Development of Mitochondria-Targeted PARP Inhibitors
Abstract
1. Introduction
2. Materials and Methods
2.1. General Information
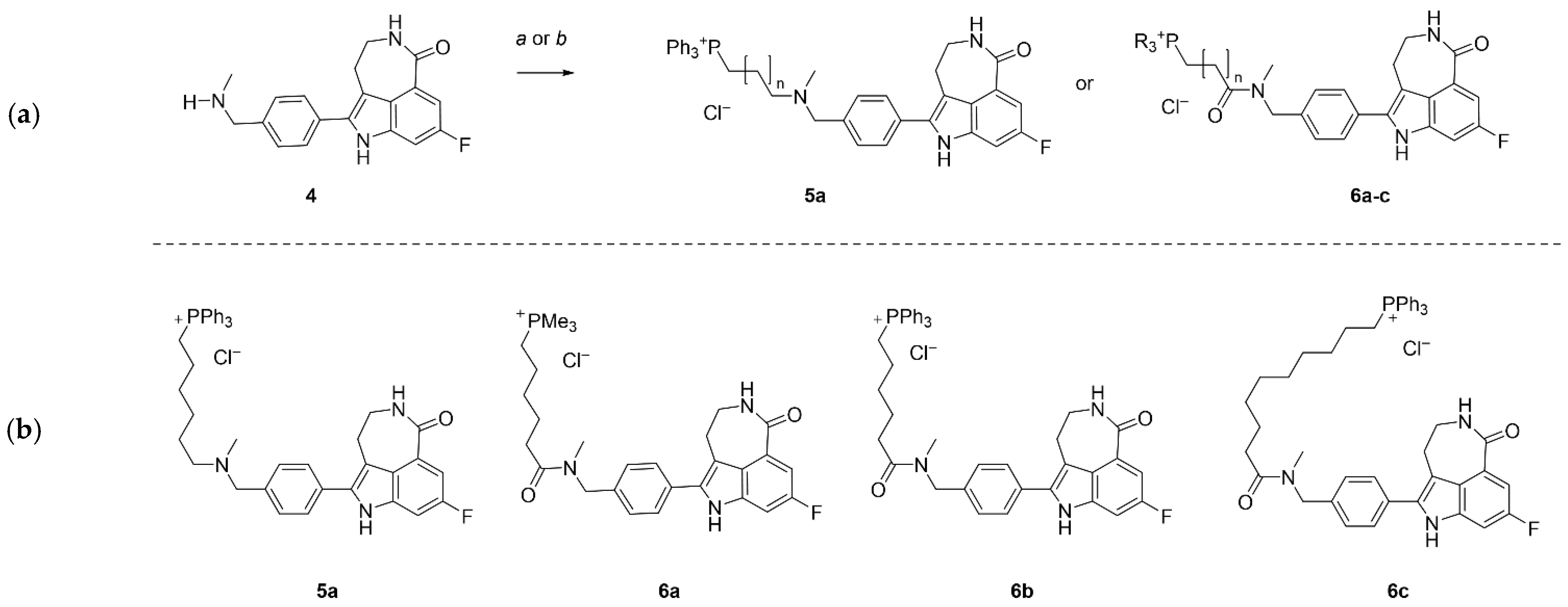
2.2. The Synthesis of 2a–d and 5a
2.3. Procedure for the Synthesis of 3a–g and 6a–c
2.4. PARP1 Activity Assay
2.5. Measurement of Affinity for Cardiolipin
2.6. Cell Cultures
2.7. Cytotoxicity Assay
2.8. Measurements of Mitochondrial Respiration and H2O2 Producation Rate in Permeabilized Cardiac Fibers
3. Results
- -
- PARP1 Inhibition
- -
- Mitochondrial Targeting via Cardiolipin Binding
- -
- Cytotoxicity in HCC1937 and H9C2 Cells
- -
- Impact on mitochondrial respiration and H2O2 production rate
4. Discussion
5. Conclusions
Supplementary Materials
Author Contributions
Funding
Institutional Review Board Statement
Informed Consent Statement
Data Availability Statement
Acknowledgments
Conflicts of Interest
References
- Ray Chaudhuri, A.; Nussenzweig, A. The Multifaceted Roles of PARP1 in DNA Repair and Chromatin Remodelling. Nat. Rev. Mol. Cell Biol. 2017, 18, 610–621. [Google Scholar] [CrossRef]
- Ledermann, J.; Harter, P.; Gourley, C.; Friedlander, M.; Vergote, I.; Rustin, G.; Scott, C.; Meier, W.; Shapira-Frommer, R.; Safra, T.; et al. Olaparib Maintenance Therapy in Platinum-Sensitive Relapsed Ovarian Cancer. N. Engl. J. Med. 2012, 366, 1382–1392. [Google Scholar] [CrossRef]
- Zou, Y.; Zhang, H.; Chen, P.; Tang, J.; Yang, S.; Nicot, C.; Guan, Z.; Li, X.; Tang, H. Clinical Approaches to Overcome PARP Inhibitor Resistance. Mol. Cancer 2025, 24, 156. [Google Scholar] [CrossRef] [PubMed]
- Lord, C.J.; Ashworth, A. PARP Inhibitors: Synthetic Lethality in the Clinic. Science 2017, 355, 1152–1158. [Google Scholar] [CrossRef] [PubMed]
- Man, X.; Zhang, Y.; He, J.; Wang, P.; Qu, W. From Bench to Bedside: Synthetic Strategies and Clinical Application of PARP Inhibitors. Bioorganic Chem. 2025, 163, 108761. [Google Scholar] [CrossRef]
- Du, L.; Zhang, X.; Han, Y.Y.; Burke, N.A.; Kochanek, P.M.; Watkins, S.C.; Graham, S.H.; Carcillo, J.A.; Szabó, C.; Clark, R.S.B. Intra-Mitochondrial Poly(ADP-Ribosylation) Contributes to NAD+ Depletion and Cell Death Induced by Oxidative Stress. J. Biol. Chem. 2003, 278, 18426–18433. [Google Scholar] [CrossRef]
- Szczesny, B.; Brunyanszki, A.; Olah, G.; Mitra, S.; Szabo, C. Opposing Roles of Mitochondrial and Nuclear PARP1 in the Regulation of Mitochondrial and Nuclear DNA Integrity: Implications for the Regulation of Mitochondrial Function. Nucleic Acids Res. 2014, 42, 13161–13173. [Google Scholar] [CrossRef] [PubMed]
- Brunyanszki, A.; Olah, G.; Coletta, C.; Szczesny, B.; Szabo, C. Regulation of Mitochondrial Poly(ADP-Ribose) Polymerase Activation by the β-Adrenoceptor/cAMP/Protein Kinase A Axis during Oxidative Stress. Mol. Pharmacol. 2014, 86, 450–462. [Google Scholar] [CrossRef]
- Andrabi, S.A.; Kim, N.S.; Yu, S.-W.; Wang, H.; Koh, D.W.; Sasaki, M.; Klaus, J.A.; Otsuka, T.; Zhang, Z.; Koehler, R.C.; et al. Poly(ADP-Ribose) (PAR) Polymer Is a Death Signal. Proc. Natl. Acad. Sci. USA 2006, 103, 18308–18313. [Google Scholar] [CrossRef]
- Fouquerel, E.; Goellner, E.M.; Yu, Z.; Gagné, J.-P.; Barbi de Moura, M.; Feinstein, T.; Wheeler, D.; Redpath, P.; Li, J.; Romero, G.; et al. ARTD1/PARP1 Negatively Regulates Glycolysis by Inhibiting Hexokinase 1 Independent of NAD + Depletion. Cell Rep. 2014, 8, 1819–1831. [Google Scholar] [CrossRef]
- Lai, Y.; Chen, Y.; Watkins, S.C.; Nathaniel, P.D.; Guo, F.; Kochanek, P.M.; Jenkins, L.W.; Szabó, C.; Clark, R.S.B. Identification of poly-ADP-ribosylated Mitochondrial Proteins after Traumatic Brain Injury. J. Neurochem. 2008, 104, 1700–1711. [Google Scholar] [CrossRef]
- Dimitrijevs, P.; Arsenyan, P. Cardiolipin in the Spotlight: Quantitative Analysis and Fluorescence-Based Competitive Binding Assay. Sens. Actuators B Chem. 2021, 346, 130537. [Google Scholar] [CrossRef]
- Pesta, D.; Gnaiger, E. High-Resolution Respirometry: OXPHOS Protocols for Human Cells and Permeabilized Fibers from Small Biopsies of Human Muscle. In Mitochondrial Bioenergetics; Palmeira, C.M., Moreno, A.J., Eds.; Methods in Molecular Biology; Humana Press: Totowa, NJ, USA, 2012; Volume 810, pp. 25–58. ISBN 978-1-61779-381-3. [Google Scholar]
- Gnaiger, E. Mitochondrial Pathways and Respiratory Control: An Introduction to OXPHOS Analysis. 5th Ed. Bioenerg. Commun. 2020. [Google Scholar] [CrossRef]
- Makrecka-Kuka, M.; Krumschnabel, G.; Gnaiger, E. High-Resolution Respirometry for Simultaneous Measurement of Oxygen and Hydrogen Peroxide Fluxes in Permeabilized Cells, Tissue Homogenate and Isolated Mitochondria. Biomolecules 2015, 5, 1319–1338. [Google Scholar] [CrossRef] [PubMed]
- Horvath, S.E.; Daum, G. Lipids of Mitochondria. Prog. Lipid Res. 2013, 52, 590–614. [Google Scholar] [CrossRef] [PubMed]
- Skulachev, V.P.; Antonenko, Y.N.; Cherepanov, D.A.; Chernyak, B.V.; Izyumov, D.S.; Khailova, L.S.; Klishin, S.S.; Korshunova, G.A.; Lyamzaev, K.G.; Pletjushkina, O.Y.; et al. Prevention of Cardiolipin Oxidation and Fatty Acid Cycling as Two Antioxidant Mechanisms of Cationic Derivatives of Plastoquinone (SkQs). Biochim. Biophys. Acta (BBA)-Bioenerg. 2010, 1797, 878–889. [Google Scholar] [CrossRef]
- Toleikis, A.; Trumbeckaite, S.; Majiene, D. Cytochrome c Effect on Respiration of Heart Mitochondria: Influence of Various Factors. Biosci. Rep. 2005, 25, 387–397. [Google Scholar] [CrossRef] [PubMed]
- Rokitskaya, T.I.; Khailova, L.S.; Korshunova, G.A.; Antonenko, Y.N. Efficiency of Mitochondrial Uncoupling by Modified Butyltriphenylphosphonium Cations and Fatty Acids Correlates with Lipophilicity of Cations: Protonophoric vs. Leakage Mechanisms. Biochim. Biophys. Acta (BBA)-Biomembr. 2023, 1865, 184183. [Google Scholar] [CrossRef]
- Trnka, J.; Elkalaf, M.; Anděl, M. Lipophilic Triphenylphosphonium Cations Inhibit Mitochondrial Electron Transport Chain and Induce Mitochondrial Proton Leak. PLoS ONE 2015, 10, e0121837. [Google Scholar] [CrossRef]
- Kulkarni, C.A.; Fink, B.D.; Gibbs, B.E.; Chheda, P.R.; Wu, M.; Sivitz, W.I.; Kerns, R.J. A Novel Triphenylphosphonium Carrier to Target Mitochondria without Uncoupling Oxidative Phosphorylation. J. Med. Chem. 2021, 64, 662–676. [Google Scholar] [CrossRef]
- Gottwald, E.M.; Duss, M.; Bugarski, M.; Haenni, D.; Schuh, C.D.; Landau, E.M.; Hall, A.M. The Targeted Anti-Oxidant MitoQ Causes Mitochondrial Swelling and Depolarization in Kidney Tissue. Physiol. Rep. 2018, 6, e13667. [Google Scholar] [CrossRef]
- Reily, C.; Mitchell, T.; Chacko, B.K.; Benavides, G.A.; Murphy, M.P.; Darley-Usmar, V.M. Mitochondrially Targeted Compounds and Their Impact on Cellular Bioenergetics. Redox Biol. 2013, 1, 86–93. [Google Scholar] [CrossRef]
- Modica-Napolitano, J.S.; Aprille, J.R. Delocalized Lipophilic Cations Selectively Target the Mitochondria of Carcinoma Cells. Adv. Drug Deliv. Rev. 2001, 49, 63–70. [Google Scholar] [CrossRef] [PubMed]
- Shrestha, R.; Johnson, E.; Byrne, F.L. Exploring the Therapeutic Potential of Mitochondrial Uncouplers in Cancer. Mol. Metab. 2021, 51, 101222. [Google Scholar] [CrossRef]
- Peng, X.; Pan, W.; Jiang, F.; Chen, W.; Qi, Z.; Peng, W.; Chen, J. Selective PARP1 Inhibitors, PARP1-Based Dual-Target Inhibitors, PROTAC PARP1 Degraders, and Prodrugs of PARP1 Inhibitors for Cancer Therapy. Pharmacol. Res. 2022, 186, 106529. [Google Scholar] [CrossRef] [PubMed]
- Yuan, Z.; Chen, S.; Sun, Q.; Wang, N.; Li, D.; Miao, S.; Gao, C.; Chen, Y.; Tan, C.; Jiang, Y. Olaparib Hydroxamic Acid Derivatives as Dual PARP and HDAC Inhibitors for Cancer Therapy. Bioorganic Med. Chem. 2017, 25, 4100–4109. [Google Scholar] [CrossRef]
- Rudolph, J.; Jung, K.; Luger, K. Inhibitors of PARP: Number crunching and structure gazing. Proc. Natl. Acad. Sci. USA 2022, 119, e2121979119. [Google Scholar] [CrossRef] [PubMed]
- Lee, J.-H.; Hussain, M.; Kim, E.W.; Cheng, S.-J.; Leung, A.K.L.; Fakouri, N.B.; Croteau, D.L.; Bohr, V.A. Mitochondrial PARP1 Regulates NAD+-Dependent Poly ADP-Ribosylation of Mitochondrial Nucleoids. Exp. Mol. Med. 2022, 54, 2135–2147. [Google Scholar] [CrossRef]
- Bai, P.; Cantó, C.; Oudart, H.; Brunyánszki, A.; Cen, Y.; Thomas, C.; Yamamoto, H.; Huber, A.; Kiss, B.; Houtkooper, R.H.; et al. PARP-1 Inhibition Increases Mitochondrial Metabolism through SIRT1 Activation. Cell Metab. 2011, 13, 461–468. [Google Scholar] [CrossRef]
- Engert, F.; Schneider, C.; Weiβ, L.M.; Probst, M.; Fulda, S. PARP Inhibitors Sensitize Ewing Sarcoma Cells to Temozolomide-Induced Apoptosis via the Mitochondrial Pathway. Mol. Cancer Ther. 2015, 14, 2818–2830. [Google Scholar] [CrossRef]
- Ribeiro, M.P.C.; Castro e Santos, A.E.; Custódio, J.B.A. Mitochondrial Dysfunction on the Toxic Effects of Anticancer Agents—From Lab Bench to Bedside. In Toxicology Studies—Cells, Drugs and Environment; Andreazza, A.C., Scola, G., Eds.; InTech: London, UK, 2015; pp. 23–59. [Google Scholar] [CrossRef]



| Cytotoxicity, µM | ||||
|---|---|---|---|---|
| PARP, IC50, nM | CL Binding EC50, µM * | HCC1937 | H9C2 | |
| 2a | 17.0 ± 1.91 | 579.7 ± 13.07 | >10 | >100 |
| 2b | 8.20 ± 0.14 | 234.03 ± 4.02 | >10 | >100 |
| 2c | 14.11 ± 3.53 | 56.65 ± 1.67 | 1.25 ± 0.43 | 3.15 ± 0.28 |
| 2d | 10.3 ± 0.22 | 12.99 ± 1.75 | 0.93 ± 0.25 | 1.05 ± 0.24 |
| 3a | 3.43 ± 0.04 | >500 | >10 | >100 |
| 3b | 3.90 ± 0.44 | >500 | >10 | >100 |
| 3c | 7.71 ± 0.78 | >500 | >10 | >100 |
| 3d | 6.23 ± 0.38 | 421.2 ± 36.62 | >10 | 75 ± 11 |
| 3e | 6.14 ± 0.76 | 521 ± 17.54 | >10 | >100 |
| 3f | 3.91 ± 0.37 | 445.43 ± 19.63 | >10 | >100 |
| 3g | 4.73 ± 0.24 | 125.03 ± 2.21 | 4.67 ± 0.61 | 15.03 ± 3.49 |
| 5a | 13.20 ± 1.79 | 11.85 ± 0.85 | 18.59 ± 2.52 | 69.38 ± 2.39 |
| 6a | 20.29 ± 3.61 | >500 | >100 | >100 |
| 6b | 87.84 ± 7.01 | 25.07 ± 0.54 | 26.06 ± 4.6 | 89.57 ± 11.47 |
| 6c | >100 | 6.77 ± 0.09 | 2.01 ± 0.37 | 5.37 ± 1.42 |
| Rucaparib | 1.93 ± 0.29 | >500 | 32.24 ± 2.21 | 35.01 ± 0.67 |
| Olaparib | 3.10 ± 0.21 | >500 | >100 | >100 |
Disclaimer/Publisher’s Note: The statements, opinions and data contained in all publications are solely those of the individual author(s) and contributor(s) and not of MDPI and/or the editor(s). MDPI and/or the editor(s) disclaim responsibility for any injury to people or property resulting from any ideas, methods, instructions or products referred to in the content. |
© 2026 by the authors. Licensee MDPI, Basel, Switzerland. This article is an open access article distributed under the terms and conditions of the Creative Commons Attribution (CC BY) license.
Share and Cite
Dimitrijevs, P.; Makrecka-Kuka, M.; Arsenyan, P. Development of Mitochondria-Targeted PARP Inhibitors. Biomolecules 2026, 16, 165. https://doi.org/10.3390/biom16010165
Dimitrijevs P, Makrecka-Kuka M, Arsenyan P. Development of Mitochondria-Targeted PARP Inhibitors. Biomolecules. 2026; 16(1):165. https://doi.org/10.3390/biom16010165
Chicago/Turabian StyleDimitrijevs, Pavels, Marina Makrecka-Kuka, and Pavel Arsenyan. 2026. "Development of Mitochondria-Targeted PARP Inhibitors" Biomolecules 16, no. 1: 165. https://doi.org/10.3390/biom16010165
APA StyleDimitrijevs, P., Makrecka-Kuka, M., & Arsenyan, P. (2026). Development of Mitochondria-Targeted PARP Inhibitors. Biomolecules, 16(1), 165. https://doi.org/10.3390/biom16010165

