β-Galactosidase-Catalyzed Transglycosylation of Tyrosol: Substrates and Deep Eutectic Solvents Affecting Activity and Stability
Abstract
1. Introduction
2. Materials and Methods
2.1. Materials
2.2. Preparation of Deep Eutectic Solvents
2.3. Enzymatic Activity Assay
2.4. Nanoscale Differential Scanning Fluorometry (nanoDSF)
2.5. Circular Dichroism (CD) Spectroscopy
2.6. Enzymatic Synthesis of Tyrosol β-d-Galactoside
2.7. HPLC Analyses
2.7.1. Determination of Tyrosol and Tyrosol β-d-Galactoside Concentrations
2.7.2. Determination of Lactose, Galactooligosaccharide, Polyol and Polyol Galactosides’ Concentration
2.8. Determination of Glucose Concentration
2.9. Calculation of Material Balance and Activities
2.10. Statistical Analysis
3. Results and Discussion
3.1. Reaction Mechanism
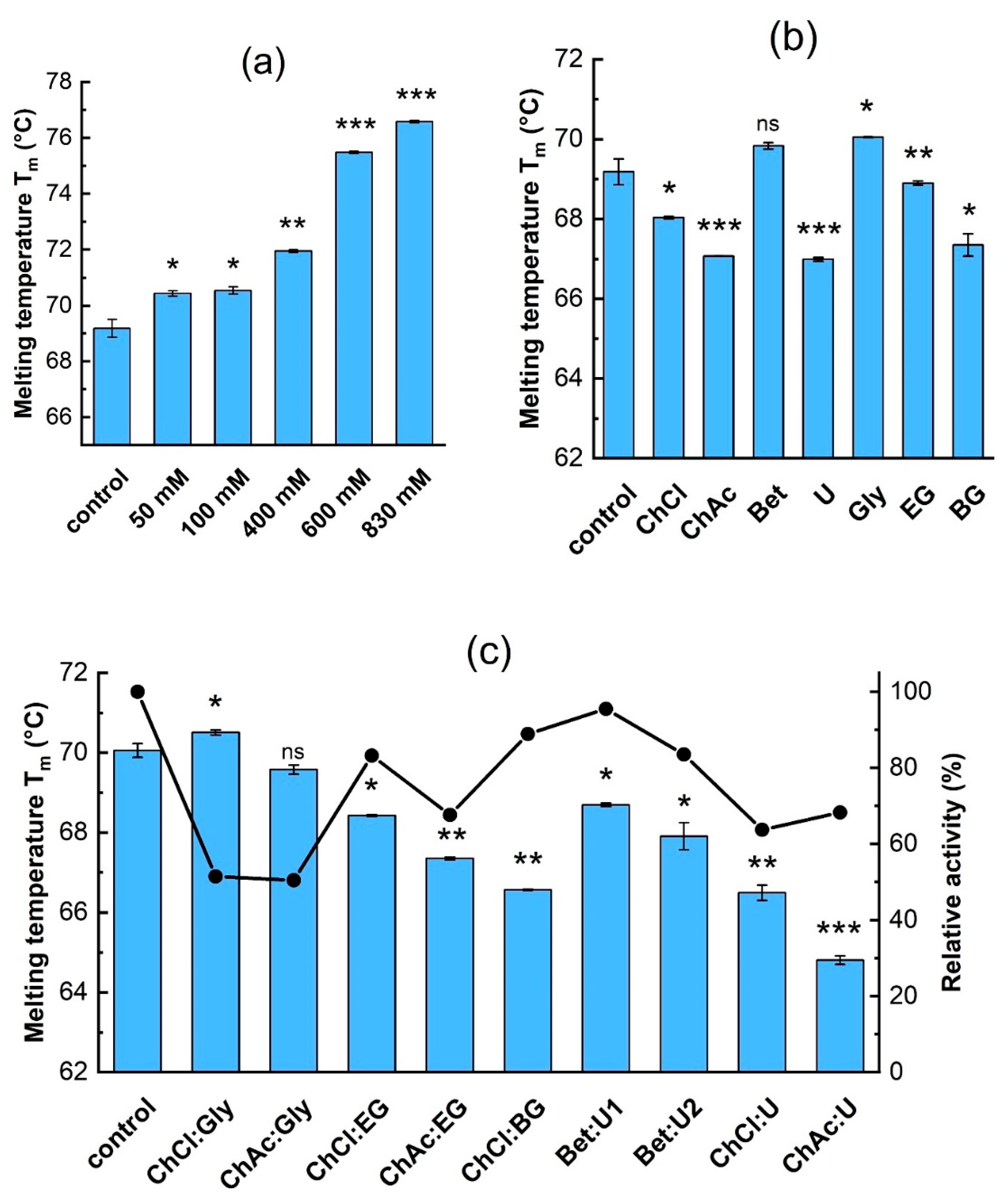
3.2. Effect of Reaction Mixture Components on the Thermal Stability and Total Activity
3.3. Effect of DESs on Enzyme’s Specificity Towards Galactosyl Acceptors
3.4. Effect of DESs on the Transglycosylation of Tyrosol
3.5. Effect of Initial Tyrosol Concentration on Transglycosylation
4. Conclusions
Supplementary Materials
Author Contributions
Funding
Institutional Review Board Statement
Informed Consent Statement
Data Availability Statement
Acknowledgments
Conflicts of Interest
References
- Di Benedetto, R.; Varì, R.; Scazzocchio, B.; Filesi, C.; Santangelo, C.; Giovannini, C.; Matarrese, P.; D’Archivio, M.; Masella, R. Tyrosol, the Major Extra Virgin Olive Oil Compound, Restored Intracellular Antioxidant Defences in Spite of Its Weak Antioxidative Effectiveness. Nutr. Metab. Cardiovasc. Dis. 2007, 17, 535–545. [Google Scholar] [CrossRef] [PubMed]
- Atochin, D.N.; Chernysheva, G.A.; Smolyakova, V.I.; Osipenko, A.N.; Logvinov, S.V.; Zhdankina, A.A.; Sysolyatin, S.V.; Kryukov, Y.A.; Anfinogenova, Y.; Plotnikova, T.M.; et al. Neuroprotective Effects of P-Tyrosol after the Global Cerebral Ischemia in Rats. Phytomedicine 2016, 23, 784–792. [Google Scholar] [CrossRef] [PubMed]
- Zhang, X.; Xie, L.; Long, J.; Xie, Q.; Zheng, Y.; Liu, K.; Li, X. Salidroside: A Review of Its Recent Advances in Synthetic Pathways and Pharmacological Properties. Chem. Biol. Interact. 2021, 339, 109268. [Google Scholar] [CrossRef] [PubMed]
- Shi, T.; Feng, S.; Xing, J.; Wu, Y.; Li, X.; Zhang, N.; Tian, Z.; Liu, S.; Zhao, M. Neuroprotective Effects of Salidroside and Its Analogue Tyrosol Galactoside Against Focal Cerebral Ischemia In Vivo and H2O2-Induced Neurotoxicity In Vitro. Neurotox. Res. 2012, 21, 358–367. [Google Scholar] [CrossRef]
- Kis, P.; Horváthová, E.; Gálová, E.; Ševčovičová, A.; Antalová, V.; Karnišová Potocká, E.; Mastihuba, V.; Mastihubová, M. Synthesis of Tyrosol and Hydroxytyrosol Glycofuranosides and Their Biochemical and Biological Activities in Cell-Free and Cellular Assays. Molecules 2021, 26, 7607. [Google Scholar] [CrossRef]
- Hayes, M.; Pietruszka, J. Synthesis of Glycosides by Glycosynthases. Molecules 2017, 22, 1434. [Google Scholar] [CrossRef]
- Herrera-González, A.; Núñez-López, G.; Morel, S.; Amaya-Delgado, L.; Sandoval, G.; Gschaedler, A.; Remaud-Simeon, M.; Arrizon, J. Functionalization of Natural Compounds by Enzymatic Fructosylation. Appl. Microbiol. Biotechnol. 2017, 101, 5223–5234. [Google Scholar] [CrossRef]
- Zhang, C.; Cai, Y.; Zhang, Z.; Zheng, N.; Zhou, H.; Su, Y.; Du, S.; Hussain, A.; Xia, X. Directed Evolution of the UDP-Glycosyltransferase UGTBL 1 for Highly Regioselective and Efficient Biosynthesis of Natural Phenolic Glycosides. J. Agric. Food Chem. 2024, 72, 1640–1650. [Google Scholar] [CrossRef]
- Wen, C.; Wu, H.-C.; Ouyang, W.-H.; Nie, J.-X.; Guo, Y.-P.; Wang, F.; Hu, L.-L.; Yang, J.-H.; Zheng, L.-J.; Wang, J.-L.; et al. Exploring the Catalytic Flexibility and Reversibility of Plant Glycosyltransferase HtUGT72AS1 for Glycodiversification of Phenolic Compounds. J. Agric. Food Chem. 2023, 71, 8998–9008. [Google Scholar] [CrossRef]
- De Boer, R.M.; Vaitkus, D.; Enemark-Rasmussen, K.; Maschmann, S.; Teze, D.; Welner, D.H. Regioselective Glycosylation of Polyphenols by Family 1 Glycosyltransferases: Experiments and Simulations. ACS Omega 2023, 8, 46300–46308. [Google Scholar] [CrossRef]
- González-Alfonso, J.; Míguez, N.; Padilla, J.; Leemans, L.; Poveda, A.; Jiménez-Barbero, J.; Ballesteros, A.; Sandoval, G.; Plou, F. Optimization of Regioselective α-Glucosylation of Hesperetin Catalyzed by Cyclodextrin Glucanotransferase. Molecules 2018, 23, 2885. [Google Scholar] [CrossRef] [PubMed]
- Gonzalez-Alfonso, J.L.; Leemans, L.; Poveda, A.; Jimenez-Barbero, J.; Ballesteros, A.O.; Plou, F.J. Efficient α-Glucosylation of Epigallocatechin Gallate Catalyzed by Cyclodextrin Glucanotransferase from Thermoanaerobacter Species. J. Agric. Food Chem. 2018, 66, 7402–7408. [Google Scholar] [CrossRef] [PubMed]
- Monti, D.; Riva, S. Hydrolysis and Formation of Glycosidic Bonds. In Enzyme Catalysis in Organic Synthesis; Drauz, K., Gröger, H., May, O., Eds.; Wiley: Hoboken, NJ, USA, 2012; pp. 417–466. ISBN 978-3-527-32547-4. [Google Scholar]
- Kasche, V. Mechanism and Yields in Enzyme Catalysed Equilibrium and Kinetically Controlled Synthesis of β-Lactam Antibiotics, Peptides and Other Condensation Products. Enzyme Microb. Technol. 1986, 8, 4–16. [Google Scholar] [CrossRef]
- Thuan, N.H.; Sohng, J.K. Recent Biotechnological Progress in Enzymatic Synthesis of Glycosides. J. Ind. Microbiol. Biotechnol. 2013, 40, 1329–1356. [Google Scholar] [CrossRef]
- Ramos, O.S.; Malcata, F.X. Food-Grade Enzymes. In Comprehensive Biotechnology; Elsevier: Amsterdam, The Netherlands, 2011; pp. 555–569. ISBN 978-0-08-088504-9. [Google Scholar]
- Maksimainen, M.M.; Lampio, A.; Mertanen, M.; Turunen, O.; Rouvinen, J. The Crystal Structure of Acidic β-Galactosidase from Aspergillus Oryzae. Int. J. Biol. Macromol. 2013, 60, 109–115. [Google Scholar] [CrossRef]
- Vera, C.; Guerrero, C.; Wilson, L.; Illanes, A. Synthesis of Butyl-β- d-Galactoside with Commercial β-Galactosidases. Food Bioprod. Process. 2017, 103, 66–75. [Google Scholar] [CrossRef]
- Carević, M.; Veličković, D.; Stojanović, M.; Milosavić, N.; Rogniaux, H.; Ropartz, D.; Bezbradica, D. Insight in the Regioselective Enzymatic Transgalactosylation of Salicin Catalyzed by β-Galactosidase from Aspergillus Oryzae. Process Biochem. 2015, 50, 782–788. [Google Scholar] [CrossRef]
- Irazoqui, G.; Bustamante, M.J.; Castilla, A.; Villagrán, L.V.; Batista-Viera, F.; Brena, B.M.; Giacomini, C. Substrate-like Inhibition of the Transgalactosylation Reaction Catalyzed by β-Galactosidase from Aspergillus oryzae. Biocatal. Biotransform. 2013, 31, 57–65. [Google Scholar] [CrossRef]
- Potocká, E.; Mastihubová, M.; Mastihuba, V. Enzymatic Synthesis of Tyrosol Glycosides. J. Mol. Catal. B Enzym. 2015, 113, 23–28. [Google Scholar] [CrossRef]
- Hollá, V.; Hill, R.; Antošová, M.; Polakovič, M. Design of Immobilized Biocatalyst and Optimal Conditions for Tyrosol β-Galactoside Production. Bioprocess Biosyst. Eng. 2021, 44, 93–101. [Google Scholar] [CrossRef]
- Abdul Manas, N.H.; Illias, R.M.; Mahadi, N.M. Strategy in Manipulating Transglycosylation Activity of Glycosyl Hydrolase for Oligosaccharide Production. Crit. Rev. Biotechnol. 2018, 38, 272–293. [Google Scholar] [CrossRef] [PubMed]
- Chen, H.; Jin, X.; Zhu, L.; Lu, Y.; Ma, Z.; Liu, S.; Chen, X. Glycosyl Hydrolase Catalyzed Glycosylation in Unconventional Media. Appl. Microbiol. Biotechnol. 2020, 104, 9523–9534. [Google Scholar] [CrossRef] [PubMed]
- Cao, C.; Matsuda, T. Biocatalysis in Organic Solvents, Supercritical Fluids and Ionic Liquids. In Organic Synthesis Using Biocatalysis; Elsevier: Amsterdam, The Netherlands, 2016; pp. 67–97. ISBN 978-0-12-411518-7. [Google Scholar]
- Abbott, A.P.; Capper, G.; Davies, D.L.; Rasheed, R.K.; Tambyrajah, V. Novel Solvent Properties of Choline Chloride/Urea mixtures. Chem. Commun. 2003, 70–71. [Google Scholar] [CrossRef]
- Arnodo, D.; Maffeis, E.; Marra, F.; Nejrotti, S.; Prandi, C. Combination of Enzymes and Deep Eutectic Solvents as Powerful Toolbox for Organic Synthesis. Molecules 2023, 28, 516. [Google Scholar] [CrossRef]
- Xu, W.-J.; Huang, Y.-K.; Li, F.; Wang, D.-D.; Yin, M.-N.; Wang, M.; Xia, Z.-N. Improving β-Glucosidase Biocatalysis with Deep Eutectic Solvents Based on Choline Chloride. Biochem. Eng. J. 2018, 138, 37–46. [Google Scholar] [CrossRef]
- Miranda-Molina, A.; Xolalpa, W.; Strompen, S.; Arreola-Barroso, R.; Olvera, L.; López-Munguía, A.; Castillo, E.; Saab-Rincon, G. Deep Eutectic Solvents as New Reaction Media to Produce Alkyl-Glycosides Using Alpha-Amylase from Thermotoga Maritima. Int. J. Mol. Sci. 2019, 20, 5439. [Google Scholar] [CrossRef]
- Ma, Z.; Mi, Y.; Han, X.; Li, H.; Tian, M.; Duan, Z.; Fan, D.; Ma, P. Transformation of Ginsenoside via Deep Eutectic Solvents Based on Choline Chloride as an Enzymatic Reaction Medium. Bioprocess Biosyst. Eng. 2020, 43, 1195–1208. [Google Scholar] [CrossRef]
- Fotiadou, R.; Bellou, M.G.; Spyrou, K.; Yan, F.; Rudolf, P.; Gournis, D.; Stamatis, H. Effect of Deep Eutectic Solvents on the Biocatalytic Properties of β-glucosidase@ZnOFe Nano-Biocatalyst. Sustain. Chem. Pharm. 2022, 30, 100886. [Google Scholar] [CrossRef]
- Han, X.; Li, W.; Duan, Z.; Ma, X.; Fan, D. Biocatalytic Production of Compound K in a Deep Eutectic Solvent Based on Choline Chloride Using a Substrate Fed-Batch Strategy. Bioresour. Technol. 2020, 305, 123039. [Google Scholar] [CrossRef]
- Adamíková, J.; Antošová, M.; Polakovič, M. A Method of Early Phase Selection of Carrier for Aspergillus Oryzae β -Galactosidase Immobilization for Galactooligosaccharides Production. Biotechnol. J. 2019, 14, 1800120. [Google Scholar] [CrossRef]
- Mjalli, F.S.; Ahmed, O.U. Ethaline and Glyceline Binary Eutectic Mixtures: Characteristics and Intermolecular Interactions. Asia-Pac. J. Chem. Eng. 2017, 12, 313–320. [Google Scholar] [CrossRef]
- Hoppe, J.; Drozd, R.; Byzia, E.; Smiglak, M. Deep Eutectic Solvents Based on Choline Cation—Physicochemical Properties and Influence on Enzymatic Reaction with β-Galactosidase. Int. J. Biol. Macromol. 2019, 136, 296–304. [Google Scholar] [CrossRef] [PubMed]
- Jablonský, M.; Šima, J. Deep Eutectic Solvents in Biomass Valorization; SPEKTRUM STU: Bratislava, Slovakia, 2019; ISBN 978-80-227-4911-4. [Google Scholar]
- Mjalli, F.S.; Naser, J. Viscosity Model for Choline Chloride-based Deep Eutectic Solvents. Asia-Pac. J. Chem. Eng. 2015, 10, 273–281. [Google Scholar] [CrossRef]
- Van Stokkum, I.H.M.; Spoelder, H.J.W.; Bloemendal, M.; Van Grondelle, R.; Groen, F.C.A. Estimation of Protein Secondary Structure and Error Analysis from Circular Dichroism Spectra. Anal. Biochem. 1990, 191, 110–118. [Google Scholar] [CrossRef]
- Kim, S.H.; Yoo, H.J.; Park, E.J.; Na, D.H. Nano Differential Scanning Fluorimetry-Based Thermal Stability Screening and Optimal Buffer Selection for Immunoglobulin G. Pharmaceuticals 2021, 15, 29. [Google Scholar] [CrossRef]
- Gao, K.; Oerlemans, R.; Groves, M.R. Theory and Applications of Differential Scanning Fluorimetry in Early-Stage Drug Discovery. Biophys. Rev. 2020, 12, 85–104. [Google Scholar] [CrossRef]
- Illeová, V.; Polakovič, M. Thermal Inactivation Kinetics of Aspergillus Oryzae β -Galactosidase in Concentrated Lactose Solution. Acta Chim. Slovaca 2018, 11, 170–174. [Google Scholar] [CrossRef]
- Karkeszová, K.; Antošová, M.; Potocká, E.K.; Mastihuba, V.; Polakovič, M. Medium Engineering of Phenylethanoid Transfructosylation Catalysed by Yeast β-Fructofuranosidase. Bioprocess Biosyst. Eng. 2023, 46, 237–249. [Google Scholar] [CrossRef]
- Wu, B.-P.; Wen, Q.; Xu, H.; Yang, Z. Insights into the Impact of Deep Eutectic Solvents on Horseradish Peroxidase: Activity, Stability and Structure. J. Mol. Catal. B Enzym. 2014, 101, 101–107. [Google Scholar] [CrossRef]
- Weiz, G.; Braun, L.; Lopez, R.; De María, P.D.; Breccia, J.D. Enzymatic Deglycosylation of Flavonoids in Deep Eutectic Solvents-Aqueous Mixtures: Paving the Way for Sustainable Flavonoid Chemistry. J. Mol. Catal. B Enzym. 2016, 130, 70–73. [Google Scholar] [CrossRef]
- Hoppe, J.; Byzia, E.; Szymańska, M.; Drozd, R.; Smiglak, M. Acceleration of Lactose Hydrolysis Using Beta-Galactosidase and Deep Eutectic Solvents. Food Chem. 2022, 384, 132498. [Google Scholar] [CrossRef] [PubMed]
- Sandoval, M.; Civera, C.; Berenguer, J.; García-Blanco, F.; Hernaiz, M.J. Optimised N-Acetyl-d-Lactosamine Synthesis Using Thermus Thermophilus β-Galactosidase in Bio-Solvents. Tetrahedron 2013, 69, 1148–1152. [Google Scholar] [CrossRef][Green Version]
- Sandoval, M.; Cortés, Á.; Civera, C.; Treviño, J.; Ferreras, E.; Vaultier, M.; Berenguer, J.; Lozano, P.; Hernáiz, M.J. Efficient and Selective Enzymatic Synthesis of N-Acetyl-Lactosamine in Ionic Liquid: A Rational Explanation. RSC Adv. 2012, 2, 6306. [Google Scholar] [CrossRef]
- Pérez-Sánchez, M.; Sandoval, M.; Cortés-Cabrera, A.; García-Marín, H.; Sinisterra, J.V.; García, J.I.; Hernaiz, M.J. Solvents Derived from Glycerol Modify Classical Regioselectivity in the Enzymatic Synthesis of Disaccharides with Biolacta β-Galactosidase. Green Chem. 2011, 13, 2810. [Google Scholar] [CrossRef]
- Pérez-Sánchez, M.; Sandoval, M.; Hernáiz, M.J. Bio-Solvents Change Regioselectivity in the Synthesis of Disaccharides Using Biolacta β-Galactosidase. Tetrahedron 2012, 68, 2141–2145. [Google Scholar] [CrossRef]
- Piedrabuena, D.; Rumbero, Á.; Pires, E.; Leal-Duaso, A.; Civera, C.; Fernández-Lobato, M.; Hernaiz, M.J. Enzymatic Synthesis of Novel Fructosylated Compounds by Ffase from Schwanniomyces occidentalis in Green Solvents. RSC Adv. 2021, 11, 24312–24319. [Google Scholar] [CrossRef]
- Irazoqui, G.; Giacomini, C.; Batista-Viera, F.; Brena, B.M.; Cardelle-Cobas, A.; Corzo, N.; Jimeno, M.L. Characterization of Galactosyl Derivatives Obtained by Transgalactosylation of Lactose and Different Polyols Using Immobilized β-Galactosidase from Aspergillus Oryzae. J. Agric. Food Chem. 2009, 57, 11302–11307. [Google Scholar] [CrossRef]
- Maugard, T.; Gaunt, D.; Legoy, M.D.; Besson, T. Microwave-Assisted Synthesis of Galacto-Oligosaccharides from Lactose with Immobilized β-Galactosidase from Kluyveromyces Lactis. Biotechnol. Lett. 2003, 25, 623–629. [Google Scholar] [CrossRef]
- Qi, T.; Gu, G.; Xu, L.; Xiao, M.; Lu, L. Efficient Synthesis of Tyrosol Galactosides by the β-Galactosidase from Enterobacter Cloacae B5. Appl. Microbiol. Biotechnol. 2017, 101, 4995–5003. [Google Scholar] [CrossRef]








| HBA | HBD | Molar Ratio HBA:HBD | Abbreviation | Density (g/cm3) | Viscosity (mPas) | Reference | |
|---|---|---|---|---|---|---|---|
| Betaine | Urea | Water | 1.44:1:2.76 | Bet:U1 | 1.17 | NA | - |
| Urea | Water | 1:2:1.33 | Bet:U2 | 1.19 | NA | - | |
| Choline chloride | Glycerol | 1:2 | ChCl:Gly | 1.19 | 376.0 | [34,35] | |
| Ethylene glycol | 1:2 | ChCl:EG | 1.12 | 52.1 | [34,35] | ||
| Butylene glycol | 1:4 | ChCl:BG | 1.04 | 88 | [36] | ||
| Urea | 1:2 | ChCl:U | 1.18 | 750 | [35,37] | ||
| Choline acetate | Glycerol | 1:2 | ChAc:Gly | 1.17 | 284.6 * | [35] | |
| Ethylene glycol | 1:2 | ChAc:EG | 1.10 | 37.6 * | [35] | ||
| Urea | 1:2 | ChAc:U | 1.18 | 179.4 * | [35] | ||
| Component | Concentration (mM) |
|---|---|
| Tyrosol | 0.36 or 0.72 |
| Lactose | 50, 100, 400, 600, 830 |
| Choline chloride | 469.9 |
| Choline acetate | 415.4 |
| Betaine | 602.7 |
| Urea | 909.1 |
| Glycerol | 735.1 |
| Ethylene glycol | 845.8 |
| Butylene glycol | 652.5 |
| DES | Relative Activity | ||
|---|---|---|---|
| (%) | (%) | (%) | |
| Control | 16 | 52 | 32 |
| ChCl:Gly | 8 | 27 | 61 |
| ChAc:Gly | 14 | 46 | 39 |
| ChCl:EG | 9 | 28 | 56 |
| ChAc:EG | 8 | 46 | 43 |
| ChCl:BG | 4 | 12 | 81 |
| Bet:U1 | 15 | 67 | 18 |
| Bet:U2 | 16 | 58 | 26 |
| ChCl:U | 12 | 43 | 44 |
| ChAc:U | 12 | 44 | 43 |
| Tyrosol (mM) | Relative Activity | ||
|---|---|---|---|
| (%) | (%) | (%) | |
| 36.2 | 8 | 51 | 41 |
| 72.4 | 16 | 52 | 32 |
| 144.8 | 37 | 38 | 25 |
| 289.5 | 66 | 4 | 30 |
Disclaimer/Publisher’s Note: The statements, opinions and data contained in all publications are solely those of the individual author(s) and contributor(s) and not of MDPI and/or the editor(s). MDPI and/or the editor(s) disclaim responsibility for any injury to people or property resulting from any ideas, methods, instructions or products referred to in the content. |
© 2025 by the authors. Licensee MDPI, Basel, Switzerland. This article is an open access article distributed under the terms and conditions of the Creative Commons Attribution (CC BY) license (https://creativecommons.org/licenses/by/4.0/).
Share and Cite
Koššuthová, A.; Antošová, M.; Bauerová-Hlinková, V.; Bauer, J.A.; Polakovič, M. β-Galactosidase-Catalyzed Transglycosylation of Tyrosol: Substrates and Deep Eutectic Solvents Affecting Activity and Stability. Biomolecules 2025, 15, 801. https://doi.org/10.3390/biom15060801
Koššuthová A, Antošová M, Bauerová-Hlinková V, Bauer JA, Polakovič M. β-Galactosidase-Catalyzed Transglycosylation of Tyrosol: Substrates and Deep Eutectic Solvents Affecting Activity and Stability. Biomolecules. 2025; 15(6):801. https://doi.org/10.3390/biom15060801
Chicago/Turabian StyleKoššuthová, Alžbeta, Monika Antošová, Vladena Bauerová-Hlinková, Jacob A. Bauer, and Milan Polakovič. 2025. "β-Galactosidase-Catalyzed Transglycosylation of Tyrosol: Substrates and Deep Eutectic Solvents Affecting Activity and Stability" Biomolecules 15, no. 6: 801. https://doi.org/10.3390/biom15060801
APA StyleKoššuthová, A., Antošová, M., Bauerová-Hlinková, V., Bauer, J. A., & Polakovič, M. (2025). β-Galactosidase-Catalyzed Transglycosylation of Tyrosol: Substrates and Deep Eutectic Solvents Affecting Activity and Stability. Biomolecules, 15(6), 801. https://doi.org/10.3390/biom15060801

