Phosphoserine Aminotransferase Pathogenetic Variants in Serine Deficiency Disorders: A Functional Characterization
Abstract
1. Introduction
2. Material and Methods
2.1. Proteins Expression and Purification
2.2. Dynamic Light Scattering
2.3. Circular Dichroism (CD) Spectroscopy
2.4. Absorption Spectra
2.5. Activity Assays for the Determination of Kinetic Parameters with L-Glu
2.6. Single Kinetic Fitting for the Evaluation of Kinetic Parameters with 3-PHP
2.7. In Vitro Reconstruction of the Phosphorylated Pathway
2.8. Size Exclusion Chromatography (SEC)
3. Results
3.1. Variant Selection and Predicted Functional Impact of Substitutions
3.2. Protein Expression and Purification
3.3. PSAT Spectroscopy
3.4. Secondary Structure
3.5. Oligomeric State
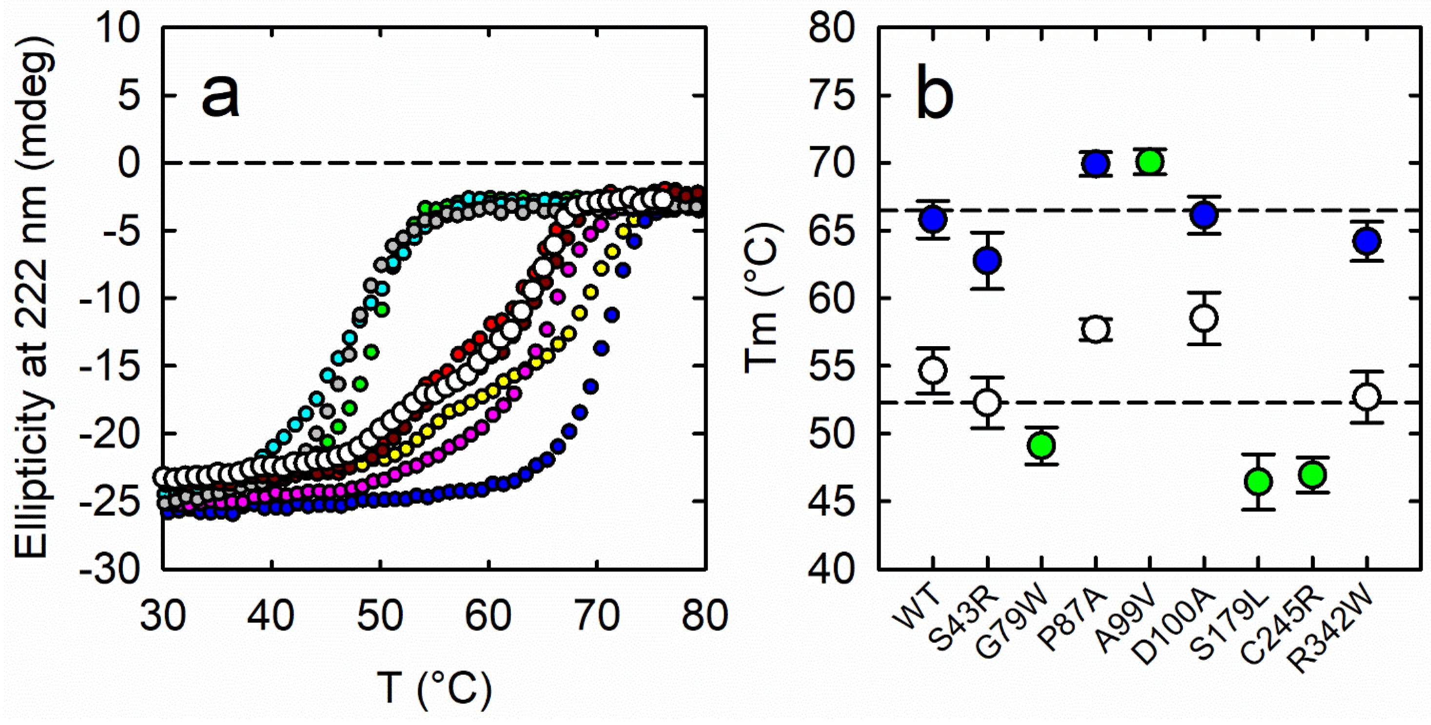
3.6. Thermal Stability
3.7. Enzyme Activity
3.8. In Vitro Reconstruction of the Phosphorylated Pathway
4. Discussion
Supplementary Materials
Author Contributions
Funding
Institutional Review Board Statement
Informed Consent Statement
Data Availability Statement
Conflicts of Interest
Abbreviations
References
- Murtas, G.; Marcone, G.L.; Sacchi, S.; Pollegioni, L. L-serine synthesis via the phosphorylated pathway in humans. Cell. Mol. Life Sci. CMLS 2020, 77, 5131–5148. [Google Scholar] [CrossRef] [PubMed]
- Smith, Q.R. Transport of glutamate and other amino acids at the blood-brain barrier. J. Nutr. 2000, 130, 1016S–1022S. [Google Scholar] [CrossRef]
- Rabattoni, V.; Marchesani, F.; Murtas, G.; Sacchi, S.; Mozzarelli, A.; Bruno, S.; Peracchi, A.; Pollegioni, L.; Campanini, B. The human phosphorylated pathway: A multienzyme metabolic assembly for l-serine biosynthesis. FEBS J. 2023, 290, 3877–3895. [Google Scholar] [CrossRef] [PubMed]
- Mothet, J.P.; Parent, A.T.; Wolosker, H.; Brady, R.O., Jr.; Linden, D.J.; Ferris, C.D.; Rogawski, M.A.; Snyder, S.H. D-serine is an endogenous ligand for the glycine site of the N-methyl-D-aspartate receptor. Proc. Natl. Acad. Sci. USA 2000, 97, 4926–4931. [Google Scholar] [CrossRef] [PubMed]
- Wolosker, H.; Blackshaw, S.; Snyder, S.H. Serine racemase: A glial enzyme synthesizing D-serine to regulate glutamate-N-methyl-D-aspartate neurotransmission. Proc. Natl. Acad. Sci. USA 1999, 96, 13409–13414. [Google Scholar] [CrossRef] [PubMed]
- Raboni, S.; Marchetti, M.; Faggiano, S.; Campanini, B.; Bruno, S.; Marchesani, F.; Margiotta, M.; Mozzarelli, A. The Energy Landscape of Human Serine Racemase. Front. Mol. Biosci. 2018, 5, 112. [Google Scholar] [CrossRef]
- Neame, S.; Safory, H.; Radzishevsky, I.; Touitou, A.; Marchesani, F.; Marchetti, M.; Kellner, S.; Berlin, S.; Foltyn, V.N.; Engelender, S.; et al. The NMDA receptor activation by d-serine and glycine is controlled by an astrocytic Phgdh-dependent serine shuttle. Proc. Natl. Acad. Sci. USA 2019, 116, 20736–20742. [Google Scholar] [CrossRef]
- Marchetti, M.; Bruno, S.; Campanini, B.; Peracchi, A.; Mai, N.; Mozzarelli, A. ATP binding to human serine racemase is cooperative and modulated by glycine. FEBS J. 2013, 280, 5853–5863. [Google Scholar] [CrossRef]
- Pollegioni, L.; Piubelli, L.; Sacchi, S.; Pilone, M.S.; Molla, G. Physiological functions of D-amino acid oxidases: From yeast to humans. Cell. Mol. Life Sci. CMLS 2007, 64, 1373–1394. [Google Scholar] [CrossRef]
- Chumakov, I.; Blumenfeld, M.; Guerassimenko, O.; Cavarec, L.; Palicio, M.; Abderrahim, H.; Bougueleret, L.; Barry, C.; Tanaka, H.; La Rosa, P.; et al. Genetic and physiological data implicating the new human gene G72 and the gene for D-amino acid oxidase in schizophrenia. Proc. Natl. Acad. Sci. USA 2002, 99, 13675–13680. [Google Scholar] [CrossRef]
- Nunes, E.A.; MacKenzie, E.M.; Rossolatos, D.; Perez-Parada, J.; Baker, G.B.; Dursun, S.M. D-serine and schizophrenia: An update. Expert Rev. Neurother. 2012, 12, 801–812. [Google Scholar] [CrossRef] [PubMed]
- Sasabe, J.; Chiba, T.; Yamada, M.; Okamoto, K.; Nishimoto, I.; Matsuoka, M.; Aiso, S. D-serine is a key determinant of glutamate toxicity in amyotrophic lateral sclerosis. EMBO J. 2007, 26, 4149–4159. [Google Scholar] [CrossRef] [PubMed]
- Mitchell, J.; Paul, P.; Chen, H.J.; Morris, A.; Payling, M.; Falchi, M.; Habgood, J.; Panoutsou, S.; Winkler, S.; Tisato, V.; et al. Familial amyotrophic lateral sclerosis is associated with a mutation in D-amino acid oxidase. Proc. Natl. Acad. Sci. USA 2010, 107, 7556–7561. [Google Scholar] [CrossRef] [PubMed]
- Orzylowski, M.; Fujiwara, E.; Mousseau, D.D.; Baker, G.B. An Overview of the Involvement of D-Serine in Cognitive Impairment in Normal Aging and Dementia. Front. Psychiatry 2021, 12, 754032. [Google Scholar] [CrossRef] [PubMed]
- Ye, L.; Sun, Y.; Jiang, Z.; Wang, G. L-Serine, an Endogenous Amino Acid, Is a Potential Neuroprotective Agent for Neurological Disease and Injury. Front. Mol. Neurosci. 2021, 14, 726665. [Google Scholar] [CrossRef]
- Tabatabaie, L.; Klomp, L.W.; Berger, R.; de Koning, T.J. l-Serine synthesis in the central nervous system: A review on serine deficiency disorders. Mol. Genet. Metab. 2010, 99, 256–262. [Google Scholar] [CrossRef]
- Van der Crabben, S.N.; Verhoeven-Duif, N.M.; Brilstra, E.H.; Van Maldergem, L.; Coskun, T.; Rubio-Gozalbo, E.; Berger, R.; de Koning, T.J. An update on serine deficiency disorders. J. Inherit. Metab. Dis. 2013, 36, 613–619. [Google Scholar] [CrossRef]
- Neu, R.L.; Kajii, T.; Gardner, L.I.; Nagyfy, S.F. A lethal syndrome of microcephaly with multiple congenital anomalies in three siblings. Pediatrics 1971, 47, 610–612. [Google Scholar] [CrossRef]
- Laxova, R.; Ohara, P.T.; Timothy, J.A. A further example of a lethal autosomal recessive condition in sibs. J. Ment. Defic. Res. 1972, 16, 139–143. [Google Scholar] [CrossRef]
- Debs, S.; Ferreira, C.R.; Groden, C.; Kim, H.J.; King, K.A.; King, M.C.; Lehky, T.; Cowen, E.W.; Brown, L.H.; Merideth, M.; et al. Adult diagnosis of congenital serine biosynthesis defect: A treatable cause of progressive neuropathy. Am. J. Med. Genet. Part A 2021, 185, 2102–2107. [Google Scholar] [CrossRef]
- Benke, P.J.; Hidalgo, R.J.; Braffman, B.H.; Jans, J.; Gassen, K.; Sunbul, R.; El-Hattab, A.W. Infantile Serine Biosynthesis Defect Due to Phosphoglycerate Dehydrogenase Deficiency: Variability in Phenotype and Treatment Response, Novel Mutations, and Diagnostic Challenges. J. Child Neurol. 2017, 32, 543–549. [Google Scholar] [CrossRef] [PubMed]
- Yoshida, K.; Furuya, S.; Osuka, S.; Mitoma, J.; Shinoda, Y.; Watanabe, M.; Azuma, N.; Tanaka, H.; Hashikawa, T.; Itohara, S.; et al. Targeted disruption of the mouse 3-phosphoglycerate dehydrogenase gene causes severe neurodevelopmental defects and results in embryonic lethality. J. Biol. Chem. 2004, 279, 3573–3577. [Google Scholar] [CrossRef]
- Marchesani, F.; Zangelmi, E.; Murtas, G.; Costanzi, E.; Ullah, R.; Peracchi, A.; Bruno, S.; Pollegioni, L.; Mozzarelli, A.; Storici, P.; et al. L-serine biosynthesis in the human central nervous system: Structure and function of phosphoserine aminotransferase. Protein Sci. A Publ. Protein Soc. 2023, 32, e4609. [Google Scholar] [CrossRef] [PubMed]
- Hart, C.E.; Race, V.; Achouri, Y.; Wiame, E.; Sharrard, M.; Olpin, S.E.; Watkinson, J.; Bonham, J.R.; Jaeken, J.; Matthijs, G.; et al. Phosphoserine aminotransferase deficiency: A novel disorder of the serine biosynthesis pathway. Am. J. Hum. Genet. 2007, 80, 931–937. [Google Scholar] [CrossRef]
- Brassier, A.; Valayannopoulos, V.; Bahi-Buisson, N.; Wiame, E.; Hubert, L.; Boddaert, N.; Kaminska, A.; Habarou, F.; Desguerre, I.; Van Schaftingen, E.; et al. Two new cases of serine deficiency disorders treated with l-serine. Eur. J. Paediatr. Neurol. 2016, 20, 53–60. [Google Scholar] [CrossRef] [PubMed]
- Abdelfattah, F.; Kariminejad, A.; Kahlert, A.K.; Morrison, P.J.; Gumus, E.; Mathews, K.D.; Darbro, B.W.; Amor, D.J.; Walsh, M.; Sznajer, Y.; et al. Expanding the genotypic and phenotypic spectrum of severe serine biosynthesis disorders. Hum. Mutat. 2020, 41, 1615–1628. [Google Scholar] [CrossRef]
- Shen, Y.; Peng, Y.; Huang, P.; Zheng, Y.; Li, S.; Jiang, K.; Zhou, M.; Deng, J.; Zhu, M.; Hong, D. Juvenile-onset PSAT1-related neuropathy: A milder phenotype of serine deficiency disorder. Front. Genet. 2022, 13, 949038. [Google Scholar] [CrossRef]
- Acuna-Hidalgo, R.; Schanze, D.; Kariminejad, A.; Nordgren, A.; Kariminejad, M.H.; Conner, P.; Grigelioniene, G.; Nilsson, D.; Nordenskjold, M.; Wedell, A.; et al. Neu-Laxova syndrome is a heterogeneous metabolic disorder caused by defects in enzymes of the L-serine biosynthesis pathway. Am. J. Hum. Genet. 2014, 95, 285–293. [Google Scholar] [CrossRef]
- Ni, C.; Cheng, R.H.; Zhang, J.; Liang, J.Y.; Wei, R.Q.; Li, M.; Yao, Z.R. Novel and recurrent PHGDH and PSAT1 mutations in Chinese patients with Neu-Laxova syndrome. Eur. J. Dermatol. EJD 2019, 29, 641–646. [Google Scholar] [CrossRef]
- Sirr, A.; Lo, R.S.; Cromie, G.A.; Scott, A.C.; Ashmead, J.; Heyesus, M.; Dudley, A.M. A yeast-based complementation assay elucidates the functional impact of 200 missense variants in human PSAT1. J. Inherit. Metab. Dis. 2020, 43, 758–769. [Google Scholar] [CrossRef]
- Baek, J.Y.; Jun, D.Y.; Taub, D.; Kim, Y.H. Characterization of human phosphoserine aminotransferase involved in the phosphorylated pathway of L-serine biosynthesis. Biochem. J. 2003, 373, 191–200. [Google Scholar] [CrossRef]
- Donini, S.; Ferrari, M.; Fedeli, C.; Faini, M.; Lamberto, I.; Marletta, A.S.; Mellini, L.; Panini, M.; Percudani, R.; Pollegioni, L.; et al. Recombinant production of eight human cytosolic aminotransferases and assessment of their potential involvement in glyoxylate metabolism. Biochem. J. 2009, 422, 265–272. [Google Scholar] [CrossRef] [PubMed]
- Bauerle, F.; Zotter, A.; Schreiber, G. Direct determination of enzyme kinetic parameters from single reactions using a new progress curve analysis tool. Protein Eng. Des. Sel. PEDS 2017, 30, 149–156. [Google Scholar] [CrossRef] [PubMed][Green Version]
- Murtas, G.; Marcone, G.L.; Peracchi, A.; Zangelmi, E.; Pollegioni, L. Biochemical and Biophysical Characterization of Recombinant Human 3-Phosphoglycerate Dehydrogenase. Int. J. Mol. Sci. 2021, 22, 4231. [Google Scholar] [CrossRef]
- Marchesani, F.; Zangelmi, E.; Bruno, S.; Bettati, S.; Peracchi, A.; Campanini, B. A Novel Assay for Phosphoserine Phosphatase Exploiting Serine Acetyltransferase as the Coupling Enzyme. Life 2021, 11, 485. [Google Scholar] [CrossRef] [PubMed]
- Maffioli, E.; Murtas, G.; Rabattoni, V.; Badone, B.; Tripodi, F.; Iannuzzi, F.; Licastro, D.; Nonnis, S.; Rinaldi, A.M.; Motta, Z.; et al. Insulin and serine metabolism as sex-specific hallmarks of Alzheimer’s disease in the human hippocampus. Cell Rep. 2022, 40, 111271. [Google Scholar] [CrossRef]
- Reva, B.; Antipin, Y.; Sander, C. Predicting the functional impact of protein mutations: Application to cancer genomics. Nucleic Acids Res. 2011, 39, e118. [Google Scholar] [CrossRef]
- Adzhubei, I.A.; Schmidt, S.; Peshkin, L.; Ramensky, V.E.; Gerasimova, A.; Bork, P.; Kondrashov, A.S.; Sunyaev, S.R. A method and server for predicting damaging missense mutations. Nat. Methods 2010, 7, 248–249. [Google Scholar] [CrossRef]
- Shi, Y.; Mowery, R.A.; Ashley, J.; Hentz, M.; Ramirez, A.J.; Bilgicer, B.; Slunt-Brown, H.; Borchelt, D.R.; Shaw, B.F. Abnormal SDS-PAGE migration of cytosolic proteins can identify domains and mechanisms that control surfactant binding. Protein Sci. A Publ. Protein Soc. 2012, 21, 1197–1209. [Google Scholar] [CrossRef]
- Bettati, S.; Benci, S.; Campanini, B.; Raboni, S.; Chirico, G.; Beretta, S.; Schnackerz, K.D.; Hazlett, T.L.; Gratton, E.; Mozzarelli, A. Role of pyridoxal 5′-phosphate in the structural stabilization of O-acetylserine sulfhydrylase. J. Biol. Chem. 2000, 275, 40244–40251. [Google Scholar] [CrossRef]
- Mishra, V.; Ali, V.; Nozaki, T.; Bhakuni, V. Biophysical characterization of Entamoeba histolytica phosphoserine aminotransferase (EhPSAT): Role of cofactor and domains in stability and subunit assembly. Eur. Biophys. J. EBJ 2011, 40, 599–610. [Google Scholar] [CrossRef] [PubMed]
- Jin, C.; Zhu, X.; Wu, H.; Wang, Y.; Hu, X. Perturbation of phosphoglycerate kinase 1 (PGK1) only marginally affects glycolysis in cancer cells. J. Biol. Chem. 2020, 295, 6425–6446. [Google Scholar] [CrossRef] [PubMed]
- Shee, K.; Stoller, M.L. Perspectives in primary hyperoxaluria—Historical, current and future clinical interventions. Nat. Rev. Urol. 2022, 19, 137–146. [Google Scholar] [CrossRef] [PubMed]





| Functional Impact Predictions | ||||||
|---|---|---|---|---|---|---|
| Variant | Pathology | Localization | Mutation Assessor [37] | PolyPhen-2 [38] | Analysis of pdb 3E77 [26] | Pathogenetic Mechanism Elucidated in This Work |
| S43R | PSATD [26,30] | PLP domain | High | Possibly damaging | Dimer instability | Altered kinetic parameters |
| G79W | NLS2 [26,30] | PLP domain | High | Probably damaging | Reduced PLP binding | Poor PLP binding, catalytical inactivity, thermal instability |
| P87A | Not associated with pathology (Uniprot) | PLP domain | Medium | Probably damaging | - | - |
| A99V | NLS2 [26,28] | PLP domain | Medium | Probably damaging | Protein instability | Altered interactome? |
| D100A | PSATD [24,30] | PLP domain | Low | Probably damaging | - | Aggregation/altered interactome? |
| S179L | NLS2 [28,30] | PLP domain | High | Probably damaging | - | Poor PLP binding, catalytical inactivity, thermal instability, aggregation |
| C245R | NLS2 [26] | PLP domain | Medium | Probably damaging | Dimer instability | Incomplete PLP binding, thermal instability, altered kinetic parameters |
| R342W | NLS2 [29] | C-terminus | High | Probably damaging | - | Catalytical inactivity |
| Variant | SEC | DLS | ||
|---|---|---|---|---|
| Est. MW (kDa ±S.E.M.) | Est. MW (kDa ± S.E.M.) | Aggregation (% Signal Intensity) | ||
| t0 | 1 h | |||
| WT | 80 ± 5 | 73 ± 1 | 21 | 25 |
| S43R | 84 ± 10 | 76 ± 4 | 25 | 26 |
| G79W * | 75 ± 1 | 63 ± 0 | 30 | 41 |
| P87A | 73 ± 0 | 78 ± 5 | 19 | 23 |
| A99V | 85 ± 5 | 76 ± 2 | 19 | 24 |
| D100A | 81 ± 8 | 66 ± 1 | 74 | 78 |
| S179L * | 74 ± 4 | 97 ± 0 | 28 | 70 |
| C245R | 80 ± 9 | 62 ± 5 | 15 | 26 |
| R342W | 82 ± 6 | 72 ± 1 | 34 | 37 |
| Km | kcat (s−1) | kcat/Km (M−1 s−1) | ||||
|---|---|---|---|---|---|---|
| 3-PHP (µM) | L-Glu (mM) | 3-PHP | L-Glu | 3-PHP | L-Glu | |
| WT | 9.9 ± 0.5 | 2.4 ± 0.3 | 29.5 ± 0.5 | 19.1 ± 0.5 | 3.0 ± 0.2 × 106 | 8.0 ± 1.0 × 103 |
| S43R | 31.0 ± 4.0 | 12.0 ± 2.0 | 27.0 ± 2.0 | 20.0 ± 1.0 | 0.9 ± 0.1 × 106 | 1.6 ± 0.3 × 103 |
| P87A | 8.5 ± 0.2 | 2.8 ± 0.4 | 25.5 ± 0.6 | 21.9 ± 0.1 | 3.0 ± 0.0 × 106 | 8.0 ± 1.0 × 103 |
| A99V | 14.8 ± 0.8 | 2.8 ± 0.4 | 34.0 ± 1.0 | 24.0 ± 1.0 | 2.3 ± 0.0 × 106 | 9.0 ± 1.0 × 103 |
| D100A | 10.5 ± 0.6 | 3.3 ± 0.3 | 23.0 ± 1.0 | 20.6 ± 0.5 | 2.2 ± 0.0 × 106 | 6.2 ± 0.6 × 103 |
| C245R | 13.0 ± 4.0 | 22.0 ± 5.0 | 11.0 ± 3.0 | 4.1 ± 0.4 | 0.9 ± 0.1 × 106 | 0.2 ± 0.1 × 103 |
Disclaimer/Publisher’s Note: The statements, opinions and data contained in all publications are solely those of the individual author(s) and contributor(s) and not of MDPI and/or the editor(s). MDPI and/or the editor(s) disclaim responsibility for any injury to people or property resulting from any ideas, methods, instructions or products referred to in the content. |
© 2023 by the authors. Licensee MDPI, Basel, Switzerland. This article is an open access article distributed under the terms and conditions of the Creative Commons Attribution (CC BY) license (https://creativecommons.org/licenses/by/4.0/).
Share and Cite
Marchesani, F.; Michielon, A.; Viale, E.; Bianchera, A.; Cavazzini, D.; Pollegioni, L.; Murtas, G.; Mozzarelli, A.; Bettati, S.; Peracchi, A.; et al. Phosphoserine Aminotransferase Pathogenetic Variants in Serine Deficiency Disorders: A Functional Characterization. Biomolecules 2023, 13, 1219. https://doi.org/10.3390/biom13081219
Marchesani F, Michielon A, Viale E, Bianchera A, Cavazzini D, Pollegioni L, Murtas G, Mozzarelli A, Bettati S, Peracchi A, et al. Phosphoserine Aminotransferase Pathogenetic Variants in Serine Deficiency Disorders: A Functional Characterization. Biomolecules. 2023; 13(8):1219. https://doi.org/10.3390/biom13081219
Chicago/Turabian StyleMarchesani, Francesco, Annalisa Michielon, Elisabetta Viale, Annalisa Bianchera, Davide Cavazzini, Loredano Pollegioni, Giulia Murtas, Andrea Mozzarelli, Stefano Bettati, Alessio Peracchi, and et al. 2023. "Phosphoserine Aminotransferase Pathogenetic Variants in Serine Deficiency Disorders: A Functional Characterization" Biomolecules 13, no. 8: 1219. https://doi.org/10.3390/biom13081219
APA StyleMarchesani, F., Michielon, A., Viale, E., Bianchera, A., Cavazzini, D., Pollegioni, L., Murtas, G., Mozzarelli, A., Bettati, S., Peracchi, A., Campanini, B., & Bruno, S. (2023). Phosphoserine Aminotransferase Pathogenetic Variants in Serine Deficiency Disorders: A Functional Characterization. Biomolecules, 13(8), 1219. https://doi.org/10.3390/biom13081219

