Design and Characterization of Curcumin-Modified Polyurethane Material with Good Mechanical, Shape-Memory, pH-Responsive, and Biocompatible Properties
Abstract
1. Introduction
2. Materials and Methods
2.1. Materials
2.2. Methods
2.3. The Shape-Memory Experiment
2.4. Degradation Experiment
2.5. Cytotoxicity Test
2.6. Hemolysis Assay
3. Results
3.1. Synthesis and Characterization of the Cur-PU
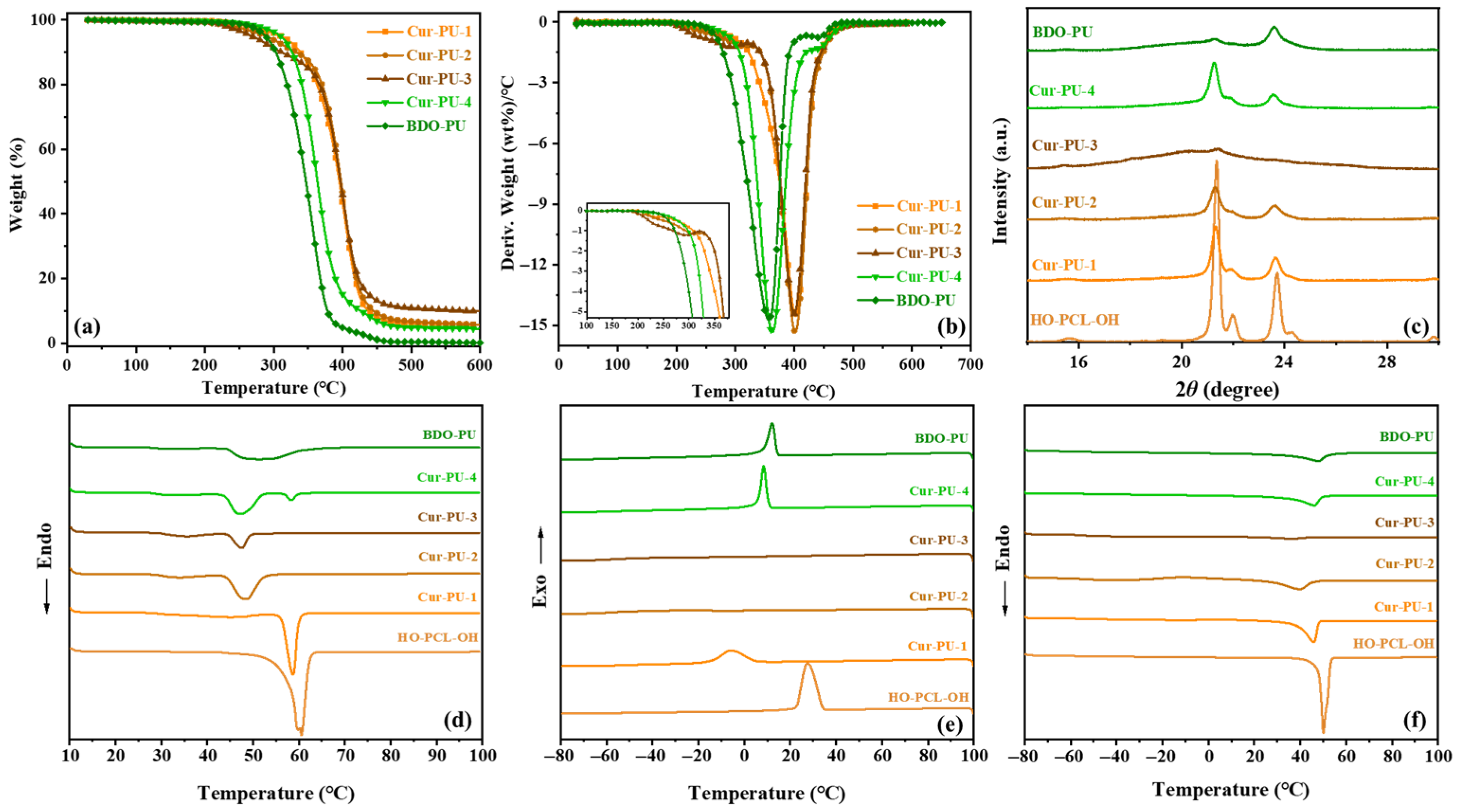
3.2. Thermal Behavioral and Crystallinity Properties of the Cur-PU
3.3. Mechanical Properties and Shape-Memory Behavior of the Cur-PU Films
3.4. pH Responsiveness of the Cur-PU
3.5. Hydrolytic Degradation of the Cur-PU Films
3.6. In Vitro and in Vivo Biocompatibility of the Cur-PU Films
4. Conclusions
Supplementary Materials
Author Contributions
Funding
Institutional Review Board Statement
Informed Consent Statement
Data Availability Statement
Conflicts of Interest
References
- Hasanzadeh, S.; Read, M.I.; Bland, A.R.; Majeed, M.; Jamialahmadi, T.; Sahebkar, A. Curcumin: An inflammasome silencer. Pharmacol. Res. 2020, 159, 104921. [Google Scholar] [CrossRef] [PubMed]
- Yang, H.; Du, Z.; Wang, W.; Song, M.; Sanidad, K.; Sukamtoh, E.; Zheng, J.; Tian, L.; Xiao, H.; Liu, Z.; et al. Structure-activity relationship of curcumin: Role of the methoxy group in anti-inflammatory and anticolitis effects of curcumin. J. Agric. Food Chem. 2017, 65, 4509–4515. [Google Scholar] [CrossRef] [PubMed]
- Di Meo, F.; Margarucci, S.; Galderisi, U.; Crispi, S.; Peluso, G. Curcumin, gut microbiota, neuroprotection. Nutrient 2019, 11, 2426. [Google Scholar] [CrossRef] [PubMed]
- Slika, T.L.; Patra, D. Raditional Uses, Therapeutic Effects and Recent Advances of Curcumin: A Mini-Review. Mini-Rev. Med. Chem. 2020, 20, 1072–1082. [Google Scholar] [CrossRef]
- Maheshwari, R.K.; Singh, A.K.; Gaddipati, J.; Srimal, R.C. Multiple biological activities of curcumin: A short review. Life Sci. 2006, 78, 2081–2087. [Google Scholar] [CrossRef]
- Kenjiro, O.; Kazuhiro, H.; Hironobu, N.; Masahito, Y. Curcumin has potent anti-amyloidogenic effects for alzheimer’s β-amyloid fibrils in vitro. J. Neurosci. Res. 2004, 75, 742–750. [Google Scholar] [CrossRef]
- Geevarghese, A.V.; Kasmani, F.; Dolatyabi, S. Curcumin and curcumin nanoparticles counteract the biological and managemental stressors in poultry production: An updated review. Res. Vet. Sci. 2023, 162, 104958. [Google Scholar] [CrossRef]
- Kadam, D.; Palamthodi, S.; Lele, S. Complexation of curcumin with lepidium sativum protein hydrolysate as a novel curcumin delivery system. Food Chem. 2019, 298, 125091. [Google Scholar] [CrossRef]
- Li, Y.; Qaria, M.A.; Sethupathy, S.; Sun, J.; Zhu, D. Curcumin production and bioavailability: A comprehensive review of curcumin extraction, synthesis, biotransformation and delivery systems. Ind. Crops Prod. 2021, 172, 114050. [Google Scholar] [CrossRef]
- Sun, Q.; Yuan, T.; Yang, G.; Guo, D.; Sha, L.; Yang, R. Chitosan-graft-poly(lactic acid)/CD-MOFs degradable composite microspheres for sustained release of curcumin. Int. J. Biol. Macromol. 2023, 253, 127519. [Google Scholar] [CrossRef]
- Ye, T.; Tan, J.; Wu, T.; Zhang, F.; Chen, S.; Wang, C. Self-healable and mechanically robust supramolecular-covalent poly(oxime-urethane) elastomers with information encryption via hydrogen bonds and coordinate interactions. Sci. China Chem. 2025, 68, 1998–2009. [Google Scholar] [CrossRef]
- Wang, R.; Xu, T.; Yang, Y.; Zhang, M.; Xie, R.; Cheng, Y.; Zhang, Y. Tough Polyurethane Hydrogels with a Multiple Hydrogen-Bond Interlocked Bicontinuous Phase Structure Prepared by in Situ Water-Induced Microphase Separation. Adv Mater. 2024, 37, 2412083. [Google Scholar] [CrossRef]
- Namviriyachote, N.; Muangman, P.; Chinaroonchai, K.; Chuntrasakul, C.; Ritthidej, C.C. Polyurethane-biomacromolecule combined foam dressing containing asiaticoside: Fabrication, characterization and clinical efficacy for traumatic dermal wound treatment. Int. J. Biol. Macromol. 2020, 143, 510–520. [Google Scholar] [CrossRef] [PubMed]
- Liu, Q.; Lou, P.; Sun, Z.; Li, D.; Ji, H.; Xu, Z.; Li, L.; Xue, J.; Wang, R.; Wang, Z.; et al. Bio-Based Elastomers: Design, Properties, and Biomedical Applications. Adv. Mater. 2025, 37, 2417193. [Google Scholar] [CrossRef] [PubMed]
- Namviriyachote, N.; Lipipun, V.; Akkhawattanangkul, Y.; Charoonrut, P.; Ritthidej, C.C. Development of polyurethane foam dressing containing silver and asiaticoside for healing of dermal wound. Asian J. Pharm. Sci. 2019, 14, 63–77. [Google Scholar] [CrossRef]
- Letchford, K.; Liggins, R.; Burt, H. Solubilization of hydrophobic drugs by methoxy poly(ethylene glycol)-block-polycaprolactone diblock copolymer micelles: Theoretical and experimental data and correlations. J. Pharm. Sci. 2008, 97, 1179–1190. [Google Scholar] [CrossRef]
- Anand, P.; Kunnumakkara, A.B.; Newman, R.A.; Aggarwal, B.B. Bioavailability of curcumin: Problems and promises. Mol. Pharm. 2007, 4, 807–818. [Google Scholar] [CrossRef]
- Sahu, A.; Bora, U.; Kasoju, N.; Goswami, P. Synthesis of novel biodegradable and self-assembling methoxy poly(ethylene glycol)-palmitate nanocarrier for curcumin delivery to cancer cells. Acta Biomater. 2008, 4, 1752–1761. [Google Scholar] [CrossRef]
- Ma, Z.; Haddadi, A.; Molavi, O.; Lavasanifar, A.; Lai, R.; Samuel, J. Micelles of poly(ethylene oxide)-b-poly(ε-caprolactone) as vehicles for the solubilization, stabilization, and controlled delivery of curcumin. J. Biomed. Mater. Res. Part A 2007, 86, 300–310. [Google Scholar] [CrossRef]
- Li, L.; Ahmed, B.; Mehta, K.; Kurzrock, R. Liposomal curcumin with and without oxaliplatin: Effects on cell growth, apoptosis, and angiogenesis in colorectal cancer. Mol. Cancer Ther. 2007, 6, 1276–1282. [Google Scholar] [CrossRef]
- Bisht, S.; Feldmann, G.; Soni, S.; Ravi, R.; Karikar, C.; Maitra, A. Polymeric nanoparticle-encapsulated curcumin, A.M.“nanocurcumin”): A novel strategy for human cancer therapy. J. Nanobiotechnol. 2007, 5, 3. [Google Scholar] [CrossRef] [PubMed]
- Sou, K.; Inenaga, S.; Takeoka, S.; Tsuchida, E. Loading of curcumin into macrophages using lipid-based nanoparticles. Int. J. Pharm. 2008, 352, 287–293. [Google Scholar] [CrossRef] [PubMed]
- Vemula, P.K.; Li, J.; John, G. Enzyme catalysis: Tool to make and break amygdalin hydrogelators from renewable resources: A delivery model for hydrophobic drugs. J. Am. Chem. Soc. 2006, 128, 8932–8938. [Google Scholar] [CrossRef] [PubMed]
- Song, Z.; Feng, R.; Sun, M.; Guo, C.; Gao, Y.; Li, L.; Zhai, G. Curcumin-loaded PLGA-PEG-PLGA triblock copolymeric micelles: Preparation, pharmacokinetics and distribution in vivo. J. Colloid Interface Sci. 2011, 354, 116–123. [Google Scholar] [CrossRef]
- Song, W.; Chen, X.; Dai, C.; Lin, D.; Pang, X.; Zhang, D.; Liu, G.; Jin, Y.; Lin, J. Comparative Study of Preparation, Evaluation, and Pharmacokinetics in Beagle Dogs of Curcumin β-cyclodextrin Inclusion Complex, Curcumin Solid Dispersion, and Curcumin Phospholipid Complex. Molecules 2022, 27, 2998. [Google Scholar] [CrossRef]
- Nogami, S.; Minoura, K.; Kiminami, N.; Kitaura, Y.; Uchiyama, H.; Kadota, K.; Tozuka, Y. Stabilizing effect of the cyclodextrins additive to spray-dried particles of curcumin/polyvinylpyrrolidone on the supersaturated state of curcumin. Adv. Powder Technol. 2021, 32, 1750–1756. [Google Scholar] [CrossRef]
- Miao, W.; Gu, R.; Shi, X.; Zhang, J.; Yu, L.; Xiao, H.; Li, C. Indicative bacterial cellulose films incorporated with curcumin-embedded Pickering emulsions: Preparation, antibacterial performance, and mechanism. Chem. Eng. J. 2024, 495, 153284. [Google Scholar] [CrossRef]
- Yang, Q.; Li, R.; Hong, Y.; Liu, H.; Jian, C.; Zhao, S. Curcumin-Loaded Gelatin Nanoparticles Cross the Blood-Brain Barrier to Treat Ischemic Stroke by Attenuating Oxidative Stress and Neuroinflammation. Int. J. Nanomed. 2024, 19, 11633–11649. [Google Scholar] [CrossRef]
- Huang, R.; Sun, W.; Li, W.; Hu, R.; Meng, R.; Peng, Z.; Yang, R.; Huang, T.; Du, J.; Shang, L.; et al. Immunomodulatory hydrogel patches loaded with curcumin and tannic acid assembled nanoparticles for radiation dermatitis repair and radioprotection. Chem. Eng. J. 2024, 500, 156869. [Google Scholar] [CrossRef]
- Mahmood, K.; Noreen, I.; Riaz, M.; Zuber, M.; Salman, M.; Rehman, S.; Zia, K.M. Synthesis and characterization of novel curcumin-based polyurethanes varying diisocyanates structure. J. Polym. Res. 2016, 23, 233. [Google Scholar] [CrossRef]
- Chen, L.; Yang, J.; Wang, K.; Chen, F.; Fu, Q. Largely improved tensile extensibility of poly(L-lactic acid) by adding poly(ε-caprolactone). Polym. Int. 2010, 59, 1154–1161. [Google Scholar] [CrossRef]
- Yan, Y.; Wu, G.; Chen, S.; Wang, Y. Synthesis and characterization of poly(p-dioxanone)-based degradable copolymers with enhanced thermal and hydrolytic stabilities. Chin. Chem. Lett. 2022, 33, 2151–2154. [Google Scholar] [CrossRef]
- Gawlikowski, M.; El Fray, M.; Janiczak, K.; Zawidlak-Węgrzyńska, B.; Kustosz, R. In-Vitro Biocompatibility and Hemocompatibility Study of New PET Copolyesters Intended for Heart Assist Devices. Polymers 2020, 12, 2857. [Google Scholar] [CrossRef] [PubMed]
- Pan, M.; Zhao, C.; Xu, Z.; Yang, Y.; Teng, T.; Lin, J.; Huang, H. Radiopaque Chitosan Ducts Fabricated by Extrusion-Based 3D Printing to Promote Healing After Pancreaticoenterostomy. Front. Bioeng. Biotechnol. 2021, 9, 686207. [Google Scholar] [CrossRef] [PubMed]
- Wang, M.; Liu, H.-Y.; Ke, N.-W.; Wu, G.; Chen, S.-C.; Wang, Y.-C. Toward Regulating Degradation in Stages of Polyurethane Copolymer with Bicontinuous Microphase Separation. J. Mater. Chem. B 2023, 11, 3164–3175. [Google Scholar] [CrossRef]
- Teng, D.; Xue, Y.; Chen, Z.; Wang, Y.; Jiang, G. Preparation and performance testing of curcumin-based polyurethane materials. Polym. Bull. 2025, 82, 2827–2844. [Google Scholar] [CrossRef]
- Chen, X.; Zhong, Q.; Cui, C.; Ma, L.; Liu, S.; Zhang, Q.; Wu, Y.; An, L.; Cheng, Y.; Ye, S.; et al. Extremely Tough, Puncture-Resistant, Transparent, and Photoluminescent Polyurethane Elastomers for Crack Self-Diagnose and Healing Tracking. ACS Appl. Mater. Interfaces 2020, 12, 30847–30855. [Google Scholar] [CrossRef]
- Liu, Z.; Guo, W.; Wang, W.; Guo, Z.; Yao, L.; Xue, Y.; Liu, Q.; Zhang, Q. Healable Strain Sensor Based on Tough and Eco-Friendly Biomimetic Supramolecular Waterborne Polyurethane. ACS Appl. Mater. Interfaces 2022, 14, 6016–6027. [Google Scholar] [CrossRef]
- Ma, Z.; Hong, Y.; Nelson, D.M.; Pichamuthu, J.E.; Leeson, C.E.; Wagner, W.R. Biodegradable Polyurethane Ureas with Variable Polyester or Polycarbonate Soft Segments: Effects of Crystallinity, Molecular Weight, and Composition on Mechanical Properties. Biomacromolecules 2011, 12, 3265–3274. [Google Scholar] [CrossRef]
- Wanga, F.; Chena, S.; Wu, Q.; Zhang, R.; Sun, P. Strain-induced structural and dynamic changes in segmented polyurethane elastomers. Polymer 2019, 163, 154–161. [Google Scholar] [CrossRef]
- Wang, Y.; Pan, M.; Cheng, A.; Lin, L.; Ho, Y.; Hsieh, C.; Lin, J. Stability of curcumin in buffer solutions and characterization of its degradation products. J. Pharm. Biomed. Anal. 1997, 15, 1867–1876. [Google Scholar] [CrossRef] [PubMed]
- Kharat, M.; Du, Z.; Zhang, G.; McClements, D.J. Physical and chemical stability of curcumin in aqueous solutions and emulsions: Impact of pH, temperature, and molecular environment. J. Agric. Food Chem. 2017, 65, 1525–1532. [Google Scholar] [CrossRef]
- Jia, P.P.; Zou, Y.; Jiang, J. Antibacterial, antioxidant and injectable hydrogels constructed using CuS and curcumin co-loaded micelles for NIR-enhanced infected wound healing. J. Mater. Chem. B. 2023, 11, 11319. [Google Scholar] [CrossRef]
- Hussain, Z.; Thu, H.E.; Ng, S.F.; Khan, S.; Katas, H. Nanoencapsulation, an efficient and promising approach to maximize wound healing efficacy of curcumin: A review of new trends and state-of-the-art. Colloids Surf. B Biointerfaces 2017, 150, 223–241. [Google Scholar] [CrossRef]








Disclaimer/Publisher’s Note: The statements, opinions and data contained in all publications are solely those of the individual author(s) and contributor(s) and not of MDPI and/or the editor(s). MDPI and/or the editor(s) disclaim responsibility for any injury to people or property resulting from any ideas, methods, instructions or products referred to in the content. |
© 2025 by the authors. Licensee MDPI, Basel, Switzerland. This article is an open access article distributed under the terms and conditions of the Creative Commons Attribution (CC BY) license (https://creativecommons.org/licenses/by/4.0/).
Share and Cite
Wang, M.; Liu, H.; Zhao, W.; Wang, H.; Zhuang, Y.; Yang, J.; Liu, Z.; Zhu, J.; Chen, S.; Cheng, J. Design and Characterization of Curcumin-Modified Polyurethane Material with Good Mechanical, Shape-Memory, pH-Responsive, and Biocompatible Properties. Biomolecules 2025, 15, 1070. https://doi.org/10.3390/biom15081070
Wang M, Liu H, Zhao W, Wang H, Zhuang Y, Yang J, Liu Z, Zhu J, Chen S, Cheng J. Design and Characterization of Curcumin-Modified Polyurethane Material with Good Mechanical, Shape-Memory, pH-Responsive, and Biocompatible Properties. Biomolecules. 2025; 15(8):1070. https://doi.org/10.3390/biom15081070
Chicago/Turabian StyleWang, Man, Hongying Liu, Wei Zhao, Huafen Wang, Yuwei Zhuang, Jie Yang, Zhaohui Liu, Jing Zhu, Sichong Chen, and Jinghui Cheng. 2025. "Design and Characterization of Curcumin-Modified Polyurethane Material with Good Mechanical, Shape-Memory, pH-Responsive, and Biocompatible Properties" Biomolecules 15, no. 8: 1070. https://doi.org/10.3390/biom15081070
APA StyleWang, M., Liu, H., Zhao, W., Wang, H., Zhuang, Y., Yang, J., Liu, Z., Zhu, J., Chen, S., & Cheng, J. (2025). Design and Characterization of Curcumin-Modified Polyurethane Material with Good Mechanical, Shape-Memory, pH-Responsive, and Biocompatible Properties. Biomolecules, 15(8), 1070. https://doi.org/10.3390/biom15081070

