Alginate Gel Reinforcement with Chitin Nanowhiskers Modulates Rheological Properties and Drug Release Profile
Abstract
:1. Introduction
2. Materials and Methods
2.1. Materials
2.2. Preparation of ALG-CNW Hydrogels
2.3. Isolation of ALG-CNW Microgels
2.4. General Methods
2.5. Tetracycline Release Kinetics
3. Results and Discussion
3.1. Preparation of ALG-CNW Hydrogels
3.2. Structure and Morphology of Hydrogels
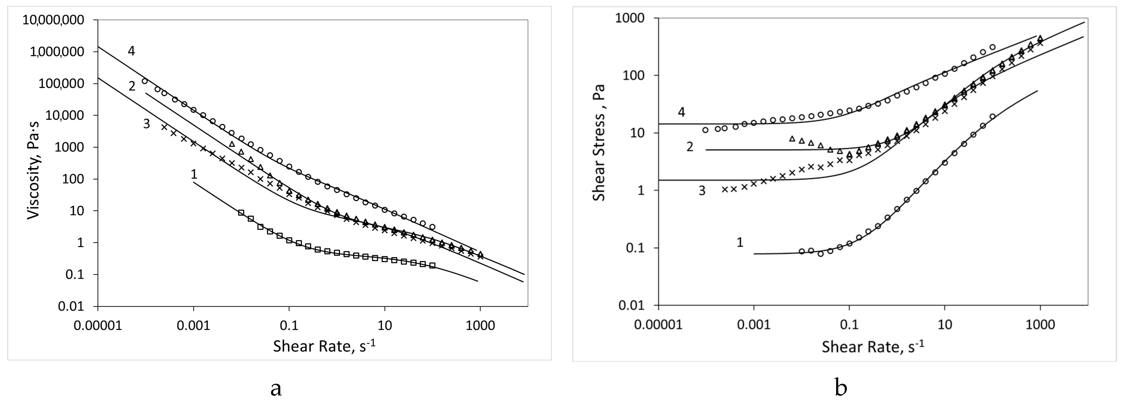
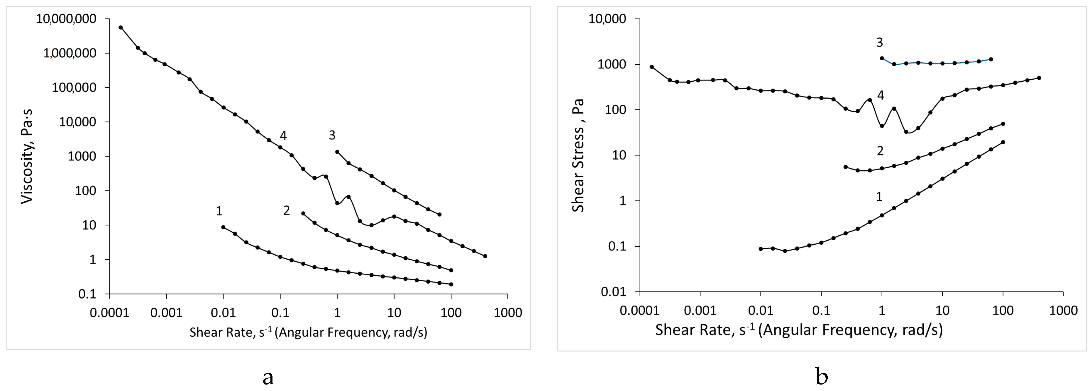
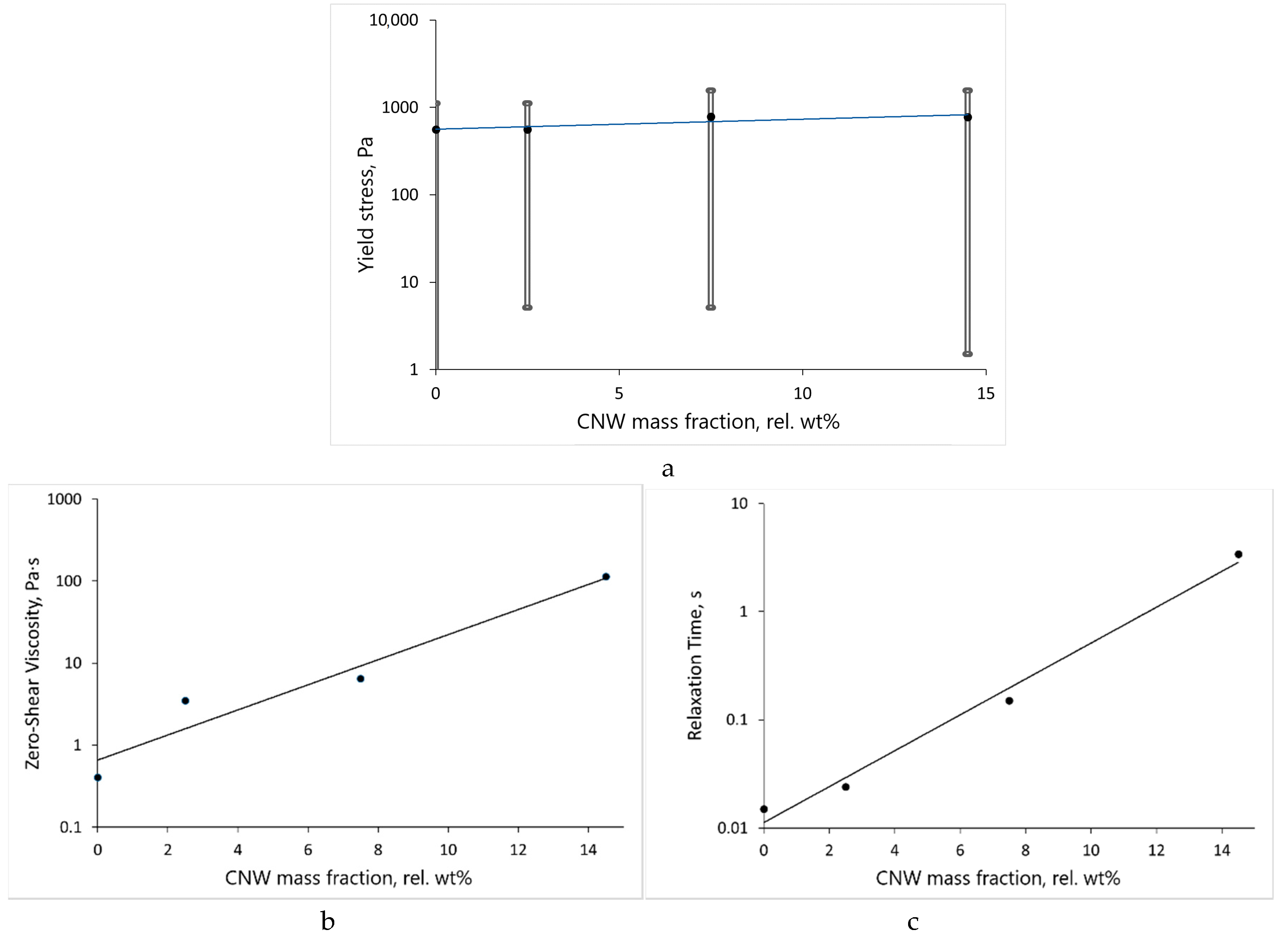
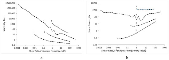
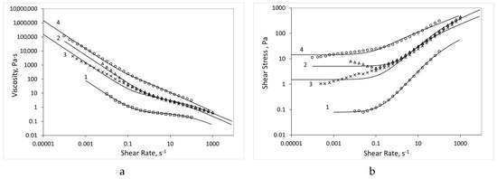
3.3. Rheological Properties of Hydrogels
3.4. Release of Tetracycline from ALG-CNW Hydrogels
4. Conclusions
Author Contributions
Funding
Conflicts of Interest
References
- Coviello, T.; Matricardi, P.; Marianecci, C.; Alhaique, F. Polysaccharide hydrogels for modified release formulations. J. Control. Release 2007, 119, 5–24. [Google Scholar] [CrossRef] [PubMed]
- Dai, T.; Tanaka, M.; Huang, Y.Y.; Hamblin, M.R. Chitosan preparations for wounds and burns: Antimicrobial and wound-healing effects. Expert Rev. Anti-Infect. Ther. 2011, 9, 857–879. [Google Scholar] [CrossRef] [PubMed]
- Paul, W.; Sharma, C.P. Chitosan and alginate wound dressings: A short review. Trends Biomater. Artif. Organs 2004, 18, 18–23. [Google Scholar]
- Senni, K.; Pereira, J.; Gueniche, F.; Delbarre-Ladrat, C.; Sinquin, C.; Ratiskol, J.; Godeau, G.; Fischer, A.M.; Helley, D.; Colliec-Jouault, S. Marine polysaccharides: A source of bioactive molecules for cell therapy and tissue engineering. Mar. Drugs 2011, 9, 1664–1681. [Google Scholar] [CrossRef] [PubMed]
- Kiroshka, V.V.; Petrova, V.A.; Chernyakov, D.D.; Bozhkova, Y.O.; Kiroshka, K.V.; Baklagina, Y.G.; Romanov, D.P.; Kremnev, R.V.; Skorik, Y.A. Influence of chitosan-chitin nanofiber composites on cytoskeleton structure and the proliferation of rat bone marrow stromal cells. J. Mater. Sci. Mater. Med. 2017, 28, 21. [Google Scholar] [CrossRef] [PubMed]
- Liu, Z.; Jiao, Y.; Wang, Y.; Zhou, C.; Zhang, Z. Polysaccharides-based nanoparticles as drug delivery systems. Adv. Drug Deliv. Rev. 2008, 60, 1650–1662. [Google Scholar] [CrossRef] [PubMed]
- Wu, H.; Williams, G.R.; Wu, J.; Wu, J.; Niu, S.; Li, H.; Wang, H.; Zhu, L. Regenerated chitin fibers reinforced with bacterial cellulose nanocrystals as suture biomaterials. Carbohydr. Polym. 2018, 180, 304–313. [Google Scholar] [CrossRef]
- Venkatesan, J.; Bhatnagar, I.; Manivasagan, P.; Kang, K.H.; Kim, S.K. Alginate composites for bone tissue engineering: A review. Int. J. Biol. Macromol. 2015, 72, 269–281. [Google Scholar] [CrossRef]
- Tønnesen, H.H.; Karlsen, J. Alginate in drug delivery systems. Drug Dev. Ind. Pharm. 2002, 28, 621–630. [Google Scholar] [CrossRef]
- Chávarri, M.; Marañón, I.; Ares, R.; Ibáñez, F.C.; Marzo, F.; del Carmen Villarán, M. Microencapsulation of a probiotic and prebiotic in alginate-chitosan capsules improves survival in simulated gastro-intestinal conditions. Int. J. Food Microbiol. 2010, 142, 185–189. [Google Scholar] [CrossRef]
- Ghidoni, I.; Chlapanidas, T.; Bucco, M.; Crovato, F.; Marazzi, M.; Vigo, D.; Torre, M.L.; Faustini, M. Alginate cell encapsulation: New advances in reproduction and cartilage regenerative medicine. Cytotechnology 2008, 58, 49–56. [Google Scholar] [CrossRef]
- Draget, K.; Bræk, G.S.; Smidsrød, O. Alginic acid gels: The effect of alginate chemical composition and molecular weight. Carbohydr. Polym. 1994, 25, 31–38. [Google Scholar] [CrossRef]
- Grasdalen, H.; Larsen, B.; Smidsrød, O. A PMR study of the composition and sequence of uronate residues in alginates. Carbohydr. Res. 1979, 68, 23–31. [Google Scholar] [CrossRef]
- Shchipunov, Y.A.; Greben, V.; Postnova, I. Preparation of calcium alginate gels by electrodialysis. Russ. J. Phys. Chem. A 2000, 74, 1168–1171. [Google Scholar]
- Shchipunov, Y.A.; Koneva, E.; Postnova, I. Homogeneous alginate gels: Phase behavior and rheological properties. Polym. Sci. Ser. A 2002, 44, 758–766. [Google Scholar]
- Sæther, H.V.; Holme, H.K.; Maurstad, G.; Smidsrød, O.; Stokke, B.T. Polyelectrolyte complex formation using alginate and chitosan. Carbohydr. Polym. 2008, 74, 813–821. [Google Scholar] [CrossRef]
- Tam, S.; Bilodeau, S.; Dusseault, J.; Langlois, G.; Hallé, J.P.; Yahia, L. Biocompatibility and physicochemical characteristics of alginate–polycation microcapsules. Acta Biomater. 2011, 7, 1683–1692. [Google Scholar] [CrossRef]
- Etrych, T.; Leclercq, L.; Boustta, M.; Vert, M. Polyelectrolyte complex formation and stability when mixing polyanions and polycations in salted media: A model study related to the case of body fluids. Eur. J. Pharm. Sci. 2005, 25, 281–288. [Google Scholar] [CrossRef]
- Dragan, E.S. Design and applications of interpenetrating polymer network hydrogels. A review. Chem. Eng. J. 2014, 243, 572–590. [Google Scholar] [CrossRef]
- Kabanov, V.A. Polyelectrolyte complexes in solution and in bulk. Russ. Chem. Rev. 2005, 74, 3–20. [Google Scholar] [CrossRef]
- Khutoryanskiy, V.V.; Staikos, G. Hydrogen-Bonded Interpolymer Complexes: Formation, Structure and Applications; World Scientific: Singapore, 2009. [Google Scholar]
- Sarmento, B.; Ribeiro, A.; Veiga, F.; Sampaio, P.; Neufeld, R.; Ferreira, D. Alginate/chitosan nanoparticles are effective for oral insulin delivery. Pharm. Res. 2007, 24, 2198–2206. [Google Scholar] [CrossRef]
- George, M.; Abraham, T.E. Polyionic hydrocolloids for the intestinal delivery of protein drugs: Alginate and chitosan—A review. J. Control. Release 2006, 114, 1–14. [Google Scholar] [CrossRef]
- Cook, M.T.; Tzortzis, G.; Khutoryanskiy, V.V.; Charalampopoulos, D. Layer-by-layer coating of alginate matrices with chitosan–alginate for the improved survival and targeted delivery of probiotic bacteria after oral administration. J. Mater. Chem. B 2013, 1, 52–60. [Google Scholar] [CrossRef]
- Chang, Y.H.; Huang, C.F.; Hsu, W.J.; Chang, F.C. Removal of hg2+ from aqueous solution using alginate gel containing chitosan. J. Appl. Polym. Ccience 2007, 104, 2896–2905. [Google Scholar] [CrossRef]
- Dai, Q.; Kadla, J.F. Effect of nanofillers on carboxymethyl cellulose/hydroxyethyl cellulose hydrogels. J. Appl. Polym. Sci. 2009, 114, 1664–1669. [Google Scholar] [CrossRef]
- Liu, M.; Huang, J.; Luo, B.; Zhou, C. Tough and highly stretchable polyacrylamide nanocomposite hydrogels with chitin nanocrystals. Int. J. Biol. Macromol. 2015, 78, 23–31. [Google Scholar] [CrossRef]
- Yang, X.; Bakaic, E.; Hoare, T.; Cranston, E.D. Injectable polysaccharide hydrogels reinforced with cellulose nanocrystals: Morphology, rheology, degradation, and cytotoxicity. Biomacromolecules 2013, 14, 4447–4455. [Google Scholar] [CrossRef]
- Zhang, X.; Huang, J.; Chang, P.R.; Li, J.; Chen, Y.; Wang, D.; Yu, J.; Chen, J. Structure and properties of polysaccharide nanocrystal-doped supramolecular hydrogels based on cyclodextrin inclusion. Polymer 2010, 51, 4398–4407. [Google Scholar] [CrossRef]
- Lin, N.; Huang, J.; Chang, P.R.; Feng, L.; Yu, J. Effect of polysaccharide nanocrystals on structure, properties, and drug release kinetics of alginate-based microspheres. Colloids Surf. B Biointerfaces 2011, 85, 270–279. [Google Scholar] [CrossRef]
- Petrova, V.A.; Panevin, A.A.; Zhuravskii, S.G.; Gasilova, E.R.; Vlasova, E.N.; Romanov, D.P.; Poshina, D.N.; Skorik, Y.A. Preparation of N-succinyl-chitin nanoparticles and their applications in otoneurological pathology. Int. J. Biol. Macromol. 2018, 120, 1023–1029. [Google Scholar] [CrossRef]
- Bajpai, A.K.; Shukla, S.K.; Bhanu, S.; Kankane, S. Responsive polymers in controlled drug delivery. Prog. Polym. Sci. 2008, 33, 1088–1118. [Google Scholar] [CrossRef]
- Bardajee, G.R.; Pourjavadi, A.; Soleyman, R. Novel nano-porous hydrogel as a carrier matrix for oral delivery of tetracycline hydrochloride. Colloids Surf. A Physicochem. Eng. Asp. 2011, 392, 16–24. [Google Scholar] [CrossRef]
- Ueng, S.W.; Lee, M.S.; Lin, S.S.; Chan, E.C.; Liu, S.J. Development of a biodegradable alginate carrier system for antibiotics and bone cells. J. Orthop. Res. 2007, 25, 62–72. [Google Scholar] [CrossRef]
- Siepmann, J.; Peppas, N.A. Higuchi equation: Derivation, applications, use and misuse. Int. J. Pharm. 2011, 418, 6–12. [Google Scholar] [CrossRef]










| Sample | CNW Mass Fraction, Relative Weight % | Test Mode | τ0, Pa | η0, Pa∙s | , s | Relative SD, % |
|---|---|---|---|---|---|---|
| ALG | 0 | Down SR | 0.079 | 0.405 | 0.015 | 5.7 |
| Down F | 20 | – | – | – | ||
| Top F | 1120 | – | – | – | ||
| Top SR | 435 | – | – | – | ||
| ALG-CNW (2.5%) | 2.5 | Down SR | 5.1 | 3.5 | 0.024 | 12 |
| Down F | 1560 | – | – | – | ||
| Top F | 900 | – | – | – | ||
| ALG-CNW (7.5%) | 7.5 | Down SR | 1.5 | 6.5 | 0.15 | 27 |
| Down F | 2050 | – | – | – | ||
| Top F | 18,000–44,000 | – | – | – | ||
| Top SR | 3100 | – | – | – | ||
| ALG-CNW (14.5%) | 14.5 | Down SR | 14.4 | 114 | 3.4 | 1.5 |
| Down F | 1820 | – | – | – | ||
| Top F | 17,000 | – | – | – | ||
| Top SR | 1450 | – | – | – |
| CNW Mass Fraction, Relative Weight % | I Phase (0–5 h) | ||
|---|---|---|---|
| R2 | a | KH | |
| 0 | 0.989 | −3.61 | 34.8 |
| 2.5 | 0.993 | −6.79 | 33.3 |
| 7.5 | 0.988 | −5.32 | 28.7 |
| 14.5 | 0.998 | −10.0 | 23.7 |
© 2019 by the authors. Licensee MDPI, Basel, Switzerland. This article is an open access article distributed under the terms and conditions of the Creative Commons Attribution (CC BY) license (http://creativecommons.org/licenses/by/4.0/).
Share and Cite
Petrova, V.A.; Elokhovskiy, V.Y.; Raik, S.V.; Poshina, D.N.; Romanov, D.P.; Skorik, Y.A. Alginate Gel Reinforcement with Chitin Nanowhiskers Modulates Rheological Properties and Drug Release Profile. Biomolecules 2019, 9, 291. https://doi.org/10.3390/biom9070291
Petrova VA, Elokhovskiy VY, Raik SV, Poshina DN, Romanov DP, Skorik YA. Alginate Gel Reinforcement with Chitin Nanowhiskers Modulates Rheological Properties and Drug Release Profile. Biomolecules. 2019; 9(7):291. https://doi.org/10.3390/biom9070291
Chicago/Turabian StylePetrova, Valentina A., Vladimir Y. Elokhovskiy, Sergei V. Raik, Daria N. Poshina, Dmitry P. Romanov, and Yury A. Skorik. 2019. "Alginate Gel Reinforcement with Chitin Nanowhiskers Modulates Rheological Properties and Drug Release Profile" Biomolecules 9, no. 7: 291. https://doi.org/10.3390/biom9070291
APA StylePetrova, V. A., Elokhovskiy, V. Y., Raik, S. V., Poshina, D. N., Romanov, D. P., & Skorik, Y. A. (2019). Alginate Gel Reinforcement with Chitin Nanowhiskers Modulates Rheological Properties and Drug Release Profile. Biomolecules, 9(7), 291. https://doi.org/10.3390/biom9070291

