Biological Activities of Essential Oils and Hydrolates from Different Parts of Croatian Sea Fennel (Crithmum maritimum L.)
Abstract
1. Introduction
2. Materials and Methods
2.1. Plant Material
2.2. Extraction
2.2.1. Hydrodistillation of EOs
2.2.2. Isolation of VOCs from Hydrolates
2.3. Identification of the Volatiles from EOs and Hydrolates by GC-MS
2.4. Antioxidant Activities
2.5. Cholinesterase Inhibitory Activity
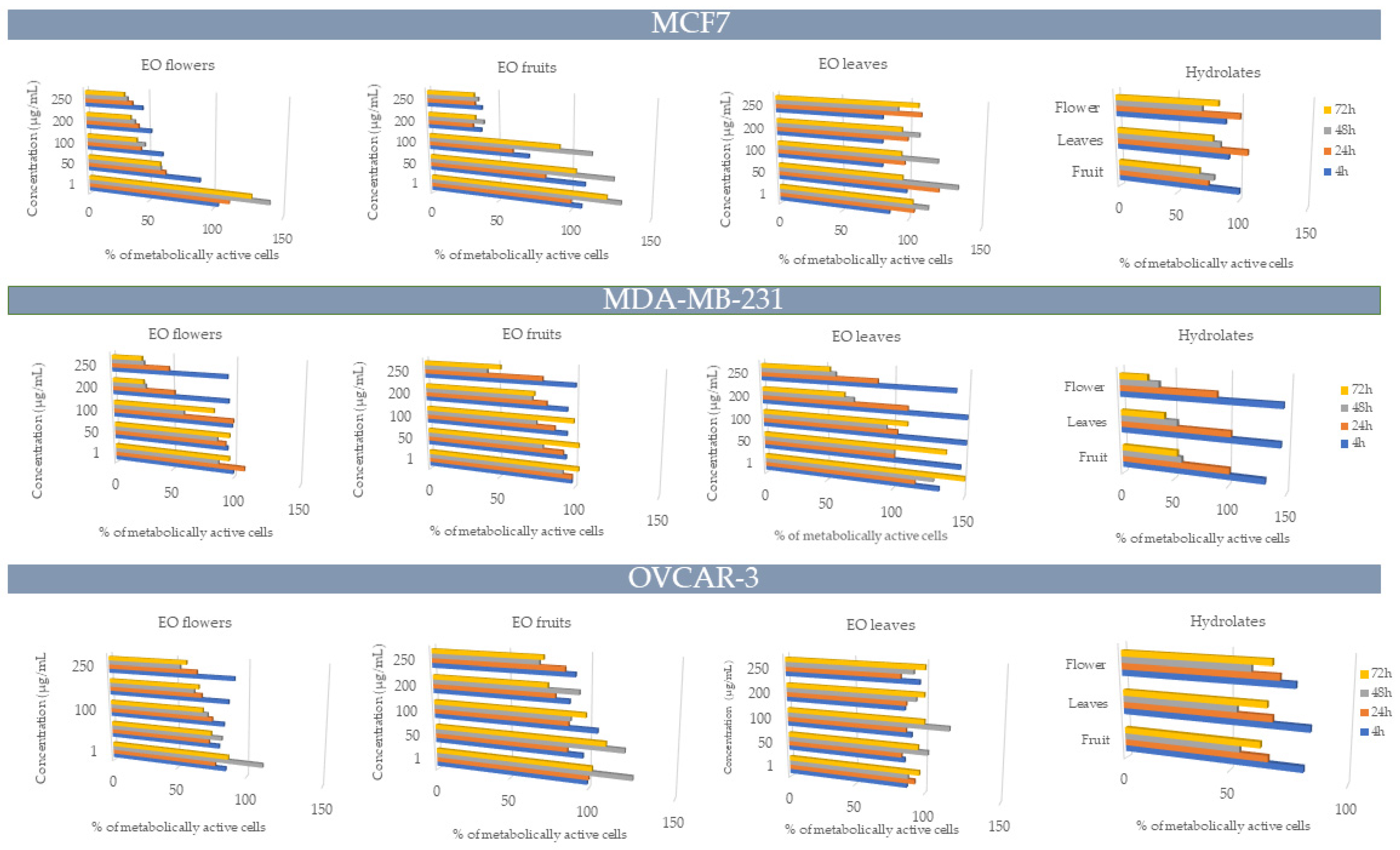
2.6. Cytotoxic Activities
2.7. Statistical Analysis
2.7.1. ANOVA
2.7.2. Linear Regression
3. Results and Discussion
3.1. Volatile Composition of Sea Fennel Leaf, Flower, and Fruit EOs and Hydrolates
3.2. Biological Activities of Sea Fennel Leaf, Flower, and Fruit EOs and Hydrolates
4. Conclusions
Supplementary Materials
Author Contributions
Funding
Institutional Review Board Statement
Informed Consent Statement
Data Availability Statement
Acknowledgments
Conflicts of Interest
Abbreviations
| EO | essential oil |
| HD | hydrodistillation |
| VOC | volatile organic compound |
| GC-MS | gas chromatography–mass spectrometry |
| HS-SPME | headspace solid-phase microextraction |
| FRAP | ferric-reducing antioxidant power |
| DPPH | 2,2-diphenyl-1-picrylhydrazyl |
| ORAC | oxygen radical absorbance capacity assay |
| AChE | acetylcholine |
| BuChE | butyrylcholine |
| MDA-MB-231 | human breast adenocarcinoma |
| MCF-7 | human breast metastatic adenocarcinoma |
| OVCAR-3 | human ovarian carcinoma |
| HER-293 | healthy human embryonic kidney |
| ANOVA | analysis of variance |
References
- Renna, M.; Gonnella, M.; Caretto, S.; Mita, G.; Serio, F. Sea Fennel (Crithmum maritimum L.): From Underutilized Crop to New Dried Product for Food Use. Genet Resour. Crop. Evol 2017, 64, 205–216. [Google Scholar] [CrossRef]
- Ventura, Y.; Myrzabayeva, M.; Alikulov, Z.; Omarov, R.; Khozin-Goldberg, I.; Sagi, M. Effects of Salinity on Flowering, Morphology, Biomass Accumulation and Leaf Metabolites in an Edible Halophyte. AoB Plants 2014, 6, plu053. [Google Scholar] [CrossRef] [PubMed]
- Jiménez-Becker, S.; Ramírez, M.; Plaza, B.M. The Influence of Salinity on the Vegetative Growth, Osmolytes and Chloride Concentration of Four Halophytic Species. J. Plant Nutr. 2019, 42, 1838–1849. [Google Scholar] [CrossRef]
- Martins-Noguerol, R.; Matías, L.; Pérez-Ramos, I.M.; Moreira, X.; Francisco, M.; Pedroche, J.; DeAndrés-Gil, C.; Gutiérrez, E.; Salas, J.J.; Moreno-Pérez, A.J.; et al. Soil Physicochemical Properties Associated with the Yield and Phytochemical Composition of the Edible Halophyte Crithmum maritimum. Sci. Total Environ. 2023, 869, 161806. [Google Scholar] [CrossRef] [PubMed]
- Abdallah, A.; Zouhaier, B.; Rabhi, M.; Abdelly, C.; Smaoui, A. Environmental Eco-Physiology and Economical Potential of the Halophyte Crithmum maritimum L. (Apiaceae). J. Med. Plants Res. 2011, 5, 3564–3571. [Google Scholar]
- Tardío, J.; Sánchez-Mata, M.; Morales, R.; Molina, M.; García-Herrera, P.; Morales, P.; Díez-Marqués, C.; Fernández-Ruiz, V.; Cámara, M.; Pardo-de-Santayana, M.; et al. Mediterranean Wild Edible Plants; Sánchez-Mata, M.d.C., Tardío, J., Eds.; Springer: New York, NY, USA, 2016; pp. 273–470. [Google Scholar] [CrossRef]
- Franke, W. Vitamin C in Sea Fennel (Crithmum maritimum), an Edible Wild Plant. Econ. Bot. 1982, 36, 163–165. [Google Scholar] [CrossRef]
- Kraouia, M.; Nartea, A.; Maoloni, A.; Osimani, A.; Garofalo, C.; Fanesi, B.; Ismaiel, L.; Aquilanti, L.; Pacetti, D. Sea Fennel (Crithmum maritimum L.) as an Emerging Crop for the Manufacturing of Innovative Foods and Nutraceuticals. Molecules 2023, 28, 4741. [Google Scholar] [CrossRef]
- Sarrou, E.; Siomos, A.S.; Riccadona, S.; Aktsoglou, D.-C.; Tsouvaltzis, P.; Angeli, A.; Franceschi, P.; Chatzopoulou, P.; Vrhovsek, U.; Martens, S. Improvement of Sea Fennel (Crithmum maritimum L.) Nutritional Value through Iodine Biofortification in a Hydroponic Floating System. Food Chem. 2019, 296, 150–159. [Google Scholar] [CrossRef] [PubMed]
- Generalić Mekinić, I.; Politeo, O.; Ljubenkov, I.; Mastelić, L.; Popović, M.; Veršić Bratinčević, M.; Šimat, V.; Radman, S.; Skroza, D.; Ninčević Runjić, T.; et al. The Alphabet of Sea Fennel: Comprehensive Phytochemical Characterisation of Croatian Populations of Crithmum maritimum L. Food Chem. X 2024, 22, 101386. [Google Scholar] [CrossRef]
- Maoloni, A.; Milanović, V.; Osimani, A.; Cardinali, F.; Garofalo, C.; Belleggia, L.; Foligni, R.; Mannozzi, C.; Mozzon, M.; Cirlini, M.; et al. Exploitation of Sea Fennel (Crithmum maritimum L.) for Manufacturing of Novel High-Value Fermented Preserves. Food Bioprod. Process. 2021, 127, 174–197. [Google Scholar] [CrossRef]
- Martins-Noguerol, R.; Matías, L.; Pérez-Ramos, I.M.; Moreira, X.; Muñoz-Vallés, S.; Mancilla-Leytón, J.M.; Francisco, M.; García-González, A.; DeAndrés-Gil, C.; Martínez-Force, E.; et al. Differences in Nutrient Composition of Sea Fennel (Crithmum maritimum) Grown in Different Habitats and Optimally Controlled Growing Conditions. J. Food Compos. Anal. 2022, 106, 104266. [Google Scholar] [CrossRef]
- Porrello, A.; Vaglica, A.; Savoca, D.; Bruno, M.; Sottile, F. Variability in Crithmum maritimum L. Essential Oils’ Chemical Composition: PCA Analysis, Food Safety, and Sustainability. Sustainability 2024, 16, 2541. [Google Scholar] [CrossRef]
- Radman, S.; Mastelić, L.; Ljubenkov, I.; Lazarevski, S.; Politeo, O.; Podrug, R.; Prga, I.; Čorić, I.; Popović, M.; Veršić Bratinčević, M.; et al. Sea Fennel (Crithmum maritimum L.) Flowers as an Emerging Source of Bioactive Compounds. Pol. J. Food Nutr. Sci. 2024, 74, 221–231. [Google Scholar] [CrossRef]
- Generalić Mekinić, I.; Blažević, I.; Mudnić, I.; Burčul, F.; Grga, M.; Skroza, D.; Jerčić, I.; Ljubenkov, I.; Boban, M.; Miloš, M.; et al. Sea Fennel (Crithmum maritimum L.): Phytochemical Profile, Antioxidative, Cholinesterase Inhibitory and Vasodilatory Activity. J. Food Sci. Technol. 2016, 53, 3104–3112. [Google Scholar] [CrossRef] [PubMed]
- Ni, Z.-J.; Wang, X.; Shen, Y.; Thakur, K.; Han, J.; Zhang, J.-G.; Hu, F.; Wei, Z.-J. Recent Updates on the Chemistry, Bioactivities, Mode of Action, and Industrial Applications of Plant Essential Oils. Trends Food Sci. Technol. 2021, 110, 78–89. [Google Scholar] [CrossRef]
- Jugreet, B.S.; Suroowan, S.; Rengasamy, R.R.K.; Mahomoodally, M.F. Chemistry, Bioactivities, Mode of Action and Industrial Applications of Essential Oils. Trends Food Sci. Technol. 2020, 101, 89–105. [Google Scholar] [CrossRef]
- Almeida, H.H.S.; Fernandes, I.P.; Amaral, J.S.; Rodrigues, A.E.; Barreiro, M.-F. Unlocking the Potential of Hydrosols: Transforming Essential Oil Byproducts into Valuable Resources. Molecules 2024, 29, 4660. [Google Scholar] [CrossRef]
- D’Amato, S.; Serio, A.; López, C.C.; Paparella, A. Hydrosols: Biological Activity and Potential as Antimicrobials for Food Applications. Food Control 2018, 86, 126–137. [Google Scholar] [CrossRef]
- De Elguea-Culebras, G.O.; Bravo, E.M.; Sánchez-Vioque, R. Potential Sources and Methodologies for the Recovery of Phenolic Compounds from Distillation Residues of Mediterranean Aromatic Plants. An Approach to the Valuation of by-Products of the Essential Oil Market—A Review. Ind. Crops Prod. 2022, 175, 114261. [Google Scholar] [CrossRef]
- Politeo, O.; Ćurlin, P.; Brzović, P.; Auzende, K.; Magné, C.; Generalić Mekinić, I. Volatiles from French and Croatian Sea Fennel Ecotypes: Chemical Profiles and the Antioxidant, Antimicrobial and Antiageing Activity of Essential Oils and Hydrolates. Foods 2024, 13, 695. [Google Scholar] [CrossRef]
- Politeo, O.; Popović, M.; Veršić Bratinčević, M.; Koceić, P.; Ninčević Runjić, T.; Mekinić, I.G. Conventional vs. Microwave-Assisted Hydrodistillation: Influence on the Chemistry of Sea Fennel Essential Oil and Its By-Products. Plants 2023, 12, 1466. [Google Scholar] [CrossRef]
- Kaloustian, J.; Mikail, C.; Abou, L.; Vergnes, M.F.; Nicolay, A.; Portugal, H. Nouvelles perspectives industrielles pour les hydrolats. Acta Bot. Gall. 2008, 155, 367–373. [Google Scholar] [CrossRef]
- Ainseba, N.; Soulimane, A.; El Amine Dib, M.; Djabou, N.; Muselli, A. Comparative Study of the Antioxidant, Antimicrobial and Anti-Inflammatory Activity between Essential Oil and Hydrosol Extract of the Aerial Parts of Inula viscosa L. J. Appl. Biotechnol. Rep. 2023, 10, 1169–1175. [Google Scholar]
- Miguel, M.G. Antioxidant and Anti-Inflammatory Activities of Essential Oils: A Short Review. Molecules 2010, 15, 9252–9287. [Google Scholar] [CrossRef] [PubMed]
- Hay, Y.-O.; Abril Sierra, M.A.; Sequeda-Castañeda, L.G.; Bonnafous, C.; Delgado Raynaud, C. Evaluation of Combinations of Essential Oils and Essential Oils Withhydrosols on Antimicrobial and Antioxidant Activities. J. Pharm. Pharmacogn. Res. 2018, 6, 216–230. [Google Scholar] [CrossRef]
- Popović, M.; Radman, S.; Generalić Mekinić, I.; Ninčević Runjić, T.; Urlić, B.; Veršić Bratinčević, M. A Year in the Life of Sea Fennel: Annual Phytochemical Variations of Major Bioactive Secondary Metabolites. Appl. Sci. 2024, 14, 3440. [Google Scholar] [CrossRef]
- Adams, R.P. Identification of Essential Oil Components by Gas Chromatography/Quadrupole Mass Spectrometry, 4th ed.; Allured Publishing Corporation: Carol Stream, IL, USA, 2007. [Google Scholar]
- Čagalj, M.; Skroza, D.; Razola-Díaz, M.d.C.; Verardo, V.; Bassi, D.; Frleta, R.; Generalić Mekinić, I.; Tabanelli, G.; Šimat, V. Variations in the Composition, Antioxidant and Antimicrobial Activities of Cystoseira Compressa during Seasonal Growth. Mar. Drugs 2022, 20, 64. [Google Scholar] [CrossRef]
- Bektašević, M.; Politeo, O.; Carev, I. Comparative Study of Chemical Composition, Cholinesterase Inhibition and Antioxidant Potential of Mentha pulegium L. Essential Oil. Chem. Biodivers. 2021, 18, e2000935. [Google Scholar] [CrossRef]
- Režić Mužinić, N.; Veršić Bratinčević, M.; Grubić, M.; Frleta Matas, R.; Čagalj, M.; Visković, T.; Popović, M. Golden Chanterelle or a Gold Mine? Metabolites from Aqueous Extracts of Golden Chanterelle (Cantharellus cibarius) and Their Antioxidant and Cytotoxic Activities. Molecules 2023, 28, 2110. [Google Scholar] [CrossRef]
- Pateira, L.; Nogueira, T.; Antunes, A.; Venâncio, F.; Tavares, R.; Capelo, J. Two Chemotypes of Crithmum maritimum L. from Portugal. Flavour. Fragr. J. 1999, 14, 333–343. [Google Scholar] [CrossRef]
- Renna, M. Reviewing the Prospects of Sea Fennel (Crithmum maritimum L.) as Emerging Vegetable Crop. Plants 2018, 7, 92. [Google Scholar] [CrossRef]
- Vieira, A.J.; Beserra, F.P.; Souza, M.C.; Totti, B.M.; Rozza, A.L. Limonene: Aroma of Innovation in Health and Disease. Chem. Biol. Interact. 2018, 283, 97–106. [Google Scholar] [CrossRef] [PubMed]
- Salehi, B.; Upadhyay, S.; Erdogan Orhan, I.; Kumar Jugran, A.L.D.; Jayaweera, S.; Dias, D.A.; Sharopov, F.; Taheri, Y.; Martins, N.; Baghalpour, N.; et al. Therapeutic Potential of α- and β-Pinene: A Miracle Gift of Nature. Biomolecules 2019, 9, 738. [Google Scholar] [CrossRef]
- Sharma, S.; Gupta, J.; Prabhakar, P.K.; Gupta, P.; Solanki, P.; Rajput, A. Phytochemical Repurposing of Natural Molecule: Sabinene for Identification of Novel Therapeutic Benefits Using In Silico and In Vitro Approaches. Assay. Drug Dev. Technol. 2019, 17, 339–351. [Google Scholar] [CrossRef] [PubMed]
- Aćimović, M.; Tešević, V.; Smiljanić, K.; Cvetković, M.; Stanković, J.; Kiprovski, B.; Sikora, V. Hydrolates: By-Products of Essential Oil Distillation: Chemical Composition, Biological Activity and Potential Uses. Adv. Technol. 2020, 9, 54–70. [Google Scholar] [CrossRef]
- Prerna; Chadha, J.; Khullar, L.; Mudgil, U.; Harjai, K. A Comprehensive Review on the Pharmacological Prospects of Terpinen-4-Ol: From Nature to Medicine and Beyond. Fitoterapia 2024, 176, 106051. [Google Scholar] [CrossRef]
- Khaleel, C.; Tabanca, N.; Buchbauer, G. α-Terpineol, a Natural Monoterpene: A Review of Its Biological Properties. Open Chem. 2018, 16, 349–361. [Google Scholar] [CrossRef]
- Zhang, L.-L.; Chen, Y.; Li, Z.-J.; Li, X.; Fan, G. Bioactive Properties of the Aromatic Molecules of Spearmint (Mentha Spicata L.) Essent. Oil: A Review. Food Funct. 2022, 13, 3110–3132. [Google Scholar] [CrossRef]
- Manjima, R.B.; Ramya, S.; Kavithaa, K.; Paulpandi, M.; Saranya, T.; Harysh Winster, S.B.; Balachandar, V.; Arul, N. Spathulenol Attenuates 6-Hydroxydopamine Induced Neurotoxicity in SH-SY5Y Neuroblastoma Cells. Gene Rep. 2021, 25, 101396. [Google Scholar] [CrossRef]
- Kulisic-Bilusic, T.; Blažević, I.; Dejanović, B.; Miloš, M.; Pifat, G. Evaluation of the antioxidant activity of essential oils from caper (Capparis spinosa) and sea fennel (Crithmum maritimum) by different methods. J. Food Biochem. 2010, 34, 286–302. [Google Scholar] [CrossRef]
- Nguir, A.; Besbes, M.; Ben Jannet, H.; Flamini, G.; Harzallah-Skhiri, F.; Hamza, M.A. Chemical Composition, Antioxidant and Anti-Acetylcholinesterase Activities of Tunisian Crithmum maritimum L. Essential Oils. Mediterr. J. Chem. 2011, 1, 173–179. [Google Scholar] [CrossRef]
- Hulkko, L.S.S.; Chaturvedi, T.; Custódio, L.; Thomsen, M.H. Harnessing the Value of Tripolium Pannonicum and Crithmum Maritimum Halophyte Biomass through Integrated Green Biorefinery. Mar. Drugs 2023, 21, 380. [Google Scholar] [CrossRef]
- Pedreiro, S.; Figueirinha, A.; Cavaleiro, C.; Cardoso, O.; Donato, M.M.; Salgueiro, L.; Ramos, F. Exploiting the Crithmum maritimum L. Aqueous Extracts and Essential Oil as Potential Preservatives in Food, Feed, Pharmaceutical and Cosmetic Industries. Antioxidants 2023, 12, 252. [Google Scholar] [CrossRef] [PubMed]
- Lemoine, C.; Rodrigues, M.J.; Dauvergne, X.; Cérantola, S.; Custódio, L.; Magné, C. A Characterization of Biological Activities and Bioactive Phenolics from the Non-Volatile Fraction of the Edible and Medicinal Halophyte Sea Fennel (Crithmum maritimum L.). Foods 2024, 13, 1294. [Google Scholar] [CrossRef] [PubMed]
- Ismail, A.; El-Shibani, F.A.; Mohammed, H.A.; Al-Najjar, B.O.; Korkor, A.M.; Abdulkarim, A.K.; Said, R.; Almahmoud, S.A.; Sulaiman, G.M. Chemical Composition, Antioxidant, and Enzyme Inhibition Activities of Crithmum Maritimum Essential Oils: The First Chemo-Biological Study for Species Grown in North Africa. Sci. Rep. 2024, 14, 25318. [Google Scholar] [CrossRef]
- Generalić Mekinić, I.; Šimat, V.; Ljubenkov, I.; Burčul, F.; Grga, M.; Mihajlovski, M.; Lončar, R.; Katalinić, V.; Skroza, D. Influence of the Vegetation Period on Sea Fennel, Crithmum maritimum L. (Apiaceae), Phenolic Composition, Antioxidant and Anticholinesterase Activities. Ind. Crops Prod. 2018, 124, 947–953. [Google Scholar] [CrossRef]
- Salas-Oropeza, J.; Rodriguez-Monroy, M.A.; Jimenez-Estrada, M.; Perez-Torres, A.; Castell-Rodriguez, A.E.; Becerril-Millan, R.; Jarquin-Yanez, K.; Canales-Martinez, M.M. Essential Oil of Bursera Morelensis Promotes Cell Migration on Fibroblasts: In Vitro Assays. Molecules 2023, 28, 6258. [Google Scholar] [CrossRef]
- Sun, J. D-Limonene: Safety and Clinical Applications. Altern. Med. Rev. 2007, 12, 259–264. [Google Scholar]
- Hou, J.; Zhang, Y.; Zhu, Y.; Zhou, B.; Ren, C.; Liang, S.; Guo, Y. α-Pinene Induces Apoptotic Cell Death via Caspase Activation in Human Ovarian Cancer Cells. Med. Sci. Monit. 2019, 25, 6631–6638. [Google Scholar] [CrossRef]
- Alemán, A.; Marín-Peñalver, D.; de Palencia, P.F.; Gómez-Guillén, M.d.C.; Montero, P. Anti-Inflammatory Properties, Bioaccessibility and Intestinal Absorption of Sea Fennel (Crithmum maritimum) Extract Encapsulated in Soy Phosphatidylcholine Liposomes. Nutrients 2022, 14, 210. [Google Scholar] [CrossRef]
- Meot-Duros, L.; Cérantola, S.; Talarmin, H.; Le Meur, C.; Le Floch, G.; Magné, C. New Antibacterial and Cytotoxic Activities of Falcarindiol Isolated in Crithmum maritimum L. Leaf Extract. Food Chem. Toxicol. 2010, 48, 553–557. [Google Scholar] [CrossRef] [PubMed]
- Beeby, E.; Magalhães, M.; Poças, J.; Collins, T.; Lemos, M.F.L.; Barros, L.; Ferreira, I.C.F.R.; Cabral, C.; Pires, I.M. Secondary Metabolites (Essential Oils) from Sand-Dune Plants Induce Cytotoxic Effects in Cancer Cells. J. Ethnopharmacol. 2020, 258, 112803. [Google Scholar] [CrossRef] [PubMed]


| No. | Compound | LRI | Leaves | Flowers | Fruits | Mode of Identification |
|---|---|---|---|---|---|---|
| 1. | Hexanal | 837 | 0.70 ± 0.03 | nd | nd | GC, MS |
| 2. | Acetic acid ethyl ester | 842 | 1.41 ± 0.08 | nd | nd | GC, MS |
| 3. | Heptanal | 898 | 0.41 ± 0.01 | nd | nd | GC, MS |
| 4. | α-Pinene | 927 | 3.20 ± 0.02 a | 1.01 ± 0.02 b | 9.07 ± 0.04 c | GC, MS |
| 5. | Camphene | 941 | nd | nd | 0.18 ± 0.01 | GC, MS |
| 6. | Sabinene | 966 | nd | 15.72 ± 0.22 a | 12.37 ± 0.06 a | GC, MS |
| 7. | β-Pinene | 969 | nd | nd | 0.74 ± 0.00 | GC, MS |
| 8. | β-Myrcene | 985 | 0.42 ± 0.01 a | 1.04 ± 0.00 b | 1.18 ± 0.02 b | GC, MS |
| 9. | Octanal | 999 | 0.49 ± 0.032 a | nd | 0.15 ± 0.01 a | GC, MS |
| 10. | α-Terpinene | 1011 | nd | 0.52 ± 0.04 a | 0.20 ± 0.00 a | GC, MS |
| 11. | o-Cymene | 1018 | nd | 0.35 ± 0.01 a | 0.14 ± 0.01 b | GC, MS |
| 12. | Limonene | 1022 | 74.85 ± 0.03 a | 74.30 ± 0.39 ab | 68.41 ± 0.06 b | GC, MS |
| 13. | β-Ocimene | 1032 | 6.54 ± 0.04 a | 3.72 ± 0.04 b | 3.96 ± 0.02 b | GC, MS |
| 14. | γ-Terpinene | 1052 | nd | 1.23 ± 0.05 a | 0.51 ± 0.03 b | GC, MS |
| 15. | (Z)-Sabinene hydrate | 1060 | nd | nd | 0.30 ± 0.01 | GC, MS |
| 16. | (E)-Sabinene hydrate | 1092 | nd | nd | 0.20 ± 0.00 | GC, MS |
| 17. | (Z)-p-Mentha-2,8-dien-1-ol | 1114 | 1.32 ± 0.01 | nd | nd | GC, MS |
| 18. | (Z)-Limonene oxide | 1127 | nd | nd | 0.23 ± 0.00 | GC, MS |
| 19. | (E)-Limonene oxide | 1131 | nd | nd | 0.26 ± 0.00 | GC, MS |
| 20. | Terpinen-4-ol | 1171 | nd | 1.56 ± 0.01 a | 0.66 ± 0.00 b | GC, MS |
| 21. | Dodecane | 1181 | nd | nd | nd | GC, MS |
| 22. | α-Terpineol | 1184 | nd | nd | 0.37 ± 0.00 | GC, MS |
| 23. | Dodecane | 1200 | 1.07 ± 0.03 a | 0.30 ± 0.02 a | 0.31 ± 0.01 a | GC, MS |
| 24. | Tetradecane | 1400 | 4.28 ± 0.25 a | 0.25 ± 0.00 a | nd | GC, MS |
| 25. | Hexadecane | 1600 | 4.11 ± 0.08 | nd | nd | GC, MS |
| Aldehydes | 1.60 | 0.00 | 0.15 | |||
| Esters | 1.41 | 0.00 | 0.00 | |||
| Monoterpene hydrocarbons | 85.01 | 97.89 | 96.76 | |||
| Monoterpenoids | 1.32 | 1.56 | 20.02 | |||
| Alkanes | 9.46 | 0.55 | 0.31 | |||
| Total chromatogram identified (%) | 98.80 | 100 | 99.24 | |||
| No. | Compound | LRI | Leaves | Flowers | Fruits | Mode of Identification |
|---|---|---|---|---|---|---|
| 1 | α-Thujene | 926 | 0.2 ± 0.00 a | nd | 0.2 ± 0.05 a | GC, MS |
| 2 | (E)-2-Heptenal | 949 | nd | nd | 0.1 ± 0.00 | GC, MS |
| 3 | Benzaldehyde | 952 | 1.00 ± 0.00 a | 0.7 ± 0.00 b | 0.1 ± 0.05 c | GC, MS |
| 4 | Sabinene | 971 | 0.2 ± 0.00 a | 0.3 ± 0.00 a | 0.2 ± 0.00 a | GC, MS |
| 5 | α-Phellandrene | 1001 | 1.00 ± 0.00 a | 0.8 ± 0.00 b | 1.1 ± 0.05 a | GC, MS |
| 6 | α-Terpinene | 1012 | 0.45 ± 0.05 a | 0.7 ± 0.00 b | 0.4 ± 0.00 a | GC, MS |
| 7 | p-Cymene | 1021 | 0.55 ± 0.05 a | nd | 1.3 ± 0.05 b | GC, MS |
| 8 | ß-Phellandrene | 1025 | 0.85 ± 0.05 a | 1 ± 0.05 a | 0.4 ± 0.00 b | GC, MS |
| 9 | 1,8-Cineole | 1027 | 0.5 ± 0.4 a | nd | 0.3 ± 0.1 a | GC, MS |
| 10 | Benzeneacetaldehyde | 1040 | 0.2 ± 0.00 a | 0.9 ± 0.05 b | 0.1 ± 0.15 a | GC, MS |
| 11 | γ-Terpinene | 1057 | 0.35 ± 0.05 a | 0.6 ± 0.00 b | 0.4 ± 0.00 a | GC, MS |
| 12 | (Z)-Sabinene hydrate | 1067 | 2.45 ± 0.05 a | 5.9 ± 0.15 b | 2.5 ± 0.3 a | GC, MS |
| 13 | p-Cymenene | 1090 | 0.35 ± 0.05 a | nd | 0.2 ± 0.05 b | GC, MS |
| 14 | Methyl benzoate | 1092 | 0.25 ± 0.05 | nd | nd | GC, MS |
| 15 | (E)-Sabinene hydrate | 1096 | 3.15 ± 0.05 a | 7.4 ± 0.15 b | 3 ± 0.15 a | GC, MS |
| 16 | Linalool | 1098 | 0.6 ± 0.00 a | 1.2 ± 0.00 a | 4.6 ± 2.15 a | GC, MS |
| 17 | (E)-p-Mentha-2,8-dien-1-ol | 1120 | 4.8 ± 0.00 a | 5.1 ± 0.05 a | 9 ± 0.05 b | GC, MS |
| 18 | α-Campholenal | 1124 | nd | nd | 0.1 ± 0.05 | GC, MS |
| 19 | Cosmene | 1130 | nd | nd | 0.6 ± 0.00 | GC, MS |
| 20 | (Z)-p-Mentha-2,8-dien-1-ol | 1135 | 1.7 ± 0.00 a | 1 ± 0.00 b | 5.1 ± 0.25 c | GC, MS |
| 21 | (E)-Limonene oxide | 1136 | 0.7 ± 0.00 | nd | nd | GC, MS |
| 22 | (Z)-p-Menth-2-en-1-ol | 1140 | 2.3 ± 0.00 a | 2.7 ± 0.05 a | 0.6 ± 0.05 b | GC, MS |
| 23 | Camphor | 1141 | nd | nd | 0.1 ± 0.00 | GC, MS |
| 24 | (E)-Verbenol | 1145 | 0.25 ± 0.05 a | nd | 0.3 ± 0.05 a | GC, MS |
| 25 | Sabina ketone | 1157 | 0.5 ± 0.00 a | 0.5 ± 0.00 a | 0.4 ± 0.1 a | GC, MS |
| 26 | Borneol | 1165 | nd | 0.4 ± 0.1 a | 0.3 ± 0.00 a | GC, MS |
| 27 | (Z)-Chrysanthenol | 1168 | nd | nd | 0.8 ± 0.1 | GC, MS |
| 28 | Terpinen-4-ol | 1178 | 27.8 ± 0.1 a | 36.7 ± 0.1 b | 10.3 ± 1.5 c | GC, MS |
| 29 | p-Methyl acetophenone | 1183 | 0.4 ± 0.00 | nd | nd | GC, MS |
| 30 | p-Cymen-8-ol | 1184 | 0.4 ± 0.1 | nd | nd | GC, MS |
| 31 | Cryptone | 1185 | nd | nd | 0.3 ± 0.05 | GC, MS |
| 32 | (E)-Isocarveol | 1188 | 0.65 ± 0.05 a | nd | 10.6 ± 0.35 b | GC, MS |
| 33 | α-Terpineol | 1190 | 4.2 ± 0.2 a | 5.8 ± 0.85 a | 6.9 ± 0.35 a | GC, MS |
| 34 | Myrtenol | 1194 | 1.3 ± 0.2 a | nd | 2.4 ± 0.00 b | GC, MS |
| 35 | (Z)-Piperitol | 1195 | nd | 1 ± 0.1 a | 0.2 ± 0.00 b | GC, MS |
| 36 | Dihydrocarvone | 1197 | 1.4 ± 0.2 | nd | nd | GC, MS |
| 37 | (E)-Isopiperitenol | 1199 | nd | 0.7 ± 0.00 a | 1.9 ± 0.25 b | GC, MS |
| 38 | (E)-Piperitol | 1207 | 1.6 ± 0.00 a | 1.4 ± 0.05 a | 0.4 ± 0.05 b | GC, MS |
| 39 | (Z)-Isopiperitenol | 1218 | nd | nd | 1.6 ± 0.65 | GC, MS |
| 40 | (E)-Carveol | 1220 | 7.3 ± 0.2 a | 3.6 ± 0.00 b | 4.2 ± 0.3 b | GC, MS |
| 41 | (Z)-Carveol | 1232 | 3.7 ± 0.1 a | 1.00 ± 0.00 b | 11.4 ± 0.4 c | GC, MS |
| 42 | Carvone | 1244 | 4.95 ± 0.05 a | 0.5 ± 0.00 b | 3.7 ± 0.15 c | GC, MS |
| 43 | Carvotanacetone | 1251 | 0.4 ± 0.1 | nd | nd | GC, MS |
| 44 | (Z)-Chrysanthenyl acetate | 1256 | nd | 0.2 ± 0.05 a | 0.1 ± 0.05 a | GC, MS |
| 45 | Ionene | 1257 | 0.25 ± 0.15 | nd | nd | GC, MS |
| 46 | Geraniol | 1258 | nd | nd | 1.2 ± 0.45 | GC, MS |
| 47 | Perilla aldehyde | 1273 | nd | nd | 0.2 ± 0.00 | GC, MS |
| 48 | Isobornyl acetate | 1285 | nd | nd | 0.1 ± 0.00 | GC, MS |
| 49 | p-Cymen-7-ol | 1290 | 1.25 ± 0.05 a | 0.8 ± 0.05 b | nd | GC, MS |
| 50 | Perilla alcohol | 1290 | nd | 0.2 ± 0.00 a | 1.3 ± 0.15 b | GC, MS |
| 51 | p-Menth-1-en-9-ol | 1296 | nd | nd | 0.5 ± 0.00 | GC, MS |
| 52 | Carvacrol | 1299 | 0.4 ± 0.00 | nd | nd | GC, MS |
| 53 | (E)-Cinnamyl alcohol | 1303 | 0.25 ± 0.05 | nd | nd | GC, MS |
| 54 | p-Mentha-1,4-dien-7-ol | 1330 | nd | 0.9 ± 0.00 a | 0.3 ± 0.15 a | GC, MS |
| 55 | Myrtenyl acetate | 1334 | 0.95 ± 0.15 | nd | nd | GC, MS |
| 56 | β-Damascenone | 1384 | 1.7 ± 0.1 a | 0.3 ± 0.05 b | nd | GC, MS |
| 57 | Geranyl acetate | 1385 | nd | nd | 0.2 ± 0.05 | GC, MS |
| 58 | 10-(Acetylmethyl)-3-carene | 1387 | 8.6 ± 0.5 | nd | nd | GC, MS |
| 59 | (E)-ß-ionone | 1389 | 0.2 ± 0.00 | nd | nd | GC, MS |
| 60 | Spathulenol | 1578 | 0.95 ± 0.75 a | 8.3 ± 0.9 b | 1.8 ± 0.1 a | GC, MS |
| 61 | Dillapiol | 1626 | 0.2 ± 0.00 a | 0.5 ± 0.1 a | 0.3 ± 0.00 a | GC, MS |
| 62 | Isospathulenol | 1640 | nd | 2 ± 0.25 | nd | GC, MS |
| 63 | α-Bisabolol | 1684 | nd | 0.4 ± 0.05 a | 1.1 ± 0.45 a | GC, MS |
| Aldehydes | 1.2 | 1.6 | 0.3 | |||
| Ketones | 0.4 | 0 | 0 | |||
| Esters | 0.25 | 0 | 0 | |||
| Phenols | 0.4 | 0 | 0 | |||
| Phenylpropanoids | 0.2 | 0.5 | 0.3 | |||
| Monoterpene hydrocarbons | 12.55 | 3.4 | 4.2 | |||
| Monoterpenoids | 75.25 | 77.3 | 87.4 | |||
| Sesquiterpenes | 0 | 0 | 0.6 | |||
| Sesquiterpenoid hydrocarbons | 0.95 | 10.7 | 2.9 | |||
| Total chromatogram identified (%) | 91.2 | 93.5 | 95.7 | |||
| Plant Part | Antioxidant Activity | Enzyme Inhibition | |||
|---|---|---|---|---|---|
| FRAP | DPPH | ORAC | AChE | BuChE | |
| (mM Fe2+/L) | (Inhibition %) | (µmTE/L) | (Inhibition %) | (Inhibition %) | |
| Leaves | n.a. | 6.30 ± 1.48 | 122.98 ± 0.50 | n.a. | 4.59 ± 2.56 |
| Flowers | n.a. | 6.11 ± 1.68 | 103.22 ± 0.44 | 5.05 ± 0.75 | 3.04 ± 1.73 |
| Fruits | n.a. | 5.67 ± 0.38 | 98.88 ± 1.00 | n.a. | n.a. |
| Cell Line | Predictor | Coefficient | Standard Error | F-Value | R2 | p-Value |
|---|---|---|---|---|---|---|
| MCF-7 | Concentration (µg/mL) | −0.226 | 0.03 | <0.0001 | ||
| Octanal | 75.86 | 13.01 | <0.0001 | |||
| Intercept | 91.10 | 5.153 | 48.00 | 0.627 | <0.0001 | |
| MDA-MB-232 | Concentration (µg/mL) | −0.17 | 0.03 | <0.0001 | ||
| Octanal | 74.10 | 11.81 | <0.0001 | |||
| Time (h) | −0.43 | 0.09 | <0.0001 | |||
| Intercept | 110.66 | 5.83 | 33.00 | 0.645 | <0.0001 | |
| OVCAR-3 | Concentration (µg/mL) | −0.064 | 0.016 | <0.0001 | ||
| Dodecane | 36.695 | 7.174 | <0.0001 | |||
| Intercept | 85.833 | 3.018 | 21.56 | 0.481 | <0.0001 |
| Cell Line | Predictor | Coefficient | Standard Error | F-Value | R2 | p-Value |
|---|---|---|---|---|---|---|
| MCF-7 | Time (h) | −0.28 | 0.11 | 0.025 | ||
| Intercept | 96.48 | 4.853 | 6.92 | 0.409 | <0.0001 | |
| MDA-MB-232 | Time (h) | −1.51 | 0.17 | <0.0001 | ||
| Intercept | 137.88 | 7.54 | 80.93 | 0.89 | <0.0001 | |
| OVCAR-3 | Time (h) | −0.254 | 0.085 | 0.014 | ||
| Intercept | 77.477 | 3.835 | 8.83 | 0.47 | <0.0001 |
Disclaimer/Publisher’s Note: The statements, opinions and data contained in all publications are solely those of the individual author(s) and contributor(s) and not of MDPI and/or the editor(s). MDPI and/or the editor(s) disclaim responsibility for any injury to people or property resulting from any ideas, methods, instructions or products referred to in the content. |
© 2025 by the authors. Licensee MDPI, Basel, Switzerland. This article is an open access article distributed under the terms and conditions of the Creative Commons Attribution (CC BY) license (https://creativecommons.org/licenses/by/4.0/).
Share and Cite
Slišković, L.; Režić Mužinić, N.; Politeo, O.; Brzović, P.; Tomaš, J.; Generalić Mekinić, I.; Popović, M. Biological Activities of Essential Oils and Hydrolates from Different Parts of Croatian Sea Fennel (Crithmum maritimum L.). Biomolecules 2025, 15, 666. https://doi.org/10.3390/biom15050666
Slišković L, Režić Mužinić N, Politeo O, Brzović P, Tomaš J, Generalić Mekinić I, Popović M. Biological Activities of Essential Oils and Hydrolates from Different Parts of Croatian Sea Fennel (Crithmum maritimum L.). Biomolecules. 2025; 15(5):666. https://doi.org/10.3390/biom15050666
Chicago/Turabian StyleSlišković, Livia, Nikolina Režić Mužinić, Olivera Politeo, Petra Brzović, Josip Tomaš, Ivana Generalić Mekinić, and Marijana Popović. 2025. "Biological Activities of Essential Oils and Hydrolates from Different Parts of Croatian Sea Fennel (Crithmum maritimum L.)" Biomolecules 15, no. 5: 666. https://doi.org/10.3390/biom15050666
APA StyleSlišković, L., Režić Mužinić, N., Politeo, O., Brzović, P., Tomaš, J., Generalić Mekinić, I., & Popović, M. (2025). Biological Activities of Essential Oils and Hydrolates from Different Parts of Croatian Sea Fennel (Crithmum maritimum L.). Biomolecules, 15(5), 666. https://doi.org/10.3390/biom15050666

