Synthesis of Substituted 1,2,4-Triazole-3-Thione Nucleosides Using E. coli Purine Nucleoside Phosphorylase
Abstract
1. Introduction
2. Materials and Methods
2.1. General Procedures
2.2. Expression and Purification of Recombinant E. coli PNP and UP
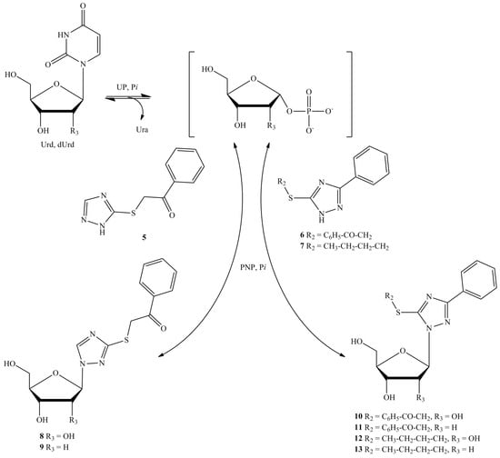
2.3. Enzymatic Reactions
2.4. Heterocyclic Base Synthesis
2.4.1. Synthesis of 1,2,4-Triazole-3-thione (3)
2.4.2. Synthesis of 5-Phenyl-1,2,4-triazole-3-thione (4)
2.4.3. Synthesis of 3-Phenacylthio-1,2,4-triazole (5)
2.4.4. Synthesis of 3-Phenacylthio-5-phenyl-1,2,4-triazole (6)
2.4.5. Synthesis of 3-Butylthio-5-phenyl-1,2,4-triazole (7)
2.5. Nucleoside Synthesis
2.5.1. Synthesis of 3-Phenacylthio-1-(β-D-ribofuranosyl)-1,2,4-triazole (8)
2.5.2. Synthesis of 1-(2-Deoxy-β-D-ribofuranosyl)-3-phenacylthio-1,2,4-triazole (9)
2.5.3. Synthesis of 5-Phenacylthio-3-phenyl-1-(β-D-ribofuranosyl)-1,2,4-triazole (10)
2.5.4. Synthesis of 1-(2-Deoxy-β-D-ribofuranosyl)-5-phenacylthio-3-phenyl-1,2,4-triazole (11)
2.5.5. Synthesis of 5-Butylthio-3-phenyl-1-(β-D-ribofuranosyl)-1,2,4-triazole (12)
2.5.6. Synthesis of 5-Butylthio-1-(2-deoxy-β-D-ribofuranosyl)-3-phenyl-1,2,4-triazole (13)
2.6. Cytotoxicity
2.7. Antiviral Activity
3. Results and Discussion
4. Conclusions
Supplementary Materials
Author Contributions
Funding
Institutional Review Board Statement
Informed Consent Statement
Data Availability Statement
Conflicts of Interest
References
- Sidwell, R.W.; Huffman, J.H.; Khare, L.G.P.; Allen, B.; Witkowski, R.J.T.; Robins, K. Broad-spectrum antiviral activity of virazole: 1-β-D-Ribofuranosyl-1,2,4-triazole-3-carboxamide. Science 1972, 177, 705–706. [Google Scholar] [CrossRef] [PubMed]
- Ramirez-Olivencia, G.; Estebanez, M.; Membrillo, F.J.; Ybarra, M.D.C. Use of ribavirin in viruses other than hepatitis C. A review of the evidence. Enferm. Infect. Microbiol. Clin. 2019, 37, 602–608. [Google Scholar] [CrossRef] [PubMed]
- Witkowski, J.T.; Robins, R.K.; Sidwell, R.W.; Simon, L.N. Design, Synthesis, and Broad Spectrum Antiviral Activity of 1-β-D-Ribofuranosyl-1,2,4-triazole-3-carboxamide and Related Nucleosides. J. Med. Chem. 1972, 15, 1150–1154. [Google Scholar] [CrossRef] [PubMed]
- Pol, S.; Corouge, M.; Vallet-Pichard, A. Daclatasvir–sofosbuvir combination therapy with or without ribavirin for hepatitis C virus infection: From the clinical trials to real life. Hepatic Med. Evid. Res. 2016, 8, 21–26. [Google Scholar] [CrossRef]
- Kim, U.J.; Won, E.J.; Kee, S.J.; Jung, S.I.; Jang, H.C. Combination therapy with lopinavir/ritonavir, ribavirin and interferon-α for Middle East respiratory syndrome. Antivir. Ther. 2016, 21, 455–459. [Google Scholar] [CrossRef] [PubMed]
- Asahina, Y.; Izumi, N.; Enomoto, N.; Uchihara, M.; Kurosaki, M.; Onuki, Y.; Nishimura, Y.; Ueda, K.; Tsuchiya, K.; Nakanishi, H.; et al. Mutagenic effects of ribavirin and response to interferon/ribavirin combination therapy in chronic hepatitis C. J. Hepatol. 2005, 43, 623–629. [Google Scholar] [CrossRef] [PubMed]
- Kowdley, K.V. Hematologic side effects of interferon and ribavirin therapy. J. Clin. Gastroenterol. 2005, 39, 3–8. [Google Scholar] [CrossRef] [PubMed]
- Koh, C.; Liang, T.J. What is the future of ribavirin therapy for hepatitis C? Antivir. Res. 2014, 104, 34–39. [Google Scholar] [CrossRef] [PubMed]
- Chudinov, M.V.; Prutkov, A.N.; Matveev, A.V.; Grebenkina, L.E.; Konstantinova, I.D.; Berezovskaya, Y.V. An alternative route to the arylvinyltriazole nucleosides. Bioorg. Med. Chem. Lett. 2016, 26, 3223–3225. [Google Scholar] [CrossRef] [PubMed]
- Chen, M.; Zhou, Z.; Suo, Y.; Li, M.; Yao, J.; Peng, L.; Xia, Y. Acyclonucleosides bearing coplanar arylethynyltriazole nucleobases: Synthesis, structural analysis, and biological evaluation. New J. Chem. 2017, 41, 8509–8519. [Google Scholar] [CrossRef]
- Timur, İ.; Kocyigit, Ü.M.; Dastan, T.; Sandal, S.; Ceribası, A.O.; Taslimi, P.; Çiftçi, M. In vitro cytotoxic and in vivo antitumoral activities of some aminomethyl derivatives of 2,4-dihydro-3H-1,2,4-triazole-3-thiones. Evaluation of their acetylcholinesterase and carbonic anhydrase enzymes inhibition profiles. J. Biochem. Mol. Toxicol. 2018, 33, e22239. [Google Scholar] [CrossRef] [PubMed]
- Küçükgüzel, Ş.G.; Çıkla-Süzgün, P. Recent advances bioactive 1,2,4-triazole-3-thiones. Eur. J. Med. Chem. 2015, 97, 830–870. [Google Scholar] [CrossRef] [PubMed]
- Liu, Y.; Xia, Y.; Li, W.; Cong, M.; Maggiani, A.; Leyssen, P.; Peng, L. S-Aryltriazole acyclonucleosides: Synthesis and biological evaluation against hepatitis C virus. Bioorg. Med. Chem. Lett. 2010, 20, 3610–3613. [Google Scholar] [CrossRef] [PubMed]
- Aly, A.A.; Hassan, A.A.; Makhlouf, M.M.; Bräse, S. Chemistry and Biological Activities of 1,2,4-Triazolethiones-Antiviral and Anti-Infective Drugs. Molecules 2020, 25, 3036. [Google Scholar] [CrossRef] [PubMed]
- Wan, J.; Xia, Y.; Liu, Y.; Wang, M.; Rocchi, P.; Yao, J.; Peng, L. Discovery of Novel Arylethynyltriazole Ribonucleosides with Selective and Effective Antiviral and Antiproliferative Activity. J. Med. Chem. 2009, 52, 1144–1155. [Google Scholar] [CrossRef] [PubMed]
- Xia, Y.; Qu, F.; Peng, L. Triazole Nucleoside Derivatives Bearing Aryl Functionalities on the Nucleobases Show Antiviral and Anticancer Activity. Mini Rev. Med. Chem. 2010, 10, 806–821. [Google Scholar] [CrossRef] [PubMed]
- Zhurilo, N.I.; Chudinov, M.V.; Matveev, A.V.; Smirnova, O.S.; Konstantinova, I.D.; Miroshnikov, A.I.; Prutkov, A.N.; Grebenkina, L.E.; Pulkova, N.V.; Shvets, V.I. Isosteric ribavirin analogues: Synthesis and antiviral activity. Bioorg. Med. Chem. Lett. 2018, 28, 11–14. [Google Scholar] [CrossRef] [PubMed]
- Lapponi, M.J.; Rivero, C.W.; Zinni, M.A.; Britos, C.N.; Trelles, J.A. New developments in nucleoside analogues biosynthesis: A review. J. Mol. Catal. B Enzym. 2016, 133, 218–233. [Google Scholar] [CrossRef]
- Motter, J.; Benckendorff, C.M.M.; Westarp, S.; Sunde-Brown, P.; Neubauer, P.; Kurreck, A.; Miller, G.J. Purine nucleoside antibiotics: Recent synthetic advances harnessing chemistry and biology. Nat. Prod. Rep. 2024. [Google Scholar] [CrossRef]
- Cosgrove, S.C.; Miller, G.J. Advances in biocatalytic and chemoenzymatic synthesis of nucleoside analogues. Expert Opin. Drug Discov. 2022, 17, 355–364. [Google Scholar] [CrossRef]
- Smirnova, O.S.; Berzina, M.Y.; Fateev, I.V.; Eletskaya, B.Z.; Kostromina, M.A.; Kaushin, A.L.; Paramonov, A.S.; Prutkov, A.N.; Matveev, A.V.; Grebenkina, L.E.; et al. Chemo-enzymatic synthesis of 5-substituted ribavirin analogs: Unexpected cooperative effect in the interaction of 5-alkyloxymethyl 1,2,4-triazol-3-carboxamides with E. coli purine nucleoside phosphorylase active site. Sustain. Chem. Pharm. 2022, 30, 100881. [Google Scholar] [CrossRef]
- Rabuffetti, M.; Bavaro, T.; Semproli, R.; Cattaneo, G.; Massone, M.; Morelli, C.F.; Speranza, G.; Ubiali, D. Synthesis of Ribavirin, Tecadenoson, and Cladribine by Enzymatic Transglycosylation. Catalysts 2019, 9, 355. [Google Scholar] [CrossRef]
- Esipov, R.S.; Gurevich, A.I.; Chuvikovsky, D.V.; Chupova, L.A.; Muravyova, T.I.; Miroshnikov, A.I. Overexpression of Escherichia coli genes encoding nucleoside phosphorylases in the pET/Bl21(DE3) system yields active recombinant enzymes. Protein Expr. Purif. 2002, 24, 56–60. [Google Scholar] [CrossRef] [PubMed]
- Bradford, M.M. A rapid and sensitive method for the quantitation of microgram quantities of protein utilizing the principle of protein-dye binding. Anal. Biochem. 1976, 72, 248–254. [Google Scholar] [CrossRef] [PubMed]
- Laemmli, U.K. Cleavage of structural proteins during the assembly of the head of bacteriophage T4. Nature 1970, 227, 680–685. [Google Scholar] [CrossRef] [PubMed]
- Andronova, V.L.; Galegov, G.A.; Ias’ko, M.V.; Kukhanova, M.K.; IuS, S. Comparative study of resistance to acycloguanosine and acycloguanosine H-phosphonate in herpes simplex virus. Vopr. Virusol. 2010, 55, 31–34. [Google Scholar] [PubMed]
- Gus’kova, A.A.; Skoblov, M.Y.; Korovina, A.N.; Yasko, M.V.; Karpenko, I.L.; Kukhanova, M.K.; Andronova, V.L.; Galegov, G.A.; Skoblov, Y.S. Antiherpetic properties of acyclovir 5′-hydrogenphosphonate and the mutation analysis of herpes virus resistant strains. Chem. Biol. Drug Des. 2009, 74, 382–389. [Google Scholar] [CrossRef] [PubMed]
- Holý, A.; De Clercq, E.; Votruba, I. Phosphonylmethyl ethers of nucleosides and their acyclic analogues. In Nucleotide Analogues as Antiviral Agents; ACS Symposium Series; American Chemical Society: Washington, DC, USA, 1989; Volume 401, pp. 51–71. [Google Scholar] [CrossRef][Green Version]
- Hodge, C.N.; Dickson, J.K.; Popa-Burke, I.G.; Mendoza, J.S. Certain Triazole-Based Compounds, Compositions, and Uses Thereof. International Patent WO2005/097758A1, 20 October 2005. [Google Scholar]
- Hodge, C.N.; Dickson, J.K.; Popa-Burke, I.G.; Mendoza, J.S. Certain Triazole-Based Compounds, Compositions, and Uses Thereof. U.S. Patent 2005/0288347A1, 29 December 2005. [Google Scholar]
- Miller, F.P.; Kane, J.M. Processo Para a Preparacao de Derivados de 3-Aril-5-Alquiltio-4H-1,2,4-Triazo. Portuguese Patent PT86623B, 26 January 1988. 29 January 1993. [Google Scholar]
- Kaspar, F.; Giessmann, R.T.; Neubauer, P.; Wagner, A.; Gimpela, M. Thermodynamic Reaction Control of Nucleoside Phosphorolysis. Adv. Synth. Catal. 2020, 362, 867–876. [Google Scholar] [CrossRef]
- Khandazhinskaya, A.; Eletskaya, B.; Fateev, I.; Kharitonova, M.; Konstantinova, I.; Barai, V.; Azhayev, A.; Hyvonen, M.T.; Keinanen, T.A.; Kochetkov, S.; et al. Novel fleximer pyrazole-containing adenosine analogues: Chemical, enzymatic and highly-efficient biotechnological synthesis. Org. Biomol. Chem. 2021, 19, 7379–7389. [Google Scholar] [CrossRef]
- Benítez-Mateos, A.I.; Paradisi, F. Sustainable Flow-Synthesis of (Bulky) Nucleoside Drugs by a Novel and Highly Stable Nucleoside Phosphorylase Immobilized on Reusable Supports. ChemSusChem 2022, 15, e202102030. [Google Scholar] [CrossRef]




| Compound | Deoxyriboside Content, % | |
|---|---|---|
| 1 h | 24 h | |
| 3 | 0 | 0 |
| 4 | 0 | 0 |
| 5 | 94 | 25 |
| 6 | 57 | 28 |
| 7 | 62 | 41 |
| Comp. | Comp. Mass, mg | PNP/UP, Units | Comp. to Urd (or dUrd) Molar Ratio | Vol., mL | Reaction Time, h | Base to Nucleoside Conversion, % | Yield, mg | Yield, % |
|---|---|---|---|---|---|---|---|---|
| 8 | 36 | 219/298 | 1:2.5 | 41 | 23 | 89.6 | 55.3 | 89 |
| 9 | 36 | 204/199 | 1:2.8 | 41 | 0.75 | 99.5 | 54.1 | 97 |
| 10 | 50 | 2240/2210 | 1:5 | 339 | 337 | 53.3 | 15.2 | 20 |
| 11 | 50 | 1190/935 | 1:8 | 339 | 22.5 | 59.7 | 10.5 | 15 |
| 12 | 45 | 224/224 | 1:7 | 100 | 72 | 86.5 | 13.9 | 20 |
| 13 | 55.6 | 84/84 | 1:6 | 135 | 7.5 | 93.1 | 26.2 | 32 |
| Compound | CC50 1, µM | IC50 2, µM | IC95 2, µM | SI 3 | IC50, µM | IC95, µM | SI |
|---|---|---|---|---|---|---|---|
| Strain HSV-1/L2(TK+) | Strain HSV-1/L2/RACV | ||||||
| 3 | 1885.7 ± 1.7 | 618.0 ± 3.7 | >1236.0 | 3 | 618.0 ± 3.7 | >1236.0 | 3 |
| 4 | >5642.4 | 2821.2 ± 25.4 | >5642.4 | >2 | 2821.2 ± 25.4 | >5642.4 | >2 |
| 5 | 3346.4 ± 26.5 | 570.1 ± 5.1 | 2280.4 ± 20.5 | 6 | 570.1 ± 5.1 | 2280.4 ± 20.5 | 6 |
| 6 | >423.2 | 105.8 ± 1.2 | 423.2 ± 4.6 | >4 | 105.8 ± 1.2 | 423.2 ± 4.6 | >4 |
| 7 | 91.1 ± 0.7 | 33.5 ± 0.4 | >67.0 | 3 | 67.0 ± 0.8 | >67.0 | 1 |
| 8 | >3031.3 | 378.9 ± 11.4 | 1515.7 ± 45.8 | >8 | 378.9 ± 11.4 | 3031.3 ± 91.5 | >8 |
| 9 | 920.5 ± 77.2 | 417.5 ± 25.9 | 834.9 ± 51.8 | 2 | 417.5 ± 25.9 | 834.9 ± 51.8 | 2 |
| 10 | 479.6 ± 6.2 | 152.3 ± 4.4 | 304.6 ± 8.8 | 3 | 304.6 ± 8.8 | 304.6 ± 8.8 | 2 |
| 11 | 244.3 ± 6.2 | 148.7 ± 5.1 | 148.7 ± 5.1 | 2 | 148.7 ± 5.1 | 148.7 ± 5.1 | 2 |
| 12 | 657.5 ± 13.9 | 187.5 ± 3.2 | 375.0 ± 6.4 | 4 | 187.5 ± 3.2 | 375.0 ± 6.4 | 4 |
| 13 | 363.7 ± 6.0 | 23.4 ± 0.6 | 93.8 ± 2.4 | 16 | 46.9 ± 1.2 | 93.8 ± 2.4 | 8 |
| Ribavirin | >2047.5 | 511.9 ± 20.0 | >2047.5 | >4 | 1023.8 ± 39.9 | >2047.5 | >2 |
Disclaimer/Publisher’s Note: The statements, opinions and data contained in all publications are solely those of the individual author(s) and contributor(s) and not of MDPI and/or the editor(s). MDPI and/or the editor(s) disclaim responsibility for any injury to people or property resulting from any ideas, methods, instructions or products referred to in the content. |
© 2024 by the authors. Licensee MDPI, Basel, Switzerland. This article is an open access article distributed under the terms and conditions of the Creative Commons Attribution (CC BY) license (https://creativecommons.org/licenses/by/4.0/).
Share and Cite
Fateev, I.V.; Sasmakov, S.A.; Abdurakhmanov, J.M.; Ziyaev, A.A.; Khasanov, S.S.; Eshboev, F.B.; Ashirov, O.N.; Frolova, V.D.; Eletskaya, B.Z.; Smirnova, O.S.; et al. Synthesis of Substituted 1,2,4-Triazole-3-Thione Nucleosides Using E. coli Purine Nucleoside Phosphorylase. Biomolecules 2024, 14, 745. https://doi.org/10.3390/biom14070745
Fateev IV, Sasmakov SA, Abdurakhmanov JM, Ziyaev AA, Khasanov SS, Eshboev FB, Ashirov ON, Frolova VD, Eletskaya BZ, Smirnova OS, et al. Synthesis of Substituted 1,2,4-Triazole-3-Thione Nucleosides Using E. coli Purine Nucleoside Phosphorylase. Biomolecules. 2024; 14(7):745. https://doi.org/10.3390/biom14070745
Chicago/Turabian StyleFateev, Ilya V., Sobirdjan A. Sasmakov, Jaloliddin M. Abdurakhmanov, Abdukhakim A. Ziyaev, Shukhrat Sh. Khasanov, Farkhod B. Eshboev, Oybek N. Ashirov, Valeriya D. Frolova, Barbara Z. Eletskaya, Olga S. Smirnova, and et al. 2024. "Synthesis of Substituted 1,2,4-Triazole-3-Thione Nucleosides Using E. coli Purine Nucleoside Phosphorylase" Biomolecules 14, no. 7: 745. https://doi.org/10.3390/biom14070745
APA StyleFateev, I. V., Sasmakov, S. A., Abdurakhmanov, J. M., Ziyaev, A. A., Khasanov, S. S., Eshboev, F. B., Ashirov, O. N., Frolova, V. D., Eletskaya, B. Z., Smirnova, O. S., Berzina, M. Y., Arnautova, A. O., Abramchik, Y. A., Kostromina, M. A., Kayushin, A. L., Antonov, K. V., Paramonov, A. S., Andronova, V. L., Galegov, G. A., ... Konstantinova, I. D. (2024). Synthesis of Substituted 1,2,4-Triazole-3-Thione Nucleosides Using E. coli Purine Nucleoside Phosphorylase. Biomolecules, 14(7), 745. https://doi.org/10.3390/biom14070745

