Volatile Phases Derived from Serum, DC, or MLC Culture Supernatants to Deduce a VOC-Based Diagnostic Profiling Strategy for Leukemic Diseases
Abstract
1. Introduction
1.1. Acute Myeloid Leukemia (AML)
1.2. DC-Based Immunotherapy
1.3. Immune System
1.4. Leukemia-Specific Cells and Antileukemic Process
1.5. Methodological Tools to Monitor AML Disease or Antileukemically Related Processes
1.6. VOC Analysis as a New Option to Characterize and Monitor (Malignant) Diseases
- Generation and quantification of DC/DCleu (subpopulations) using Kit M-treated (vs. untreated) WB from AML patients and healthy volunteers;
- Characterization of (activated) immune cells before (uncultured MLC) and after MLC (with Kit M-pretreated vs. untreated WB);
- Detection and quantification of antileukemic/leukemia-specific innate and adaptive immune cells using Deg and InCyt assays, or CTX after MLC;
- VOC analyses above collected serum and cell culture supernatants (DC, MLC, with/without Kit M treatment) using eNose;
- Correlation of cell biology with the VOC results, and potentially the deduction of a VOC-based profiling strategy using serum or cell culture supernatants
2. Material and Methods
2.1. Cell Biological Experiments
2.1.1. Sample Collection
2.1.2. Patients’ Characterization
2.1.3. Cell Characterization by Flow Cytometry
2.1.4. Staining and Measurement
2.1.5. Preparation of Cells
2.1.6. Dendritic Cell Culture (DC Culture)
2.1.7. Mixed Lymphocyte Culture (MLC Culture)
2.1.8. Degranulation Assay (Deg) and Intracellular Assay (InCyt)
2.1.9. Degranulation Assay (Deg)
2.1.10. Intracellular Assay (InCyt)
2.1.11. Cytotoxicity Fluorolysis Assay (CTX)
2.2. VOC Experiments
2.2.1. Collection of Serum and Cell Culture Supernatant
2.2.2. Experimental Set-Up of the Cyranose 320
2.3. Statistical Methods
3. Results
3.1. Cell Biological Results
3.2. Volatile Organic Compounds (VOC) Results
3.3. The VOC Profiles of Uncultured and Cultured Healthy and Leukemic DC Culture Supernatants (with/without Kit M Pretreatment) of Derived Volatile Phases Are Significantly Different
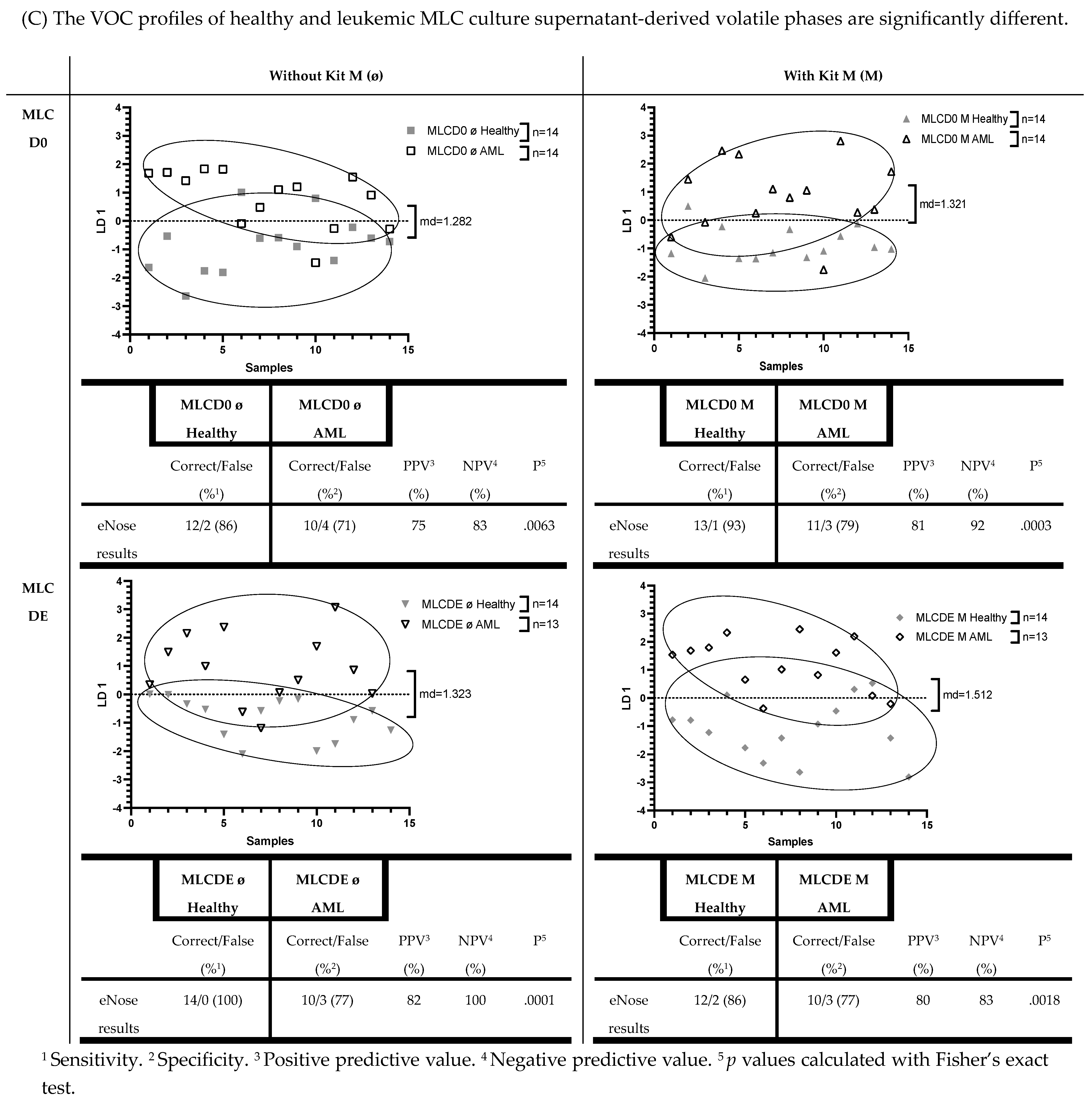
3.4. The VOC Profiles of Uncultured and Cultured Healthy and Leukemic MLC Culture Supernatants (with/without Kit M Pretreatment) of Derived Volatile Phases Are Significantly Different
3.5. The Volatile Phases above Healthy DC Supernatants Are Significantly Different




3.6. The Volatile Phases above Healthy MLC Supernatants Are Significantly Different
3.7. The Volatile Phases above Leukemic DC Culture Supernatants Are Significantly Different
3.8. The Volatile Phases above Leukemic MLC Culture Supernatants Are Significantly Different


4. Discussion
4.1. DC Based Immunotherapy
4.2. VOC Based AML Monitoring
4.3. Strengths and Limitations of VOC Analyses
4.4. VOC Differentiation of Healthy vs. Leukemic Serum, DC- and MLC-Cultures as a New Refined, Clinical Monitoring Tool
4.5. IL-2-Associated Effects on Differences between Uncultured and Cultured MLC-VOCs
4.6. Kit M-Associated Effects on DC- and MLC-VOCs
- With respect to culture effects, we found significant differences in the VOC profiles of healthy DC culture supernatants (independent of the addition of Kit M), whereas the culture effects of AML samples in the same settings were not different. These findings might be explained by the different compositions of DC culture supernatants in healthy vs. AML DC culture supernatants; healthy samples contain higher frequencies of ‘healthy cells’, and AML samples contain high frequencies of blasts. After culture, different releases of VOCs in the different settings might explain the good differentiation of healthy DC supernatant VOCs, but not AML DC culture supernatant VOCs.
- With respect to Kit M-mediated effects, we found significant differences in the VOC profiles of healthy DC culture supernatants when comparing Kit M-pretreated vs. non-pretreated samples, whereas the culture effects of AML samples in the same settings were not different. These findings might be explained by different DC compositions in healthy vs. AML DC culture supernatants; healthy samples yield higher frequencies of mature monocyte-derived DCs, and AML samples yield (in addition) leukemia-derived DCs and blasts, which may proliferate/differentiate and produce leukemia-associated VOCs.
- Moreover, AML patients’ DC supernatants might contain traces of drug (derivates) after chemotherapy and antibiotic/antimycotic therapy, which could be responsible for alternated VOC profiles compared to healthy DC culture supernatant-derived VOCs.
- With respect to culture effects, we found no significant differences in the VOC profiles of healthy MLC supernatants (independent of Kit M addition), whereas the culture effects of AML samples in the same settings were significantly different. These findings might be explained by different MLC-related supernatants in healthy vs. AML MLC supernatants (e.g., higher frequencies of ‘healthy immune cells’ in healthy samples, and high frequencies of blasts in AML samples).
- With respect to Kit M-mediated effects, we did not find significant differences in the VOC profiles of healthy MLC supernatants when comparing Kit M-pretreated vs. non-pretreated samples, whereas the culture effects of AML samples in the same settings were significantly different. These findings might be explained by the different compositions of immune cells in AML vs. healthy cells; the activation of leukemia-specific immune reactive cells in AML cases might yield significantly different VOCs under the influence of Kit M vs. Control.
5. Conclusions
Author Contributions
Funding
Institutional Review Board Statement
Informed Consent Statement
Data Availability Statement
Acknowledgments
Conflicts of Interest
References
- Appelbaum, F.R.; Gundacker, H.; Head, D.R.; Slovak, M.L.; Willman, C.L.; Godwin, J.E.; Anderson, J.E.; Petersdorf, S.H. Age and acute myeloid leukemia. Blood 2006, 107, 3481–3485. [Google Scholar] [CrossRef] [PubMed]
- Marcucci, G.; Haferlach, T.; Döhner, H. Molecular Genetics of Adult Acute Myeloid Leukemia: Prognostic and Therapeutic Implications. J. Clin. Oncol. 2011, 29, 475–486. [Google Scholar] [CrossRef] [PubMed]
- Malcovati, L.; Nimer, S.D. Myelodysplastic syndromes: Diagnosis and staging. Cancer Control. 2008, 15, 4–13. [Google Scholar] [CrossRef] [PubMed]
- Röllig, C. Diagnostik und Therapie der akuten myeloischen Leukämie. Best Pract. Onkol. 2019, 14, 386–397. [Google Scholar] [CrossRef]
- Gardin, C.; Dombret, H. Hypomethylating Agents as a Therapy for AML. Curr. Hematol. Malig. Rep. 2017, 12, 1–10. [Google Scholar] [CrossRef]
- Ansprenger, C.; Amberger, D.C.; Schmetzer, H.M. Potential of immunotherapies in the mediation of antileukemic responses for patients with acute myeloid leukemia (AML) and myelodysplastic syndrome (MDS)—With a focus on Dendritic cells of leukemic origin (DCleu). Clin. Immunol. 2020, 217, 108467. [Google Scholar] [CrossRef]
- Jonas, B.A.; Pollyea, D.A. How we use venetoclax with hypomethylating agents for the treatment of newly diagnosed patients with acute myeloid leukemia. Leukemia 2019, 33, 2795–2804. [Google Scholar] [CrossRef]
- Amberger, D.C.; Doraneh-Gard, F.; Gunsilius, C.; Weinmann, M.; Möbius, S.; Kugler, C.; Rogers, N.; Böck, C.; Ködel, U.; Werner, J.-O.; et al. PGE1-Containing Protocols Generate Mature (Leukemia-Derived) Dendritic Cells Directly from Leukemic Whole Blood. Int. J. Mol. Sci. 2019, 20, 4590. [Google Scholar] [CrossRef]
- Amberger, D.C.; Schmetzer, H.M. Dendritic Cells of Leukemic Origin: Specialized Antigen-Presenting Cells as Potential Treatment Tools for Patients with Myeloid Leukemia. Transfus. Med. Hemotherapy 2020, 47, 432–443. [Google Scholar] [CrossRef]
- Sabado, R.L.; Balan, S.; Bhardwaj, N. Dendritic cell-based immunotherapy. Cell Res. 2017, 27, 74–95. [Google Scholar] [CrossRef]
- Sallusto, F.; Lanzavecchia, A. Understanding dendritic cell and T-lymphocyte traffic through the analysis of chemokine receptor expression. Immunol. Rev. 2000, 177, 134–140. [Google Scholar] [CrossRef] [PubMed]
- Klauer, L.K.; Schutti, O.; Ugur, S.; Doraneh-Gard, F.; Amberger, D.C.; Rogers, N.; Krämer, D.; Rank, A.; Schmid, C.; Eiz-Vesper, B.; et al. Interferon Gamma Secretion of Adaptive and Innate Immune Cells as a Parameter to Describe Leukaemia-Derived Dendritic-Cell-Mediated Immune Responses in Acute Myeloid Leukaemia in vitro. Transfus. Med. Hemotherapy 2021, 49, 44–61. [Google Scholar] [CrossRef] [PubMed]
- Schwepcke, C.; Klauer, L.K.; Deen, D.; Amberger, D.C.; Fischer, Z.; Doraneh-Gard, F.; Gunsilius, C.; Hirn-Lopez, A.; Kroell, T.; Tischer, J.; et al. Generation of Leukaemia-Derived Dendritic Cells (DCleu) to Improve Anti-Leukaemic Activity in AML: Selection of the Most Efficient Response Modifier Combinations. Int. J. Mol. Sci. 2022, 23, 8333. [Google Scholar] [CrossRef] [PubMed]
- Robertson, F.C.; Berzofsky, J.A.; Terabe, M. NKT Cell Networks in the Regulation of Tumor Immunity. Front. Immunol. 2014, 5, 543. [Google Scholar] [CrossRef] [PubMed]
- Rackl, E.; Li, L.; Klauer, L.K.; Ugur, S.; Pepeldjiyska, E.; Seidel, C.L.; Gunsilius, C.; Weinmann, M.; Doraneh-Gard, F.; Reiter, N. Dendritic Cell-Triggered Immune Activation Goes along with Provision of (Leukemia-Specific) Integrin Beta 7-Expressing Immune Cells and Improved Antileukemic Processes. Int. J. Mol. Sci. 2023, 24, 463. [Google Scholar] [CrossRef]
- Schmetzer, H.M.; Kremser, A.; Loibl, J.; Kroell, T.; Kolb, H.J. Quantification of ex vivo generated dendritic cells (DC) and leukemia-derived DC contributes to estimate the quality of DC, to detect optimal DC-generating methods or to optimize DC-mediated T-cell-activation-procedures ex vivo or in vivo. Leukemia 2007, 21, 1338–1341. [Google Scholar] [CrossRef]
- Plett, C.; Amberger, D.; Rabe, A.; Deen, D.; Stankova, Z.; Hirn Lopez, A.; Vokac, Y.; Werner, J.; Krämer, D.; Rank, A. Kits do not induce AML-blasts’ proliferation ex vivo. IPO-38 is an appropriate and reliable marker to detect and quantify proliferating blasts. J. Immunother. Cancer 2017, 52, S398. [Google Scholar]
- Grabrucker, C.; Liepert, A.; Dreyig, J.; Kremser, A.; Kroell, T.; Freudenreich, M.; Schmid, C.; Schweiger, C.; Tischer, J.; Kolb, H.-J.; et al. The Quality and Quantity of Leukemia-derived Dendritic Cells From Patients With Acute Myeloid Leukemia and Myelodysplastic Syndrome Are a Predictive Factor for the Lytic Potential of Dendritic Cells-primed Leukemia-Specific T Cells. J. Immunother. 2010, 33, 523–537. [Google Scholar] [CrossRef]
- Hansen, N.; Önder, D.; Schwing, K.; Widman, G.; Leelaarporn, P.; Prusseit, I.; Surges, R.; Becker, A.J.; Witt, J.-A.; Helmstaedter, C.; et al. CD19+ B-cells in autoantibody-negative limbic encephalitis. Epilepsy Behav. 2020, 106, 107016. [Google Scholar] [CrossRef]
- Aktas, E.; Kucuksezer, U.C.; Bilgic, S.; Erten, G.; Deniz, G. Relationship between CD107a expression and cytotoxic activity. Cell. Immunol. 2009, 254, 149–154. [Google Scholar] [CrossRef]
- Pepeldjiyska, E.; Li, L.; Gao, J.; Seidel, C.L.; Blasi, C.; Özkaya, E.; Schmohl, J.; Kraemer, D.; Schmid, C.; Rank, A. Leukemia derived dendritic cell (DCleu) mediated immune response goes along with reduced (leukemia-specific) regulatory T-cells. Immunobiology 2022, 227, 152237. [Google Scholar] [CrossRef] [PubMed]
- Boeck, C.L.; Amberger, D.C.; Doraneh-Gard, F.; Sutanto, W.; Guenther, T.; Schmohl, J.; Schuster, F.; Salih, H.; Babor, F.; Borkhardt, A.; et al. Significance of Frequencies, Compositions, and/or Antileukemic Activity of (DC-stimulated) Invariant NKT, NK and CIK Cells on the Outcome of Patients With AML, ALL and CLL. J. Immunother. 2017, 40, 224–248. [Google Scholar] [CrossRef] [PubMed]
- Vogt, V.; Schick, J.; Ansprenger, C.; Braeu, M.; Kroell, T.; Kraemer, D.; Köhne, C.-H.; Hausmann, A.; Buhmann, R.; Tischer, J.; et al. Profiles of Activation, Differentiation–Markers, or β-Integrins on T Cells Contribute to Predict T Cells’ Antileukemic Responses After Stimulation With Leukemia-derived Dendritic Cells. J. Immunother. 2014, 37, 331–347. [Google Scholar] [CrossRef] [PubMed]
- Merle, M.; Fischbacher, D.; Liepert, A.; Grabrucker, C.; Kroell, T.; Kremser, A.; Dreyssig, J.; Freudenreich, M.; Schuster, F.; Borkhardt, A.; et al. Conversion of AML-blasts to leukemia-derived dendritic cells (DCleu) in ‘DC-culture-media’ shifts correlations of released chemokines with antileukemic T-cell reactions. Immunobiology 2021, 226, 152088. [Google Scholar] [CrossRef] [PubMed]
- Doraneh gard, F.; Amberger, D.; Weinmann, M.; Boeck, C.; Gunsilius, C.; Kugler, C.; Werner, J.; Kraemer, D.; Rank, A.; Schmid, C.; et al. Standard normoxic versus physiological hypoxic culture of AML patients’ (pts) whole blood (WB) samples with immune modulatory kits yields comparable proportions of dendritic cells and functional results. Eur. J. Cancer 2018, 92, S10–S11. [Google Scholar] [CrossRef]
- Tkach, M.; Kowal, J.; Zucchetti, A.E.; Enserink, L.; Jouve, M.; Lankar, D.; Saitakis, M.; Martin-Jaular, L.; Théry, C. Qualitative differences in T-cell activation by dendritic cell-derived extracellular vesicle subtypes. EMBO J. 2017, 36, 3012–3028. [Google Scholar] [CrossRef]
- Li, L.; Görgens, A.; Mussack, V.; Pepeldjiyska, E.; Hartz, A.S.; Rank, A.; Schmohl, J.; Krämer, D.; Andaloussi, S.E.; Pfaffl, M.W.; et al. Description and optimization of a multiplex bead-based flow cytometry method (MBFCM) to characterize extracellular vesicles in serum samples from patients with hematological malignancies. Cancer Gene Ther. 2022, 29, 1600–1615. [Google Scholar] [CrossRef]
- Mazzatenta, A.; Pokorski, M.; Sartucci, F.; Domenici, L.; Di Giulio, C. Volatile organic compounds (VOCs) fingerprint of Alzheimer’s disease. Respir. Physiol. Neurobiol. 2015, 209, 81–84. [Google Scholar] [CrossRef]
- Bach, J.-P.; Gold, M.; Mengel, D.; Hattesohl, A.; Lubbe, D.; Schmid, S.; Tackenberg, B.; Rieke, J.; Maddula, S.; Baumbach, J.I.; et al. Measuring Compounds in Exhaled Air to Detect Alzheimer’s Disease and Parkinson’s Disease. PLoS ONE 2015, 10, e0132227. [Google Scholar] [CrossRef]
- Dragonieri, S.; Annema, J.T.; Schot, R.; van der Schee, M.P.C.; Spanevello, A.; Carratú, P.; Resta, O.; Rabe, K.F.; Sterk, P.J. An electronic nose in the discrimination of patients with non-small cell lung cancer and COPD. Lung Cancer 2009, 64, 166–170. [Google Scholar] [CrossRef]
- Biehl, W.; Hattesohl, A.; Jorres, R.A.; Duell, T.; Althohn, U.; Koczulla, A.R.; Schmetzer, H. VOC pattern recognition of lung cancer: A comparative evaluation of different dog- and eNose-based strategies using different sampling materials. Acta Oncol. 2019, 58, 1216–1224. [Google Scholar] [CrossRef] [PubMed]
- Dutta, D.; Chong, N.S.; Lim, S.H. Endogenous volatile organic compounds in acute myeloid leukemia: Origins and potential clinical applications. J. Breath Res. 2018, 12, 034002. [Google Scholar] [CrossRef]
- Gaida, A.; Holz, O.; Nell, C.; Schuchardt, S.; Lavae-Mokhtari, B.; Kruse, L.; Boas, U.; Langejuergen, J.; Allers, M.; Zimmermann, S. A dual center study to compare breath volatile organic compounds from smokers and non-smokers with and without COPD. J. Breath Res. 2016, 10, 026006. [Google Scholar] [CrossRef] [PubMed]
- Boeselt, T.; Terhorst, P.; Kroenig, J.; Nell, C.; Spielmanns, M.; Heers, H.; Boas, U.; Veith, M.; Vogelmeier, C.; Greulich, T. Pilot Study On Non-Invasive Diagnostics Of Volatile Organic Compounds Over Urine From COVID-19 Patients. Arch. Clin. Biomed. Res. 2022, 6, 65–73. [Google Scholar] [CrossRef]
- Hattesohl, A.D.; Jörres, R.A.; Dressel, H.; Schmid, S.; Vogelmeier, C.; Greulich, T.; Noeske, S.; Bals, R.; Koczulla, A.R. Discrimination between COPD patients with and without alpha 1-antitrypsin deficiency using an electronic nose. Respirology 2011, 16, 1258–1264. [Google Scholar] [CrossRef]
- Lueno, M.; Dobrowolny, H.; Gescher, D.; Gbaoui, L.; Meyer-Lotz, G.; Hoeschen, C.; Frodl, T. Volatile Organic Compounds From Breath Differ Between Patients With Major Depression and Healthy Controls. Front. Psychiatry 2023, 13, 819607. [Google Scholar] [CrossRef] [PubMed]
- Heers, H.; Gut, J.M.; Hegele, A.; Hofmann, R.; Boeselt, T.; Hattesohl, A.; Koczulla, A.R. Non-invasive Detection of Bladder Tumors Through Volatile Organic Compounds: A Pilot Study with an Electronic Nose. Anticancer Res. 2018, 38, 833–837. [Google Scholar]
- Accardo-Palumbo, A.; Ferrante, A.; Cadelo, M.; Ciccia, F.; Parrinello, G.; Lipari, L.; Giardina, A.; Riili, M.; Giardina, E.; Dieli, F. The level of soluble granzyme A is elevated in the plasma and in the Vg9/Vd2 T cell culture supernatants of patients with active Behcet’s disease. Clin. Exp. Rheumatol. 2004, 22, S45–S49. [Google Scholar]
- Döhner, H.; Estey, E.H.; Amadori, S.; Appelbaum, F.R.; Büchner, T.; Burnett, A.K.; Dombret, H.; Fenaux, P.; Grimwade, D.; Larson, R.A.; et al. Diagnosis and management of acute myeloid leukemia in adults: Recommendations from an international expert panel, on behalf of the European LeukemiaNet. Blood 2010, 115, 453–474. [Google Scholar] [CrossRef]
- Kufner, S.; Zitzelsberger, H.; Kroell, T.; Pelka-Fleischer, R.; Salem, A.; De Valle, F.; Schweiger, C.; Nuessler, V.; Schmid, C.; Kolb, H.J.; et al. Leukemia-Derived Dendritic Cells can be Generated from Blood or Bone Marrow Cells from Patients with Acute Myeloid Leukaemia: A Methodological Approach under Serum-Free Culture Conditions. Scand. J. Immunol. 2005, 62, 86–98. [Google Scholar] [CrossRef]
- Willasch, A.; Eing, S.; Weber, G.; Kuçi, S.; Schneider, G.; Soerensen, J.; Jarisch, A.; Rettinger, E.; Koehl, U.; Klingebiel, T.; et al. Enrichment of cell subpopulations applying automated MACS technique: Purity, recovery and applicability for PCR-based chimerism analysis. Bone Marrow Transplant. 2010, 45, 181–189. [Google Scholar] [CrossRef] [PubMed]
- Betts, M.R.; Koup, R.A. Detection of T-Cell Degranulation: CD107a and b. In Methods in Cell Biology; Academic Press: Cambridge, MA, USA, 2004; Volume 75, pp. 497–512. [Google Scholar]
- Lobb, R.J.; Becker, M.; Wen Wen, S.; Wong, C.S.F.; Wiegmans, A.P.; Leimgruber, A.; Möller, A. Optimized exosome isolation protocol for cell culture supernatant and human plasma. J. Extracell. Vesicles 2015, 4, 27031. [Google Scholar] [CrossRef]
- Koczulla, A.R.; Hattesohl, A.; Biller, H.; Hofbauer, J.; Hohlfeld, J.; Oeser, C.; Gessner, C.; Vogelmeier, C.; Baumbach, J.I.; Wirtz, H.; et al. Krankheiten erriechen? Eine kurze Übersicht über elektronische Nasen. Pneumologie 2011, 65, 401–405. [Google Scholar] [CrossRef] [PubMed]
- Greulich, T.; Hattesohl, A.; Grabisch, A.; Koepke, J.; Schmid, S.; Noeske, S.; Nell, C.; Wencker, M.; Jörres, R.A.; Vogelmeier, C.F.; et al. Detection of obstructive sleep apnoea by an electronic nose. Eur. Respir. J. 2013, 42, 145–155. [Google Scholar] [CrossRef] [PubMed]
- Lewis, N.S. Comparisons between mammalian and artificial olfaction based on arrays of carbon black− polymer composite vapor detectors. Acc. Chem. Res. 2004, 37, 663–672. [Google Scholar] [CrossRef] [PubMed]
- Hirn Lopez, A.; Deen, D.; Fischer, Z.; Rabe, A.; Ansprenger, C.; Stein, K.; Vogt, V.; Schick, J.; Kroell, T.; Kraemer, D.; et al. Role of Interferon (IFN)a in ´Cocktails´ for the Generation of (Leukemia-derived) Dendritic Cells (DCleu) From Blasts in Blood From Patients (pts) With Acute Myeloid Leukemia (AML) and the Induction of Antileukemic Reactions. J. Immunother. 2019, 42, 143–161. [Google Scholar] [CrossRef]
- Plett, C.; Klauer, L.K.; Amberger, D.C.; Ugur, S.; Rabe, A.; Fischer, Z.; Deen, D.; Hirn-Lopez, A.; Gunsilius, C.; Werner, J.-O.; et al. Immunomodulatory kits generating leukaemia derived dendritic cells do not induce blast proliferation ex vivo: IPO-38 as a novel marker to quantify proliferating blasts in acute myeloid leukaemia. Clin. Immunol. 2022, 242, 109083. [Google Scholar] [CrossRef]
- Martínez-Lostao, L.; Anel, A.; Pardo, J. How Do Cytotoxic Lymphocytes Kill Cancer Cells? Clin. Cancer Res. 2015, 21, 5047–5056. [Google Scholar] [CrossRef]
- Koczulla, R.; Hattesohl, A.; Biller, H.; Hofbauer, J.; Hohlfeld, J.; Oeser, C.; Wirtz, H.; Jörres, R. Vergleich von vier baugleichen elektronischen Nasen und drei Messaufbauten. Pneumologie 2011, 65, 465–470. [Google Scholar] [CrossRef]
- Oster, W.; Cicco, N.A.; Klein, H.; Hirano, T.; Kishimoto, T.; Lindemann, A.; Mertelsmann, R.H.; Herrmann, F. Participation of the cytokines interleukin 6, tumor necrosis factor-alpha, and interleukin 1-beta secreted by acute myelogenous leukemia blasts in autocrine and paracrine leukemia growth control. J. Clin. Investig. 1989, 84, 451–457. [Google Scholar] [CrossRef]
- Segura, E.; Amigorena, S.; Théry, C. Mature dendritic cells secrete exosomes with strong ability to induce antigen-specific effector immune responses. Blood Cells Mol. Dis. 2005, 35, 89–93. [Google Scholar] [CrossRef] [PubMed]












| Name of Subgroups | Abbreviation of Subgroups | Surface Marker | Referred to | Abbreviation | Reference | ||
|---|---|---|---|---|---|---|---|
| Blast cells | Blasts | BLA | BLA, e.g., CD34+, CD117+ | WB (whole blood) | BLA/WB | [16] | |
| Proliferating blasts | BLAprol-CD71 | BLA+DC-CD71+ | BLA | BLAprol-CD71/BLA | [17] | ||
| Proliferating blasts | BLAprol-IPO38 | BLA+DC-IPO38+ | BLA | BLAprol-IPO38/BLA | [6] | ||
| Monocytoid cells | CD14+ monocytes | Mon | CD14+ | WB | Mon/WB | [18] | |
| Proliferating CD14+ monocytes | Monprol-CD71 | CD14+DC-CD71+ | CD14+ | Monprol-CD71/Mon | [9] | ||
| Proliferating CD14+ monocytes | Monprol-IPO38 | CD14+DC-IPO38+ | CD14+ | Monprol-IPO38/Mon | [9] | ||
| Dendritic cells | Dendritic cells | DC | DC+, e.g., CD80+, CD206+ | WB | DC/WB | [16] | |
| Leukemia-derived DC | DCleu | DC+BLA+ | WB or DC or BLA | DCleu/WB DCleu/BLA | [16] | ||
| Mature migratory DC | DCmat | DC+CD197+ | WB or DC | DCmat/WB DCmat/DC | [18] | ||
| Mature migratory DCleu | DCleu-mat | DC+BLA+CD197+ | WB or DC or DCleu oder DCmat or BLA | DCleu-mat/WB DCleu-mat/DC DCleu-mat/BLA | [18] | ||
| B lymphocytes | CD19+ B cells | Bcell | CD19+ | lymphocytes | Bcell/cells | [19] | |
| T lymphocytes | CD3+ pan T cells | CD3+ | CD3+ | lymphocytes | CD3+/cells | [8] | |
| CD4+ coexpressing T cells | TCD4+ | CD3+CD4+ | CD3+ | TCD4+/CD3+ | [8] | ||
| CD8+ coexpressing T cells | TCD4− | CD3+CD4− | CD3+ | TCD4−/CD3+ | [8] | ||
| Naive T cells | Tnaive TnaiveCD4+ TnaiveCD4− | CD3+CD45RO− CD3+CD45RO-CD4+ CD3+CD45RO-CD4− | CD3+ or TCD4+ or TCD4− | Tnaive/CD3+ TnaiveCD4+/TCD4+ TnaiveCD4−/TCD4− | [12] | ||
| Adaptive immune system | Non-naive T cells | Tnon-naive Tnon-naiveCD4+ Tnon-naiveCD4− | CD3+CD45RO+ CD3+CD45RO+CD4+ CD3+CD45RO+CD4− | CD3+ or TCD4+ or TCD4− | Tnon-naive/CD3+ Tnon-naiveCD4+/TCD4+ Tnon-naiveCD4−/TCD4− | [12] | |
| Central memory T cells | Tcm TcmCD4+ TcmCD4− | CD3+CD45RO+CD197+ CD3+CD45RO+CD197+CD4+ CD3+CD45RO+CD197+CD4− | CD3+ or TCD4+ or TCD4− | Tcm/CD3+ TcmCD4+/TCD4+ TcmCD4−/TCD4− | [12] | ||
| Effector memory T cells | Tem/eff Tem/effCD4+ Tem/effCD4− | CD3+CD45RO+CD197− CD3+CD45RO+CD197-CD4+ CD3+CD45RO+CD197-CD4− | CD3+ or TCD4+ or TCD4− | Tem/eff/CD3+ Tem/effCD4+/TCD4+ Tem/effCD4−/TCD4− | [12] | ||
| Proliferating T cells, early | Tprol-early | CD3+CD69+ | CD3+ | Tprol-early/CD3+ | [12] | ||
| Proliferating T cells, late | Tprol-late | CD3+CD71+ | CD3+ | Tprol-late/CD3+ | [12] | ||
| Leukemia-specific cells | |||||||
| B lymphocyte cells | CD19+ B cellsleu | Bcell107a+ | CD19+CD107a+ | Bcell | Bcell107a+/Bcell | ||
| T lymphocyte cells | CD3+ pan T cellsleu | CD3+107a+ CD3+INFy+ CD3+TNFa+ CD3+INFy+TNFa+ | CD3+CD107a+ CD3+INFy+ CD3+TNFa+ CD3+INFy+TNFa+ | CD3+ CD3+ CD3+ CD3+ | CD3+107a+/CD3+ CD3+INFy+/CD3+ CD3+TNFa+/CD3+ CD3+INFy+TNFa+/CD3+ | [20] [12] | |
| CD4+ coexpressing T cellsleu | TCD4+107a+ TCD4+INFy+ TCD4+TNFa+ TCD4+INFy+TNFa+ | CD3+CD4+CD107a+ CD3+CD4+INFy+ CD3+CD4+TNFa+ CD3+CD4+INFy+TNFa+ | TCD4+ TCD4+ TCD4+ TCD4+ | TCD4+107a+/TCD4+ TCD4+INFy+/TCD4+ TCD4+TNFa+/TCD4+ TCD4+INFy+TNFa+/TCD4+ | [20] [12] | ||
| Adaptive immune system | CD8+ coexpressing T cellsleu | TCD4107a+ TCD4−INFy+ TCD4−TNFa+ TCD4−INFy+TNFa+ | CD3+CD4−CD107a+ CD3+CD4−INFy+ CD3+CD4−TNFa+ CD3+CD4−INFy+TNFa+ | TCD4− TCD4− TCD4− TCD4− | TCD4−107a+/TCD4− TCD4−INFy+/TCD4− TCD4−TNFa+/TCD4− TCD4−INFy+TNFa+/TCD4− | [20] [12] | |
| Naive T cellsleu | Tnaive107a+ Tnaive INFy+ | CD3+CD45RO-CD107a+ CD3+CD45-INFy+ | Tnaive Tnaive | Tnaive107a+/Tnaive Tnaive INFy+/Tnaive | [20] [12] | ||
| Non-naive T cellsleu | Tnon-naive107a+ Tnon-naive INFy+ | CD3+CD45RO+CD107a+ CD3+CD45RO+INFy+ | Tnon-naïve Tnon-naive | Tnon-naive107a+/Tnon-naive Tnon-naïve INFy+/Tnon-naive | [20] [12] | ||
| Central memory T cellsleu | Tcm107a+ Tcm INFy+ | CD3+CD45RO+CD197+CD107a+ CD3+CD45RO+CD197+INFy+ | Tcm Tcm | Tcm107a+/Tcm Tcm INFy+/Tcm | [20] [12] | ||
| Effector memory T cellsleu | Tem/eff107a+ Tem/eff INFy+ | CD3+CD45RO+CD197-CD107a+ CD3+CD45Ro+CD197+INFy+ | Tem/eff Tem/eff | Tem/eff107a+/Tem/eff Tem/eff INFy+/Tem/eff | [20] [12] | ||
| Innate | Cytokine-induced killer cells | CD3+CD56+ CIK cellsleu | CIKcell107a+ CIKcellINFy+ CIKcellTNFa+ CIKcellINFy+TNFa+ | CD3+CD56+CD107a+ CD3+CD56+INFy+ CD3+CD56+TNFa+ CD3+CD56+INFy+TNFa+ | CIKcell CIKcell CIKcell CIKcell | CIKcell107a+/CIKcell CIKcellINFy+/CIKcell CIKcellTNFa+/CIKcell CIKcellINFy+TNFa+/CIKcell | [20] [12] |
| Immune system | Natural killer cells | CD3-CD56+ NK cellsleu | NKcell107a+ NKcellINFy+ NKcellTNFa+ NKcellINFy+TNFa+ | CD3-CD56+CD107a+ CD3-CD56+INFy+ CD3-CD56+TNFa+ CD3-CD56+INFy+TNFa+ | NKcell NKcell NKcell NKcell | NKcell107a+/NKcell NKcellINFy+/NKcell NKcellTNFa+/NKcell NKcellINFy+TNFa+/NKcell | [20] [12] |
| Invariant natural killer T cells | 6B11+ iNKT cellsleu | iNKTcell107+ | 6B11+CD107a+ | NKcell | iNKTcell107a+/NKcell | [20] | |
| CD3+ coexpressing 6B11+ iNKT cellsleu | iNKTcellCD3+107a+ | 6B11+CD3+CD107a+ | NKcell | iNKTcellCD3+107a+ /NKcell | [20] | ||
| CD56+ coexpressing 6B11+ iNKT cellsleu | iNKTcellCD56+107a+ | 6B11+CD56+CD107a+ | NKcell | iNKTcellCD56+107a+/NKcell | [20] |
| FAB/WHO Classification * | Stage | Patient | Age at Diagn. | Sex | ELN Risk Stratification | Blasts Phenotype (CD) | Blast in PB (%) ** | WBC in PB (/nl) * | PLT in PB (/nl) * | Hemoglobin in PB (g/dl) * | Conducted Cell Biological Experiments | Sources for VOC Analyses (Supernatant-Derived VOCs) |
|---|---|---|---|---|---|---|---|---|---|---|---|---|
| pAML | First diagnosis | P1567 | 98 | f | very unfavourable | 34,117,15,65 | 16 | 7.96 | 12 | 8.3 | DC, MLC, CTX, Deg, InCyt | Serum, DCD0 M/0, DCDE M, DCDE 0 |
| pAML/M5 | P1572 | 63 | f | very unfavourable | 34,117,65,33,13 | 12 | 1.87 | 77 | 9.4 | DC, MLC, CTX, Deg, InCyt | Serum, DCD0 M/0, DCDE M/0, MLCD0 M/0, MLCDE M/0 | |
| pAML/M6 | P1573 | 61 | m | unfavourable | 34,117,65,13,71 | 13 | 3.8 | 19 | 7.7 | DC, MLC, CTX, Deg, InCyt | Serum, DCD0 M/0, DCDE M/0, MLCD0 M/0, MLCDE M/0 | |
| pAML/M4 | P1581 | 56 | m | unfavourable | 34,117,33,13,15 | 58 | 31.4 | 21 | 8.3 | DC, MLC, CTX, Deg, InCyt | Serum, DCD0 M/0, DCDE M/0, MLCD0 M/0, MLCDE M/0 | |
| pAML/M3 | P1602 | 67 | m | favourable | 117,34,33,13,56 | 16 | 3.4 | 162 | 9.1 | DC, MLC, CTX | Serum, DCD0 M/0, DCDE M/0, MLCD0 M/0, MLCDE M/0 | |
| sAML | P1604 | 60 | f | intermediate | 117,34,13,33,65,7 | 16 | 0.21 | 16 | 6 | DC, MLC, CTX, Deg, InCyt | Serum, DCD0 M/0, DCDE M/0, MLCD0 M/0, MLCDE M/0 | |
| pAML/M4 | P1630 | 29 | m | favourable | 34,117,13,33,15,64 | 16 | 24.56 | 117 | 14.5 | DC, MLC, CTX, Deg, InCyt | Serum, DCD0 M/0, DCDE M/0, MLCD0 M/0, MLCDE M/0 | |
| pAML/M2 | P1635 | 51 | m | intermediate | 34,117,15,33 | 25 | 0.6 | 53 | 7.6 | DC, MLC, Deg, InCyt | Serum, DCD0 M/0 | |
| pAML | P1638 | 68 | m | unfavourable | 34,117,33,13,56,4,71 | 60 | 9.8 | 20 | 7.9 | DC, MLC, CTX, Deg, InCyt | Serum, DCD0 M/0, DCDE M/0, MLCD0 M/0, MLCDE M/0 | |
| pAML/M4 | Persisting | P1594 | 70 | f | favourable | 34,117,65,33,13 | 11 | 1.32 | 232 | 11.9 | DC, MLC, CTX, Deg, InCyt | Serum, DCD0 M/0, DCDE M/0, MLCD0 M/0 |
| pAML | disease | P1595 | 50 | f | intermediate | 34,117,65,13,33,56 | 15 | 3 | 43 | 7.4 | DC, MLC, CTX | Serum, DCD0 M/0, DCDE M/0, MLCD0 M/0, MLCDE M/0 |
| sAML | P1597 | 83 | f | intermediate | 117,56,34,15,65,33 | 54 | 88.6 | 41 | 11.3 | DC, MLC, CTX, Deg, InCyt | Serum, DCD0 M, DCDE M/0 | |
| pAML | P1603 | 32 | f | unfavourable | 34,117,15,33 | 50 | 0.71 | 25 | 6 | DC, MLC, CTX, Deg, InCyt | Serum, DCD0 M/0, DCDE M/0, MLCD0 M/0, MLCDE M/0 | |
| pAML | P1616 | 69 | f | intermediate | 34,117,33 | 16 | 1.01 | 86 | 9.1 | - | Serum, DCD0 M/0, DCDE M/0, MLCD0 M/0, MLCDE M/0 | |
| sAML | Relapse after | P1598 | 61 | f | 117,34,33,13 | 25 | 19.6 | 15 | 8.3 | DC, MLC, CTX, Deg, InCyt | Serum, MLCD0 M/0, MLCDE M/0 | |
| pAML/M4 | stem cell | P1599 | 71 | f | 34,117,33,7,13 | 79 | 54.8 | 180 | 9.2 | DC, MLC, CTX, Deg | Serum, DCD0 M/0, DCDE M/0, MLCD0 M/0, MLCDE M/0 | |
| pAML | transplantation | P1632 | 56 | f | 34,13,65,33,56,117 | 65 | 21.73 | 40 | 14.1 | DC, MLC, CTX, Deg, InCyt | Serum, DCD0 M/0, DCDE M/0, MLCD0 M/0, MLCDE M/0 | |
| Healthy | P1566 | 54 | f | DC, MLC, Deg, InCyt | Serum, DCD0 M/0, DCDE M/0, MLCD0 M/0, MLCDE M/0 | |||||||
| P1579 | 30 | m | DC, MLC, Deg, InCyt | Serum, DCD0 M/0, DCDE M/0, MLCD0 M/0, MLCDE M/0 | ||||||||
| P1580 | 24 | f | DC, MLC, Deg, InCyt | Serum, DCD0 M/0, DCDE M/0, MLCD0 M/0, MLCDE M/0 | ||||||||
| P1582 | 27 | m | DC, MLC, Deg, InCyt | Serum, DCD0 M/0, DCDE M/0, MLCD0 M/0, MLCDE M/0 | ||||||||
| P1583 | 28 | m | DC, MLC, Deg, InCyt | Serum, DCD0 M/0, DCDE M/0, MLCD0 M/0, MLCDE M/0 | ||||||||
| P1585 | 29 | m | DC, MLC, Deg, InCyt | Serum, DCD0 M/0, DCDE M/0, MLCD0 M/0, MLCDE M/0 | ||||||||
| P1586 | 29 | m | DC, MLC | Serum, DCDE M/0, MLCD0 M/0, MLCDE M/0 | ||||||||
| P1590 | 23 | f | DC, MLC | Serum, DCD0 M/0, DCDE M/0, MLCD0 M/0, MLCDE M/0 | ||||||||
| P1592 | 58 | f | DC, MLC, Deg, InCyt | Serum, DCD0 M/0, DCDE M/0, MLCD0 M/0, MLCDE M/0 | ||||||||
| P1596 | 26 | m | DC, MLC | Serum, DCD0 M/0, DCDE M/0, MLCD0 M/0, MLCDE M/0 | ||||||||
| P1611 | 27 | f | DC, MLC, Deg, InCyt | Serum, DCD0 M/0, DCDE M/0, MLCD0 M/0, MLCDE M/0 | ||||||||
| P1613 | 24 | f | DC, MLC, Deg, InCyt | Serum, DCD0 M/0, DCDE M/0, MLCD0 M/0, MLCDE M/0 | ||||||||
| P1636 | 22 | m | DC, MLC, Deg, InCyt | Serum, DCD0 M/0, DCDE M/0, MLCD0 M/0, MLCDE M/0 | ||||||||
| P1637 | 22 | f | DC, MLC, Deg, InCyt | Serum, DCD0 M/0, DCDE M/0, MLCD0 M/0, MLCDE M/0 |
Disclaimer/Publisher’s Note: The statements, opinions and data contained in all publications are solely those of the individual author(s) and contributor(s) and not of MDPI and/or the editor(s). MDPI and/or the editor(s) disclaim responsibility for any injury to people or property resulting from any ideas, methods, instructions or products referred to in the content. |
© 2023 by the authors. Licensee MDPI, Basel, Switzerland. This article is an open access article distributed under the terms and conditions of the Creative Commons Attribution (CC BY) license (https://creativecommons.org/licenses/by/4.0/).
Share and Cite
Baudrexler, T.; Boeselt, T.; Li, L.; Bohlscheid, S.; Boas, U.; Schmid, C.; Rank, A.; Schmohl, J.; Koczulla, R.; Schmetzer, H.M. Volatile Phases Derived from Serum, DC, or MLC Culture Supernatants to Deduce a VOC-Based Diagnostic Profiling Strategy for Leukemic Diseases. Biomolecules 2023, 13, 989. https://doi.org/10.3390/biom13060989
Baudrexler T, Boeselt T, Li L, Bohlscheid S, Boas U, Schmid C, Rank A, Schmohl J, Koczulla R, Schmetzer HM. Volatile Phases Derived from Serum, DC, or MLC Culture Supernatants to Deduce a VOC-Based Diagnostic Profiling Strategy for Leukemic Diseases. Biomolecules. 2023; 13(6):989. https://doi.org/10.3390/biom13060989
Chicago/Turabian StyleBaudrexler, Tobias, Tobias Boeselt, Lin Li, Sophia Bohlscheid, Ursel Boas, Christoph Schmid, Andreas Rank, Jörg Schmohl, Rembert Koczulla, and Helga Maria Schmetzer. 2023. "Volatile Phases Derived from Serum, DC, or MLC Culture Supernatants to Deduce a VOC-Based Diagnostic Profiling Strategy for Leukemic Diseases" Biomolecules 13, no. 6: 989. https://doi.org/10.3390/biom13060989
APA StyleBaudrexler, T., Boeselt, T., Li, L., Bohlscheid, S., Boas, U., Schmid, C., Rank, A., Schmohl, J., Koczulla, R., & Schmetzer, H. M. (2023). Volatile Phases Derived from Serum, DC, or MLC Culture Supernatants to Deduce a VOC-Based Diagnostic Profiling Strategy for Leukemic Diseases. Biomolecules, 13(6), 989. https://doi.org/10.3390/biom13060989

