Assessment of Biological Activity of Low Molecular Weight 1,4-Benzoquinone Derivatives
Abstract
1. Introduction
2. Materials and Methods
2.1. Materials
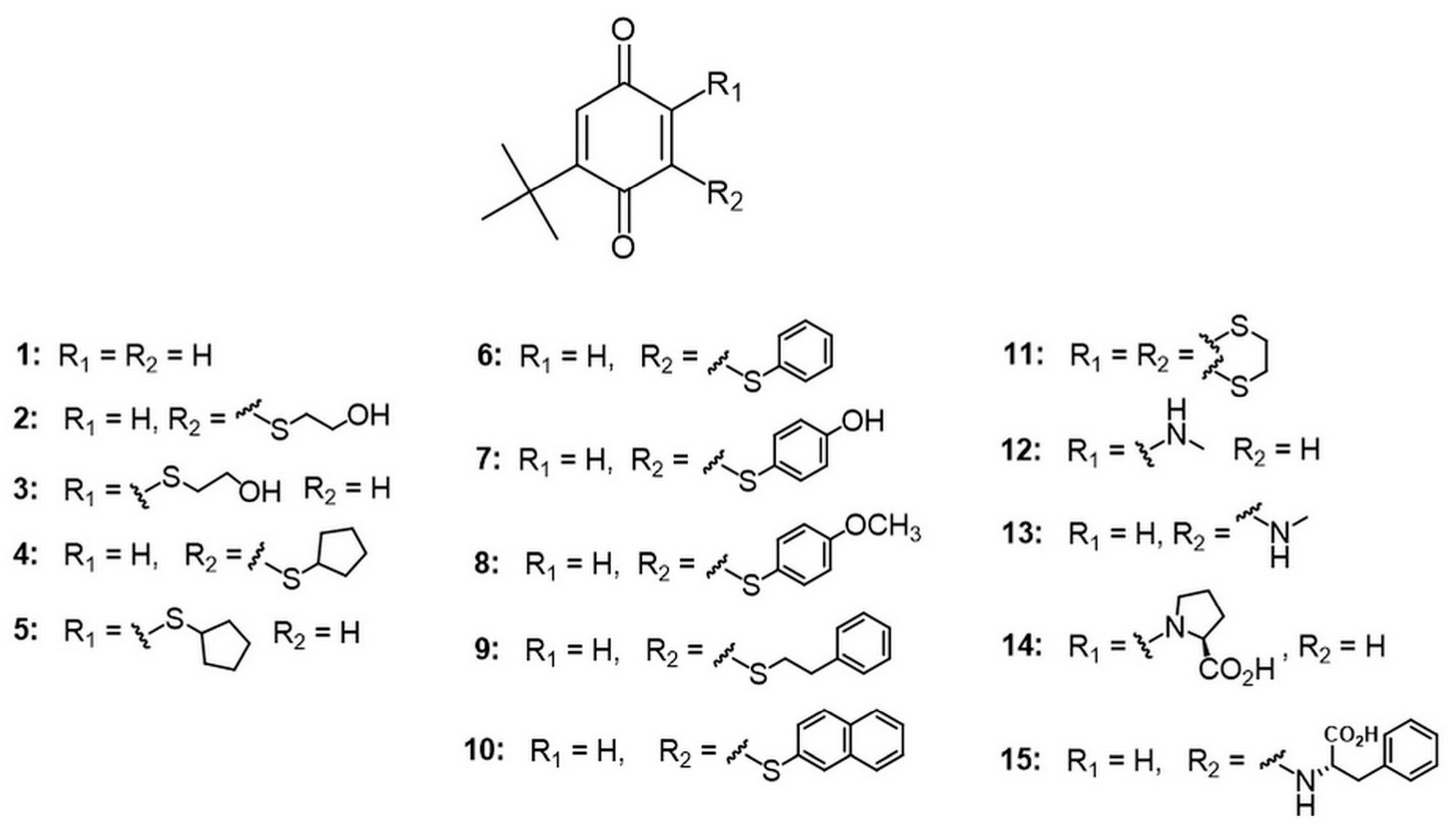
2.2. Synthesis
2.3. Inhibition of Cholinesterases
2.4. Inhbition of BACE1
2.5. Metal Chelation Studies
2.6. Antioxidant Activity
2.6.1. FRAP Method
2.6.2. ORAC Assay
2.7. In Silico Studies
2.7.1. Docking Studies
2.7.2. Human Intestinal Absorption
2.7.3. Oral Bioavailability
2.7.4. Toxicity Profile
3. Results and Discussion
3.1. Cholinesterase Inhibition
3.2. Antioxidative Power
3.3. BACE1 Inhibition
3.4. Biometal Chelation
3.5. Druggability of Compounds
3.5.1. Oral Bioavailability
3.5.2. Human Intestinal Absorption
3.5.3. Toxicity Profile of Compounds
4. Conclusions
Supplementary Materials
Author Contributions
Funding
Institutional Review Board Statement
Informed Consent Statement
Data Availability Statement
Acknowledgments
Conflicts of Interest
References
- Silva, M.V.F.; Loures, C.D.M.G.; Alves, L.C.V.; Cruz de Souza, L.; Gomes Borges, K.B.; das Gracas Carvalho, M. Alzheimer’s disease: Risk factors and potentially protective measures. J. Biomed. Sci. 2019, 26, 33. [Google Scholar] [CrossRef] [PubMed]
- Hampel, H.; Mesulam, M.M.; Cuello, A.C.; Khachaturian, A.S.; Vergallo, A.; Farlow, M.R.; Snyder, P.J.; Giacobini, E.; Khachaturian, Z.S. Revisiting the cholinergic hypothesis in Alzheimer’s disease: Emerging evidence from translational and clinical research. J. Prev. Alzheimer’s Dis. 2019, 6, 2–15. [Google Scholar] [CrossRef] [PubMed]
- Davies, P.; Maloney, A.J. Selective loss of central cholinergic neurons in Alzheimer’s disease. Lancet 1976, 2, 1403. [Google Scholar] [CrossRef]
- Whitehosue, P.J.; Price, D.L.; Clark, A.W.; Coyle, J.T.; DeLong, M.R. Alzheimer disease: Evidence for selective loss of cholinergic neurons in the nucleus basalis. Ann. Neurol. 1981, 10, 122–126. [Google Scholar] [CrossRef] [PubMed]
- Chen, Z.R.; Haung, J.B.; Yang, S.L.; Hong, F.F. Role of cholinergic signalling in Alzheimer’s disease. Molecules 2022, 27, 1816. [Google Scholar] [CrossRef]
- Hampel, H.; Mesulam, M.M.; Cuello, A.C.; Farlow, M.R.; Giacobini, E.; Grossberg, G.T.; Khachaturian, A.S.; Vergallo, A.; Cavedo, E.; Snyder, P.J. Khachaturian, The cholinergic system in the pathophysiology and treatment of Alzheimer’s disease. Brain 2018, 141, 1917–1933. [Google Scholar] [CrossRef]
- Giacobini, E. Cholinesterases: New roles in brain function and in Alzheimer’s disease. Neurochem. Res. 2003, 28, 515–522. [Google Scholar] [CrossRef]
- Hardy, J.; Selkoe, D.J. The amyloid hypothesis of Alzheimer’s disease: Progress and problems on the road to therapeutics. Science 2002, 297, 353–356. [Google Scholar] [CrossRef]
- Hampel, H.; Hardy, J.; Blennow, K.; Chen, C.; Perry, G.; Kim, S.H.; Villemagne, V.L.; Aisen, P.; Vendruscolo, M.; Iwatsubo, T.; et al. The Amyloid-β Pathway in Alzheimer’s Disease. Mol. Psychiatry 2021, 26, 5481–5503. [Google Scholar] [CrossRef]
- Du, X.; Wang, X.; Geng, M. Alzheimer’s disease hypothesis and related therapies. Transl. Neurodegener. 2018, 7, 2. [Google Scholar] [CrossRef]
- Chen, X.Q.; Mobely, W.C. Alzheimer disease pathogenesis: Insights from molecular and cellular biology studies of oligomeric Aβand Tau species. Front. Neurosci. 2019, 13, 659. [Google Scholar] [CrossRef] [PubMed]
- Huang, W.-J.; Zhang, X.; Chen, W.-W. Role of oxidative stress in Alzheimer’s disease. Biomed. Rep. 2016, 4, 519–522. [Google Scholar] [CrossRef]
- Wong-Guerra, M.; Calfio, C.; Maccioni, R.B.; Rojo, L.E. Revisiting the neuroinflam-mation hypothesis in Alzheimer’s disease: A focus on the druggability of current targets. Front. Pharmacol. 2023, 14, 1161850. [Google Scholar] [CrossRef]
- Li, Y.; Jiao, Q.; Xu, H.; Du, X.; Shi, L.; Jia, F.; Jiang, H. Biometal dyshomeostasis and toxic metal accumulations in the development of Alzheimer’s disease. Front. Mol. Neurosci. 2017, 10, 339. [Google Scholar] [CrossRef]
- Lavado, L.K.; Zhang, M.H.; Patel, K.; Khan, S.; Patel, U.K. Biometals as potential predictors of the neurodegenerative decline in Alzheimer’s disease. Cureus 2019, 11, e5573. [Google Scholar] [CrossRef]
- Medications for Memory, Cognition and Dementia-Related Behaviors. Available online: https://www.alz.org/alzheimers-dementia/treatments/medications-for-memory (accessed on 20 May 2025).
- Soderberg, L.; Johannesson, M.; Nygren, P.; Laudon, H.; Eriksson, F.; Osswald, G.; Moller, C.; Lannfelt, L. Lecanemab, aducanumab, and gantenerumab—Binding profiles to different forms of amyloid-beta might explain efficacy and side effects in clinical trials for Alzheimer’s disease. Neurotherapeutics 2023, 20, 195–206. [Google Scholar] [CrossRef]
- Mintun, M.A.; Lo, A.C.; Duggan, E.C.; Wessels, A.M.; Ardayfio, P.A.; Andersen, S.W.; Shcherbinin, S.; Sparks, J.; Sims, J.R.; Brys, M.; et al. Donanemab in early Alzheimer’s disease. N. Engl. J. Med. 2021, 384, 1691–1704. [Google Scholar] [CrossRef] [PubMed]
- Prati, F.; Cavalli, A.; Bolognesi, M.L. Navigating the chemical space of multitarget-directed ligands: From hybrids to fragments in Alzheimer’s disease. Molecules 2016, 21, 466. [Google Scholar] [CrossRef] [PubMed]
- González, J.F.; Alcántara, A.R.; Doadrio, A.L.; Sánchez-Montero, J.M. Developments with multi-target drugs for Alzheimer’s disease: An overview of the current discovery approaches. Expert. Opin. Drug Discov. 2019, 14, 879–891. [Google Scholar] [CrossRef]
- Zhou, J.; Jiang, X.; He, S.; Jiang, H.; Feng, F.; Liu, W.; Qu, W.; Sun, H. Rational design of multitarget-directed ligands: Strategies and emerging paradigms. J. Med. Chem. 2019, 62, 8881–8914. [Google Scholar] [CrossRef]
- Wu, D.; Chen, Q.; Chen, X.; Han, F.; Chen, Z.; Wang, Y. The blood–brain barrier: Structure, regulation and drug delivery. Signal Transduct. Target. Ther. 2023, 8, 217. [Google Scholar] [CrossRef]
- Dandawate, P.R.; Vyas, A.C.; Padhye, S.B.; Singh, M.W.; Baruah, J.B. Perspectives on medicinal properties of benzoquinone compounds. Mini-Rev. Med. Chem. 2010, 10, 436–454. [Google Scholar] [CrossRef]
- Benzoquinones. Available online: https://go.drugbank.com/categories/DBCAT001600 (accessed on 31 March 2025).
- Bolognesi, M.L.; Cavalli, A.; Melchiorre, C. Memoquin: A multi-target-directed ligand as an innovative therapeutic opportunity for Alzheimer’s disease. Neurotherapeutics 2009, 6, 152–162. [Google Scholar] [CrossRef] [PubMed]
- Nuthakki, V.K.; Sharma, A.; Kumar, A.; Bharate, S.B. Identification of embelin, a 3-undecyl-1,4-benzoquinone from Embelia ribes as a multitargeted anti-Alzheimer agent. Drug Dev. Res. 2019, 80, 655–665. [Google Scholar] [CrossRef] [PubMed]
- Yi, Y.; Kim, K.; Kim, H.; Lim, M.H. Leveraging heterocycle-fused 1,4-benzoquinone to design chemical modulators for both metal-free and metal-bound amyloid-β. Chem. Sci. 2025, 16, 6930–6942. [Google Scholar] [CrossRef]
- Scherzer-Attali, R.; Pellarin, R.; Convertino, M.; Frydman-Marom, A.; Egoz-Matia, N.; Peled, S.; Levy-Sakin, M.; Shalev, D.E.; Caflisch, A.; Gazit, E.; et al. Complete phenotypic recovery of an Alzheimer’s disease model by a quinone-tryptophan hybrid aggregation inhibitor. PLoS ONE 2010, 5, e11101. [Google Scholar] [CrossRef] [PubMed]
- Ortega, A.; Rincón, Á.; Jiménez-Aliaga, K.L.; Bermejo-Bescós, P.; Martín-Aragón, S.; Molina, M.T.; Csákÿ, A.G. Synthesis and evaluation of arylquinones as BACE1 inhibitors, β-amyloid peptide aggregation inhibitors, and destabilisers of preformed β-amyloid fibrils. Bioorg Med. Chem. Lett. 2011, 21, 2183–2187. [Google Scholar] [CrossRef] [PubMed]
- Jeremić, M.; Pešić, M.; Dinić, J.; Banković, J.; Novaković, I.; Šegan, D.; Sladić, D. Simple avarone mimetics as selective agents against multidrug resistant cancer cells. Eur. J. Med. Chem. 2016, 118, 107–120. [Google Scholar] [CrossRef]
- Božić, T.; Novaković, I.; Gašić, M.J.; Juranić, Z.; Stanojković, T.; Tufegdžić, S.; Kljajić, Z.; Sladić, D. Synthesis and biological activity of derivatives of the marine quinone avarone. Eur. J. Med. Chem. 2010, 45, 923–929. [Google Scholar] [CrossRef]
- Vilipić, J.; Novaković, I.; Stanojković, T.; Matić, I.; Šegan, D.; Sladić, D. Synthesis and biological activity of amino acid derivatives of avarone and its model compound. Bioorganic Med. Chem. 2015, 23, 6930–6942. [Google Scholar] [CrossRef]
- Vilipić, P.; Novaković, I.T.; Zlatović, M.V.; Vujčić, M.T.; Tufegdžić, S.J.; Sladić, D.M. Interactions of cytotoxic amino acid derivatives of tert-butylquinone with DNA and lysozyme. J. Serb. Chem. Soc. 2016, 81, 1345–1358. [Google Scholar] [CrossRef]
- Ellman, G.L.; Courtney, K.D.; Andres, V., Jr.; Feather-Stone, R.M. A new and rapid colorimetric determination of acetylcholinesterase activity. Biochem. Pharmacol. 1961, 7, 88–91. [Google Scholar] [CrossRef]
- Simeon-Rudolf, V.; Šinko, G.; Štuglin, A.; Reiner, E. Inhibition of human blood acetylcholinesterase and butyrylcholinesterase by ethopropazine. Croat. Chem. Acta 2001, 74, 173–182. Available online: https://hrcak.srce.hr/131786 (accessed on 22 July 2025).
- Matošević, A.; Opsenica, D.; Spasić, M.; Maraković, N.; Zandona, A.; Žunec, S.; Bartolić, M.; Kovarik, Z.; Bosak, A. Evaluation of 4-aminoquinoline derivatives with an n-octylamino spacer as potential multi-targeting ligands for the treatment of Alzheimer’s disease. Chem. Biol. Interact. 2023, 382, 110620. [Google Scholar] [CrossRef] [PubMed]
- β-Secretase Inhibitor III–Calbiochem. Available online: https://www.merckmillipore.com/INTL/en/product/-Secretase-Inhibitor-III-Calbiochem,EMD_BIO-565780 (accessed on 22 July 2025).
- Capell, A.; Meyn, L.; Fluhrer, R.; Teplow, D.B.; Walter, J.; Haass, C. Apical sorting of beta-secretase limits amyloid beta-peptide production. J. Biol. Chem. 2002, 277, 5637–5643. [Google Scholar] [CrossRef]
- Matošević, A.; Knežević, A.; Zandona, A.; Maraković, N.; Kovarik, Z.; Bosak, A. Design, synthesis and biological evaluation of biscarbamates as potential selective butyrylcholinesterase inhibitors for the treatment of Alzheimer’s disease. Pharmaceuticals 2022, 15, 1220. [Google Scholar] [CrossRef]
- Bolognesi, M.L.; Cavalli, A.; Valgimigli, L.; Bartolini, M.; Rosini, M.; Andrisano, V.; Recanatini, M.; Melchiorre, C. Multi-target-directed drug design strategy: From a dual binding site acetylcholinesterase inhibitor to a trifunctional compound against Alzheimer’s disease. J. Med. Chem. 2007, 50, 6446–6449. [Google Scholar] [CrossRef]
- Benzie, I.F.; Strain, J.J. Ferric reducing/antioxidant power assay: Direct measure of total antioxidant activity of biological fluids and modified version for simultaneous measurement of total antioxidant power and ascorbic acid concentration. Methods Enzymol. 1999, 299, 15–27. [Google Scholar] [CrossRef] [PubMed]
- Jalili-Baleh, L.; Nadri, H.; Forootanfar, H.; Küçükkılınç, T.; Ayazgök, B.; Sharifzadeh, M.; Rahimifard, M.; Baeeri, M.; Abdollahi, M.; Foroumadi, A.; et al. Chromone–lipoic acid conjugate: Neuroprotective agent having acceptable butyrylcholinesterase inhibition, antioxidant and copper-chelation activities. DARU J. Pharm. Sci. 2021, 29, 23–38. [Google Scholar] [CrossRef]
- Cheung, J.; Rudolph, M.J.; Burshteyn, F.; Cassidy, M.S.; Gary, E.N.; Love, J.; Franklin, M.C.; Height, J.J. Structures of human acetylcholinesterase in complex with pharmacologically important ligands. J. Med. Chem. 2012, 55, 10282–10286. [Google Scholar] [CrossRef] [PubMed]
- Nicolet, Y.; Lockridge, O.; Masson, P.; Fontecilla-Camps, J.C.; Nachon, F. Crystal structure of human butyrylcholinesterase and of its complexes with substrate and products. J. Biol. Chem. 2003, 278, 41141–41147. [Google Scholar] [CrossRef]
- pkCSM. Available online: https://biosig.lab.uq.edu.au/pkcsm/ (accessed on 20 March 2025).
- Piers, D.E.V.; Blundell, T.L.; Ascher, D.B. pkCSM: Predicting small-molecule pharmacokinetic and toxicity properties using graph-based signatures. J. Med. Chem. 2015, 58, 4066–4072. [Google Scholar] [CrossRef]
- Chemicalize. Calculation Module. 2018. Available online: https://chemicalize.com/ (accessed on 1 May 2025).
- Lipinski, C.A.; Lombardo, F.; Dominy, B.W.; Fenney, P.J. Experimental and computational approaches to estimate solubility and permeability in drug discovery and development settings. Adv. Drug Deliv. Rev. 1997, 23, 3–25. [Google Scholar] [CrossRef]
- Veber, F.; Johnson, S.R.; Cheng, H.Y.; Smith, B.R.; Ward, K.W.; Kopple, K.D. Molecular properties that influence the oral bioavailability of drug candidates. J. Med. Chem. 2002, 45, 2615–2623. [Google Scholar] [CrossRef]
- Darvesh, S.; Walsh, R.; Kumar, R.; Caines, A.; Roberts, S.; Magee, D.; Rockwood, K.; Martin, E. Inhibition of human cholines-teases by drugs used to treat Alzheimer disease. Alzheimer Dis. Assoc. Disord. 2003, 17, 117–126. [Google Scholar] [CrossRef] [PubMed]
- Inestrosa, N.C.; Sagal, J.P.; Colombres, M. Acetylcholinesterase interaction with Alzheimer amyloid β. Subcell. Bichem. 2005, 38, 299–317. [Google Scholar] [CrossRef]
- Kojasoy, V.; Tantillo, D.J. Importance of non-covalent interactions involving sulphur atoms in thiopeptide antibiotics-clycothiohexide α and nocathiacin I. J. Phys. Chem. A 2023, 127, 2081–2090. [Google Scholar] [CrossRef] [PubMed]
- Polyakov, N.; Leshina, T.; Fedenok, L.; Slepneva, I.; Kirilyuk, I.; Furso, J.; Olchawa, M.; Sarna, T.; Elas, M.; Bilkis, I.; et al. Redox-active quinone chelators: Properties, mechanisms of action, cell delivery, and cell toxicity, Antioxid. Redox Signal. 2018, 28, 1394–1403. [Google Scholar] [CrossRef]
- Ji, X.; Liu, X.; Li, M.; Shao, S.; Chang, J.; Du, J.; Ma, X.; Feng, X.; Zhu, L.; Yu, X.; et al. Study of the redox potentials of benzoquinone and its derivatives by combining electrochemistry and computational chemistry. J. Chem. Educ. 2021, 98, 3019–3025. [Google Scholar] [CrossRef]
- Wojtunik-Kulesza, K.A. Approach to optimisation of FRAP methodology for studies based on selected monoterpenes. Molecules 2020, 25, 5267. [Google Scholar] [CrossRef]
- Đorđević, J.; Kolarević, S.; Jovanović Marić, J.; Oalđe Pavlović, M.; Sladić, D.; Novaković, I.; Vuković-Gačić, B. Synthesis and biological activity of alkylthio and arylthiol derivatives of tert-butylquinone. J. Serb. Chem. Soc. 2022, 87, 1245–1258. [Google Scholar] [CrossRef]
- Lai, H.Y.; Lim, Y.Y. Evaluation of antioxidant activities of thr methanolic extracts of selected ferns in Malaysia. Int. J. Environ. Sci. Dev. 2011, 2, 442–447. [Google Scholar] [CrossRef]
- OxiSelect™ Oxygen Radical Antioxidant Capacity (ORAC) Activity Assay. Available online: https://www.cellbiolabs.com/orac-oxygen-radical-antioxidant-capacity-assay (accessed on 5 June 2025).
- Cavalli, A.; Bolognesi, M.L.; Capsoni, S.; Andrisano, V.; Bartolini, M.; Margotti, E.; Cattaneo, A.; Recanatini, M.; Melchiorre, C. A small molecule targeting the multifactorial nature of Alzheimer’s disease. Angew. Chem. Int. Ed. 2007, 46, 3689–3692. [Google Scholar] [CrossRef] [PubMed]
- Liu, Y.; Nguyen, M.; Robert, A.; Meunier, B. Metal ions in Alzheimer’s disease: A key role or not? Acc. Chem. Res. 2019, 52, 2026–2035. [Google Scholar] [CrossRef]
- Kim, A.C.; Lim, S.; Kim, Y.K. Metal ion effects on Aβ and tau aggregation. Int. J. Mol. Sci. 2018, 19, 128. [Google Scholar] [CrossRef] [PubMed]
- DeGeoy, D.A.; Chen, H.J.; Cox, P.B.; Wendt, M.D. Beyond the rule of five: Lessons learned from AbbVie’s drugs and compound collection. J. Med. Chem. 2017, 61, 2636–2651. [Google Scholar] [CrossRef]
- Jeremić, M.; Dinić, J.; Pešić, M.; Stepanović, M.; Novaković, I.; Šegan, D.; Sladić, D. Alkylamino and aralkylamino derivatives of avarone and its mimetic as selective agents against non-small cell lung cancer cells, their antibacterial and antifungal potential. J. Serb. Chem. Soc. 2018, 83, 1193–1207. [Google Scholar] [CrossRef]






| AChE | BChE | SI | |
|---|---|---|---|
| Ki/µM | Ki/µM | ||
| 1 | 52 ± 6 (n) | 55 ± 5 | 0.95 |
| 2 | 80 ± 7 (m) | 33 ± 1 | 2.4 |
| 3 | 57 ± 4 (m) | 8.8 ± 0.8 | 6.5 |
| 4 | 56 ± 8 (m) | 30 ± 6 | 1.9 |
| 5 | 29 ± 5 (c) | 5.2 ± 0.7 | 5.6 |
| 6 | 136 ± 13 (n) | 18 ± 4 | 7.6 |
| 7 | 37 ± 4 (c) | 23 ± 2 | 1.6 |
| 8 | 85 ± 5 (m) | 29 ± 3 | 2.9 |
| 9 | 24 ± 1 (n) | 25 ± 3 | 0.96 |
| 10 | 30 ± 3 (m) | 37 ± 5 | 0.81 |
| 11 | - | - | - |
| 12 | n.d. | 228 ± 56 * | n.d. |
| 13 | n.d. | n.d. | - |
| 14 | 21 ± 1 (m) | 36 ±2 | 0.58 |
| 15 | 59 ± 5 (c) | 34 ± 2 | 1.7 |
| galantamine [50] | 0.52 ± 0.03 | 1.08 ± 0.08 | 0.48 |
| donepezil [50] | 0.024 ± 0.007 | 2.33 ± 0.73 | 0.010 |
| Compound | TE/µM |
|---|---|
| 1 | 16.7 ± 0.1 |
| 3 | 23.9 ± 1.6 |
| 5 | 11.0 ± 0.3 |
| 7 | ≥50 |
| 8 | 3.6 ± 0.6 |
| 9 | 5.2 ± 0.0 |
| 10 | 9.3 ± 0.5 |
| 14 | 19.7 ± 1.6 |
| 15 | 43.2 ± 1.6 |
| Compound | Model | ||
|---|---|---|---|
| Ames Toxicity | Hepatotoxicity | Minnow Toxicity (LC50/mM) | |
| 1 | No | No | 30.9 |
| 2 | No | No | 20.3 |
| 3 | No | No | 34.2 |
| 4 | No | No | 1.49 |
| 5 | No | No | 2.24 |
| 6 | No | Yes | 0.62 |
| 7 | No | No | 2.19 |
| 8 | No | No | 1.31 |
| 9 | No | No | 0.33 |
| 10 | No | No | 0.05 |
| 11 | No | No | 1.49 |
| 12 | No | No | 100 |
| 13 | No | No | 100 |
| 14 | No | No | 260 |
| 15 | No | Yes | 5.20 |
Disclaimer/Publisher’s Note: The statements, opinions and data contained in all publications are solely those of the individual author(s) and contributor(s) and not of MDPI and/or the editor(s). MDPI and/or the editor(s) disclaim responsibility for any injury to people or property resulting from any ideas, methods, instructions or products referred to in the content. |
© 2025 by the authors. Licensee MDPI, Basel, Switzerland. This article is an open access article distributed under the terms and conditions of the Creative Commons Attribution (CC BY) license (https://creativecommons.org/licenses/by/4.0/).
Share and Cite
Bartolić, M.; Matošević, A.; Maraković, N.; Novaković, I.; Sladić, D.; Žunec, S.; Opsenica, D.; Bosak, A. Assessment of Biological Activity of Low Molecular Weight 1,4-Benzoquinone Derivatives. Biomolecules 2025, 15, 1162. https://doi.org/10.3390/biom15081162
Bartolić M, Matošević A, Maraković N, Novaković I, Sladić D, Žunec S, Opsenica D, Bosak A. Assessment of Biological Activity of Low Molecular Weight 1,4-Benzoquinone Derivatives. Biomolecules. 2025; 15(8):1162. https://doi.org/10.3390/biom15081162
Chicago/Turabian StyleBartolić, Marija, Ana Matošević, Nikola Maraković, Irena Novaković, Dušan Sladić, Suzana Žunec, Dejan Opsenica, and Anita Bosak. 2025. "Assessment of Biological Activity of Low Molecular Weight 1,4-Benzoquinone Derivatives" Biomolecules 15, no. 8: 1162. https://doi.org/10.3390/biom15081162
APA StyleBartolić, M., Matošević, A., Maraković, N., Novaković, I., Sladić, D., Žunec, S., Opsenica, D., & Bosak, A. (2025). Assessment of Biological Activity of Low Molecular Weight 1,4-Benzoquinone Derivatives. Biomolecules, 15(8), 1162. https://doi.org/10.3390/biom15081162

