 ) 2 1 1 ) θ 2 θ p = l 2 2 ( z p 80 ) 2 l 1 2 σ 2 2 s θ p .
In the above equation, the symbols σ 1 and σ 2 have the following definitions:
σ 1 = a 1 x p + c θ p l 2 2 ( z p 80 ) 2 and   σ 2 = x p a 2 + c θ p l 2 2 ( z p 80 ) 2 .
To obtain the overall inverse kinematic model, the kinematics of the drive modules must be included. Based on Equation (3), the inverse of the modules Jacobian J m is determined. Because the drive modules are realizing only transmission ratios, having constant geometrical parameters (r and R), the J m is invertible.
J m 1 = [ 1 r R r 0 0 1 r R r 0 0 0 0 1 r R r 0 0 1 r R r ] .
Finaly, to have the relation between the characteristic point kinematic parameters and the robot parameter velocities, the following equation is considered:
[ q ˙ 1 q ˙ 2 q ˙ 3 q ˙ 4 ] = J m 1 [ d ˙ 1 θ ˙ 1 d ˙ 2 θ ˙ 2 ] = J m 1 J m e c h 1 [ x ˙ P y ˙ P z ˙ P θ ˙ P ] q ˙ = J r o b o t 1 X ˙ 0 ˙

3. Characterization of the 2TRRPa Mechanism

Starting from Equations (4) and (6), further examinations regarding the characterization of the mechanism are presented in the next sections. Considerations about the workspace, definition of a dexterity index, and conditions for singular configurations will be determined.

3.1. Workspace Characterization of the 2TRRPa Mechanism

In order to determine and display any type of workspace for the mechanism, the MATLAB 2025a software was used, and some geometrical dimensions are required to be set. In order to exploit the full potential of the newly introduced topology, dimension optimization must be carried out; yet, this is beyond the scope of the present paper. The main characteristics of workspaces may be established by setting certain typical values for them. In the following analysis, we employ the parameter values listed in Table 1.
Considering the constant-orientation workspace of a mechanism—that is, the set of points that can be reached while maintaining a specified orientation of the mobile platform—the constant-orientation workspaces of the examined 2TRRPa robot for three different platform orientations are illustrated in Figure 3.
As it may be observed in Figure 1, a symmetrical workspace is generated (Figure 3a) in the case of θ P = 0 ° (angle between the x ¯   a n d   C 1 C 2 ¯ ). Based on the shape of the workspace, Geometrical parameters leading to different workspace size are easily identified. The variation of a i   ( i { 1 , 2 } ) distances and l 1 arm length will alter the width of the workspace, while its height is mainly influenced by the l 2 lower arm length. The main advantage of the proposed topology could be observed by changing only the possible interval (Table 1) for the d i   ( i { 1 , 2 } ) mechanism input. By varying the upper and lower possible limits according to the needs, workspace length may be changed to comply with the application needs. This implies that the same physical robot mechanism can be employed for different applications in case it is equipped with 2-DoF drive modules of appropriately selected lengths, required by tasks with different path lengths during pick-and-place operations.
Figure 3b,c present the variation in the constant-orientation workspaces for values θ P = 90 ° and θ P = + 90 ° . Workspace shape changes are obvious in both cases: its central section becomes shorter, but wider, resulting in a larger area for the vertical x O z cross-section at y = 400   m m , which leads to a longitudinal symmetry loss as well.

3.2. Dexterity Characterization of the 2TRRPa Mechanism

Robot dexterity may be defined in different ways, and this topic has been the subject of research for a long time in order to provide quantitative measures through non-dimensional parameters [32] and to move away from design rules and measures of human motor capacity [33,34]. Dexterity research from different areas of research interest (mobile robotics [35], industrial manipulator [36], minimally invasive surgery [37], etc.) involving robot typology is popular even today, although the focus is shifting toward humanoid robots. Dexterity for robotic manipulators may also be expressed by using simple indicators, expressed by the dexterity index in [38]:
D = d x + d y + d z 3 ,   w h e r e   d x = Δ γ 2 π ,   d y = Δ β 2 π   a n d   d z = Δ α 2 π .
In Equation (16), Δ α , Δ β , and Δ γ represent the possible variation ranges of the roll, pitch, and yaw angles, respectively, for each point of the workspace. Consequently, the value of D varies within the range of [ 0 , 1 ] . Considering the 2TRRPa mechanism implementing the Schoenflies motion (Figure 2), the mobile platform cannot rotate about the x and y axes, so the angular variations around these axes are zero.
A further observation is that the denominator equals 2 π . Generally, the possible range of variation may span over a whole rotation, so the d parameters in Equation (16) will have a maximum value of 1 if the nominator is chosen to be 2 π . The examination of the orientation workspace in point P could be performed only for the interval of θ P [ π / 2 ,   π / 2 ] , because the remaining interval from the complete rotation can be assured by the mirrored pose of the mechanism, as shown in Figure 4. Hence, the dexterity index is defined as the range of variation (motion) relative to the full rotation. To be consistent with the notations introduced by Equation (16) and the statement above, the dexterity index for the 2TRRa mechanism is given by
D = Δ α 2 π = 2 Δ θ P 2 π , w h e r e   Δ θ P [ π / 2 ,   π / 2 ] .
Figure 5 below presents the variation in the dexterity index across the total workspace of the mechanism. The total workspace is the set of those points in the space which may be reached with at least one orientation of the mobile platform. Total workplace shape is clearly visible in the figure. Note that any point in space with a dexterity index of zero means that it is unreachable in any orientation. In the case of Figure 5, this means that the dark blue parts of the space are outside the total workplace, while all other colored points are within. An important conclusion can be drawn from the figures: there is a homogeneous total orientation workplace inside the total workplace. All those points are within the yellow region, which may be reached with all mobile platform orientations, so the dexterity index of the points equals 1.

3.3. Singular Configurations of the 2TRRPa Mechanism

Singular configurations can be identified by seeking the conditions for a null Jacobian matrix. Hence, a singularity occurs when all elements in a row are zero simultaneously. These conditions are detailed in subsequent paragraphs. Although Table 1 provides specific numerical values for the geometric parameters of the considered mechanism used in previous analyses, this section disregards those values, enabling the discussion of singular configurations. Hence, all calculations are performed using symbolic parameters.
Case 1: Jacobian first row elements equal to zero
This is realized by the zero value of the two fractions in the first row of Equation (7):
x P θ 1 = l 1 c θ 1 2 = 0   a n d   x P θ 2 = l 1 c θ 2 2 = 0
The above equalities are true for any θ 1 and θ 2 angles if l 1 arm length is zero. However, this scenario is invalid because the robot’s arm length must be a different, non-zero value. On the other hand, the equalities are also zero if the angle values are θ 1 , θ 2 { 90 ° , + 90 ° } . In this case, the robot arms B 1 C 1 and B 2 C 2 are perpendicular to the y ¯ axis, as visible in Figure 6.
Case 2: Jacobian second row elements equal to zero
The same logic may be applied in Case 2, so the third and fourth elements become zero if the angle values θ 1 = θ 2 = 0 . However, it may be observed that the first two elements y P d 1 = y P d 2 = 1 2 are constant with non-zero values, so the Jacobian second row cannot have only zero values, irrespective of l 1 and θ angle parameter values. Hence, there are no conditions for singular configurations.
Case 3: Jacobian third row elements equal to zero
For the elements of the third row of the Jacobian matrix to be zero, the numerator of each corresponding fraction must simultaneously equal zero, leading to the equalities of τ 1 = 0 and τ 2 = 0 . Starting from Equation (8), the following cases are introduced:
{ a 1 l 1 s θ 1 = a 2 l 1 s θ 2 d 1 + l 1 c θ 1 = d 2 + l 1 c θ 2 { x C 1 = x C 2 y C 1 = y C 2 ,
or, rearranging the above equation, we obtain
{ a 2 a 1 = l 1 s θ 2 l 1 s θ 1 d 2 d 1 = l 1 c θ 1 l 1 c θ 2 ,
Equation (19) represents the configuration of the robot mechanism, in which C 1 and C 2 are superposed, so the theoretical mechanism will gain an uncontrolled degree of freedom; similarly, when the C 1 D 1 and C 2 D 2 arms are superposed, it results an uncontrolled rotation about their longitudinal axes (Figure 7a). This also means that the characteristic point will be placed on the lower side of the workspace envelope. However, it must be mentioned that due to the geometrical dimensions of the real mechanism, the superposition of the C 1 and C 2 joints is not possible, considering the physical robot mechanism. Because of this, the characteristic point P will reach the extrema of the workspace through the contact of the real joints (Figure 7b).
The conditions for the singular configuration in Equation (20) are also depicted separately in Figure 8. The first condition assures that x C 1 = x C 2 , so it is visible that the orientation of the characteristic point is θ P { 90 ° , + 90 ° } . On the other hand, the second condition is responsible for the equality y C 1 = y C 2 , which leads to the orientation angle θ P { 0 ° , 180 ° } .
Case 4: Jacobian fourth row elements equal to zero
Considering the definition in Equation (7), this case is similar to the previous one: in order to have zero elements in the fourth row, the same conditions should be considered, τ 1 = 0 and τ 2 = 0 . Hence, the same observations hold as above. The numerators of the fractions are zero when C 1 and C 2 are superposed.
A key observation must be noted regarding the third row of the Jacobian matrix: the fractions become undefined in case any denominator is zero, so 4 l 2 2 τ 1 2 τ 2 2 = 0 equality applies. Rearranging the equality, the following form is obtained:
τ 1 2 + τ 2 2 = ( 2 l 2 ) 2 .
Considering the geometrical parameters of the mechanism (Figure 2a), it turns out that equation is valid if the distance C 1 C 2 = 2 l 2 , which means that the lower arms of the robot mechanism ( C 1 D 1 and C 2 D 2 ) are fully stretched relative to each other, with colinear points C 1 ,   D 1 ,   D 2 ,   C 2 . This configuration leads the P characteristic point to the upper side (extremis) of the workspace envelope. In certain conditions (such as in a tilted configuration, gravity acts along the axes of the rotational joints C 1 ,   D 1 ,   D 2 ,   C 2 ), this configuration blocks direct kinematic control of the mechanism, preventing controlled motion of joints C 1 and C 2 toward each other.
In addition, an important observation must be made regarding the fractions in the last row of the Jacobian matrix. In the theoretical model, if the conditions τ 1 = 0 and τ 2 = 0 are met (corresponding to cases 3 and 4 above), the denominators in the fourth row become zero, implying undefined divisions. Luckily, as stated earlier, this is a pure theoretical case, as this case can be avoided due to the physical dimensions of the mechanism.

4. Numerical Results

Numerical simulations with the MATLAB software were performed to characterize the robot’s behavior. Starting from a most common pick-and-place task definition and using the values of geometric parameters in Table 1, the inverse geometry and kinematics were performed for several cases.
Based on Equations (3) and (6), the inverse kinematics of the 2TRRPa mechanism is determined in two steps:
( 1 )   q ˙ p a r = J m e c h 1 [ x ˙ P y ˙ P z ˙ P θ ˙ P ]   a n d   ( 2 )   q ˙ = J m 1 q ˙ p a r
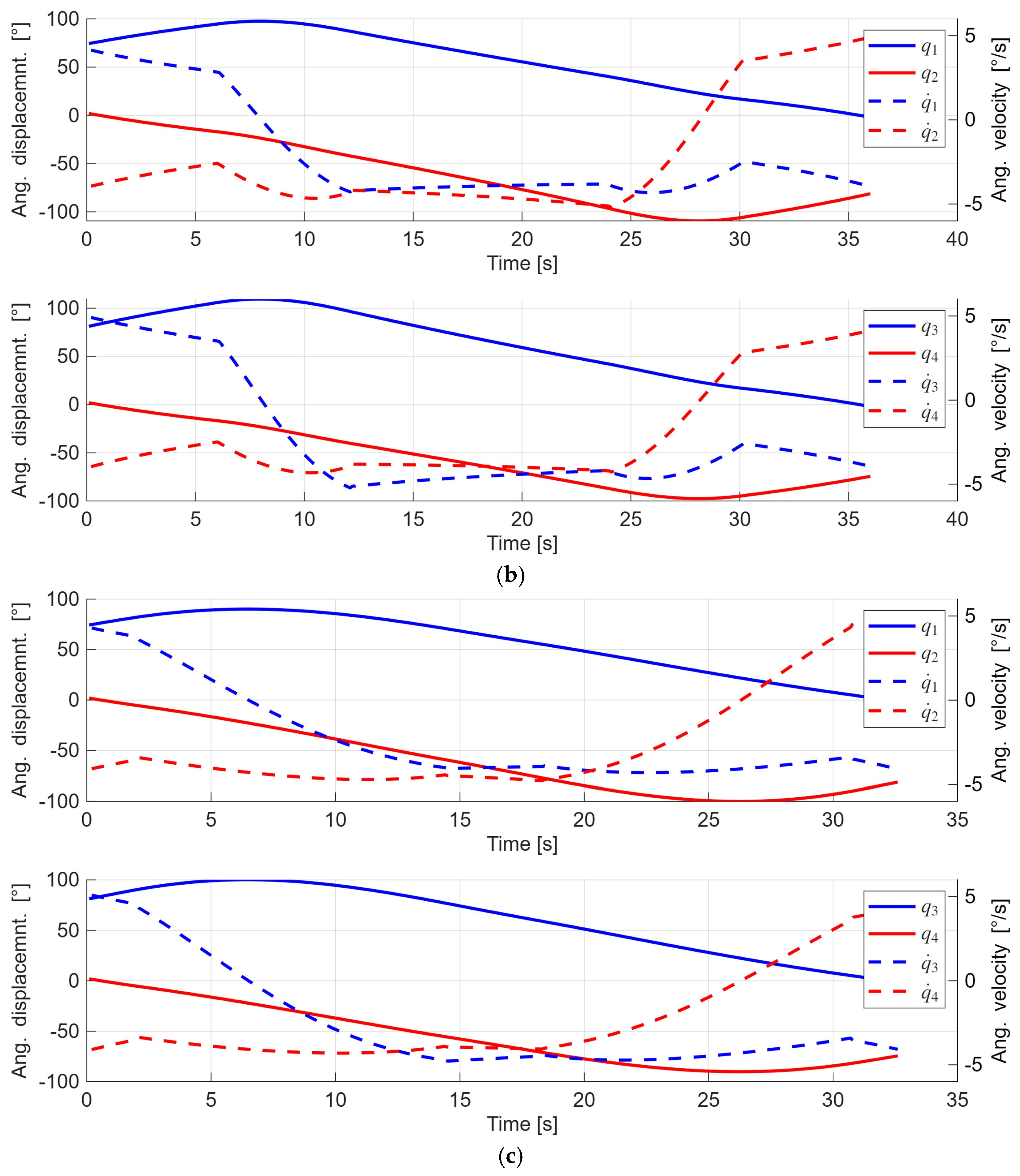
Based on Figure 2b, the path and the sketchy mechanism is presented in Figure 9 with parameters for case no. 2. Assuming that the pick-and-place path is followed by the characteristic point at a linear speed of 10 mm/s, the numerical results for q ˙ p a r and q ˙ are represented in Figure 10 and Figure 11 for case no. 2. For case no. 4 (Figure 12) the same parameters are presented in Figure 13 and Figure 14. The influence of the corner radius on the robot parameters from vector q ˙ may be observed in Figure 15.
The first noticeable fact in Figure 9 is the overlapping points A 2 and B 2 , which actually define the length of parameter d 2 . The position of the mechanism is determined by the inverse geometry calculated at the first point of the path. The result may be observed by examining the curve for parameter d 2 in Figure 10 as well, with an initial value of zero.
Another observation concerns the symmetry of the mechanism. As the application path within the workspace is positioned symmetrically, the configuration of the mechanism—when the characteristic point P is at the start of the path—is evidently the mirror image of its configuration at the end of the path. This observation can be easily verified in Figure 10 by examining the relationship between the linear and angular displacements.
In Figure 11 and Figure 14, it can be observed that the variation in the robot parameters q over time follows the variation in parameter θ , to which the effect of parameters d is added. Because of the pick-and-place motion pattern, and the design of the drive modules, the symmetry to each other of the parameter curves can be recognizable.
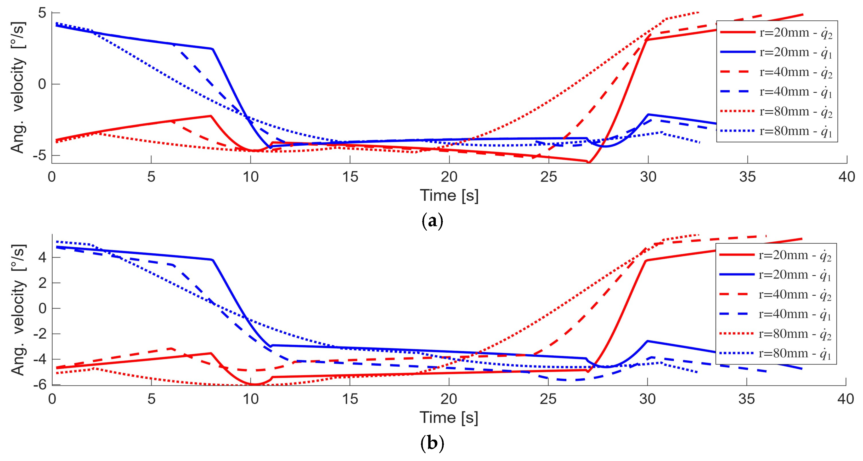
Next, the influence of the trajectory curvature was examined: the degree of trajectory rounding was varied in three cases (Table 2), while the platform orientation remained zero throughout all motions. Figure 15 shows the results of simulations in cases when the radius of curvature was 20 mm, 40 mm, and 80 mm, respectively.
Based on Figure 15, it can be stated that as the path curvature radius decreases, the variations in the robot’s parameters and joint velocities become increasingly pronounced switching from linear to circular motion along the path. Due to its symmetrical structure of the mechanism, the likeness of the robot parameter velocity curves ( q ˙ 1   w i t h   q ˙ 3 and q ˙ 2   w i t h   q ˙ 4 ) needed as inputs to the two drive modules may be observed as well from Figure 15. As a result of this, to a more comparable visualization, Figure 16 is introduced using parameters q ˙ 1 and q ˙ 2 , being the inputs of one drive module, and realizing the d ˙ 1 and θ ˙ 1 kinematic parameters for the one side of the mechanism. In Figure 16a, the transition between the linear and circular path motion may be investigated relatively to each other in different path curvature radius, by maintaining constant platform orientation θ P = 0 ° during the mechanism motion. In Figure 16b, the same parameters are depicted, but during variable platform orientation θ P according case no. 4 from Table 2. In both cases, the transition between vertical and horizontal movements of the characteristic point P is easily detected. In the case of a larger radius, this interval naturally becomes longer, but the curve also flattens out, ensuring an easier transition between linear and circular sections of the path.

5. Conclusions

The use of 2-degree-of-freedom drive modules simplifies the robot’s design significantly. While the moving platform has 4 degrees of freedom, it is connected to the base by only two kinematic chains [25]. As a result, as presented by the authors in the cited paper, it has several advantages over models that use one drive per kinematic chain, requiring four kinematic chains to move the platform properly. The sections of this paper examine the 2TRRPa mechanism in terms of its workspace, dexterity, and special configurations. Since previous work of the authors [25] demonstrated that the motion characteristics of 2-DoF modules are independent of time and instantaneous state, a further simplification was possible. For the direct geometry and kinematics problem, we treated the displacements and rotations applied at points B 1 and B 2 as inputs, which fully determine the spatial position and orientation of the mobile platform.
Reduced workspace represents a disadvantage of parallel mechanisms. The newly proposed mechanism has two translational joints with parallel axes as the first joints of both kinematic chains (Figure 2). This proposal allows the workspace to be increased to a required size in one direction, alongside the axis of the translational joints (see Figure 3), without altering the other geometric dimensions of the mechanism.
Furthermore, due to the two parallel axes, the dexterity of the mechanism is satisfactory: the points the robot can reach with any orientation around the z-axis form a homogeneous space, which is nearly as large as the total workspace (i.e., the workspace in which the points are reachable with at least one orientation). Figure 5 shows that the points with dexterity index D = 0 do not belong to the robot’s entire workspace. The other extreme regarding the dexterity index is D = 1 for the point which is reachable with any orientation.
Due to its simple architecture, the workspace interior forms a homogeneous space, which is not fragmented by points with special configurations. This has been proven in this paper by using the Jacobi matrix. Naturally, similarly to all other mechanisms, this mechanism also continues to lose degrees of freedom at the boundary of the workspace.
In the final section of this paper, we assigned arbitrary values to the geometric dimensions of the mechanism, enabling us to perform numerical simulations. In this context, a pick-and-place operation was modeled and, relying on the inverse problem, values of the input parameters of the mechanism ( d i and θ i for i = 1 , 2 ) were determined during the simulated motion and the time variation in those parameters.
The fact that the path curvature radius decrease has a pronounced influence on the robot kinematic parameters is due to the specific design of the 2TRRPa mechanism and requires further investigation in order to provide adequate control for the robot to be implemented in the future. Further plans involve optimizing the geometric size of the newly introduced mechanism considering various criteria like workspace shape and control speed curves, completed with performance testing of the proposed robot mechanism based on various parameters [38]. The future work of the authors also includes the building of a fully functional 3D model of the presented mechanism in order to check the theoretical findings from this paper, as well to address the dynamical behavior of the mechanism.

Author Contributions

Conceptualization, Z.F.; methodology, Z.F.; software, Z.F.; validation, F.T.-R.; formal analysis, F.T.-R.; writing—original draft preparation, Z.F.; writing—review and editing, F.T.-R.; visualization, Z.F.; funding acquisition, Z.F. and F.T.-R. All authors have read and agreed to the published version of the manuscript.

Funding

This research was funded by Transylvanian Museum Society, grant number 562.1.1/2025 and 562.1.2/2025. The APC was funded by the authors.

Data Availability Statement

During the study no new data were created, but the mathematical background for reasoning performed during the preparation of the study is available on the website of the journal.

Acknowledgments

During the preparation of this manuscript, the authors used Gemini 2.5 Thinking for the purposes of language polishing, grammar, and text structure, solely in Section 1. The authors have reviewed and edited the output and take full responsibility for the content of this publication.

Conflicts of Interest

The authors declare no conflicts of interest.

References

  1. Angeles, J. The Qualitative Synthesis of Parallel Manipulators. J. Mech. Des. 2004, 126, 617–624. [Google Scholar] [CrossRef]
  2. Gogu, G. Structural Synthesis of Parallel Robots; Springer: Dordrecht, The Netherlands, 2008; ISBN 1402057105. [Google Scholar]
  3. Nabat, V.; De La O Rodriguez, M.; Company, O.; Krut, S.; Pierrot, F. Par4: Very High Speed Parallel Robot for Pick-and-Place. In 2005 IEEE/RSJ International Conference on Intelligent Robots and Systems, IROS; IEEE: Piscataway, NJ, USA, 2005; pp. 553–558. [Google Scholar] [CrossRef]
  4. Balluff Inc. The 5 Most Common Types of Fixed Industrial Robots. 2024. Available online: https://www.balluff.com/en-us/blog/the-5-most-common-types-of-fixed-industrial-robots (accessed on 14 November 2025).
  5. Angeles, J.; Caro, S.; Khan, W.; Morozov, A. Kinetostatic Design of an Innovative Schönflies-Motion Generator. Proc. Inst. Mech. Eng. Part C J. Mech. Eng. Sci. 2006, 220, 935–943. [Google Scholar] [CrossRef]
  6. Wu, G.; Lin, Z.; Zhao, W.; Zhang, S.; Shen, H.; Caro, S. A Four-Limb Parallel Schönflies Motion Generator with Full-Circle End-Effector Rotation. Mech. Mach. Theory 2020, 146, 103711. [Google Scholar] [CrossRef]
  7. Di Gregorio, R. A Novel Single-Loop Decoupled Schoenflies-Motion Generator: Concept and Kinematics Analysis. In Advances in Service and Industrial Robotics, Proceedings of the 26th International Conference on Robotics in Alpe-Adria-Danube Region, RAAD 2017; Springer: Cham, Switzerland, 2018; Volume 49, pp. 11–18. [Google Scholar] [CrossRef]
  8. Di Gregorio, R.; Cattai, M.; Simas, H. Performance-Based Design of the CRS-RRC Schoenflies-Motion Generator. Robotics 2018, 7, 55. [Google Scholar] [CrossRef]
  9. Gallardo-Alvarado, J.; Garcia-Murillo, M.A.; Rodriguez-Castro, R.; Cervantes-Sánchez, J.J. Kinematics of a Schönflies-Motion Generator Parallel Manipulator with Moving Configurable Platform. Math. Probl. Eng. 2022, 2022, 4710377. [Google Scholar] [CrossRef]
  10. Guo, S.; Ye, W.; Qu, H.; Zhang, D.; Fang, Y. A Serial of Novel Four Degrees of Freedom Parallel Mechanisms with Large Rotational Workspace. Robotica 2016, 34, 764–776. [Google Scholar] [CrossRef]
  11. Karimi Eskandary, P.; Angeles, J. The Dynamics of a Parallel Schönflies-Motion Generator. Mech. Mach. Theory 2018, 119, 119–129. [Google Scholar] [CrossRef]
  12. Lee, C.C.; Hervé, J.M. Generators of the Product of Two Schoenflies Motion Groups. Eur. J. Mech. A/Solids 2010, 29, 97–108. [Google Scholar] [CrossRef]
  13. Lee, C.C.; Hervé, J.M. New Mechanical Generators of Schoenflies Motion Implementing Bennett Linkages. In Proceedings of the ASME, ESDA 2012, Nantes, France, 2–4 July 2012; ASME: Houston, TX, USA, 2012; Volume 3, pp. 211–216. [Google Scholar] [CrossRef]
  14. Lee, C.C.; Hervé, J.M. Type Synthesis of Primitive Schoenflies-Motion Generators. Mech. Mach. Theory 2009, 44, 1980–1997. [Google Scholar] [CrossRef]
  15. Hesselbach, J.; Helm, M.B.; Kunzmann, H. Workspace Enlargement for Parallel Kinematic Machines. CIRP Ann. 2003, 52, 343–346. [Google Scholar] [CrossRef]
  16. Pagis, G.; Bouton, N.; Briot, S.; Martinet, P. Enlarging Parallel Robot Workspace through Type-2 Singularity Crossing. Control Eng. Pract. 2015, 39, 1–11. [Google Scholar] [CrossRef]
  17. Vieira, H.L.; de Carvalho Fontes, J.V.; da Silva, M.M. Reliable Redundancy Resolution Strategies for Kinematically Redundant Parallel Manipulators. Mech. Mach. Theory 2022, 167, 104531. [Google Scholar] [CrossRef]
  18. Mueller, A. Redundant Actuation of Parallel Manipulators. In Parallel Manipulators, Towards New Applications; IntechOpen Publisher: London, UK, 2008. [Google Scholar] [CrossRef]
  19. Wang, L.; Zhang, J.W.; Zhang, D. A Review on Reconfigurable Parallel Mechanisms: Design, Analysis and Challenge. Engineering 2025, 47, 100–116. [Google Scholar] [CrossRef]
  20. Budde, C.; Helm, M.; Last, P.; Raatz, A.; Hesselbach, J. Configuration Switching for Workspace Enlargement. In Robotic Systems for Handling and Assembly; Springer Tracts in Advanced Robotics; Springer Publisher: Berlin/Heidelberg, Germany, 2011; Volume 67, pp. 175–189. [Google Scholar] [CrossRef]
  21. Elsamanty, M.; Faidallah, E.M.; Hossameldin, Y.H.; Rabbo, S.A.; Maged, S.A.; Yang, H.; Guo, K.; Elsamanty, M.; Faidallah, E.M.; Hossameldin, Y.H.; et al. Workspace Analysis and Path Planning of a Novel Robot Configuration with a 9-DOF Serial-Parallel Hybrid Manipulator (SPHM). Appl. Sci. 2023, 13, 2088. [Google Scholar] [CrossRef]
  22. Tanev, T.K. Kinematics of a Hybrid (Parallel-Serial) Robot Manipulator. Mech. Mach. Theory 2000, 35, 1183–1196. [Google Scholar] [CrossRef]
  23. Kumar, S.; Wöhrle, H.; de Gea Fernández, J.; Müller, A.; Kirchner, F. A Survey on Modularity and Distributivity in Series-Parallel Hybrid Robots. Mechatronics 2020, 68, 102367. [Google Scholar] [CrossRef]
  24. Forgó, Z.; Tolvaly-Roşca, F. Analytical and Numerical Model of Low DOF Manipulators. Procedia Technol. 2015, 19, 40–47. [Google Scholar] [CrossRef]
  25. Forgó, Z.; Tolvaly-Roșca, F.; Csobán, A. Singular Configuration Analysis of Modular-Driven 4- and 6-DoF Parallel Topology Robots. Robotics 2025, 14, 61. [Google Scholar] [CrossRef]
  26. Kim, S.M.; Shin, K.; Yi, B.J.; Kim, W. Development of a Novel Two-Limbed Parallel Mechanism Having Schönflies Motion. Proc. Inst. Mech. Eng. Part C J. Mech. Eng. Sci. 2015, 229, 136–154. [Google Scholar] [CrossRef]
  27. Merlet, J.-P. Parallel Robots; Part of the Book Series: Solid Mechanics and Its Applications (SMIA); Springer-Verlag Publisher: Berlin/Heidelberg, Germany, 2006; Volume 128, ISBN 978-1-4020-4132-7. [Google Scholar]
  28. Ajili, R.; Kribi, B.; Houidi, A. Modeling and Control Techniques for Planar Parallel Robots. In Proceedings of the Advances in Mechanical Engineering and Mechanics III; Springer Nature Publisher: Cham, Switzerland, 2024; pp. 19–28. [Google Scholar]
  29. Mhiri, S.A.; Ben Romdhane, N.M.; Damak, T. Geometric Modeling of the Parallel Robot Par4 Using the Modified Denavit Hartenberg Method. In Proceedings of the 2016 17th Int. Conf. on Sciences and Techniques of Automatic Control and Computer Engineering (STA); IEEE: Piscataway, NJ, USA, 2016; pp. 386–391. [Google Scholar]
  30. Zhang, Y.; Han, H.; Zhang, H.; Xu, Z.; Xiong, Y.; Han, K.; Li, Y. Acceleration Analysis of 6-RR-RP-RR Parallel Manipulator with Offset Hinges by Means of a Hybrid Method. Mech. Mach. Theory 2022, 169, 104661. [Google Scholar] [CrossRef]
  31. Tsai, L. Robot Analysis: The Mechanics of Serial and Parallel Manipulators; John Wiley & Sons Publisher: Hoboken, NJ, USA, 1999; p. 520. [Google Scholar]
  32. Sturges, R.H.; Wright, P.K. A Quantification of Dexterity. Robot. Comput. Integr. Manuf. 1989, 6, 3–14. [Google Scholar] [CrossRef]
  33. Moravec, H. Mind Children: The Future of Robot and Human Intelligence; Harvard University Press: Cambridge, MA, USA, 1988. [Google Scholar]
  34. Yoshikawa, T. Manipulability of Robotic Mechanisms. Int. J. Robot. Res. 1985, 4, 3–9. [Google Scholar] [CrossRef]
  35. Feller, D. Dexterity, Workspace and Performance Analysis of the Conceptual Design of a Novel Three-Legged, Redundant, Lightweight, Compliant, Serial-Parallel Robot. J. Intell. Robot. Syst. 2023, 109, 6. [Google Scholar] [CrossRef]
  36. Quan, Y.; Zhao, C.; Lv, C.; Wang, K.; Zhou, Y. The Dexterity Capability Map for a Seven-Degree-of-Freedom Manipulator. Machines 2022, 10, 1038. [Google Scholar] [CrossRef]
  37. Dawood, A.B.; Fras, J.; Aljaber, F.; Mintz, Y.; Arezzo, A.; Godaba, H.; Althoefer, K. Fusing Dexterity and Perception for Soft Robot-Assisted Minimally Invasive Surgery: What We Learnt from STIFF-FLOP. Appl. Sci. 2021, 11, 6586. [Google Scholar] [CrossRef]
  38. Tanev, T.K.; Stoyanov, B. On the Performance Indexes for Robot Manipulators. Probl. Eng. Cybern. Robot. 2000, 49, 64–71. [Google Scholar]
Figure 1. The kinematic depiction of the 2 DoF, double actuated module, reprinted from Ref. [25].
Figure 1. The kinematic depiction of the 2 DoF, double actuated module, reprinted from Ref. [25].
Robotics 15 00013 g001
Figure 2. The 2TRRPa robot mechanism: (a) schematic view (using ISO 3952-1 symbols) depicting joint types and functional geometric dimensions; (b) simplified view used for configuration presentation.
Figure 2. The 2TRRPa robot mechanism: (a) schematic view (using ISO 3952-1 symbols) depicting joint types and functional geometric dimensions; (b) simplified view used for configuration presentation.
Robotics 15 00013 g002
Figure 3. Workspace shapes for different orientations: (a) θ P = 0 ° ; (b) θ P = 90 ° ; (c) θ P = + 90 ° .
Figure 3. Workspace shapes for different orientations: (a) θ P = 0 ° ; (b) θ P = 90 ° ; (c) θ P = + 90 ° .
Robotics 15 00013 g003
Figure 4. The symmetrical characteristic of the mechanism regarding the angle variation in additive inverses: (a) with platform orientation θ P ; (b) with platform orientation θ P .
Figure 4. The symmetrical characteristic of the mechanism regarding the angle variation in additive inverses: (a) with platform orientation θ P ; (b) with platform orientation θ P .
Robotics 15 00013 g004
Figure 5. Representation of the dexterity index D of the proposed mechanism: (a) isometric representation; (b) XY slice for Z = −200 mm; (c) XZ slice for Y = 400 mm; (d) YZ slice for X = 0 mm. The dark spots with D = 0 are outside the total workspace, and the light spots having D = 1 are reachable with any orientation of the characteristic point.
Figure 5. Representation of the dexterity index D of the proposed mechanism: (a) isometric representation; (b) XY slice for Z = −200 mm; (c) XZ slice for Y = 400 mm; (d) YZ slice for X = 0 mm. The dark spots with D = 0 are outside the total workspace, and the light spots having D = 1 are reachable with any orientation of the characteristic point.
Robotics 15 00013 g005
Figure 6. Singular configuration for the 2TRRPa mechanism with input parameters θ 1 = 90 ° and θ 2 = 90 ° . In this case, the condition of a 1 = a 2 holds for P y ¯ : (a) the singular configuration of the theoretical mechanism and (b) the singular configuration of the physical mechanism.
Figure 6. Singular configuration for the 2TRRPa mechanism with input parameters θ 1 = 90 ° and θ 2 = 90 ° . In this case, the condition of a 1 = a 2 holds for P y ¯ : (a) the singular configuration of the theoretical mechanism and (b) the singular configuration of the physical mechanism.
Robotics 15 00013 g006
Figure 7. Singular configuration of the 2TRRPa mechanism: (a) superposed C i joints of the theoretical mechanism; (b) the close to singular configuration of the physical mechanism.
Figure 7. Singular configuration of the 2TRRPa mechanism: (a) superposed C i joints of the theoretical mechanism; (b) the close to singular configuration of the physical mechanism.
Robotics 15 00013 g007
Figure 8. Conditions (20) for the singular configuration. Fulfilled first condition results for θ P { 90 ° , + 90 ° } : (a) in case of theoretical mechanism and (b) in case of physical mechanism. Fulfilled second condition results for θ P { 0 ° , + 180 ° } : (c) in case of theoretical mechanism and (d) in case of physical mechanism.
Figure 8. Conditions (20) for the singular configuration. Fulfilled first condition results for θ P { 90 ° , + 90 ° } : (a) in case of theoretical mechanism and (b) in case of physical mechanism. Fulfilled second condition results for θ P { 0 ° , + 180 ° } : (c) in case of theoretical mechanism and (d) in case of physical mechanism.
Robotics 15 00013 g008
Figure 9. The schematic representation of the 2TRRPa mechanism in case no. 2, with the characteristic point at the beginning of the pick-and-place application path (in green): (a) isometric view; (b) upper view.
Figure 9. The schematic representation of the 2TRRPa mechanism in case no. 2, with the characteristic point at the beginning of the pick-and-place application path (in green): (a) isometric view; (b) upper view.
Robotics 15 00013 g009
Figure 10. The linear and angular displacements and the corresponding velocities on the output ( q ˙ p a r ) of the 2-DoF drive modules, the mechanism performing in case no. 2.
Figure 10. The linear and angular displacements and the corresponding velocities on the output ( q ˙ p a r ) of the 2-DoF drive modules, the mechanism performing in case no. 2.
Robotics 15 00013 g010
Figure 11. The variation in the robot parameters q = { q i   ;   i = 1 4 } and the corresponding angular velocities q ˙ = { q ˙ i   ;   i = 1 4 } , the mechanism performing in case no. 2.
Figure 11. The variation in the robot parameters q = { q i   ;   i = 1 4 } and the corresponding angular velocities q ˙ = { q ˙ i   ;   i = 1 4 } , the mechanism performing in case no. 2.
Robotics 15 00013 g011
Figure 12. The schematic representation of the 2TRRPa mechanism in case no. 4, with the characteristic point at the beginning of the pick-and-place application path (in green): (a) isometric view; (b) upper view.
Figure 12. The schematic representation of the 2TRRPa mechanism in case no. 4, with the characteristic point at the beginning of the pick-and-place application path (in green): (a) isometric view; (b) upper view.
Robotics 15 00013 g012
Figure 13. The linear and angular displacements and the corresponding velocities on the output ( q ˙ p a r ) of the 2-DoF drive modules, the mechanism performing in case no. 4.
Figure 13. The linear and angular displacements and the corresponding velocities on the output ( q ˙ p a r ) of the 2-DoF drive modules, the mechanism performing in case no. 4.
Robotics 15 00013 g013
Figure 14. Robot parameter variation q = { q i   ;   i = 1 4 } and the corresponding angular velocities q ˙ = { q ˙ i   ;   i = 1 4 } , the mechanism performs in case no. 4.
Figure 14. Robot parameter variation q = { q i   ;   i = 1 4 } and the corresponding angular velocities q ˙ = { q ˙ i   ;   i = 1 4 } , the mechanism performs in case no. 4.
Robotics 15 00013 g014
Figure 15. Robot parameter variation of q = { q i   ;   i = 1 4 } and the corresponding angular velocities q ˙ = { q ˙ i   ;   i = 1 4 } , the mechanism performs in cases: (a) no. 1; (b) no. 2; (c) no. 3.
Figure 15. Robot parameter variation of q = { q i   ;   i = 1 4 } and the corresponding angular velocities q ˙ = { q ˙ i   ;   i = 1 4 } , the mechanism performs in cases: (a) no. 1; (b) no. 2; (c) no. 3.
Robotics 15 00013 g015aRobotics 15 00013 g015b
Figure 16. Robot parameter velocities q ˙ = { q ˙ i   ;   i = 1 2 } for one drive module, representing the corner radius variation through cases no. 1–3: (a) maintaining constant platform orientation θ P = 0 ° ; (b) with variable platform orientation θ P according to case no. 4 (Table 2).
Figure 16. Robot parameter velocities q ˙ = { q ˙ i   ;   i = 1 2 } for one drive module, representing the corner radius variation through cases no. 1–3: (a) maintaining constant platform orientation θ P = 0 ° ; (b) with variable platform orientation θ P according to case no. 4 (Table 2).
Robotics 15 00013 g016
Table 1. Geometrical dimensions for the 2TRRPa mechanism.
Table 1. Geometrical dimensions for the 2TRRPa mechanism.
ParameterValueParameterValue
a 1 ,   a 2 150   m m h 60   m m
l 1 400   m m h P 20   m m
l 2   350   m m d 1 ,   d 2 [ 0   m m , 700   m m ]
θ 1 ,   θ 2 [ 180 ° , + 180 ° ]
Table 2. Geometrical dimensions and conditions for the pick-and-place application path.
Table 2. Geometrical dimensions and conditions for the pick-and-place application path.
Case No.Corner Radius
[mm]
Platform Rotation
θ P   [ ° ]
Path Dimensions
[mm]
1 20 0 hight   ( z ¯ dir . ) = 100 side   disp . ( x ¯ d i r ) = 200 s t a r t   a t   ( 100 , 400 , 0 ) e n d   a t   ( 100 , 400 , 0 )
2 40 0
3 80 0
4 40 s t a r t : + 30 ; e n d : 30
Disclaimer/Publisher’s Note: The statements, opinions and data contained in all publications are solely those of the individual author(s) and contributor(s) and not of MDPI and/or the editor(s). MDPI and/or the editor(s) disclaim responsibility for any injury to people or property resulting from any ideas, methods, instructions or products referred to in the content.

Share and Cite

MDPI and ACS Style

Forgó, Z.; Tolvaly-Roșca, F. Kinematic Characterization of a Novel 4-DoF Parallel Mechanism with Modular Actuation. Robotics 2026, 15, 13. https://doi.org/10.3390/robotics15010013

AMA Style

Forgó Z, Tolvaly-Roșca F. Kinematic Characterization of a Novel 4-DoF Parallel Mechanism with Modular Actuation. Robotics. 2026; 15(1):13. https://doi.org/10.3390/robotics15010013

Chicago/Turabian Style

Forgó, Zoltán, and Ferenc Tolvaly-Roșca. 2026. "Kinematic Characterization of a Novel 4-DoF Parallel Mechanism with Modular Actuation" Robotics 15, no. 1: 13. https://doi.org/10.3390/robotics15010013

APA Style

Forgó, Z., & Tolvaly-Roșca, F. (2026). Kinematic Characterization of a Novel 4-DoF Parallel Mechanism with Modular Actuation. Robotics, 15(1), 13. https://doi.org/10.3390/robotics15010013

Note that from the first issue of 2016, this journal uses article numbers instead of page numbers. See further details here.

Article Metrics

Back to TopTop