Abstract
Chemo-enzymatic syntheses of strongly fluorescent nucleoside analogs, potentially applicable in analytical biochemistry and cell biology are reviewed. The syntheses and properties of fluorescent ribofuranosides of several purine, 8-azapurine, and etheno-purine derivatives, obtained using various types of purine nucleoside phosphorylase (PNP) as catalysts, as well as α-ribose-1-phosphate (r1P) as a second substrate, are described. In several instances, the ribosylation sites are different to the canonical purine N9. Some of the obtained ribosides show fluorescence yields close to 100%. Possible applications of the new analogs include assays of PNP, nucleoside hydrolases, and other enzyme activities both in vitro and within living cells using fluorescence microscopy.
1. Introduction: Fluorescent Nucleoside Analogs—An Outlook
Fluorescence spectroscopy is one of the most sensitive methods of biomolecules detection and measurements of their interactions and activities, at both the ensemble and single-molecule levels [1,2,3]. For this reason, various fluorescence techniques are frequently used in biological, biochemical, and biophysical research. Unfortunately, some of the most important biomolecules (nucleic acids, membranes, some proteins) are not fluorescent under natural conditions (neutral aqueous medium, moderated temperatures). Therefore, the direct application of fluorescence methods to biological research in vivo or in vitro requires finding appropriate fluorescent markers, which can provide structural and dynamic information about molecules as well as their activities.
Among these, fluorescent nucleoside and nucleotide analogs play key roles [4]. They are applied, inter alia, to the structural and dynamic research of nucleic acids, including ribozymes [5,6,7,8], their interaction with proteins [9], and the detection of enzymatic activities of enzymes related to nucleic acid metabolism both in vitro and in vivo with the aid of fluorescence microscopy [10,11,12].
Natural nucleosides and nucleotides are virtually nonfluorescent in neutral aqueous media [13] with the exception of some weakly fluorescent minor RNA subunits [14]. The first fluorescent nucleoside analogs, among them the intensely fluorescent 2-aminopurine riboside, were described five decades ago [15], and some of them are still employed in biophysical research [16,17]. Since their development, hundreds of fluorescent nucleobase and nucleoside analogs have been developed for various applications, most of them by multi-step chemical procedures [4,6,10,18,19,20,21].
There are two broad classes of nucleoside analogs [5]: (i) nucleosides linked to strong aromatic or heteroaromatic fluorophores, like coumarin, pyrene, or fluorene, typically via the C-8, N7, or ribose moiety; and (ii) nucleosides with a heteroaromatic ring (purine or pyrimidine) replaced by a fluorescent analog of nucleobase [5,21]. The most useful analogs are those that combine good spectral parameters with substrate or inhibitory activities towards the selected enzymatic or other biological system, and this condition is usually fulfilled by isosteric or isomorphic (that is, mimicking the natural nucleosides in size, shape, and hydrogen-bonding abilities) analogs. In this brief review, we concentrate mainly on this kind of nucleoside analog.
There is a growing number of such analogs that are known, and recent findings of Tor’s group enlarged the available “libraries” by the substituted thieno- and thiazolo-pyrimidine compounds, which are isosteric and to a large extent isofunctional with natural purine nucleosides [22]. All the thieno- and isothiazolo-pyrimidine nucleoside analogs are strongly fluorescent in the visible region [22,23]. These are all C-nucleosides, which makes them resistant to some nucleolytic enzymes, which is important for biological applications.
Many nucleoside analogs, including elements of the “RNA emissive alphabet” can be selectively incorporated into polynucleotides and ribozymes, either chemically or by using enzymes like T7 RNA polymerase and other polymerases [5,22].
Most fluorescent analogs are generated chemically, using sometimes quite complex multi-step procedures, but some can be obtained in much simpler, enzymatic ways [24,25]. Purine-nucleoside phosphorylase (see below) offers the possibility of nucleoside (but not of the C-nucleoside) analogs’ synthesis from nucleobase and pentose analogs.
There are also examples of fluorescent pyrimidine nucleoside analogs [5,6,21,26,27], but nearly all of them belong to the first (“noncanonical”) group, with pyrimidine moieties being linked to an organic fluorophore, or significantly modified. They are nevertheless utilized in polynucleotide and nucleic acid research, e.g., for the detection of apurinic sites in double-stranded polynucleotides or DNA fragments [28].
2. Purine Nucleoside Phosphorylase as a Synthetic Tool
Purine nucleoside phosphorylase (PNP, E.C. 2.4.2.1) catalyzes a reversible phosphorolysis of natural purine nucleosides (or deoxynucleosides) to the respective nucleobases and α-(deoxy)ribose-1-phosphate ((d)r1P [29]). It is a key enzyme of the so-called purine salvage pathway [30], and its physiological role is the regulation of nucleoside concentrations within the cells.
A genetic deficiency of PNP activity leads to the severe impairment of the immune system in humans [29,31], and it is a subject of experimental gene therapy [31]. Inhibitors of PNP reveal potent pharmacological activities towards bacterial, viral, and parasitic infections (including malaria) and can also be applied as antineoplastic and immunosuppressive agents [29,32]. One of them, the transition-state inhibitor forodesine (known as immucilin H [33]), with an inhibition constant of ~60 pM, has recently been approved in Japan for the treatment of relapsed/refractory peripheral T-cell lymphoma [34]. The even more potent inhibitor ulodesine [35], with Ki ~9 pM, is currently under examination.
Various forms of PNP are employed as catalysts in the enzymatic syntheses of nucleosides and their analogs (for reviews, see Refs. [24,25,36,37,38,39]). For canonical purines and many analogs, the reaction equilibrium is shifted towards nucleoside synthesis [29], but there are also ribosides for which phosphorolysis is virtually irreversible, and these are ideal to serve as ribose donors in the synthetic “one pot” reactions, while purified r1P is rarely used because of its high price and relative instability [36]. A commonly known example is the commercially available 7-methylguanosine [40], and other good ribose donors include 7-methyl-thioguanosine, 7-methyl-inosine, and nicotinamide riboside [29]. Another method of “one-pot” purine (deoxy)nucleoside synthesis was proposed long ago by Krenitsky [41], with uridine or thymidine phosphorylase, acting on uridine or thymidine, serving as a source of r1P or its deoxy analog.
More than 100 natural forms of PNP are known [38]. Various forms of PNP, both natural and modified via the site-directed mutagenesis [39], differ quantitatively or qualitatively in substrate specificities and may be used for synthetic purposes. There are two broad classes of PNP: (i) mammalian (trimeric) forms which are specific towards 6-oxopurine nucleosides [29], but a single genetic mutation in the active site, N243D, can alter this specificity [42]; and (ii) bacterial forms, which are mostly hexameric and reveal a broader substrate specificity, particularly with respect to the heteroaromatic moieties of the substrates. Thermophilic PNP variants [43] offer opportunities for large-scale applications. Whole-cell catalysis is also recognized for its relative simplicity and enzyme stability [36,39]. Various advanced techniques, including those utilizing enzyme immobilization on magnetic epoxide microspheres, have led to effective syntheses on a gram or even kilogram scale [44]. Analysis of the industrial potential of such techniques has recently been presented [39].
PNP, particularly its bacterial forms, is characterized by broad substrate specificity, and this refers both to the heteroaromatic and sugar moieties, as well to various non-typical arrangements of these [38]. Early works pointed unexpected activities of mammalian PNP against N3- and N7-ribosides of canonical purines [45], as well as effective modifications of enzyme specificities via site-directed mutagenesis of the active-site amino acids [42]. These observations led to many applications in the syntheses of chemically, biochemically, and pharmacologically important compounds, like arabinosyl-purines, cordycepin (3’-deoxyribosyl-adenine) and analogs, halogenated purine and benzimidazole ribosides and deoxyribosides, including cladribine (2-chlorodeoxyadenosine), and fludarabine (2-fluoro-arabinosyl-adenine) as well as many other nucleoside analogs, reviewed recently [37]. All known PNP forms maintain strict regioselectivity in the ribosylation site (purine N9) and pentose configuration (β); rare exceptions to the former rule are discussed below. Attempts to further modify enzyme specificity in a controlled manner are underway [39,43,46].
Other enzymatic systems affecting deoxynucleoside production are deoxyribosyl transferases (DNT’s) of bacterial origin [36,47]. The analogous syntheses of nucleotides from nucleobases are possible using phosphoribosyl transferases [48].
In the present paper, we summarize recent progress in obtaining new highly fluorescent nucleoside analogs and point out their potential for analytical applications. This paper is an update of our previous, more extended review [49].
3. Chemo-Enzymatic Synthesis of Fluorescent Ribosides of Purines and 8-Azapurines
The only strongly fluorescent purine riboside is 2-aminopurine riboside, but this compound is apparently not ribosylated by PNP. Its deoxy analog can be synthesized using DNT as a catalyst [36]. Weak fluorescence is exhibited by 2,6-diaminopurine riboside and N6,N6-dimethyladenosine [49], and these analogs, and the corresponding (deoxy)ribosides, can be synthesized chemo-enzymatically using either PNP from E. coli or bacterial DNTs as catalysts [36]. Moderately fluorescent 7-methylguanosine and 7-methylinosine undergo almost irreversible phosphorpolysis by both trimeric and hexameric PNPs [29], so they cannot be synthesized in this way. In contrast to the “canonic” purines, the 8-azapurines show much better spectral properties and are substrates for many forms of PNP in the synthetic pathway [49,50].
The 8-azapurines are isosteric and isomorphic analogs of natural purine bases (see Figure 1), substituting the latter in a variety of biochemical transformations [49,50,51,52,53]. Some of them are quite toxic, and to date no direct medical application of these compounds has been reported, but they are widely employed in laboratories for various purposes, including mutagenicity tests [51,52]. Their chemical and physicochemical properties differ somewhat from those of the analogous purines, particularly in the acido-basic equilibria and prototropic tautomerism [52]. Nevertheless, they can be classified as probably the most isomorphic purine analogs, although their emissive properties are inferior to those of the “RNA alphabet”.
Figure 1.
Showing structural similarity between purines (A) and 8-azapurines (B). Note that purine numbering is maintained throughout.
In contrast to the canonical nucleobases, some of the 8-azapurines, as well as the corresponding nucleosides and nucleotides, reveal marked fluorescence in neutral aqueous medium (see Refs. [49,54] and Table 1). Their nucleotides can be selectively incorporated into mRNA molecules, including ribozymes, and have been applied to mechanistic research of ribozyme action [55,56].
Table 1.
Fluorescence parameters of selected 8-azapurine ribosides, compared to other isomorphic purine and purine nucleoside analogs. Unless otherwise indicated, all data refer to neutral species of the fluorophores. Data from references [15,49,53].
3.1. 8-Azaadenosine, 8-Azainosine, 8-Azaxanthosine and Derivatives
Although 8-azaadenine is very weakly fluorescent, and only as a neutral species (pH < 6.1), 8-azaadenosine exhibits moderate fluorescence in a broad pH range [50]. Incorporated into ribozyme molecules, it serves as a reporter of the acid-base equilibria important for the reaction mechanism [55]. As expected, wild-type PNP from E. coli accepts 8-azaadenine as a substrate, but the ribosylation proceeds about 50-fold slower than that for adenine [50]. Mutations of bacterial PNP thus far have not been effective in improving the rate of ribosylation.
The compound 8-azainosine (synthesized chemically) was investigated by Seela and co-workers [53], who reported moderate fluorescence of the anionic form of the nucleoside (pKa ~8). The compound 8-azahypoxanthine reveals poor substrate properties towards PNP in the synthetic pathway, since in the neutral aqueous medium it exists as an anion [53].
The compound 8-azaxanthine (8-azaXan) and particularly its methyl derivatives are known to be strongly fluorescent in aqueous medium [53,57], but the chemo-enzymatic synthesis of 8-azaxanthosine from 8-azaxanthine is difficult, probably because this compound is even more acidic than most azapurines (pKa ~4.8, [51]). It has been reported, however, that the inducible xanthosine phosphorylase from E. coli, known as PNP-II [58], accepts 8-azaxanthine as a substrate in the ribosylation pathway [57]. The ribosylation site is certainly not N9, but either N7 or N8, as inferred from the spectral properties of the ribosylation product(s), which are strongly fluorescent at 440 nm in the neutral aqueous medium, similarly to N7- or N8-methyl, but not to N9-methyl derivatives of 8-azaXan [53].
3.2. 8-Azaguanosine and Analogs
The compound 8-azaguanine is known as a very toxic analog of guanine, which is applied in mutagenicity tests [59]. It reveals quite intense fluorescence as a neutral species (<pH 7), ascribed to its minor N(8)H tautomer [50]. By contrast, 8-azaguanosine is very weakly fluorescent below pH 6, where it exists in the neutral form, but strongly as a monoanion (pKa~8). This compound is readily, and almost irreversibly, synthesized enzymatically from 8-azaguanine, using calf spleen PNP as a catalyst, and r1P as a ribose donor [50]. It has been applied to mechanistic research of ribozyme action, primarily as a probe of micro-acidity of the active guanine residue of the glms ribozyme [56].
The mutated form of calf PNP, N243D, in an analogous (slower) reaction gave a mixture of N9- and moderately fluorescent N-7 riboside [60]. By contrast, the application of the bacterial (E. coli) enzyme led (rather slowly) mainly to N9- riboside, with some minor contribution of another strongly fluorescent product, tentatively identified as N8-riboside [60,61].
The compound 8-azaguanine forms a weak but fluorescent complex with calf spleen PNP, which was a subject of spectroscopic investigations [62]. The fluorescence excitation spectrum of the complex was markedly shifted to the long wavelength relative to analogous spectrum of the free 8-azaGua. Interestingly, the weakly fluorescent N9-phosphonomethoxyethyl analog of 8-azaguanine [63] binds to this enzyme quite tightly as a bi-substrate analog, also showing a marked increase in fluorescence. Somewhat surprisingly, these two complexes are spectrally quite different [62], the fact interpreted in terms of the prototropic tautomerism of the bound 8-azaguanine, possibly involving the enol tautomer.
The compound 8-aza-deoxyguanosine has been also synthesized, on a larger scale, using PNP as a catalyst [64], and its fluorescence is reported to be very similar to that of the riboside [65].
3.3. Other 8-Azapurine Analogs and Their Enzymatic Ribosylation
Although 2,6-diaminopurine is only moderately fluorescent, and its riboside even less [15], their 8-aza analog 2,6-diamino-8-azapurine (DaaPu) reveals a high fluorescence yield in neutral aqueous media [53]. Even stronger emission is observed in some ribosides of DaaPu (Table 1), which could be generated enzymatically using mammalian (calf) or bacterial (E. coli) forms of PNP [61]. The ribosylation site depends in this case qualitatively on the catalyst used. Wild-type calf PNP ribosylates DaaPu at N7 and N8, while its mutated form (D243N) ribosylates DaaPu at N7 and N9, and the bacterial (E. coli) enzyme at N9 and N8 [61]. All three ribosides differ markedly by their spectroscopic parameters, particularly fluorescence maxima (spectral data summarized in Table 1). The N9-riboside of DaaPu is probably the most intensely fluorescent nucleoside analog known to date, with a yield reaching 90% (Table 1).
The non-typical ribosides of DaaPu, after purification, revealed good and selective substrate properties towards human erythrocytic and bacterial (E. coli) forms of PNP, allowing the quantitation of PNP activity in whole human blood, diluted 1000-fold, without the necessity of the removal of hemoglobin [66]. Mammalian and bacterial forms of PNP can be detected selectively, since the N7-riboside of DaaPu is resistant to the E. coli PNP, and the N8-riboside is apparently not phosphorolysed by human erythrocytic enzyme [66]. This assay is possible because of marked spectral differences between the above-mentioned non-typical ribosides and the nucleobase analog (DaaPu). This selectivity in PNP ribosylation was a subject of molecular modeling investigations [67], which can lead to further broadening of the synthetic possibilities.
The effect of non-typical ribosylation of DaaPu may be kinetic in nature, at least in the case of E. coli PNP, as evidenced by the bi-phasic nature of the reaction progress. Initially, probably a kinetically produced mixture of N9- and N8-ribosides is eventually slowly converted to the final thermodynamic product, which is the “canonical” N9-riboside. The reaction progress is easily observed using fluorescence spectroscopy, thanks to marked differences between N9- and N8-ribosides, emitting at 370 nm and 430 nm, respectively (see Appendix A, Figure A1). This is, to our knowledge, probably the first reported exception from the generally postulated thermodynamic control of the reactions catalyzed by PNP [68].
It may be also interesting that the phosphonomethoxyethyl analog of DaaPu, PME-DaaPu, prepared by Holy et al. [63,69], is also intensely fluorescent in the near UV region, and as a bi-substrate analog strongly binds to the mammalian PNP in the absence of phosphate ions [49].
The compound 8-aza-deoxy-isoguanosine has been obtained chemically by Seela and Jiang [70] and polymerized to study oligonucleoside associations. This deoxyriboside is strongly fluorescent, particularly in the anionic form [70]. Unlike many other nucleosides, 8-aza-isoguanosine ribosides are also fluorescent in polymers [70,71], and may serve as reporters of their structure and interactions. The chemo-enzymatic synthesis of 8-aza-isoguanosine is possible but difficult because of the marked acidity of the corresponding purine analog (pK ~5.5, [53]), so at pH > 6 only a small fraction of molecules is in the neutral form. Preliminary experiments (unpublished) conducted in acetate buffer at pH 5.5, at 30 ℃, showed a slow reaction occurring, leading to a moderately fluorescent ribosylated product, but the ribosylation site remains problematic.
3.4. 8-Aza-7-Deazapurine and 8-Aza-9-Deazapurine Ribosides
The title compounds (known also as pyrazolo[3,4-d]pyrimidine and pyrazolo[4,3-d]pyrimidine ribosides, respectively) are isomorphic purine analogs, revealing strong biological and pharmaceutical activities, exemplified by allopurinol (4-oxo-pyrazolo[3,4-d]pyrimidine), an inhibitor of xanthine oxidase, widely applied in anti-gout therapy [72]. The corresponding ribosides and deoxyribosides can be synthesized enzymatically using bacterial (E. coli) PNP [64]. This reaction is much slower than that for natural purines, apparently because protonation of the purine N7 is essential for the substrate activation by the D204 residue [53]. According to Mikhailopulo, this role is in this case taken by the Ser90 residue of the E. coli PNP, interacting with the purine N8 [73].
Some of the pyrazolo[3,4-d]pyrimidine ribosides are fluorescent, as indicated by the fluorescence of the commercial nucleobase analog 8-aza-7-deaza-isoguanine (4-amino-6-hydroxyprazolo[3,4-d]pyrimidine), which is a slow substrate of PNP from E. coli (unpublished). Fluorescence changes, observed during the reaction (unpublished) show that at least one of the products must be fluorescent.
The ribosides of 8-aza-7-deaza-2-aminopurine and 8-aza-7-deaza-2,6- -diaminopurine, (IUPAC names: 6-aminopyrazolo[3,4-d]pyrimidine and 4,6-diaminopyrazolo[3,4-d]pyrimidine, respectively) were prepared and modified chemically by Seela et al. [74] and enzymatically by Mikhailopulo’s group [64]. Both compounds exhibit measurable fluorescence, which was applied in the studies of polynucleotide interactions [74].
The 8-aza-9-deazapurine ribosides, known as formycins [75], are C-nucleosides and as such are not phosphorolysed by PNP, but reveal good substrate properties towards other enzymes of purine metabolism and some of them, as well as the respective nucleotides, are fluorescent in neutral aqueous media [15,76,77]. These compounds strongly inhibit hexameric PNPs [29] and their fluorescence was utilized in investigations of enzyme–inhibitor complexes, especially to identify tautomeric forms of the bound ligand(s) [78,79].
3.5. Other Bicyclic Heteroaromatics
Benzimidazole fluorescence has been known from many years, and this compound and many derivatives are readily (deoxy)ribosylated by PNP from E. coli [24]. Also, halogenated derivatives of benzimidazole have been reported to be substrates of PNP [24,80,81]. Another fluorescent isomer, indazole (benzopyrazole), is probably a poor substrate or not a substrate. Benzoxazole is apparently not a substrate for the PNP from E. coli [24], but enzymatic ribosylation of 2-aminobenzoxazole is possible, and apparently takes place on the amine group [73]. N1-deaza and N3-deaza purines can be ribosylated by bacterial forms of PNP, but their fluorescence is not known [73].
4. Chemo-Enzymatic Synthesis and Properties of The Tricyclic Purine Analogs and Their Ribosides
Tricyclic purine analogs, although they cannot be classified as isomorphic with the parent purines, typically combine good spectral characteristics with substrate activities towards many enzymes as well as biological activities [82,83,84]. The simplest way to obtain such analogs is chloroacetaldehyde treatment of amino-group-containing purines, the reaction which can be performed in aqueous medium and in relatively mild conditions [85]. Some of the “etheno” derivatives (Figure 2) are good substrates for various forms of PNP in the synthetic pathway, and their ribosylation leads to strongly fluorescent ribosides, as shown below.
Figure 2.
Tricyclic analogs of adenine: 1,N6-ethenoadenine (I) and guanine (two isomers: 1,N2-ethenoguanine (II) and N2,3-ethenoguanine (III)).
Much more difficult is the synthesis of the “extended” nucleobase and nucleoside analogs, containing an additional phenyl ring between the pyrimidine and imidazole moieties [83]. These “lin-benzo” and other “extended nucleosides” reveal strong fluorescence in the visible range and substrate activities towards some important enzymes of purine metabolism (e.g., adenosine and guanosine deaminase) [83]. The chemistry and biological activity of the tricyclic purine analogs have been summarized in recent reviews [85,86].
4.1. Adenosine Analogs
The strongly fluorescent 1,N6-ethenoadenosine (εAdo) is easily generated chemically from the parent adenosine by treatment with chloroacetaldehyde in aqueous medium at room temperature [82]. Although not susceptible to phosphorolysis by calf PNP, it can be readily phosphorolysed to 1,N6-ethenoadenine (εAde, I, see Figure 2) by the bacterial (E. coli) enzyme [87]. This latter reaction is reversible, but in the synthetic pathway, HPLC analysis revealed a minor contribution of the adenine ribosylated at N7. By contrast, the ribosylation of the etheno-adenine base by calf PNP as a catalyst and r1P as a ribose source quite effectively provides a non-typical and moderately fluorescent N6-riboside. The mutated form of calf PNP (N242D) in the analogous reaction provided a mixture of N6- and N9- ribosides [87]. The N6-riboside is only moderately fluorescent (Table 2) but can be useful for the detection of PNP activity in biological or clinical material, including diluted whole blood, since it is rapidly phosphorolysed by the human erythrocytic PNP to strongly fluorescent 1,N6-ethenoadenine [66].
4.2. Guanosine Analogs
Two isomeric ethenoguanosine derivatives (II and III, Figure 2) are generated from the parent guanosine by treatment with chloroacetaldehyde in aqueous medium [88]. This reaction is slower than that of adenosine, so several different strategies were proposed to achieve this goal [89]. One of the etheno-guanine isomers, 1,N2-ethenoguanine, is a good substrate for bacterial (E. coli) PNP, but not for the calf PNP, providing a poorly fluorescent nucleoside (Table 2). The second isomer, N2,3-ethenoguanine, is nonfluorescent and resistant to ribosylation by PNP [90].
Somewhat stronger fluorescence (yield 0.11, see Table 2) was detected from N2,3-etheno-O6-methylguanosine [90], which can be enzymatically generated from the base analog by the E. coli PNP, but in this case the ribosylation rate was ~300-fold slower relative to guanosine synthesis.
4.3. 2-Aminopurine Riboside and Isoguanosine Analogs
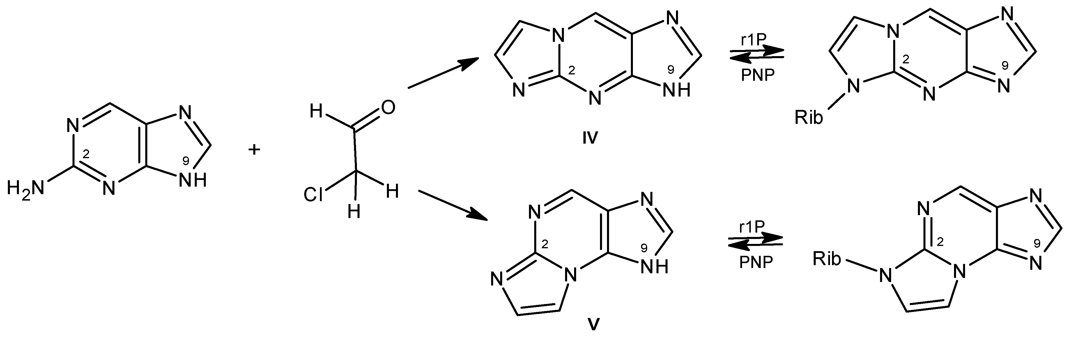
The reaction of chloroacetaldehyde with the commercial 2-aminopurine riboside is rapid and gives essentially one product, identified as 1,N2-etheno-2-aminopurine-N9-β-D-riboside [91]. This compound is only moderately fluorescent, but the analogous reaction with 2-aminopurine base yielded two products, identified as 1,N2-etheno-2-aminopurine (IV, ~95%) and N2,3-etheno-2-aminopurine (V, ~5%), the latter showing a fluorescence yield >70% [92]. The minor product (V) was found to be a good substrate of both calf PNP and E. coli PNP, giving fluorescent riboside products [92]. A much slower reaction was observed for the “linear” 1,N2-etheno-2-aminopurine (IV) with both enzymes. Somewhat unexpectedly, the ribosylation takes place on N2 nitrogen, rather than the “canonical” N9 (Figure 3 and Ref. [92]). The purified riboside of N2,3-etheno-2-aminopurine riboside is rapidly phosphorolysed by calf and human erythrocytic PNP, and the reaction is easily followed fluorometrically thanks to the marked spectral difference between the substrate and the product [92]. Applications of these compounds may be somewhat uncomfortable because of their sensitivity to air oxidation. Another possible application of the “linear” etheno-2-aminopurine derivative may be in the fluorometric detection of xanthine oxidase activity (in preparation).
Figure 3.
Generation of tricyclic analogs of 2-aminopurine: 1,N2-etheno-2-aminopurine (IV) and N2,3-etheno-2-aminopurine (V), and their ribosylation by PNP (Rib = β-D-ribosyl).
Isoguanine (2-hydroxy-adenine), which is an almost nonfluorescent product of adenine radiolysis [93], reacts with chloroacetaldehyde quite rapidly, giving essentially one product, identified as 1,N6-etheno-isoguanine or 1,N6-etheno-2-oxo-adenine [90], moderately fluorescent in neutral aqueous medium (Table 2). This compound is readily ribosylated by the E. coli PNP, and more slowly by the calf enzyme [90], with r1P as a ribose donor. There are at least three products of such ribosylation reactions, all of them fluorescent, with the fluorescence quantum yield reaching 0.66 for the compound identified as 1,N6-etheno-2-oxo-adenine-6-β-D-riboside (see Table 2), and this was the main product when the reaction was catalyzed by calf PNP [90].
Attempts to obtain highly fluorescent nucleobase analogs from 2,6-diaminopurine riboside reacting with chloracetaldehyde were not successful [94], but our preliminary data indicate that some of the related ribosides were in fact intensely fluorescent.
4.4. Tricyclic Azapurine Analogs
Enzymatic phosphorolysis of the moderately fluorescent 2-aza analog of εAdo, prepared originally by Tsou et al. [95], has been reported [49], but the reverse reaction has not been examined.
Some other tricyclic 2-aza-purine, 8-aza-purine, and 2,8-diazapurine nucleoside analogs were synthesized chemically, with the results summarized in Ref. [96]. The reported fluorescence quantum yields are lower than those obtained for purine analogs, but the reported spectra are batochromically shifted relative to those of εAdo [96]. To our knowledge, no data on enzymatic hydrolysis of phosphorolysis of these analogs exist.
Table 2.
Fluorescence parameters of selected “etheno” substituted purine ribosides in water. Unless otherwise indicated, all data refer to neutral species of the fluorophores. Data from [82,87,90,92].
Table 2.
Fluorescence parameters of selected “etheno” substituted purine ribosides in water. Unless otherwise indicated, all data refer to neutral species of the fluorophores. Data from [82,87,90,92].
| Compound | Excitation: λmax [nm] | Emission: λmax [nm] | Quantum Yield | Decay Time [ns] |
|---|---|---|---|---|
| 1,N6-etheno-adenosine | 305 | 410 | 0.56 | 21 |
| 1,N6-etheno-6-β-D-ribosyl-adenine | 310 | 380 | 0.10 | nd |
| 1,N2-ethenoguanosine (anion) | 400 | <0.01 | nd | |
| N2,3-ethenoguanosine | 261 | 400 | 0.02 | nd |
| N2,3-etheno-O6-methylguanosine | 272 | 405 | 0.11 | nd |
| 1,N2-etheno-2-aminopurine | 248 | 473 | 0.18 | 6.9;10.3 |
| 1,N2-etheno-2-aminopurine-9-β-D- riboside | 295 | 463 | 0.14 | nd |
| 1,N2-etheno-2-aminopurine-2-β-D- riboside | 338 | ~405 | ~0.7 | nd |
| N2,3-etheno-2-aminopurine | 315 | 406 | 0.73 | 3.8;8.5 |
| N2,3-etheno-2-aminopurine-2-β-D- riboside | 315 | 357 | 0.29 | 2.15 |
| 1, N6-etheno-2-hydroxy-adenine | 295 | 415 | 0.17 | nd |
| 1, N6-etheno-2-hydroxy-adenosine | 295 | 415 | 0.34 | 6.1 |
| 1,N6-etheno-2-hydroxy-adenine-7-β-D- riboside | 294 | 360 | 0.036 | 0.8;5.2 |
| 1,N6-etheno-2-hydroxy-adenine-6-β-D- riboside | 303 | 425 | 0.66 | nd |
nd = no data.
5. Conclusions and Perspectives
This brief review illustrates the possibility of the rapid and effective syntheses of many strongly fluorescent ribosides, which can be used in future biophysical and analytical research. The presented examples include various forms of PNP used as catalysis and illustrate the possibilities of modifying enzyme specificity via site-directed mutagenesis not only in a quantitative sense but sometimes in a qualitative sense. Variability in the ribosylation sites exhibited by PNP in some reactions is helpful for the preparation of ribosides with better spectral characteristics, suitable, e.g., for fluorescence microscopy. This variability was not observed for canonical purines, with the only exception of the recently reported synthesis of xanthine-N7-β-D-riboside [97]. The recent paper of Narczyk et al. [98] suggesting the functional non-equivalence of PNP subunits for the E. coli PNP may provide a partial explanation of this phenomenon.
Efforts to modify the specificity of PNP using various genetic modifications have been published [99]. Recent achievements in this field involve the chemo-enzymatic syntheses of antivirals islatravir and molnupiravir, synthetized using enzymatic cascades, with a significant contribution by PNP, engineered by “artificial evolution” [100,101]. In the future, specific enzymes may be designed for specific substrates to be ribosylated at specific sites, and theoretical methods potentially leading to this goal are being developed [102]. Sensitive and specific fluorometric assays for PNP, briefly presented above, can be regarded as “bonuses” of this kind of research.
It would be interesting to examine analogous possibilities of other enzymatic systems, for example, phosphoribosyl transferases, catalyzing the formation of nucleotides from nucleobases and 5-phosphoribose-1-pyrophosphate (PrPP), a group of enzymes which are extensively investigated because of their medical significance [103,104,105]. Various bacterial enzymatic systems, like deoxy-ribosyl transferases, phosphoribosyl transferases, and/or nucleoside hydrolases (acting in non-aqueous media) may also be useful, but their specificities towards fluorescent or fluorogenic analogs are mostly unknown.
Author Contributions
Conceptualization, J.W. and A.S.-W.; methodology, J.W. and A.S.-W.; software, A.S.-W.; validation, J.W. and A.S.-W.; formal analysis, J.W.; investigation, J.W. and A.S.-W.; resources, J.W.; data curation, J.W.; writing—original draft preparation, J.W.; writing—review and editing, J.W. and A.S.-W.; visualization, J.W. and A.S.-W.; supervision, J.W.; project administration, A.S.-W.; funding acquisition, A.S.-W. All authors have read and agreed to the published version of the manuscript.
Funding
This work was supported by the internal grant from the University of Warmia and Mazury in Olsztyn, grant # 17.610.011-110. No external funding was used.
Acknowledgments
We thank Beata Wielgus-Kutrowska from Warsaw University for valuable discussions and support.
Conflicts of Interest
The authors declare no conflicts of interest.
Appendix A
The observed bi-phasic character of the enzymatic ribosylation of 2,6-diamino-8-azapurine (DaaPu) by the E. coli PNP (Section 3.3) is illustrated in Figure A1.
Figure A1.
Fluorescence changes observed during the enzymatic ribosylation of 2,6-diamino-8-azapurine by E. coli PNP. Conditions: 50 mM HEPES buffer, pH 6.6, 25 ℃. Blue line: reaction start; green: after 50 min; red: after 20 h. Fluorescence excitation was at 300 nm, spectral resolution 2.5 nm.
Figure A1.
Fluorescence changes observed during the enzymatic ribosylation of 2,6-diamino-8-azapurine by E. coli PNP. Conditions: 50 mM HEPES buffer, pH 6.6, 25 ℃. Blue line: reaction start; green: after 50 min; red: after 20 h. Fluorescence excitation was at 300 nm, spectral resolution 2.5 nm.

Initial substrate(s) concentrations: DaaPu, 43 μM, r1P; ~0.5 mM. In the second phase (50 min–20 h), the enzyme concentration was 10-fold higher.
We have noticed some instability of the resultant N9-riboside of DaaPu after 20 h (probably slow deamination to 8-azaguanosine), but at pH 6.6 the side-product is very weakly fluorescent, so it does not interfere with fluorescence measurement.
References
- Lakowicz, J. Principles of Fluorescence Spectroscopy, 3rd ed.; Springer: New York, NY, USA, 2006. [Google Scholar]
- Zalejski, J.; Sun, J.; Sharma, A. Unravelling the mystery inside cells by using single-molecule fluorescence imaging. J. Imaging 2023, 9, 192. [Google Scholar] [CrossRef]
- Adhikari, S.; Smit, R.; Orrit, M. Future paths in cryogenic single-molecule fluorescence spectroscopy. J. Phys. Chem. C 2023, 128, 3–18. [Google Scholar] [CrossRef]
- Wilhelmsson, M.; Tor, Y. Fluorescent Analogues of Biomolecular Building Blocks: Design and Applications; John Wiley & Sons: New York, NY, USA, 2016. [Google Scholar]
- Xu, W.; Ke, M.C.; Kool, E.T. Fluorescent nucleobases as tools for studying DNA and RNA. Nat. Chem. 2017, 9, 1043–1055. [Google Scholar] [CrossRef]
- Tanpure, A.A.; Pawar, G.; Srivatsan, S.G. Fluorescent nucleoside analogs: Probes for investigating nucleic acid structure and function. Isr. J. Chem. 2013, 53, 366–378. [Google Scholar] [CrossRef]
- Hocek, M. Enzymatic synthesis of base-functionalized nucleic acids for sensing, cross-linking, and modulation of protein–DNA binding and transcription. Acc. Chem. Res. 2019, 52, 1730–1737. [Google Scholar] [CrossRef] [PubMed]
- Michel, B.Y.; Dziuba, D.; Benhida, R.; Demchenko, A.P.; Burger, A. Probing of nucleic acid structures, dynamics, and interactions with environment-sensitive fluorescent labels. Front. Chem. 2020, 8, 112. [Google Scholar] [CrossRef]
- Wang, D.; Shalamberidze, A.; Arguello, A.E.; Purse, B.W.; Kleiner, R.E. Live-cell RNA imaging with metabolically incorporated fluorescent nucleosides. J. Am. Chem. Soc. 2022, 144, 14647–14656. [Google Scholar] [CrossRef] [PubMed]
- Saito, Y.; Hudson, R.H.E. Base-modified fluorescent purine nucleosides and nucleotides for use in oligonucleotide probes. J. Photochem. Photobiol. C Photochem. Rev. 2018, 36, 48–73. [Google Scholar] [CrossRef]
- Singh, H.; K Tiwari, R.; Tiwari, S.K.; Pramanik, A. Das. Small molecules as fluorescent probes for monitoring intracellular enzymatic transformations. Chem. Revs. 2019, 119, 11718–11760. [Google Scholar] [CrossRef] [PubMed]
- Gilbault, G.G. (Ed.) Practical Fluorescence; Marcel Dekker: New York, NY, USA, 1990; Chapter 12. [Google Scholar]
- Callis, P.R. Electronic states and luminescence of nucleic acids systems. Annu. Rev. Phys. Chem. 1983, 34, 329–357. [Google Scholar] [CrossRef]
- Leng, M.; Pochon, F.; Michelson, M. Photochemistry of polynucleotides.2. Mononucleotide and dinucleotide fluorescence at ordinary temperatures. Biochim. Biophys. Acta 1968, 169, 338–349. [Google Scholar] [CrossRef]
- Ward, D.C.; Reich, E.; Stryer, L. Fluorescence studies of nucleotides and polynucleotides. 1. Formycin, 2-aminopurine riboside, 2,6-diaminopurine riboside and their derivatives. J. Biol. Chem. 1969, 244, 1228–1237. [Google Scholar] [CrossRef]
- Jones, A.C.; Neely, R.K. 2-aminopurine as a fluorescent probe of DNA conformation and the DNA–enzyme interface. Q. Rev. Biophys. 2015, 48, 244–279. [Google Scholar] [CrossRef] [PubMed]
- Kirk, S.R.; Luedtke, N.W.; Tor, Y. 2-Aminopurine as a real-time probe of enzymatic cleavage and inhibition of hammerhead ribozymes. Bioorg. Med. Chem. 2001, 9, 2295–2301. [Google Scholar] [CrossRef]
- Herdewijn, P. (Ed.) Modified Nucleosides in Biochemistry, Biotechnology and Medicine; Wiley-VCH: New York, NY, USA, 2008. [Google Scholar]
- Sinkeldam, R.W.; Greco, N.J.; Tor, Y. Fluorescent analogs of biomolecular building blocks: Design, properties and applications. Chem. Rev. 2010, 110, 2579–2619. [Google Scholar] [CrossRef]
- Okamoto, A.; Saito, Y.; Saito, I. Design of base-discriminating fluorescent nucleosides. J. Photochem. Photobiol. C 2005, 6, 108–122. [Google Scholar] [CrossRef]
- Tor, Y. Isomorphic Fluorescent Nucleosides. Acc. Chem. Res. 2024, 57, 1325–1335. [Google Scholar] [CrossRef] [PubMed]
- Ludford, P.; Yang, S.; Bucardo, M.S.; Tor, Y. A new variant of emissive RNA alphabets. Chem. Eur. J. 2022, 28, e202104472. [Google Scholar] [CrossRef]
- Dziuba, D.; Didier, P.; Ciaco, S.; Barth, A.; Seidel, C.A.M.; Mély, Y. Fundamental photophysics of isomorphic and expanded fluorescent nucleoside analogues. Chem. Soc. Rev. 2021, 50, 7062–7107. [Google Scholar] [CrossRef] [PubMed]
- Mikhailopulo, A.I.; Miroshnikov, A.I. Biologically important nucleosides: Modern trends in biotechnology and application. Mendeleev Commun. 2011, 21, 57–68. [Google Scholar] [CrossRef]
- Cosgrove, S.C.; Miller, G.J. Advances in biocatalytic and chemoenzymatic synthesis of nucleoside analogues. Expert Opin. Drug Discov. 2022, 17, 355–364. [Google Scholar] [CrossRef]
- Hopkins, P.A.; Sinkeldam, R.W.; Tor, Y. Visibly emissive and responsive extended 6-aza-uridines. Org. Lett. 2014, 16, 5290–5293. [Google Scholar] [CrossRef]
- Ardhapure, A.V.; Gayakhe, V.; Bhilare, S.; Kapdi, A.R.; Bag, S.S.; Sanghvi, Y.S.; Gunturu, K.C. Extended fluorescent uridine analogues: Synthesis, photophysical properties and selective interaction with BSA protein. New J. Chem. 2020, 44, 14744–14754. [Google Scholar] [CrossRef]
- Greco, N.J.; Tor, Y. Simple fluorescent pyrimidine analogs detect the presence of DNA abasic sites. J. Am. Chem. Soc. 2005, 127, 10784–10785. [Google Scholar] [CrossRef] [PubMed]
- Bzowska, A.; Kulikowska, E.; Shugar, D. Purine nucleoside phosphorylases: Properties, functions, and clinical aspects. Pharmacol. Therap. 2000, 88, 349–425. [Google Scholar] [CrossRef] [PubMed]
- Rodwell, V.W. Metabolism of purine and pyrimidine nucleotides. In Harper’s Illustrated Biochemistry, 30th ed.; McGraw & Hill: Columbus, OH, USA, 2008; pp. 347–358. [Google Scholar]
- Kohn, L.A.; Kohn, D.B. Gene Therapies for Primary Immune Deficiencies. Front. Immunol. 2021, 12, 648951. [Google Scholar] [CrossRef] [PubMed]
- Ardiani, A.; Johnson, A.J.; Ruan, H.M.; Sanchez-Bonilla, M.; Serve, K.; Black, M.E. Enzymes to die for: Exploiting nucleotide metabolizing enzymes for cancer gene therapy. Curr. Gene Therap. 2012, 12, 77–91. [Google Scholar] [CrossRef]
- Schramm, V.L. Enzymatic transition states and drug design. Chem. Revs. 2018, 118, 11194–11258. [Google Scholar] [CrossRef]
- Makita, S.; Maeshima, A.M.; Maruyama, D.; Izutsu, K.; Tobinai, K. Forodesine in the treatment of relapsed/refractory peripheral T-cell lymphoma: An evidence-based review. OncoTargets Ther. 2018, 11, 2287–2293. [Google Scholar] [CrossRef] [PubMed]
- Ho, M.C.; Shi, W.; Rinaldo-Matthis, A.; Tyler, P.C.; Evans, G.B.; Clinch, K.; Almo, S.C.; Schramm, V.L. Four generations of transition-state analogues for human purine nucleoside phosphorylase. Proc. Natl. Acad. Sci. USA 2010, 107, 4805–4812. [Google Scholar] [CrossRef]
- Mikhailopulo, I.A. Biotechnology of nucleic acid constituents—State of the art and perspectives. Curr. Org. Chem. 2007, 11, 317–335. [Google Scholar] [CrossRef]
- Kamel, S.; Yehia, H.; Neubauer, P.; Wagner, A. Enzymatic synthesis of nucleoside analogues by nucleoside phosphorylases. In Enzymatic and Chemical Synthesis of Nucleic Acid Derivatives; Fernandez-Lucas, J., Camarasa-Rius, M.J., Eds.; Wiley-VCH: New York, NY, USA, 2019; Chapter 1. [Google Scholar]
- Yehia, H.; Kamel, S.; Paulick, K.; Neubauer, P.; Wagner, A. Substrate spectra of nucleoside phosphorylases and their potential in the production of pharmaceutically active compounds. Curr. Pharm. Des. 2017, 23, 6913–6935. [Google Scholar] [CrossRef]
- Westarp, S.; Kaspar, F.; Neubauer, P.; Kurreck, A. Industrial potential of the enzymatic synthesis of nucleoside analogs: Existing challenges and perspectives. Curr. Opin. Biotech. 2022, 78, 102829. [Google Scholar] [CrossRef] [PubMed]
- Hennen, W.J.; Wong, C.-H. A new method for the enzymic synthesis of nucleosides using purine nucleoside phosphorylase. J. Org. Chem. 1989, 54, 4692–4695. [Google Scholar] [CrossRef]
- Krenitsky, T.A.; Koszalka, G.W.; Tuttle, J.V. Purine nucleoside synthesis: An efficient method employing nucleoside phosphorylases. Biochemistry 1981, 20, 3615–3621. [Google Scholar] [CrossRef]
- Stoeckler, J.D.; Poirot, A.F.; Smith, R.M.; Parks, R.E., Jr.; Ealick, S.E.; Takabayashi, K.; Erion, M.D. Purine-nucleoside phosphorylase. 3. Reversal of purine base specificity by site-directed mutagenesis. Biochemistry 1997, 36, 11749–11756. [Google Scholar] [CrossRef]
- Kamel, S.; Thiele, I.; Neubauer, P.; Wagner, A. Thermophilic nucleoside phosphorylases: Their properties, characteristics and applications. Biochim. Biophys. Acta-Proteins Proteom. 2020, 1868, 140304. [Google Scholar] [CrossRef]
- Zhou, X.R.; Mikhailopulo, I.A.; Bournazou, M.N.C.; Neubauer, P. Immobilization of thermostable nucleoside phosphorylases on MagReSyn® epoxide microspheres and their application for the synthesis of 2,6-dihalogenated purine nucleosides. J. Mol. Catal. B 2015, 115, 119–127. [Google Scholar] [CrossRef]
- Bzowska, A.; Kulikowska, E.; Poopeiko, N.E.; Shugar, D. Kinetics of phosphorolysis of 3-(β-D-ribofuranosyl)adenine and 3-(β-D-ribofuranosyl)hypoxanthine, non-conventional substrates of purine-nucleoside phosphorylase. Eur. J. Biochem. 1996, 239, 229–234. [Google Scholar] [CrossRef]
- Fernandez-Lucas, J. Multienzymatic synthesis of nucleic acid derivatives: A general perspective. Appl Microbiol Biotechnol 2015, 99, 4615–4627. [Google Scholar] [CrossRef]
- Del Arco, J.; Acosta, J.; Fernandez-Lucas, J. New trends in the biocatalytic production of nucleosidic active pharmaceutical ingredients using 2′-deoxyribosyl transferases. Biotechnol. Adv. 2021, 51, 107701. [Google Scholar] [CrossRef] [PubMed]
- Del Arco, J.; Fernandez-Lucas, J. Purine and pyrimidine phosphoribosyl transferases: A versatile tool for enzymatic synthesis of nucleoside-5′-mono phosphates. Curr. Pharm. Des. 2017, 23, 6898–6912. [Google Scholar] [CrossRef] [PubMed]
- Wierzchowski, J.; Stachelska-Wierzchowska, A.; Wielgus-Kutrowska, B.; Bzowska, A. 1,N6-ethenoadenine and other fluorescent nucleobase analogues as substrates for purine-nucleoside phosphorylases: Spectroscopic and kinetic studies. Curr. Pharmaceut. Des. 2017, 23, 6972–6990. [Google Scholar] [CrossRef] [PubMed]
- Wierzchowski, J.; Wielgus-Kutrowska, B.; Shugar, D. Fluorescence emission properties of 8-azapurines and their nucleosides, and application to the kinetics of the reverse synthetic reaction of PNP. Biochim. Biophys. Acta 1996, 1290, 9–17. [Google Scholar] [CrossRef]
- Albert, A. Chemistry of 8-azapurines. Adv. Heterocycl. Chem 1986, 39, 117–178. [Google Scholar] [CrossRef]
- Giorgi, I.; Scartoni, V. 8-Azapurine nucleus: A versatile scaffold for different targets. Mini-Rev. Med. Chem. 2009, 9, 1367–1378. [Google Scholar] [CrossRef] [PubMed]
- Wierzchowski, J.; Antosiewicz, J.M.; Shugar, D. 8-Azapurines as isosteric purine fluorescent probes for nucleic acid and enzymatic research. Mol. BioSystems 2014, 10, 2756–2774. [Google Scholar] [CrossRef]
- Seela, F.; Jawalekar, A.M.; Münster, I. Replacement of canonical DNA nucleobases by benzotriazole and 1,2,3-Triazolo[4,5-d]pyrimidine: Synthesis, fluorescence, and ambiguous base pairing. Helv. Chim. Acta 2005, 88, 751–765. [Google Scholar] [CrossRef]
- Cottrell, J.W.; Scott, L.G.; Fedor, M.J. The pH dependence of hairpin ribozyme catalysis reflects ionization of an active site adenine. J. Biol. Chem. 2011, 286, 17658–17664. [Google Scholar] [CrossRef]
- Viladoms, J.; Scott, L.G.; Fedor, M.J. An active-site guanine participates in glms ribozyme catalysis in its protonated state. J. Amer. Chem. Soc. 2011, 133, 18388–18396. [Google Scholar] [CrossRef][Green Version]
- Wierzchowski, J.; Smyk, B. Excited-state proton transfer in 8-azapurines I: A kinetic analysis of 8-azaxanthine fluorescence. Molecules 2020, 25, 2740. [Google Scholar] [CrossRef] [PubMed]
- Dandanell, G.; Szczepanowski, R.H.; Kierdaszuk, B.; Shugar, D.; Bochtler, M. Escherichia coli purine nucleoside phosphorylase II, the product of the xapA gene. J. Mol. Biol. 2005, 348, 113–125. [Google Scholar] [CrossRef] [PubMed]
- Albertini, R.J. HPRT mutations in humans: Biomarkers for mechanistic studies. Mutat. Res. 2001, 489, 1–16. [Google Scholar] [CrossRef] [PubMed]
- Stachelska-Wierzchowska, A.; Wierzchowski, J.; Wielgus-Kutrowska, B.; Mikleusevic, G. Enzymatic synthesis of highly fluorescent 8-azapurine ribosides using a purine nucleoside phosphorylase reverse reaction: Variable ribosylation sites. Molecules 2013, 18, 12587–12598. [Google Scholar] [CrossRef] [PubMed]
- Stachelska-Wierzchowska, A.; Wierzchowski, J.; Bzowska, A.; Wielgus-Kutrowska, B. Site-selective ribosylation of fluorescent nucleobase analogs using purine-nucleoside phosphorylase as a catalyst: Effects of point mutations. Molecules 2016, 21, 44. [Google Scholar] [CrossRef] [PubMed]
- Wierzchowski, J.; Stępniak, K.; Bzowska, A.; Shugar, D. Spectroscopic and kinetic studies of interactions of calf spleen purine nucleoside phosphorylase with 8-azaguanine and its 9-(2-phosphonylmethoxyethyl) derivative. Nucleosides Nucleotides Nucl. Acids 2005, 24, 459–464. [Google Scholar] [CrossRef] [PubMed]
- Holy, A.; Dvorakova, H.; Jindrich, J.; Masojidkova, M.; Budesinsky, M.; Balzarini, J.; Andrei, G.; DeClercq, E. Acyclic nucleotide analogs derived from 8-azapurines: Synthesis and antiviral activity. J. Med. Chem. 1996, 39, 4073–4088. [Google Scholar] [CrossRef]
- Stepchenko, V.A.; Seela, F.; Esipov, R.S.; Miroshnikov, A.I.; Sokolov, Y.A.; Mikhailopulo, I.A. Enzymatic synthesis of 2′-deoxy-β-D-ribonucleosides of 8-azapurines and 8-aza-7-deazapurines. Synlett 2012, 10, 1541–1545. [Google Scholar] [CrossRef]
- Seela, F.; Jiang, D.W.; Xu, K.Y. 8-Aza-2′-deoxyguanosine: Base pairing, mismatch discrimination and nucleobase anion fluorescence sensing in single-stranded and duplex DNA. Org. Biomol. Chem. 2009, 7, 3463–3473. [Google Scholar] [CrossRef] [PubMed]
- Stachelska-Wierzchowska, A.; Wierzchowski, J. Non-typical nucleoside analogs as fluorescent and fluorogenic indicators of purine-nucleoside phosphorylase activity in biological samples. Anal. Chim. Acta 2020, 1139, 119–128. [Google Scholar] [CrossRef]
- Pyrka, M.; Maciejczyk, M. Why purine nucleoside phosphorylase ribosylates 2,6-diamino-8-azapurine in noncanonical positions? A molecular modeling study. J. Chem. Inf. Model. 2020, 60, 1595–1606. [Google Scholar] [CrossRef] [PubMed]
- Kaspar, F.; Giessmann, R.T.; Neubauer, P.; Wagner, A. Thermodynamic reaction control of nucleoside phosphorolysis. Adv. Synth. Catal. 2020, 362, 867–876. [Google Scholar] [CrossRef]
- De Clercq, E.; Holy, A. Acyclic nucleoside phosphonates: A key class of antiviral drugs. Nat. Revs Drug Disc. 2005, 4, 928–940. [Google Scholar] [CrossRef] [PubMed]
- Jiang, D.W.; Seela, F. Oligonucleotide duplexes and multistrand assemblies with 8-aza-2′-deoxyisoguanosine: A fluorescent isoGd shape mimic expanding the genetic alphabet and forming ionophores. J. Amer. Chem. Soc. 2010, 132, 4016–4024. [Google Scholar] [CrossRef] [PubMed]
- Zhao, H.; Jiang, D.W.; Schäfer, A.H.; Seela, F. 8-Aza-2′-deoxyisoguanosine forms fluorescent hydrogels whereas 8-Aza-2′-deoxyguanosine assembles into nucleoside nanotubes. ChemPlusChem 2017, 82, 778–784. [Google Scholar] [CrossRef] [PubMed]
- Emmerson, B.T. Drug therapy—The management of gout. N. Engl. J. Med. 1996, 334, 445–451. [Google Scholar] [CrossRef] [PubMed]
- Fateev, I.V.; Kharitonova, M.I.; Antonov, K.V.; Konstantinova, I.D.; Stepanenko, V.N.; Esipov, R.S.; Seela, F.; Temburnikar, K.W.; Seley-Radtke, K.L.; Stepchenko, V.A.; et al. Recognition of artificial nucleobases by E. coli purine nucleoside phosphorylase versus its Ser90Ala mutant in the synthesis of base-modified nucleosides. Chem. Eur. J. 2015, 21, 13401–13419. [Google Scholar] [CrossRef] [PubMed]
- Kondhare, D.; Leonard, P.; Seela, F. Isoguanine (2-hydroxyadenine) and 2-aminoadenine nucleosides with an 8-Aza-7-deazapurine skeleton: Synthesis, functionalization with fluorescent and clickable side chains, and impact of 7-substituents on physical properties. J. Org. Chem. 2021, 86, 14461–14475. [Google Scholar] [CrossRef] [PubMed]
- De Clercq, E. C-nucleosides to be revisited. J. Med. Chem. 2016, 59, 2301–2311. [Google Scholar] [CrossRef]
- Karlish, S.J.D.; Yates, D.W.; Glynn, I.M. Conformational transitions between Na+-bound and K+-bound forms of (Na+ + K+)-ATPase, studied with formycin nucleotides. Biochim. Biophys. Acta 1978, 525, 252–264. [Google Scholar] [CrossRef]
- Karlish, S.J.D. Use of formycin nucleotides, intrinsic protein fluorescence, and fluorescein isothiocyanate-labeled enzymes for measurement of conformational states of Na+, K+-ATPase. Methods Enzymol. 1988, 156, 271–277. [Google Scholar] [CrossRef] [PubMed]
- Wlodarczyk, J.; Galitonov, G.S.; Kierdaszuk, B. Identification of the tautomeric form of formycin A in its complex with Escherichia coli purine nucleoside phosphorylase based on the effect of enzyme-ligand binding on fluorescence and phosphorescence. Europ. Biophys. J. Biophys. Lett. 2004, 33, 377–385. [Google Scholar] [CrossRef] [PubMed]
- Prokopowicz, M.; Gren, B.; Ciesla, J.; Kierdaszuk, B. Towards understanding the E. coli PNP binding mechanism and FRET absence between E. coli PNP and formycin A. Biophys. Chem. 2017, 230, 99–108. [Google Scholar] [CrossRef] [PubMed]
- Konstantinova, I.D.; Selezneva, O.M.; Fateev, I.V.; Balashova, T.A.; Kotovskaya, S.K.; Baskakova, Z.M.; Charushin, V.N.; Baranovsky, A.V.; Miroshnikov, A.I.; Balzarini, J.; et al. Chemo-enzymatic synthesis and biological evaluation of 5,6-disubstituted benzimidazole ribo- and 2′-deoxyribonucleosides. Synthesis 2013, 45, 272–280. [Google Scholar] [CrossRef]
- Kharitonova, M.I.; Fateev, I.V.; Kayushin, A.L.; Konstantinova, I.D.; Kotovskaya, S.K.; Andronova, V.L.; Galegov, G.A.; Charushin, V.N.; Miroshnikov, A.I. Chemoenzymatic synthesis and antiherpes activity of 5-Substituted 4,6-difluorobenzimidazoles ribo- and 2′-deoxyribonucleosides. Synthesis 2016, 48, 394–406. [Google Scholar] [CrossRef]
- Leonard, N.J. Etheno-substituted nucleotides and coenzymes: Fluorescence and biological activity. Crit. Revs. Biochem. 1984, 15, 125–199. [Google Scholar] [CrossRef] [PubMed]
- Leonard, N.J. Adenylates: Bound and unbound. Biopolymers 1985, 24, 9–28. [Google Scholar] [CrossRef] [PubMed]
- Secrist, J.A.; Barrio, J.R.; Leonard, N.J.; Weber, G. Fluorescent modifications of adenosine containing coenzymes. Biological activities and spectroscopic properties. Biochemistry 1972, 11, 3499–3506. [Google Scholar] [CrossRef] [PubMed]
- Jahnz-Wechmann, Z.; Framski, G.R.; Januszczyk, P.A.; Boryski, J. Bioactive fused heterocycles: Nucleoside analogs with an additional ring. Eur. J. Med. Chem. 2015, 97, 388–396. [Google Scholar] [CrossRef]
- Jahnz-Wechmann, Z.; Framski, G.R.; Januszczyk, P.A.; Boryski, J. Base-modified nucleosides: Etheno derivatives. Front. Chem. 2016, 4, 19–29. [Google Scholar] [CrossRef]
- Stachelska-Wierzchowska, A.; Wierzchowski, J.; Bzowska, A.; Wielgus-Kutrowska, B. Tricyclic nitrogen base, 1,N6-ethenoadenine, and its ribosides, as substrates for purine-nucleoside phosphorylases: Spectroscopic and kinetic studies. Nucleos. Nucleot. Nucleic Acids 2018, 37, 89–101. [Google Scholar] [CrossRef] [PubMed]
- Kuśmierek, J.T.; Jensen, D.E.; Spengler, S.J.; Stolarski, R.; Singer, B. Synthesis and properties of N2,3-ethenoguanosine and N2,3-erthenoguanosine 5′diphosphate. J. Org. Chem. 1987, 52, 2374–2378. [Google Scholar] [CrossRef]
- Boryski, J. 1,N2-ethenoguanosine—3 methods of synthesis. Nucl. Nucleot. 1990, 9, 803–813. [Google Scholar] [CrossRef]
- Stachelska-Wierzchowska, A.; Wierzchowski, J.; Górka, M.; Bzowska, A.; Wielgus-Kutrowska, B. Tricyclic nucleobase analogs and their ribosides as substrates of purine-nucleoside phosphorylases. II. Guanine and isoguanine derivatives. Molecules 2019, 24, 1493. [Google Scholar] [CrossRef] [PubMed]
- Virta, P.; Holmstrom, T.; Roslund, M.U.; Mattjus, P.; Kronberg, L.; Sjoholm, R. New nucleoside analogs from 2-amino-9-(β-d-ribofuranosyl)-purine. Org. Biomol. Chem. 2004, 2, 821–827. [Google Scholar] [CrossRef]
- Stachelska-Wierzchowska, A.; Wierzchowski, J.; Górka, M.; Bzowska, A.; Stolarski, R.; Wielgus-Kutrowska, B. Tricyclic nucleobase analogs and their ribosides as substrates and inhibitors of purine-nucleoside phosphorylases III. Aminopurine derivatives. Molecules 2020, 25, 681. [Google Scholar] [CrossRef] [PubMed]
- Von Sonntag, C.; Schuchmann, H.P. Radical-mediated damege of DNA in the presence of oxygen. Methods. Enzymol. 1990, 186, 511–520. [Google Scholar] [CrossRef] [PubMed]
- Hořejsí, K.; Pohl, R.; Holy, A. Tricyclic purine analogs derived from 2-amino-6-chloropurine and 2,6-diaminopurine and their methylated quaternary salts. Coll. Czechosl. Chem. Commun. 2006, 71, 77–90. [Google Scholar] [CrossRef]
- Tsou, K.C.; Yip, K.-F.; Miller, E.E.; Lo, K.W. Synthesis of l,N6-etheno-2-aza-adenosine (2-aza-ε-adenosine): A new cytotoxic fluorescent nucleoside. Nucleic Acid Res. 1974, 1, 518–538. [Google Scholar] [CrossRef]
- Budow, S.; Seela, F. 2-Azapurine nucleosides: Synthesis, properties, and base pairing of oligonucleotides. Chem. Biodivers. 2010, 7, 2145–2190. [Google Scholar] [CrossRef]
- Westarp, S.; Brandt, F.; Neumair, L.; Betz, C.; Dagane, A.; Kemper, S.; Jacob, C.R.; Neubauer, P.; Kurreck, A.; Kaspar, F. Nucleoside phosphorylases make N7-xanthosine. Nat. Commun. 2024, 15, 3625. [Google Scholar] [CrossRef] [PubMed]
- Narczyk, M.; Mioduszewski, Ł.; Oksiejuk, A.; Winiewska-Szajewska, M.; Wielgus-Kutrowska, B.; Gojdz, A.; Cieśla, J.; Bzowska, A. Single tryptophan Y160W mutant of homooligomeric E. coli purine nucleoside phosphorylase implies that dimers forming the hexamer are functionally not equivalent. Sci. Rep. 2021, 11, 11144. [Google Scholar] [CrossRef] [PubMed]
- Liu, G.; Wang, J.; Chu, J.; Jiang, T.; Qin, S.; Gao, Z.; He, B. Engineering substrate promiscuity of nucleoside phosphorylase via an insertions-deletions Strategy. JACS AU 2024, 4, 454–464. [Google Scholar] [CrossRef] [PubMed]
- Huffman, M.A.; Fryszkowska, A.; Alvizo, O.; Borra-Garska, M.; Campos, K.R.; Canada, K.A.; Devine, P.N.; Duan, D.; Forstater, J.H.; Grosser, S.T.; et al. Design of an in vitro biocatalytic cascade for the manufacture of islatravir. Science 2019, 366, 1255–1259. [Google Scholar] [CrossRef] [PubMed]
- McIntosh, J.A.; Benkovics, T.; Silverman, S.M.; Huffman, M.A.; Kong, J.; Maligres, P.E.; Itoh, T.; Yang, H.; Verma, D.; Pan, W.; et al. Engineered ribosyl-1-kinase enables concise synthesis of Molnupiravir, an antiviral for COVID-19. ACS Cent. Sci. 2021, 7, 1980–1985. [Google Scholar] [CrossRef] [PubMed]
- Lovelock, S.L.; Crawshaw, R.; Basler, S.; Levy, C.; Baker, D.; Hilvert, D.; Green, A.P. The road to fully programmable protein catalysis. Nature 2022, 606, 49–58. [Google Scholar] [CrossRef] [PubMed]
- Nyhan, W.L. Lesch-Nyhan disease and related disorders of purine metabolism. TZU CHI Med. J. 2007, 19, 105–108. [Google Scholar] [CrossRef]
- De Bruyn, C.H.M.M. Hypoxanthine-guanine phosphoribosyl transferase deficiency. Hum. Genet. 1976, 31, 127–150. [Google Scholar] [CrossRef]
- Leow, E.H.; Chong, S.L.; Tan, E.S.; Koh, A.L.; Cham, B.W.M.; Yap, C.J.Y.; Ng, Y.H. Adenine phosphoribosyl transferase (APRT) deficiency and a novel sequence variant in APRT with phenotypic diversity and a literature review. Nephrology 2023, 28, 649–654. [Google Scholar] [CrossRef]
Disclaimer/Publisher’s Note: The statements, opinions and data contained in all publications are solely those of the individual author(s) and contributor(s) and not of MDPI and/or the editor(s). MDPI and/or the editor(s) disclaim responsibility for any injury to people or property resulting from any ideas, methods, instructions or products referred to in the content. |
© 2024 by the authors. Licensee MDPI, Basel, Switzerland. This article is an open access article distributed under the terms and conditions of the Creative Commons Attribution (CC BY) license (https://creativecommons.org/licenses/by/4.0/).


