Low Doses of Cuscuta reflexa Extract Act as Natural Biostimulants to Improve the Germination Vigor, Growth, and Grain Yield of Wheat Grown under Water Stress: Photosynthetic Pigments, Antioxidative Defense Mechanisms, and Nutrient Acquisition
Abstract
1. Introduction
2. Material and Methods
2.1. Preparation of CRE Extract
2.2. Composition of Extract
2.2.1. Estimation of Total Phenolic Content (TPC) in CRE
2.2.2. Estimation of Total Flavonoid Content (TFC) in CRE
2.2.3. Estimation of Ascorbic Acid (AsA) Content in CRE
2.2.4. Estimation of Carotenoids in CRE
2.2.5. Estimation of Vitamin E Content in CRE
2.2.6. DPPH Scavenging Activity of the CRE
2.2.7. Ferric Reducing Antioxidant Power (FRAP) of the CRE
2.2.8. Estimation of Total Soluble Sugar (TSS) Content of CRE
2.2.9. Estimation of Oil Content of CRE
2.2.10. Estimation of Protein Content in CRE
2.2.11. Estimation of Fiber Content in CRE
2.2.12. Determination of Water Content in CRE
2.2.13. Determination of Glycine Betaine (GB) Content in CRE
2.2.14. Determination of Proline in CRE
2.2.15. Estimation of the Minerals in the CRE
2.3. Germination Experiment (Study of Seed Germination Attributes and Activities of Germination Enzymes)
2.4. Estimation of Different Germination Attributes
2.4.1. Estimation of Seed Germination Percentage Age (G%)
2.4.2. Estimation of Seed Germination Energy (GE)
2.4.3. Estimation of Seed Emergence Index (EI) and Mean Emergence Time (MET)
2.4.4. Coefficient of Uniformity of Emergence (CUE) and Time to 50% Emergence (E50)
2.5. Activities of Germination Enzymes
2.5.1. Activities of Proteases (Pro)
2.5.2. Activities of Amylases (Amy)
2.5.3. Activity of Glucosidase (Gluco)
2.6. Study of Plant Growth, Yield, Physio-Biochemical Attributes, Antioxidative Defense Mechanisms, and Nutrient Acquisition
2.6.1. Estimation of Leaf Chlorophyll (Chl.) and Carotenoid (Car) Contents
- Chl. a = [12.7 (OD 663) − 2.69 (OD 645)] × v/1000 × w
- Chl. b = [22.9 (OD 645) − 4.68 (OD 663)] × v/1000 × w
- Total Chl. = [20.2 (OD 645) - 8.02(OD 663)] × v/w × 1/1000
- A Car (µg/g FW) = OD 480 + (0.114 × OD 663) − (0.638 × OD 645)
- Car = A Car/Em 100% × 100
- Emission = Em 100% = 2500
- OD = absorbance at respective wavelength
- V = volume of the extract (mL)
- W = weight of the fresh leaf tissue (g)
2.6.2. Estimation of Leaf Relative Water Content (LRWC)
2.6.3. Estimation of Leaf Malondialdehyde (MDA) Content
2.6.4. Estimation of Leaf H2O2 Content
2.6.5. Estimation of Antioxidative Enzyme Activities
2.6.6. Estimation of Leaf Ascorbic Acid (AsA) and Tocopherol (Toc) Content
2.6.7. Estimation of Leaf Total Flavonoid Content (TFC) and Total Phenolic Content (TPC)
2.6.8. Estimation of Yield Attributes
2.6.9. Estimation of Minerals in Root and Shoot
2.6.10. Statistical Analysis
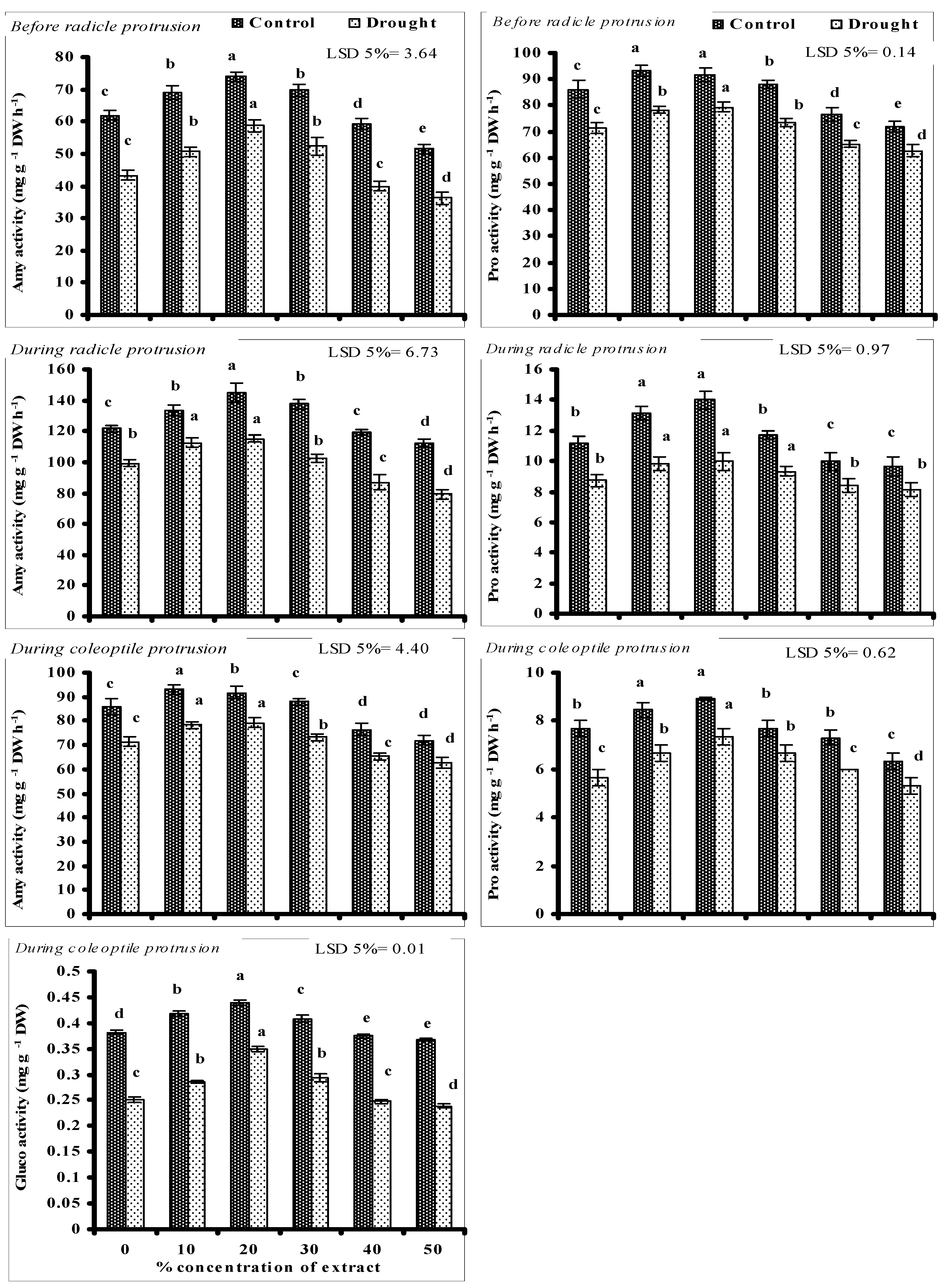
3. Results
4. Discussion
5. Conclusions
Supplementary Materials
Author Contributions
Funding
Acknowledgments
Conflicts of Interest
References
- Sarvestani, Z.T.; Pirdashti, H.; Sanavy, S.A.; Balouchi, H. Study of Water Stress Effects in Different Growth Stages on Yield and Yield Components of Different Rice (Oryza sativa L.) Cultivars. Pak. J. Biol. Sci. 2008, 11, 1303–1309. [Google Scholar] [CrossRef] [PubMed]
- Song, L.; Jin, J.; He, J. Effects of Severe Water Stress on Maize Growth Processes in the Field. Sustainability 2019, 11, 5086. [Google Scholar] [CrossRef]
- Finch-Savage, W.E.; Bassel, G.W. Seed Vigour and Crop Establishment: Extending Performance Beyond Adaptation. J. Exp. Bot. 2016, 67, 567–591. [Google Scholar] [CrossRef] [PubMed]
- Carrillo-Reche, J.; Vallejo-Marín, M.; Quilliam, R.S. Quantifying the Potential of ‘on-farm’ Seed Priming to Increase Crop Performance in Developing Countries. A meta-analysis. Agron. Sust. Devel. 2018, 38, 64. [Google Scholar] [CrossRef]
- Lana, M.A.; Vasconcelos, A.C.F.; Gornott, C.; Schaffert, A.; Bonatti, M.; Volk, J.; Graef, F.; Kersebaum, K.C.; Sieber, S. Is Dry Soil Planting an Adaptation Strategy for Maize Cultivation in Semi-Arid Tanzania? Food Sec. 2018, 10, 897–910. [Google Scholar] [CrossRef]
- Ali, Q.; Ashraf, M. Induction of Drought Tolerance in Maize (Zea mays L.) Due to Exogenous Application of Trehalose: Growth, Photosynthesis, Water Relations and Oxidative Defence Mechanism. J. Agron. Crop Sci. 2011, 197, 258–271. [Google Scholar] [CrossRef]
- El-Esawi, M.A.; Alayafi, A.A. Overexpression of rice Rab7 gene improves drought and heat tolerance and increases grain yield in rice (Oryza sativa L.). Genes 2019, 10, 56. [Google Scholar] [CrossRef]
- El-Esawi, M.A.; Al-Ghamdi, A.A.; Ali, H.M.; Ahmad, M. Overexpression of AtWRKY30 Transcription Factor Enhances Heat and Drought Stress Tolerance in Wheat (Triticum aestivum L.). Genes 2019, 10, 163. [Google Scholar] [CrossRef]
- Muscolo, A.; Sidari, M.; Anastasi, U.; Santonoceto, C.; Maggio, A. Effect of PEG-induced drought stress on seed germination of four lentil genotypes. J. Plant Int. 2014, 9, 354–363. [Google Scholar] [CrossRef]
- Thiry, A.A.; Dulanto, P.N.C.; Reynolds, M.P.; Davies, W.J. How can We Improve Crop Genotypes to Increase Stress Resilience and Productivity in a Future Climate? A New Crop Screening Method Based on Productivity and Resistance to Abiotic Stress. J. Exp. Bot. 2016, 67, 5593–5603. [Google Scholar] [CrossRef]
- Noman, A.; Ali, Q.; Naseem, J.; Javed, M.T.; Kanwal, H.; Islam, W.; Aqeel, W.; Khalid, N.; Zafar, S.; Tayyeb, M.; et al. Sugar Beet Extract Acts as a Natural Bio-Stimulant for Physio-Biochemical Attributes in Water Stressed Wheat (Triticum aestivum L.). Acta Physiol. Plant. 2018, 40, 1–17. [Google Scholar] [CrossRef]
- Colla, G.; Rouphael, Y. Biostimulants in Horticulture. Sci. Hort. 2015, 196, 1–2. [Google Scholar] [CrossRef]
- Ali, Q.; Ashraf, M. Exogenously applied glycinebetaine enhances seed and seed oil quality of maize (Zea mays L.) under water deficit conditions. Env. Exp. Bot. 2011, 71, 249–259. [Google Scholar] [CrossRef]
- Jamil, S.; Ali, Q.; Iqbal, M.; Javed, M.T.; Iftikhar, W.; Shahzad, F.; Perveen, R. Modulations in Plant Water Relations and Tissue-Specific Osmoregulation by Foliar-Applied Ascorbic Acid and the Induction of Salt Tolerance in Maize Plants. Braz. J. Bot. 2015, 38, 527–538. [Google Scholar] [CrossRef]
- Ali, Q.; Ali, S.; Iqbal, N.; Javed, M.T.; Rizwan, M.; Khaliq, R.; Shahid, S.; Perveen, R.; Alamri, S.A.; Alyemeni, M.N.; et al. Alpha-tocopherol Fertigation Confers Growth Physio-Biochemical and Qualitative Yield Enhancement in Field Grown Water Deficit Wheat (Triticum aestivum L.). Sci. Rep. 2019, 9, 12924. [Google Scholar] [CrossRef]
- El-Esawi, M.A.; Germaine, K.; Bourke, P.; Malone, R. AFLP analysis of genetic diversity and phylogenetic relationships of Brassica oleracea in Ireland. C. R. Biol. 2016, 339, 163–170. [Google Scholar] [CrossRef]
- El-Esawi, M.A. Genetic diversity and evolution of Brassica genetic resources: From morphology to novel genomic technologies—A review. Plant Genet. Resour. 2017, 15, 388–399. [Google Scholar] [CrossRef]
- Habib, N.; Ali, Q.; Ali, S.; Javed, M.T.; Haider, M.Z.; Perveen, R.; Shahid, M.R.; Rizwan, M.; Abdel-Daim, M.M.; Elkelish, A.; et al. Use of Nitric Oxide and Hydrogen Peroxide for Better Yield of Wheat (Triticum aestivum L.) Under Water Deficit Conditions: Growth, Osmoregulation, and Antioxidative Defense Mechanism. Plants 2020, 9, 285. [Google Scholar] [CrossRef]
- Ali, Q.; Daud, M.K.; Haider, M.Z.; Ali, S.; Rizwan, M.; Aslam, N.; Noman, A.; Iqbal, N.; Shahzad, F.; Deeba, F.; et al. Seed Priming by Sodium Nitroprusside Improves Salt Tolerance in Wheat (Triticum aestivum L.) by Enhancing Physiological and Biochemical Parameters. Plant Physiol. Biochem. 2017, 119, 50–58. [Google Scholar] [CrossRef]
- Du Jardin, P. Plant Biostimulants: Definition, Concept, Main Categories and Regulation. Sci. Hort. 2015, 196, 3–14. [Google Scholar] [CrossRef]
- Anonymous. Biostimulants Market—by Active Ingredients, Applications, Crop Types and Geography—Global Trends and Forecasts to 2018. Markets and Markets. 2013. Available online: http://www.marketsandmarkets.com/Market-Reports/biostimulantmarket-1081.html?gclid=CJfhh9TvorgCFcU5QgodkTMApw (accessed on 12 December 2019).
- Bulgari, R.; Franzoni, G.; Ferrante, A. Biostimulants Application in Horticultural Crops under Abiotic Stress Conditions. Agronomy 2019, 9, 306. [Google Scholar] [CrossRef]
- Habib, N.; Ashraf, M.; Ali, Q.; Perveen, R. Response of Salt Stressed Okra (Abelmoschus esculentus Moench.) Plants to Foliar-Applied Glycine Betaine and Glycine Betaine Containing Sugar Beet Extract. South Afr. J. Bot. 2012, 83, 151–158. [Google Scholar] [CrossRef]
- Narayanan, G.S.; Singaravelan, G.; Saravanan, K.R.; Prakash, M. Effect of Pre Sowing Botanical Seed Treatment on Seed Yield and Quality in Sesame (Sesamum indicum L.) cv. TMV 3. Euro. J. Biotechnol. Biosci. 2016, 4, 38–40. [Google Scholar]
- Latif, H.H.; Mohamed, H.I. Exogenous Applications of Moringa Leaf Extract Effect on Retrotransposon, Ultrastructural and Biochemical Contents of Common Bean Plants Under Environmental Stresses. South Afr. J. Bot. 2016, 106, 221–231. [Google Scholar] [CrossRef]
- Yasmeen, A.; Basra, S.M.A.; Farooq, M.; Rehman, H.U.; Hussain, N.; Athar, H.R. Exogenous Application of Moringa Leaf Extract Modulates the Antioxidant Enzyme System to Improve Wheat Performance Under Saline Conditions. Plant Growth Regul. 2013, 69, 225–233. [Google Scholar] [CrossRef]
- Iqbal, M.A. Improving the Growth and Yield of Canola (Brassica napus L.) With Seed Treatment and Foliar Sprays of Brassica (Brassica naups L.) and Moringa (Moringa olifera L.) Leaf Extracts. Am. Eurasian J. Agric. Environ. Sci. 2014, 14, 1067–1073. [Google Scholar]
- Santaniello, A.; Scartazza, A.; Gresta, F.; Loreti, E.; Biasone, A.; Di Tommaso, D.; Piaggesi, A.; Perata, P. Ascophyllum nodosum Seaweed Extract Alleviates Drought Stress in Arabidopsis by Affecting Photosynthetic Performance and Related Gene Expression. Front. Plant Sci. 2017, 8, 1362. [Google Scholar] [CrossRef]
- Shukla, P.S.; Mantin, E.G.; Adil, M.; Bajpai, S.; Critchley, A.T.; Prithiviraj, B. Ascophyllum nodosum-Based Biostimulants: Sustainable Applications in Agriculture for the Stimulation of Plant Growth, Stress Tolerance, and Disease Management. Front. Plant Sci. 2019, 10, 655. [Google Scholar] [CrossRef]
- Vijikumar, S.; Ramanathan, K.; Devi, B.P. Cuscuta reflexa ROXB—A Wonderful Miracle Plant in Ethnomedicine. Ind. J. Nat. Sci. 2011, 11, 676–683. [Google Scholar]
- Noureen, S.; Noreen, S.; Ghumman, S.A.; Batool, F.; Bukhari, S.N.A. The genus Cuscuta (Convolvolaceac): An Updated Review on Indigenous Uses, Phytochemistry, and Pharmacology. Iran. J. Basic Med. Sci. 2019, 22, 1225–1252. [Google Scholar]
- Singleton, V.L.; Rossi, J.A. Colorimetry of Total Phenolics with Phosphomolybdic-Phosphotungstic Acid Reagents. Am. J. Enol. Vitic. 1965, 16, 144–158. [Google Scholar]
- Sultana, B.; Anwar, F.; Ashraf, M. Effect of Extraction Solvent/Technique on the Antioxidant Activity of Selected Medicinal Plant Extracts. Molecules 2009, 14, 2167–2180. [Google Scholar] [CrossRef] [PubMed]
- Mukherjee, S.P.; Choudhuri, M.A. Implications of Water Stress-Induced Changes in the Levels of Endogenous Ascorbic Acid and Hydrogen Peroxide in Vigna Seedlings. Physiol. Plant. 1983, 58, 166–170. [Google Scholar] [CrossRef]
- Backer, H.; Frank, O.; De Angelis, B.; Feingold, S. Plasma Tocopherol in Man at Various Times After Ingesting Free or Acetylated Tocopherol. Nutr. Rep. Int. 1980, 21, 531–536. [Google Scholar]
- Brand-Williams, W.; Cuvelier, M.E.; Berset, C. Use of a Free-radical Method to Evaluate Antioxidant Activity. LWT Food Sci. Technol. 1995, 28, 25–30. [Google Scholar] [CrossRef]
- Benzie, I.F.; Strain, J.J. The Ferric Reducing Ability of Plasma (FRAP) as a Measure of ‘‘Antioxidant Power’’: The FRAP Assay. Analyt. Biochem. 1996, 239, 70–76. [Google Scholar] [CrossRef]
- Homme, P.M.; Gonalez, B.; Billard, J. Carbohydrate Content, Fructan and Sucrose Enzyme Activities in Roots, Stubble and Leaves of Rye Grass (Lolium perenne L.) as Affected by Source and Sink Modification After Cutting. J. Plant Physiol. 1992, 140, 282–291. [Google Scholar] [CrossRef]
- James, S.C. Analytical Chemistry of Food; Chapman and Hill Printers: London, UK, 1995; p. 23. [Google Scholar]
- Ogan, A.; GuneL, A.; Gencer, Ö.; Enginun, M. Purification of Soluble Proteins of Red Beet Juice Precipitated by Seventy Percent Anunonium Sulfate Saturation. Identification of fraction II protein. Chim. Acta Tur. 1996, 24, 199–202. [Google Scholar]
- Bradford, M.M. A Rapid and Sensitive Method for the Quantitation of Microgram Quantities of Protein Utilizing the Principle of Protein-Dye Binding. Anal. Biochem. 1976, 72, 248–254. [Google Scholar] [CrossRef]
- AOAC. Official Method of Analysis, 15th ed.; Association of Official Analytical Chemist: Washington, DC, USA, 1990; pp. 121–142. [Google Scholar]
- Grieve, C.M.; Grattan, S.R. Rapid assay for the determination of water soluble quaternary ammonium compounds. Plant Soil 1983, 70, 303–307. [Google Scholar] [CrossRef]
- Bates, L.S.; Waldren, R.P.; Teare, I.D. Rapid determination of free proline for water-stress studies. Plant Soil 1973, 39, 205–207. [Google Scholar] [CrossRef]
- Ruan, S.; Xue, Q.; Tylhowska, K.; Murata, N. The Influence of Priming on Germination of Rice (Oryza sativa L.) Seeds and Seedlings Emergence and Performance in Flooded Soils. Seed Sci. Technol. 2002, 30, 61–67. [Google Scholar]
- AOSA [Association of Official Seed Analysis]. Contribution No. 32 to the handbook on seed testing. In Seed Vigor Testing Handbook; Association of Official Seed Analysis: Springfield, MA, USA, 1983. [Google Scholar]
- Ellis, R.A.; Roberts, E.H. The Qualification of Aging and Survival in Orthodox Seeds. Seed Sci. Technol. 1981, 9, 373–409. [Google Scholar]
- Bewley, J.D.; Black, M. Seeds Physiology of Development and Germination; Plenum Press: New York, NY, USA, 1985. [Google Scholar]
- Coolbear, P.; Francis, A.; Grierson, D. The Effect of Low Temperature Pre-sowing Treatment under Germination Performance and Membrane Integrity of Artificially Aged Tomato Seeds. J. Exp. Bot. 1984, 35, 1609–1617. [Google Scholar] [CrossRef]
- Ainouz, I.I.; Filho, J.X.; Filho, E.G. Atividade proteolitica msementes de Vigna sinensis cv. serida Cienc. Cult. Sao Panlo Suppl. 1972, 24, 104. [Google Scholar]
- Lowry, O.H.; Roebrough, N.J.; Randall, R.J.; Farr, A.L. Protein measurement with folin phenol reagent. J. Biol. Chem. 1951, 193, 265–275. [Google Scholar]
- Chrispeel, M.J.; Vaner, K.E. Gibberelic Acid Enhanced Synthesis and Release of Alpha-Amylase and Ribonuclease by Isolated Barley Aleurone Layers. Plant Physiol. 1967, 42, 398–406. [Google Scholar] [CrossRef]
- Peruffo, A.D.B.; Renosto, F.; Pallavicini, C. α-glucosidase From Grape Berries: Partial Purification and Characterization. Planta 1978, 142, 195–201. [Google Scholar] [CrossRef]
- Dawson, R.C.M.; Elliot, D.C.; Elliot, W.H.; Jones, K.M. Data for Biochemical Research; Clarendon Press: London, UK, 1969; p. 484. [Google Scholar]
- Lloyd, J.B.; Whelan, W.J. An Improved Method for Enzymatic Determination of Glucose in the Presence of Maltose. Anal. Biochem. 1969, 30, 467–469. [Google Scholar] [CrossRef]
- Arnon, D.I. Copper Enzymes in Isolated Chloroplasts. Polyphenoloxidase in Beta vulgaris. Plant Physiol. 1949, 24, 1–15. [Google Scholar]
- Kirk, J.T.O.; Allen, R.L. Dependence of Chloroplast Pigment Synthesis on Protein Synthesis: Effect of Actidione. Biochem. Biophys. Res. Commun. 1965, 21, 523–530. [Google Scholar] [CrossRef]
- Cakmak, I.; Horst, W.J. Effect of aluminium on lipid peroxidation, superoxide dismutase, catalase, and peroxidase activities in root tips of soybean (Glycine max). Physiol. Plant 1991, 83, 463–468. [Google Scholar] [CrossRef]
- Velikova, V.; Yordanov, I.; Edreva, A. Oxidative stress and some antioxidant systems in acid rain-treated bean plants: Protective role of exogenous polyamines. Plant Sci. 2000, 151, 59–66. [Google Scholar] [CrossRef]
- Giannopolitis, C.N.; Ries, S.K. Superoxide Dismutases, I. Occurrence in Higher Plants. Plant Physiol. 1977, 59, 309–314. [Google Scholar] [CrossRef] [PubMed]
- Chance, B.; Maehly, A.C. Assay of Catalases and Peroxidases. Methods Enzymol. 1955, 2, 764–775. [Google Scholar]
- Asada, K.; Takahashi, M. Production and Scavenging of Active Oxygenin Photosynthesis; Kyle, D.J., Osmond, C.B., Arntzen, C.J., Eds.; Elsevier: Amsterdam, The Netherlands, 1987; pp. 227–287. [Google Scholar]
- Kalita, P.; Tapan, B.K.; Pal, T.K.; Kalita, R. Estimation of total flavonoids content (TFC) and anti-oxidant activities of methanolic whole plant extract of Biophytum sensitivum Linn. J. Drug Deliv. Ther. 2013, 3, 33–37. [Google Scholar] [CrossRef]
- Julkenen-Titto, R. Phenolic constituents in the leaves of northern willows: Methods for the analysis of certain phenolics. Agric. Food Chem. 1985, 3, 213–217. [Google Scholar] [CrossRef]
- Wolf, B.A. Comprehensive System of Leaf Analyses and Its Use for Diagnosing Crop Nutrient Status. Commun. Soil Sci. Plant Anal. 1982, 13, 1035–1059. [Google Scholar] [CrossRef]
- Bremner, J.M.; Keeney, D.R. Steam Distillation Methods for Determination of Ammonium, Nitrate, and Nitrite. Anal. Chim. Acta 1965, 32, 485–495. [Google Scholar] [CrossRef]
- Van den Berg, L.; Zeng, Y.J. Response of South African Indigenous Grass Species to Drought Stress Induced by Polyethylene Glycol (PEG) 6000. Afr. J. Bot. 2006, 72, 284–286. [Google Scholar] [CrossRef]
- Bajwa, A.A.; Farooq, M. Seed Priming With Sorghum Water Extract and Benzyl Amino Purine Along With Surfactant Improves Germination Metabolism and Early Seedling Growth of Wheat. Arch. Agron. Soil Sci. 2016, 63, 319–329. [Google Scholar] [CrossRef]
- Soleymani, A.; Shahrajabian, M.H. Evaluation Drought Tolerance Indices on the Basis of Physiological Characteristics for Different Genotypes of Barley in Esfahan Region. Int. J. Farm Alli. Sci. 2013, 2, 533–536. [Google Scholar]
- Patane, C.; Saita, A.; Sortino, O. Comparative Effects of Salt and Water Stress on Seed Germination and Early Embryo Growth in Two Cultivars of Sweet Sorghum. J. Agron. Crop Sci. 2013, 199, 30–37. [Google Scholar] [CrossRef]
- Ihl, B.; Jacob, F.; Sembdner, G. Studies on Cuscuta reflexa ROXB. V. The Level of Endogenous Hormones in the Parasite, Cuscuta reflexa, and its Host, Vicia faba L., and a Suggested Role in the Transfer of Nutrients from Host to Parasite. Plant Growth Regul. 1984, 2, 77–90. [Google Scholar] [CrossRef]
- De Jong, F.; Thodey, K.; Lejay, L.V.; Bevan, M.W. Glucose Elevates Nitrate Transporter Protein Levels and Nitrate Transport Activity Independently of its Hexokinase1-Mediated Stimulation of Nitrate Transporter Expression. Plant Physiol. 2014, 164, 308–320. [Google Scholar] [CrossRef]
- O’brien, J.; Vega, A.; Bouguyon, E.; Krouk, G.; Gojon, A.; Coruzzi, G.; Gutiérrez, R. Nitrate Transport, Sensing, and Responses in Plants. Mol. Plant. 2016, 9, 837–856. [Google Scholar] [CrossRef]
- Patade, V.Y.; Bhargava, S.; Suprasanna, P. Halopriming Imparts Tolerance to Salt and PEG Induced Drought Stress in Sugarcane. Agric. Ecosyst. Environ. 2009, 134, 24–28. [Google Scholar] [CrossRef]
- Summart, J.; Thanonkeo, P.; Panichajakul, S.; Prathepha, P.; Mcmanus, M.T. Effect of Salt Stress on Growth, Inorganic Ion and Proline Accumulation in Thai Aromatic Rice, Khao Dawk Mali 105, Callus Culture. Afr. J. Biotechnol. 2010, 9, 145–152. [Google Scholar]
- Anwar, A.; Yu, X.; Li, Y. Seed Priming as a Promising Technique to Improve Growth, Chlorophyll, Photosynthesis and Nutrient Contents in Cucumber Seedlings. Not. Bot. Horti Agrobot. Cluj Napoca 2020, 48, 116–127. [Google Scholar] [CrossRef]
- Taize, L.; Zeiger, E.; Moller, I.M.; Murphy, A. Plant Physiology and Development, 6th ed.; Sinauer Associates Inc.: Sunderland, MA, USA, 2015. [Google Scholar]
- Radwana, A.M.; Alghamdib, H.A.; Kenawya, S.K.M. Effect of Calotropis procera L. Plant Extract on Seeds Germination and the Growth of Microorganisms. Ann. Agric. Sci. 2019, 64, 183–187. [Google Scholar] [CrossRef]
- Irshad, A.; Cheema, Z.A. Influence of Some Plant Water Extracts on the Germination and Seedling Growth of Barnyard Grass (E. crus-galli (L) Beauv). Pak. J. Sci. Ind. Res. 2004, 43, 222–226. [Google Scholar]
- Talukder, M.A.I.; Rahaman, M.; Roy, B.; Saha, K.C. Effects of Herbal Plant Extracts on Germination and Seedling Growth of Some Vegetables. Int. J. Sci. Nat. 2015, 6, 421–425. [Google Scholar]
- Ferreira, P.; Zonetti, P.D.C.; Albrecht, A.J.P.; Rosset, I.G.; Silva, A.F.M.; Albrecht, L.P.; Vieira, A.H.; Paulert, R. Conyza sumatrensis Allelopathy Effect on Bidens pilosa (Asteraceae) Seed Germination. Bot. Sci. 2020, 98, 348–354. [Google Scholar] [CrossRef]
- Rizzardi, M.A.; Neves, R.; Lamb, T.D.; Johann, L.B. Potencial Alelopático Da Cultura Da Canola (Brassica napus L. var. oleifera) Na Supressão De Picão-Preto (Bidens sp.) e Soja. Curr. Agric. Sci. Technol. 2008, 14, 239–248. [Google Scholar] [CrossRef]
- Reik, G.G. Fitotoxicidade e Eficácia de Extratos Aquosos Aplicados no Manejo de Plantas Daninhas em Culturas de Verão. Master’s Thesis, Universidade Federal da Fronteira Sul, Chapecó, Brazil, 2018. [Google Scholar]
- Arshad, M.; Ali, S.; Noman, A.; Ali, Q.; Rizwan, M.; Farid, M.; Irshad, M.K. Phosphorus Amendment Decreased Cadmium (Cd) Uptake and Ameliorates Chlorophyll Contents, Gas Exchange Attributes, Antioxidants, and Mineral Nutrients in Wheat (Triticum aestivum L.) Under Cd Stress. Arch. Agron. Soil Sci. 2015, 62, 533–546. [Google Scholar] [CrossRef]
- Dalal, V.K.; Tripathy, B.C. Water-stress Induced Downsizing of Light-Harvesting Antenna Complex Protects Developing Rice Seedlings from Photo-Oxidative Damage. Sci. Rep. 2018, 8, 5955. [Google Scholar] [CrossRef]
- Treutter, D. Significance of Flavonoids in Plant Resistance and Enhancement of Their Biosynthesis. Plant Biol. 2005, 7, 581–591. [Google Scholar] [CrossRef]
- El-Esawi, M.A.; Al-Ghamdi, A.A.; Ali, H.M.; Alayafi, A.A. Azospirillum lipoferum FK1 confers improved salt tolerance in chickpea (Cicer arietinum L.) by modulating osmolytes, antioxidant machinery and stress-related genes expression. Environ. Exp. Bot. 2019, 159, 55–65. [Google Scholar] [CrossRef]
- El-Esawi, M.A.; Elkelish, A.; Elansary, H.O.; Ali, H.M.; Elshikh, M.; Witczak, J.; Ahmad, M. Genetic transformation and hairy root induction enhance the antioxidant potential of Lactuca serriola L. Oxid. Med. Cell. Longev. 2017, 2017, 5604746. [Google Scholar] [CrossRef]
- El-Esawi, M.A.; Alaraidh, I.A.; Alsahli, A.A.; Alzahrani, S.M.; Ali, H.M.; Alayafi, A.A.; Ahmad, M. Serratia liquefaciens KM4 Improves Salt Stress Tolerance in Maize by Regulating Redox Potential, Ion Homeostasis, Leaf Gas Exchange and Stress-Related Gene Expression. Int. J. Mol. Sci. 2018, 19, 3310. [Google Scholar] [CrossRef]
- Elkelish, A.A.; Soliman, M.H.; Alhaithloul, H.A.; El-Esawi, M.A. Selenium protects wheat seedlings against salt stress-mediated oxidative damage by up-regulating antioxidants and osmolytes metabolism. Plant Physiol. Biochem. 2019, 137, 144–153. [Google Scholar] [CrossRef] [PubMed]
- El-Esawi, M.A.; Alaraidh, I.A.; Alsahli, A.A.; Ali, H.M.; Alayafi, A.A.; Witczak, J.; Ahmad, M. Genetic variation and alleviation of salinity stress in barley (Hordeum vulgare L.). Molecules 2018, 23, 2488. [Google Scholar] [CrossRef]
- El-Esawi, M.A.; Al-Ghamdi, A.A.; Ali, H.M.; Alayafi, A.A.; Witczak, J.; Ahmad, M. Analysis of Genetic Variation and Enhancement of Salt Tolerance in French Pea (Pisum Sativum, L.). Int. J. Mol. Sci. 2018, 19, 2433. [Google Scholar] [CrossRef] [PubMed]
- Vwioko, E.; Adinkwu, O.; El-Esawi, M.A. Comparative Physiological, Biochemical and Genetic Responses to Prolonged Waterlogging Stress in Okra and Maize Given Exogenous Ethylene Priming. Front. Physiol. 2017, 8, 632. [Google Scholar] [CrossRef]
- Ge, T.D.; Sun, N.B.; Bai, L.P.; Tong, C.L.; Sui, F.G. Effect of Drought Stress on Phosphorous and Potassium Uptake Dynamics in Summer Maize (Zea mays) Throughout the Growth Cycle. Acta Physiol. Plant. 2012, 34, 2179–2186. [Google Scholar] [CrossRef]




| Biochemical/Nutrient | Concentration |
|---|---|
| Organic | |
| Total Phenolics | 9.08 mg GAE mL−1 extract |
| Total Flavonoids | 11.44 mg QE mL−1 extract |
| Ascorbic acid | 43.42 µg mL−1 extract |
| Carotenoids | 7.26 µg mL−1 |
| Tocopherols | 20 µg mL−1 |
| DPPH activity | IC50 168.6 µg mL−1 |
| FRAP (ferric reducing antioxidant power) | 40.5 mg GAE mL−1 |
| Sugar | 5.0% w/v |
| Protein | 11.08% w/v |
| Moisture | 76.0% v/v |
| Fat | 2.4% w/v |
| Fiber | 1.081% w/v |
| Glycine betaine | 1.5 mmol L−1 w/v |
| Proline | 0.536 mmol L−1 w/v |
| Inorganic | |
| K | 56 mg mL−1 |
| Ca | 40 mg mL−1 |
| S | 0.142 mg mL−1 |
| Fe | 3 mg mL−1 |
| P | 3.21 mg mL−1 |
| Cl | 0.375 mg mL−1 |
| Na | 2.5 mg mL−1 |
| Al | 12.3 mg 100 mL−1 |
| Zn | 2.3 mg 100 mL−1 |
| Cu | 0.812 mg 100 mL−1 |
| Pb | 0.45 mg 100 mL−1 |
| Co | 0.011 mg L−1 |
| N | 93.6 mg mL−1 |
| As | 0.0025 mg 100 mL−1 |
| Ni | 0.356 mg 100 mL−1 |
| Mn | 1.763 mg 100 m l−1 |
| Mg | 3.75 mg m L−1 |
| Cd | 0.0048 mg L−1 |
| Cr | 0.0453 mg 100 mL−1 |
| G% | E50 (days) | MET (days) | CUE | GE | GI | |||||||
|---|---|---|---|---|---|---|---|---|---|---|---|---|
| Extract Level | Non- Stressed | Water- Stressed | Non- Stressed | Water- Stressed | Non- Stressed | Water- Stressed | Non- Stressed | Water- Stressed | Non- Stressed | Water- Stressed | Non- Stressed | Water- Stressed |
| 0% | 90.0 ± 0.58 b | 71.70 ± 1.67 c | 1.47 ± 0.02 ab | 1.86 ± 0.02 b | 3.04 ± 0.02 c | 3.94 ± 0.02 b | 0.38 ± 0.03 e | 0.25 ± 0.006 c | 0.90 ± 0.006 c | 0.75 ± 0.01 c | 8.39 ± 0.06 d | 6.65 ± 0.09 c |
| 10% | 95.3 ± 0.33 a | 81.67 ± 2.19 b | 1.36 ± 0.01 c | 1.69 ± 0.02 c | 2.90 ± 0.01 d | 3.80 ± 0.05 c | 0.42 ± 0.03 b | 0.29 ± 0.003 b | 0.95 ± 0.006 b | 0.80 ± 0.02 b | 10.31 ± 0.25 b | 7.88 ± 0.09 a |
| 20% | 95.3 ± 0.33 a | 86.33 ± 2.03 a | 1.23 ± 0.02 d | 1.61 ± 0.01 d | 2.77 ± 0.04 e | 3.24 ± 0.02 e | 0.44 ± 0.06 a | 0.35 ± 0.006 a | 1.00 ± 0.000 a | 0.85 ± 0.01 a | 12.17 ± 0.30 a | 7.85 ± 0.02 a |
| 30% | 88.3 ± 1.67 b | 83.00 ± 0.58 ab | 1.33 ± 0.02 c | 1.66 ± 0.02 e | 2.82 ± 0.02 e | 3.65 ± 0.07 d | 0.41 ± 0.07 b | 0.29 ± 0.009 b | 1.00 ± 0.000 a | 0.77 ± 0.02 c | 9.33 ± 0.33 c | 7.25 ± 0.06 b |
| 40% | 80.3 ± 2.91 c | 70.00 ± 2.31 c | 1.46 ± 0.03 b | 1.84 ± 0.02 b | 3.15 ± 0.02 b | 3.99 ± 0.02 b | 0.37 ± 0.04 c | 0.25 ± 0.004 c | 0.77 ± 0.02 d | 0.69 ± 0.02 d | 8.17 ± 0.17 de | 6.76 ± 0.04 c |
| 50% | 76.3 ± 0.88 d | 67.67 ± 2.03 d | 1.52 ± 0.02 a | 1.95 ± 0.02 a | 3.25 ± 0.04 a | 4.10 ± 0.04 a | 0.37 ± 0.03 c | 0.24 ± 0.003 c | 0.71 ± 0.02 e | 0.65 ± 0.01 d | 7.96 ± 0.08 e | 5.96 ± 0.04 d |
| LSD 5% | 3.47 | 0.042 | 0.07 | 0.011 | 0.028 | 0.34 | ||||||
| RL (cm) | SFW (g plant−1) | RFW (g plant−1) | SDW (g plant−1) | |||||
| Extract Level | Non- Stressed | Water- Stressed | Non- Stressed | Water- Stressed | Non- Stressed | Water- Stressed | Non- Stressed | Water- Stressed |
| 0% | 13.90 ± 1.82 b | 10.33 ± 0.67 b | 33.15 ± 1.15 b | 23.41 ± 0.65 bc | 8.51 ± 0.35 a | 5.41 ± 0.21 b | 13.51 ± 0.37 b | 8.10 ± 0.35 c |
| 10% | 16.33 ± 1.17 a | 12.83 ± 0.60 a | 38.50 ± 0.95 a | 28.35 ± 0.75 a | 9.45 ± 0.27 a | 6.35 ± 0.23 a | 15.68 ± 0.25 a | 11.25 ± 0.19 a |
| 20% | 15.33 ± 0.88 ab | 13.53 ± 0.79 a | 38.51 ± 1.04 a | 28.11 ± 0.81 a | 9.21 ± 0.21 a | 6.75 ± 0.21 a | 15.75 ± 0.19 a | 10.85 ± 0.18 b |
| 30% | 13.83 ± 0.60 b | 12.00 ± 0.58 ab | 33.50 ± 0.85 b | 27.11 ± 0.65 ab | 8.55 ± 0.34 a | 6.45 ± 0.19 a | 15.62 ± 0.24 a | 10.80 ± 0.21 b |
| 40% | 11.13 ± 0.68 c | 10.10 ± 0.87 b | 31.11 ± 0.75 bc | 20.32 ± 0.56 cd | 6.75 ± 0.27 b | 5.10 ± 0.21 b | 12.44 ± 0.23 b | 8.55 ± 0.18 c |
| 50% | 11.18 ± 1.30 b | 10.07 ± 1.09 b | 29.12 ± 0.69 c | 18.75 ± 0.45 d | 6.35 ± 0.27 b | 4.89 ± 0.18 b | 10.35 ± 0.17 c | 7.21 ± 0.17 d |
| LSD 5% | 2.03 | 3.15 | 1.04 | 1.30 | ||||
| RDW (g plant−1) | 100 GW (g) | GY (g plant−1) | ||||||
| Extract Level | Non- Stressed | Water- Stressed | Non- Stressed | Water- Stressed | Non- Stressed | Water- Stressed | ||
| 0% | 2.35 ± 0.11 b | 1.95 ± 0.11 b | 5.33 ± 0.04 b | 3.53 ± 0.04 b | 13.33 ± 0.20 b | 7.33 ± 0.04 b | ||
| 10% | 3.75 ± 0.13 a | 2.35 ± 0.10 a | 5.76 ± 0.07 a | 4.13 ± 0.03 a | 14.95 ± 0.01 a | 8.36 ± 0.07 a | ||
| 20% | 3.65 ± 0.14 a | 2.25 ± 0.09 a | 5.81 ± 0.04 a | 4.23 ± 0.03 a | 15.33 ± 0.02 a | 8.60 ± 0.04 a | ||
| 30% | 3.61 ± 0.11 a | 2.20 ± 0.11 ab | 5.63 ± 0.02 a | 3.99 ± 0.04 a | 14.90 ± 0.01 a | 8.13 ± 0.02 b | ||
| 40% | 2.15 ± 0.10 bc | 1.91 ± 0.11 c | 4.55 ± 0.04 c | 3.01 ± 0.05 c | 12.25 ± 0.02 c | 6.65 ± 0.04 c | ||
| 50% | 1.95 ± 0.11 c | 1.81 ± 0.09 c | 4.11 ± 0.03 d | 2.76 ± 0.08 c | 11.65 ± 0.01 d | 5.85 ± 0.03 c | ||
| LSD 5% | 0.25 | 0.35 | 0.63 | |||||
| Chl. a (mg g−1 FW) | Chl. b (mg g−1 FW) | Chl. a/b | T. Chl. (mg g−1 FW) | |||||
| Extract Levels | Non-Stressed | Water-Stressed | Non-Stressed | Water-Stressed | Non-Stressed | Water-Stressed | Non-Stressed | Water-Stressed |
| 0% | 1.78 ± 0.08 ab | 1.48 ± 0.10 b | 0.73 ± 0.08 bc | 0.55 ± 0.03 b | 2.44 ± 0.14 b | 2.69 ± 0.28 ab | 2.51 ± 0.02 bc | 2.03 ± 0.07 c |
| 10% | 1.90 ± 0.07 ab | 1.68 ± 0.06 a | 0.80 ± 0.03 ab | 0.66 ± 0.03 a | 2.38 ± 0.13 bc | 2.55 ± 0.14 b | 2.70 ± 0.10 ab | 2.34 ± 0.04 ab |
| 20% | 1.93 ± 0.11 a | 1.81 ± 0.09 a | 0.85 ± 0.04 a | 0.68 ± 0.10 a | 2.27 ± 0.18 c | 2.66 ± 0.59 ab | 2.78 ± 0.16 a | 2.49 ± 0.05 a |
| 30% | 1.89 ± 0.08 ab | 1.59 ± 0.10 b | 0.77 ± 0.02 abc | 0.67 ± 0.03 ab | 2.45 ± 0.16 b | 2.37 ± 0.15 c | 2.66 ± 0.12 ab | 2.26 ± 0.15 b |
| 40% | 1.85 ± 0.15 ab | 1.54 ± 0.04 b | 0.70 ± 0.05 bc | 0.61 ± 0.01 ab | 2.64 ± 0.09 a | 2.52 ± 0.12 bc | 2.56 ± 0.16 bc | 2.15 ± 0.08 bc |
| 50% | 1.72 ± 0.06 b | 1.57 ± 0.07 b | 0.69 ± 0.04 c | 0.58 ± 0.05 ab | 2.49 ± 0.57 ab | 2.71 ± 0.23 a | 2.41 ± 0.11 c | 2.25 ± 0.14 b |
| LSD 5% | 0.28 | 0.10 | 0.15 | 0.21 | ||||
| Car. (mg g−1 FW) | LRWC (%) | MDA (nmol g−1 FW) | H2 O2 (µmol g−1 FW) | |||||
| Extract Levels | Non-Stressed | Water-Stressed | Non-Stressed | Water-Stressed | Non-Stressed | Water-Stressed | Non-Stressed | Water-Stressed |
| 0% | 0.061 ± 0.64 c | 0.080 ± 0.64 b | 82 ± 1.41 b | 68 ± 1.14 b | 23.0 ± 0.58 a | 44.7 ± 1.76 b | 2.03 ± 0.12 a | 5.61 ± 0.29 b |
| 10% | 0.072 ± 0.02 ab | 0.093 ± 0.02 e | 85 ± 1.81 a | 74 ± 2.03 a | 22.0 ± 1.73 a | 34.0 ± 2.65 c | 1.99 ± 0.05 a | 4.10 ± 0.21 c |
| 20% | 0.075 ± 0.02 a | 0.094 ± 0.02 e | 85 ± 2.04 a | 75 ± 1.23 a | 23.0 ± 0.58 a | 32.8 ± 4.69 c | 1.96 ± 0.10 a | 4.07 ± 0.19 c |
| 30% | 0.071 ± 0.01 abc | 0.087 ± 0.04 ab | 81 ± 1.02 b | 65 ± 1.41 c | 24.7 ± 3.18 a | 36.1 ± 3.18 c | 1.95 ± 0.03 a | 3.98 ± 0.18 c |
| 40% | 0.065 ± 0.02 abc | 0.081 ± 0.05 b | 76 ± 1.44 c | 63 ± 1.15 cd | 25.3 ± 1.76 a | 48.4 ± 5.91 a | 2.06 ± 0.17 a | 5.79 ± 0.19 a |
| 50% | 0.062 ± 0.05 bc | 0.079 ± 0.05 b | 68 ± 1.03 d | 62 ± 1.35 d | 24.5 ± 0.78 a | 49.3 ± 4.09 a | 2.08 ± 0.12 a | 5.87 ± 0.12 a |
| LSD 5% | 0.01 | 2.61 | 4.10 | 0.15 | ||||
| S K (mg g−1 DW) | R K (mg g−1 DW) | S Ca (mg g−1 DW) | R Ca (mg g−1 DW) | S P (mg g−1 DW) | R P (mg g−1 DW) | |||||||
| Extract Level | Non- Stressed | Water- Stressed | Non- Stressed | Water- Stressed | Non- Stressed | Water- Stressed | Non- Stressed | Water- Stressed | Non- Stressed | Water- Stressed | Non- Stressed | Water- Stressed |
| 0% | 36.30 ± 1.56 bc | 27.50 ± 1.44 c | 33.65 ± 1.88 b | 22.90 ± 1.96 b | 7.67 ± o.88 b | 5.33 ± 0.29 b | 3.46 ± 0.37 b | 2.01 ± 0.02 b | 2.40 ± 0.05 c | 1.57 ± 0.02 b | 2.50 ± 0.04 c | 1.36 ± 0.02 c |
| 10% | 40.10 ± 1.67 a | 32.50 ± 2.02 a | 36.70 ± 2.19 a | 27.85 ± 1.53 a | 8.34 ± 0.38 a | 6.33 ± 0.39 a | 3.91 ± 0.12 a | 2.52 ± 0.22 a | 2.71 ± 0.0 a | 1.95 ± 0.04 a | 2.71 ± 0.01 a | 1.65 ± 0.03 a |
| 20% | 39.50 ± 0.87 ab | 31.60 ± 2.08 ab | 37.15 ± 0.66 a | 26.34 ± 1.25 a | 8.48 ± 0.21 a | 6.29 ± 0.27 a | 4.07 ± 0.48 a | 2.55 ± 0.19 a | 2.60 ± 0.03 b | 1.91 ± 0.02 a | 2.60 ± 0.05 b | 1.71 ± 0.01 a |
| 30% | 41.00 ± 1.16 a | 31.00 ± 1.73 bc | 37.50 ± 2.02 a | 26.03 ± 2.76 a | 8.22 ± 0.13 a | 6.11 ± 0.16 a | 3.90 ± 0.21 a | 2.51 ± 0.12 a | 2.72 ± 0.01 a | 1.87 ± 0.01 a | 2.72 ± 0.01 a | 1.56 ± 0.02 b |
| 40% | 33.05 ± 0.78 c | 24.00 ± 2.31 bc | 30.45 ± 1.76 c | 20.70 ± 0.81 bc | 6.74 ± 0.14 c | 5.14 ± 0.42 b | 3.32 ± 0.15 b | 1.97 ± 0.15 b | 2.31 ± 0.04 cd | 1.60 ± 0.12 b | 2.51 ± 0.02 c | 1.30 ± 0.01 c |
| 50% | 32.40 ± 1.21 c | 23.25 ± 1.31 c | 29.40 ± 0.35 c | 19.90 ± 2.78 c | 6.27 ± 0.35 c | 4.90 ± 0.36 b | 3.27 ± 0.10 b | 1.85 ± 0.10 b | 2.14 ± 0.03 d | 1.40 ± 0.09 c | 2.44 ± 0.18 c | 1.20 ± 0.00 d |
| LSD 5% | 3.26 | 2.90 | 0.78 | 0.25 | 0.10 | 0.07 | ||||||
| S N (mg g−1 DW) | R N (mg g−1 DW) | S Mg (mg g−1 DW) | R Mg (mg g−1 DW) | S Fe (mg 100 g−1 DW) | R Fe (mg 100 g−1 DW) | |||||||
| Extract Level | Non- Stressed | Water- Stressed | Non- Stressed | Water- Stressed | Non- Stressed | Water- Stressed | Non- Stressed | Water- Stressed | Non- Stressed | Water- Stressed | Non- Stressed | Water- Stressed |
| 0% | 45.30 ± 1.56 c | 29.50 ± 1.44 c | 33.65 ± 1.88 bc | 25.90 ± 1.96 c | 3.13 ± 0.17 b | 1.71 ± 0.09 b | 2.37 ± 0.17 b | 1.13 ± 0.09 bc | 32.00 ± 0.85 d | 19.00 ± 0.35 d | 26.25 ± 0.38 c | 14.50 ± 0.25 c |
| 10% | 48.10 ± 1.67 ab | 37.50 ± 2.02 a | 37.66 ± 2.19 a | 33.95 ± 1.53 a | 3.35 ± 0.33 a | 1.94 ± 0.05 a | 2.92 ± 0.08 a | 1.48 ± 0.07 a | 42.50 ± 1.35 a | 25.43 ± 0.47 bb | 33.00 ± 0.58 a | 20.00 ± 0.33 a |
| 20% | 49.50 ± 0.87 a | 38.60 ± 2.08 a | 37.15 ± 0.66 a | 34.34 ± 1.25 a | 3.41 ± 0.17 a | 1.98 ± 0.07 a | 2.97 ± 0.17 a | 1.44 ± 0.05 a | 39.17 ± 0.95 b | 28.00 ± 0.53 a | 31.17 ± 0.78 ab | 21.50 ± 0.35 a |
| 30% | 46.00 ± 1.16 b | 35.00 ± 1.73 b | 35.50 ± 2.02 b | 31.03 ± 2.76 b | 3.29 ± 0.08 a | 1.72 ± 0.07 b | 2.47 ± 0.33 b | 1.30 ± 0.03 ab | 35.00 ± 0.63 c | 22.00 ± 0.27 c | 29.25 ± 0.53 b | 18.43 ± 0.58 b |
| 40% | 37.95 ± 0.78 d | 27.00 ± 2.31 d | 32.45 ± 1.76 c | 25.10 ± 0.81 d | 2.42 ± 0.15 c | 1.60 ± 0.03 bc | 2.02 ± 0.15 c | 1.08 ± 0.03 bc | 24.00 ± 1.01 e | 18.00 ± 0.49 d | 19.73 ± 0.45 d | 11.50 ± 0.41 d |
| 50% | 34.40 ± 1.21 e | 24.25 ± 1.31 e | 32.40 ± 0.35 c | 21.99 ± 2.78 d | 2.37 ± 0.17 c | 1.47 ± 0.03 c | 1.95 ± 0.17 c | 1.02 ± 0.07 c | 21.83 ± 0.98 e | 17.00 ± 0.37 d | 18.83 ± 0.35 d | 10.50 ± 0.28 d |
| LSD 5% | 2.25 | 2.10 | 0.21 | 0.25 | 2.50 | 2.15 | ||||||
© 2020 by the authors. Licensee MDPI, Basel, Switzerland. This article is an open access article distributed under the terms and conditions of the Creative Commons Attribution (CC BY) license (http://creativecommons.org/licenses/by/4.0/).
Share and Cite
Ali, Q.; Perveen, R.; El-Esawi, M.A.; Ali, S.; Hussain, S.M.; Amber, M.; Iqbal, N.; Rizwan, M.; Alyemeni, M.N.; El-Serehy, H.A.; et al. Low Doses of Cuscuta reflexa Extract Act as Natural Biostimulants to Improve the Germination Vigor, Growth, and Grain Yield of Wheat Grown under Water Stress: Photosynthetic Pigments, Antioxidative Defense Mechanisms, and Nutrient Acquisition. Biomolecules 2020, 10, 1212. https://doi.org/10.3390/biom10091212
Ali Q, Perveen R, El-Esawi MA, Ali S, Hussain SM, Amber M, Iqbal N, Rizwan M, Alyemeni MN, El-Serehy HA, et al. Low Doses of Cuscuta reflexa Extract Act as Natural Biostimulants to Improve the Germination Vigor, Growth, and Grain Yield of Wheat Grown under Water Stress: Photosynthetic Pigments, Antioxidative Defense Mechanisms, and Nutrient Acquisition. Biomolecules. 2020; 10(9):1212. https://doi.org/10.3390/biom10091212
Chicago/Turabian StyleAli, Qasim, Rashida Perveen, Mohamed A. El-Esawi, Shafaqat Ali, Syed Makhdoom Hussain, Maira Amber, Naeem Iqbal, Muhammad Rizwan, Mohammed Nasser Alyemeni, Hamed A. El-Serehy, and et al. 2020. "Low Doses of Cuscuta reflexa Extract Act as Natural Biostimulants to Improve the Germination Vigor, Growth, and Grain Yield of Wheat Grown under Water Stress: Photosynthetic Pigments, Antioxidative Defense Mechanisms, and Nutrient Acquisition" Biomolecules 10, no. 9: 1212. https://doi.org/10.3390/biom10091212
APA StyleAli, Q., Perveen, R., El-Esawi, M. A., Ali, S., Hussain, S. M., Amber, M., Iqbal, N., Rizwan, M., Alyemeni, M. N., El-Serehy, H. A., Al-Misned, F. A., & Ahmad, P. (2020). Low Doses of Cuscuta reflexa Extract Act as Natural Biostimulants to Improve the Germination Vigor, Growth, and Grain Yield of Wheat Grown under Water Stress: Photosynthetic Pigments, Antioxidative Defense Mechanisms, and Nutrient Acquisition. Biomolecules, 10(9), 1212. https://doi.org/10.3390/biom10091212

