Bifidobacterium bifidum SAM-VI Riboswitch Conformation Change Requires Peripheral Helix Formation
Abstract
1. Introduction
2. Results
2.1. Design of the SAM-VI Riboswitch and Its Variant Constructs for Structural Studies
2.2. SHAPE Analysis of SAM-Induced Conformational Dynamics in the SAM-VI Riboswitch
2.3. SAXS Reveals SAM-Induced Conformational Changes of the SAM-VI Riboswitch
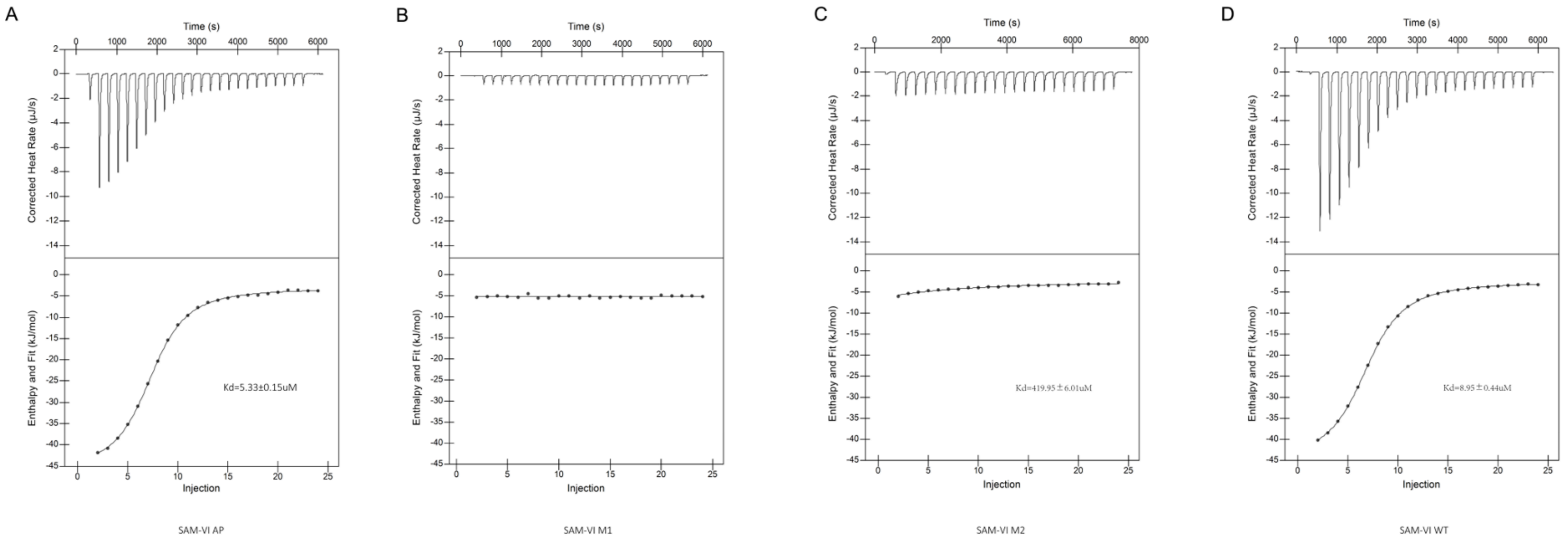
2.4. Calorimetric Analysis of Ligand Binding by the SAM-VI Riboswitch
3. Discussion
4. Materials and Methods
4.1. RNA Preparation
4.2. SHAPE Probing Analysis
4.3. Prediction of the Three-Dimensional Structure of the SAM-VI Riboswitch and Variants
4.4. Small-Angle X-ray Scattering Experiments and Data Analysis
4.5. Isothermal Titration Calorimetry
Author Contributions
Funding
Institutional Review Board Statement
Informed Consent Statement
Data Availability Statement
Acknowledgments
Conflicts of Interest
References
- Thore, S.; Leibundgut, M.; Ban, N. Structure of the Eukaryotic Thiamine Pyrophosphate Riboswitch with Its Regulatory Ligand. Science 2006, 312, 1208–1211. [Google Scholar] [CrossRef] [PubMed]
- Sudarsan, N.; Barrick, J.; Breaker, R. Metabolite-binding RNA domains are present in the genes of eukaryotes. RNA 2003, 9, 644–647. [Google Scholar] [CrossRef] [PubMed]
- Mironov, A.; Gusarov, I.; Rafikov, R.; Lopez, L.E.; Shatalin, K.; Kreneva, R.A.; Perumov, D.A.; Nudler, E. Sensing Small Molecules by Nascent RNA: A Mechanism to Control Transcription in Bacteria. Cell 2002, 111, 747–756. [Google Scholar] [CrossRef]
- Winkler, W.; Nahvi, A.; Breaker, R. Thiamine derivatives bind messenger RNAs directly to regulate bacterial gene expression. Nature 2002, 419, 952–956. [Google Scholar] [CrossRef] [PubMed]
- Nahvi, A.; Sudarsan, N.; Ebert, M.; Zou, X.; Brown, K.L.; Breaker, R.R. Genetic Control by a Metabolite Binding mRNA. Chem. Biol. 2002, 9, 1043. [Google Scholar] [CrossRef] [PubMed]
- Corbino, K.A.; Barrick, J.E.; Lim, J.; Welz, R.; Tucker, B.J.; Puskarz, I.; Mandal, M.; Rudnick, N.D. Evidence for a second class of S-adenosylmethionine riboswitches and other regulatory RNA motifs in alpha-proteobacteria. Genome Biol. 2005, 6, R70. [Google Scholar] [CrossRef]
- Fuchs, R.T.; Grundy, F.J.; Henkin, T.M. The SMK box is a new SAM-binding RNA for translational regulation of SAM synthetase. Nat. Struct. Mol. Biol. 2006, 13, 226–233. [Google Scholar] [CrossRef]
- Winkler, W.C.; Nahvi, A.; Sudarsan, N.; Barrick, J.E.; Breaker, R.R. An mRNA structure that controls gene expression by binding S-adenosylmethionine. Nat. Struct. Biol. 2003, 10, 701–707. [Google Scholar] [CrossRef]
- Yao, Z.; Barrick, J.; Weinberg, Z.; Neph, S.; Breaker, R.; Tompa, M.; Ruzzo, W.L. A computational pipeline for high-throughput discovery of cis-regulatory noncoding RNA in prokaryotes. PLoS Comput. Biol. 2007, 3, 1212–1223. [Google Scholar] [CrossRef]
- Poiata, E.; Meyer, M.M.; Ames, T.D.; Breaker, R.R. A variant riboswitch aptamer class for S-adenosylmethionine common in marine bacteria. RNA 2009, 15, 2046–2056. [Google Scholar] [CrossRef]
- Arachchilage, G.M.; Sherlock, M.E.; Weinberg, Z.; Breaker, R.R. SAM-VI RNAs selectively bind S-adenosylmethionine and exhibit similarities to SAM-III riboswitches. RNA Biol. 2018, 15, 369–376. [Google Scholar] [CrossRef] [PubMed]
- Weinberg, Z.; Wang, J.X.; Bogue, J.; Yang, J.; Corbino, K.; Moy, R.H.; Breaker, R.R. Comparative genomics reveals 104 candidate structured RNAs from bacteria, archaea, and their metagenomes. Genome Biol. 2010, 11, R31. [Google Scholar] [CrossRef] [PubMed]
- Weinberg, Z.; Barrick, J.E.; Yao, Z.; Roth, A.; Kim, J.N.; Gore, J.; Wang, J.X.; Lee, E.R.; Block, K.F.; Sudarsan, N.; et al. Identification of 22 candidate structured RNAs in bacteria using the CMfinder comparative genomics pipeline. Nucleic Acids Res. 2007, 35, 4809–4819. [Google Scholar] [CrossRef] [PubMed]
- Winkler, W.; Cohen-Chalamish, S.; Breaker, R. An mRNA structure that controls gene expression by binding FMN. Proc. Natl. Acad. Sci. USA 2003, 99, 15908–15913. [Google Scholar] [CrossRef]
- Gilbert, S.; Stoddard, C.; Wise, S.; Batey, R. Thermodynamic and Kinetic Characterization of Ligand Binding to the Purine Riboswitch Aptamer Domain. J. Mol. Biol. 2006, 359, 754–768. [Google Scholar] [CrossRef]
- Lemay, J.-F.; Lafontaine, D. The adenine riboswitch: A new gene regulation mechanism. Méd. Sci. 2007, 22, 1053–1059. [Google Scholar] [CrossRef]
- Lee, E.; Baker, J.; Weinberg, Z.; Sudarsan, N.; Breaker, R. An Allosteric Self-Splicing Ribozyme Triggered by a Bacterial Second Messenger. Science 2010, 329, 845–848. [Google Scholar] [CrossRef]
- Sudarsan, N.; Lee, E.R.; Weinberg, Z.; Moy, R.H.; Kim, J.N.; Link, K.H.; Breaker, R.R. Riboswitches in Eubacteria Sense the Second Messenger Cyclic Di-GMP. Science 2008, 321, 411–413. [Google Scholar] [CrossRef]
- Nelson, J.; Sudarsan, N.; Phillips, G.; Stav, S.; Lünse, C.; McCown, P.; Breaker, R. Control of bacterial exoelectrogenesis by c-AMP-GMP. Proc. Natl. Acad. Sci. USA 2015, 112, 5389–5394. [Google Scholar] [CrossRef]
- Kellenberger, C.; Wilson, S.; Hickey, S.; Gonzalez, T.; Su, Y.; Hallberg, Z.; Brewer, T.; Iavarone, A.; Carlson, H.; Hsieh, Y.-F.; et al. GEMM-I riboswitches from Geobacter sense the bacterial second messenger cyclic AMP-GMP. Proc. Natl. Acad. Sci. USA 2015, 112, 5383–5388. [Google Scholar] [CrossRef]
- Kim, P.; Nelson, J.; Breaker, R. An Ancient Riboswitch Class in Bacteria Regulates Purine Biosynthesis and One-Carbon Metabolism. Mol. Cell 2015, 57, 317–328. [Google Scholar] [CrossRef] [PubMed]
- Dann, C.; Wakeman, C.; Sieling, C.; Baker, S.; Irnov, I.; Winkler, W. Structure and Mechanism of a Metal-Sensing Regulatory RNA. Cell 2007, 130, 878–892. [Google Scholar] [CrossRef] [PubMed]
- Barrick, J.; Corbino, K.; Winkler, W.; Nahvi, A.; Mandal, M.; Collins, J.; Lee, M.; Roth, A.; Sudarsan, N.; Jona, I.; et al. New RNA motifs suggest an expanded scope for riboswitches in bacterial genetic control. Proc. Natl. Acad. Sci. USA 2004, 101, 6421–6426. [Google Scholar] [CrossRef] [PubMed]
- Waters, L.; Sandoval, M.; Storz, G. The Escherichia coli MntR Miniregulon Includes Genes Encoding a Small Protein and an Efflux Pump Required for Manganese Homeostasis. J. Bacteriol. 2011, 193, 5887–5897. [Google Scholar] [CrossRef] [PubMed]
- Grundy, F.; Lehman, S.; Henkin, T. The L box regulon: Lysine sensing by leader RNAs of bacterial lysine biosynthesis genes. Proc. Natl. Acad. Sci. USA 2003, 100, 12057–12062. [Google Scholar] [CrossRef] [PubMed]
- Sudarsan, N.; Wickiser, J.K.; Nakamura, S.; Ebert, M.S.; Breaker, R.R. An mRNA structure in bacteria that controls gene expression by binding lysine. Genes Dev. 2003, 17, 2688–2697. [Google Scholar] [CrossRef]
- Mandal, M.; Lee, M.; Barrick, J.E.; Weinberg, Z.; Emilsson, G.M.; Ruzzo, W.L.; Breaker, R.R. A Glycine-Dependent Riboswitch That Uses Cooperative Binding to Control Gene Expression. Science 2004, 306, 275–279. [Google Scholar] [CrossRef] [PubMed]
- Ames, T.; Breaker, R. Bacterial aptamers that selectively bind glutamine. RNA Biol. 2011, 8, 82–89. [Google Scholar] [CrossRef]
- Salvail, H.; Breaker, R.R. Riboswitches. Curr. Biol. 2023, 33, R343–R348. [Google Scholar] [CrossRef]
- Welz, R.; Breaker, R.R. Ligand binding and gene control characteristics of tandem riboswitches in Bacillus anthracis. RNA 2007, 13, 573–582. [Google Scholar] [CrossRef]
- Luense, C.E.; Schmidt, M.S.; Wittmann, V.; Mayer, G. Carba-sugars Activate the glmS-Riboswitch of Staphylococcus aureus. ACS Chem. Biol. 2011, 6, 675–678. [Google Scholar] [CrossRef] [PubMed]
- Khani, A.; Popp, N.; Kreikemeyer, B.; Patenge, N. A Glycine Riboswitch in Streptococcus pyogenes Controls Expression of a Sodium:Alanine Symporter Family Protein Gene. Front. Microbiol. 2018, 9, 200. [Google Scholar] [CrossRef] [PubMed]
- Martin, J.E.; Le, M.T.; Bhattarai, N.; Capdevila, D.A.; Shen, J.; Winkler, M.E.; Giedroc, D.P. A Mn-sensing riboswitch activates expression of a Mn2+/Ca2+ ATPase transporter in Streptococcus. Nucleic Acids Res. 2019, 47, 6885–6899. [Google Scholar] [CrossRef] [PubMed]
- Zhou, L.; Ren, J.; Li, Z.; Nie, J.; Wang, C.; Zeng, A.-P. Characterization and Engineering of a Clostridium Glycine Riboswitch and Its Use To Control a Novel Metabolic Pathway for 5-Aminolevulinic Acid Production in Escherichia coli. ACS Synth. Biol. 2019, 8, 2327–2335. [Google Scholar] [CrossRef] [PubMed]
- Stormo, G.; Ji, Y.M. Do mRNAs act as direct sensors of small molecules to control their expression? Proc. Natl. Acad. Sci. USA 2001, 98, 9465–9467. [Google Scholar] [CrossRef] [PubMed]
- Roth, A.; Breaker, R.R. The Structural and Functional Diversity of Metabolite-Binding Riboswitches. Annu. Rev. Biochem. 2009, 78, 305–334. [Google Scholar] [CrossRef]
- Serganov, A.; Patel, D.J. Metabolite Recognition Principles and Molecular Mechanisms Underlying Riboswitch Function. Annu. Rev. Biophys. 2012, 41, 343–370. [Google Scholar] [CrossRef] [PubMed]
- Garst, A.; Halweg-Edwards, A.; Batey, R. Riboswitches: Structures and Mechanisms. Cold Spring Harb. Perspect. Biol. 2010, 3, a003533. [Google Scholar] [CrossRef]
- Aboul-ela, F.; Huang, W.; Abd Elrahman, M.; Boyapati, V.; Li, P. Linking aptamer-ligand binding and expression platform folding in riboswitches: Prospects for mechanistic modeling and design. Wiley Interdiscip. Rev. RNA 2015, 6, 631–650. [Google Scholar] [CrossRef]
- Lu, C.; Smith, A.M.; Ding, F.; Chowdhury, A.; Henkin, T.M.; Ke, A. Variable Sequences outside the Sam-Binding Core Critically Influence the Conformational Dynamics of the SAM-III/SMK Box Riboswitch. J. Mol. Biol. 2011, 409, 786–799. [Google Scholar] [CrossRef]
- Fontecave, M.; Atta, M.; Mulliez, E. S-Adenosylmethionine: Nothing goes to waste. Trends Biochem. Sci. 2004, 29, 243–249. [Google Scholar] [CrossRef] [PubMed]
- Struck, A.-W.; Thompson, M.; Wong, L.; Micklefield, J. ChemInform Abstract: S-Adenosyl-Methionine-Dependent Methyltransferases: Highly Versatile Enzymes in Biocatalysis, Biosynthesis and Other Biotechnological Applications. ChemBioChem Eur. J. Chem. Biol. 2012, 13, 2642–2655. [Google Scholar] [CrossRef] [PubMed]
- Weickhmann, A.K.; Keller, H.; Wurm, J.P.; Strebitzer, E.; Juen, M.A.; Kremser, J.; Weinberg, Z.; Kreutz, C.; Duchardt-Ferner, E.; Wöhnert, J. The structure of the SAM/SAH-binding riboswitch. Nucleic Acids Res. 2018, 47, 2654–2665. [Google Scholar] [CrossRef] [PubMed]
- Sun, A.; Gasser, C.; Li, F.; Chen, H.; Mair, S.; Krasheninina, O.; Micura, R.; Ren, A. SAM-VI riboswitch structure and signature for ligand discrimination. Nat. Commun. 2019, 10, 5728. [Google Scholar] [CrossRef]
- Huang, L.; Lilley, D. Structure and ligand binding of the SAM-V riboswitch. Nucleic Acids Res. 2018, 46, 6869–6879. [Google Scholar] [CrossRef] [PubMed]
- Zhang, K.; Li, S.; Kappel, K.; Pintilie, G.; Su, Z.; Mou, T.-C.; Schmid, M.; Das, R.; Chiu, W. Cryo-EM structure of a 40 kDa SAM-IV riboswitch RNA at 3.7 Å resolution. Nat. Commun. 2019, 10, 5511. [Google Scholar] [CrossRef] [PubMed]
- Lu, C.; Smith, A.; Fuchs, R.; Ding, F.; Rajashankar, K.; Henkin, T.; Ke, A. Crystal structures of the SAM-III/S-MK riboswitch reveal the SAM-dependent translation inhibition mechanism. Nat. Struct. Mol. Biol. 2008, 15, 1076–1083. [Google Scholar] [CrossRef] [PubMed]
- Gilbert, S.D.; Rambo, R.P.; Tyne, D.V.; Batey, R.T. Structure of the SAM-II riboswitch bound to S-adenosylmethionine. Nat. Struct. Mol. Biol. 2008, 15, 177–182. [Google Scholar] [CrossRef]
- Montange, R.; Batey, R. Riboswitches: Emerging Themes in RNA Structure and Function. Annu. Rev. Biophys. 2008, 37, 117–133. [Google Scholar] [CrossRef]
- Montange, R.K.; Batey, R.T. Structure of the S-adenosylmethionine riboswitch regulatory mRNA element. Nature 2006, 441, 1172–1175. [Google Scholar] [CrossRef]
- Lu, C.; Ding, F.; Chowdhury, A.; Pradhan, V.; Tomsic, J.; Holmes, W.; Henkin, T.; Ke, A. SAM Recognition and Conformational Switching Mechanism in the Bacillus subtilis yitJ S Box/SAM-I Riboswitch. J. Mol. Biol. 2010, 404, 803–818. [Google Scholar] [CrossRef]
- Wu, L.; Liu, Z.; Liu, Y. Thermal Adaptation of Structural Dynamics and Regulatory Function of Adenine Riboswitch. RNA Biol. 2021, 18, 2007–2015. [Google Scholar] [CrossRef] [PubMed]
- Warnasooriya, C.; Ling, C.; Belashov, I.; Salim, M.; Wedekind, J.; Ermolenko, D. Observation of preQ 1-II riboswitch dynamics using single-molecule FRET. RNA Biol. 2018, 16, 1086–1092. [Google Scholar] [CrossRef]
- Schamber, T.; Binas, O.; Schlundt, A.; Wacker, n.F.A.; Schwalbe, H. Structure and Dynamics of the Guanidine-II Riboswitch from Escherichia coli by NMR Spectroscopy and Small-angle X-ray Scattering (SAXS). ChemBioChem 2021, 23, e202100564. [Google Scholar] [CrossRef] [PubMed]
- Zhang, J.; Jones, C.; Ferré-D’Amaré, A. Global analysis of riboswitches by small-angle X-ray scattering and calorimetry. Biochim. Biophys. Acta 2014, 1839, 1020–1029. [Google Scholar] [CrossRef] [PubMed][Green Version]
- Rieder, U.; Kreutz, C.; Micura, R. Folding of a transcriptionally acting PreQ(1) riboswitch. Proc. Natl. Acad. Sci. USA 2010, 107, 10804–10809. [Google Scholar] [CrossRef] [PubMed]
- Gong, Z.; Yang, S.; Dong, X.; Yang, Q.-F.; Zhu, Y.-L.; Xiao, Y.; Tang, C. Hierarchical Conformational Dynamics Confers Thermal Adaptability to preQ1 RNA Riboswitches. J. Mol. Biol. 2020, 432, 4523–4543. [Google Scholar] [CrossRef]
- Shirasawa, Y.; Shibahara-Sone, H.; Iino, T.; Ishikawa, F. Bifidobacterium bifidum BF-1 suppresses Helicobacter pylori-induced genes in human epithelial cells. J. Dairy Sci. 2010, 93, 4526–4534. [Google Scholar] [CrossRef] [PubMed]
- Chenoll, E.; Casinos, B.; Bataller, E.; Astals, P.; Echevarría, J.; Iglesias, J.R.; Balbarie, P.; Ramon, D.; Genovés Martínez, S. Novel Probiotic Bifidobacterium bifidum CECT 7366 Strain Active against the Pathogenic Bacterium Helicobacter pylori. Appl. Environ. Microbiol. 2011, 77, 1335–1343. [Google Scholar] [CrossRef]
- Khailova, L.; Patrick, S.; Arganbright, K.; Halpern, M.; Kinouchi, T.; Dvorak, B. Bifidobacterium bifidum reduces apoptosis in the intestinal epithelium in necrotizing enterocolitis. Am. J. Physiol. Gastrointest. Liver Physiol. 2010, 299, G1118–G1127. [Google Scholar] [CrossRef]
- Fu, Y.-R.; Yi, Z.-J.; Pei, J.-l.; Guan, S. Effects of Bifidobacterium bifidum on adaptive immune senescence in aging mice. Microbiol. Immunol. 2010, 54, 578–583. [Google Scholar] [CrossRef] [PubMed]
- Philippe, D.; Heupel, E.; Blum-Sperisen, S.; Riedel, C. Treatment with Bifidobacterium bifidum 17 partially protects mice from Th1-driven inflammation in a chemically induced model of colitis. Int. J. Food Microbiol. 2010, 149, 45–49. [Google Scholar] [CrossRef] [PubMed]
- Mouni, F.; Aissi, E.; Hernández, J.; Gorocica, P.; Bouquelet, S.; Zenteno, E.; Lascurain, R.; Garfias, Y. Effect of Bifidobacterium bifidum DSM 20082 Cytoplasmic Fraction on Human Immune Cells. Immunol. Investig. 2009, 38, 104–115. [Google Scholar] [CrossRef] [PubMed]
- Guglielmetti, S.; Mora, D.; Gschwender, M.; Popp, K. Randomised clinical trial: Bifidobacterium bifidum MIMBb75 significantly alleviates irritable bowel syndrome and improves quality of life—A double-BLIND, Placebo-Controlled Study. Aliment. Pharmacol. Ther. 2011, 33, 1123–1132. [Google Scholar] [CrossRef] [PubMed]
- Dunham, I.; Kundaje, A.; Aldred, S.F.; Collins, P.J.; Davis, C.; Doyle, F.; Epstein, C.B.; Frietze, S.; Harrow, J.; Kaul, R.; et al. An integrated encyclopedia of DNA elements in the human genome. Nature 2012, 489, 57–74. [Google Scholar] [CrossRef] [PubMed]
- Xue, Y.; Li, J.; Chen, D.; Zhao, X.; Hong, L.; Liu, Y. Observation of structural switch in nascent SAM-VI riboswitch during transcription at single-nucleotide and single-molecule resolution. Nat. Commun. 2023, 14, 2320. [Google Scholar] [CrossRef] [PubMed]
- Blouin, S.; Chinnappan, R.; Lafontaine, D. Folding of the lysine riboswitch: Importance of peripheral elements for transcriptional regulation. Nucleic Acids Res. 2010, 39, 3373–3387. [Google Scholar] [CrossRef]
- Stoddard, C.; Widmann, J.; Trausch, J.; Marcano-Velázquez, J.; Knight, R.; Batey, R. Nucleotides Adjacent to the Ligand-Binding Pocket are Linked to Activity Tuning in the Purine Riboswitch. J. Mol. Biol. 2013, 425, 1596–1611. [Google Scholar] [CrossRef]
- Buck, J.; Wacker, n.F.A.; Warkentin, E.; Wöhnert, J.; Wirmer, J.; Schwalbe, H. Influence of ground-state structure and Mg binding on folding kinetics of the guanine-sensing riboswitch aptamer domain. Nucleic Acids Res. 2011, 39, 9768–9778. [Google Scholar] [CrossRef]
- Wilkinson, K.A.; Merino, E.J.; Weeks, K.M. Selective 2′-hydroxyl acylation analyzed by primer extension (SHAPE): Quantitative RNA structure analysis at single nucleotide resolution. Nat. Protoc. 2006, 1, 1610–1616. [Google Scholar] [CrossRef]
- Mortimer, S.A.; Weeks, K.M. A Fast-Acting Reagent for Accurate Analysis of RNA Secondary and Tertiary Structure by SHAPE Chemistry. J. Am. Chem. Soc. 2007, 129, 4144–4145. [Google Scholar] [CrossRef] [PubMed]
- Zhang, M.; Liu, G.; Zhang, Y.; Chen, T.; Feng, S.; Cai, R.; Lu, C. The Second Class of Tetrahydrofolate (THF-II) Riboswitches Recognizes the Tetrahydrofolic Acid Ligand via Local Conformation Changes. Int. J. Mol. Sci. 2022, 23, 5903. [Google Scholar] [CrossRef]
- Burrill, C.P.; Andino, R. RNA structure analysis of viruses using SHAPE. Curr. Protoc. Microbiol. 2013, 30, 15H.13.11–15H.13.12. [Google Scholar] [CrossRef]
- Vasa, S.M.; Guex, N.; Wilkinson, K.A.; Weeks, K.M.; Giddings, M.C. ShapeFinder: A software system for high-throughput quantitative analysis of nucleic acid reactivity information resolved by capillary electrophoresis. RNA 2008, 14, 1979–1990. [Google Scholar] [CrossRef]
- Popenda, M.; Szachniuk, M.; Antczak, M.; Purzycka, K.J.; Lukasiak, P.; Bartol, N.; Blazewicz, J.; Adamiak, R.W. Automated 3D structure composition for large RNAs. Nucleic Acids Res. 2012, 40, e112. [Google Scholar] [CrossRef] [PubMed]
- Svergun, D.I.; Barberato, C.; Koch, M. CRYSOL—A Program to Evaluate X-ray Solution Scattering of Biological Macromolecules from Atomic Coordinates. J. Appl. Crystallogr. 1995, 28, 768–773. [Google Scholar] [CrossRef]
- Manalastas-Cantos, K.; Konarev, P.V.; Hajizadeh, N.R.; Kikhney, A.G.; Petoukhov, M.V.; Molodenskiy, D.S.; Panjkovich, A.; Mertens HD, T.; Gruzinov, A.; Borges, C.; et al. ATSAS 3.0: Expanded functionality and new tools for small-angle scattering data analysis. J. Appl. Crystallogr. 2021, 54, 343–355. [Google Scholar] [CrossRef]
- Nielsen, S.S.; Toft, K.N.; Snakenborg, D.; Jeppesen, M.G.; Jacobsen, J.K.; Vestergaard, B.; Kutter, J.P.; Arleth, L. BioXTAS RAW, a software program for high-throughput automated small-angle X-ray scattering data reduction and preliminary analysis. J. Appl. Crystallogr. 2009, 42, 959–964. [Google Scholar] [CrossRef]
- Konarev, P.V.; Volkov, V.V.; Sokolova, A.V.; Koch, M.H.J.; Svergun, D.I. PRIMUS: A Windows PC-based system for small-angle scattering data analysis. J. Appl. Crystallogr. 2003, 36, 1277–1282. [Google Scholar] [CrossRef]
- Svergun, D. Determination of the regularization parameter in indirect-transform methods using perceptual criteria. J. Appl. Crystallogr. 1992, 25, 495–503. [Google Scholar] [CrossRef]
- Petoukhov, M.V.; Franke, D.; Shkumatov, A.V.; Tria, G.; Kikhney, A.G.; Gajda, M.; Gorba, C.; Mertens, H.D.T.; Konarev, P.V.; Svergun, D.I. New developments in the ATSAS program package for small-angle scattering data analysis. J. Appl. Crystallogr. 2012, 45, 342–350. [Google Scholar] [CrossRef] [PubMed]
- Volkov, V.V.; Svergun, D.I. Uniqueness of ab initio shape determination in small-angle scattering. J. Appl. Crystallogr. 2003, 36, 860–864. [Google Scholar] [CrossRef]
- Franke, D.; Svergun, D.I. DAMMIF, a program for rapid ab-initio shape determination in small-angle scattering. J. Appl. Crystallogr. 2009, 42, 342–346. [Google Scholar] [CrossRef] [PubMed]
- The PyMOL Molecular Graphics System. 2002. Available online: http://www.pymol.org (accessed on 25 March 2022).
- Kozin, M.B.; Svergun, D.I.; Embl, B. Automated matching of high- and low-resolution structural models. J. Appl. Crystallogr. 2001, 34, 33–41. [Google Scholar] [CrossRef]




Disclaimer/Publisher’s Note: The statements, opinions and data contained in all publications are solely those of the individual author(s) and contributor(s) and not of MDPI and/or the editor(s). MDPI and/or the editor(s) disclaim responsibility for any injury to people or property resulting from any ideas, methods, instructions or products referred to in the content. |
© 2024 by the authors. Licensee MDPI, Basel, Switzerland. This article is an open access article distributed under the terms and conditions of the Creative Commons Attribution (CC BY) license (https://creativecommons.org/licenses/by/4.0/).
Share and Cite
Xiao, W.; Liu, G.; Chen, T.; Zhang, Y.; Lu, C. Bifidobacterium bifidum SAM-VI Riboswitch Conformation Change Requires Peripheral Helix Formation. Biomolecules 2024, 14, 742. https://doi.org/10.3390/biom14070742
Xiao W, Liu G, Chen T, Zhang Y, Lu C. Bifidobacterium bifidum SAM-VI Riboswitch Conformation Change Requires Peripheral Helix Formation. Biomolecules. 2024; 14(7):742. https://doi.org/10.3390/biom14070742
Chicago/Turabian StyleXiao, Wenwen, Guangfeng Liu, Ting Chen, Yunlong Zhang, and Changrui Lu. 2024. "Bifidobacterium bifidum SAM-VI Riboswitch Conformation Change Requires Peripheral Helix Formation" Biomolecules 14, no. 7: 742. https://doi.org/10.3390/biom14070742
APA StyleXiao, W., Liu, G., Chen, T., Zhang, Y., & Lu, C. (2024). Bifidobacterium bifidum SAM-VI Riboswitch Conformation Change Requires Peripheral Helix Formation. Biomolecules, 14(7), 742. https://doi.org/10.3390/biom14070742

