Abstract
Background: Allopregnanolone is one of the most studied neuroactive steroids; yet, despite its relevance to neuropsychiatric research, it is not known how it, as well as its ratio to progesterone, varies across all six subphases of the menstrual cycle. Two enzymes—5α-dihydroprogesterone and 5α-reductase—convert progesterone to allopregnanolone, and, based on immunohistochemical studies in rodents, the activity of 5α-reductase is considered the rate-limiting step in the formation of allopregnanolone. It is not clear, however, whether the same phenomenon is observed across to the menstrual cycle, and, if so, at what point this takes place. Methods: Thirty-seven women completed the study during which they attended eight clinic visits across one menstrual cycle. We analyzed their allopregnanolone and progesterone serum concentrations using ultraperformance liquid chromatography–tandem mass spectrometry, and we implemented a validated method to realign the data from the original eight clinic study visits, following which we imputed the missing data. Hence, we characterized allopregnanolone concentrations, and the ratio of allopregnanolone:progesterone at six menstrual cycle subphases: (1) early follicular, (2) mid-follicular, (3) periovulatory, (4) early luteal, (5) mid-luteal, and (6) late luteal. Results: There were significant differences in allopregnanolone levels between (1) early follicular and early luteal, (2) early follicular and mid-luteal, (3) mid-follicular and mid-luteal, (4) periovulatory and mid-luteal, and (5) mid-luteal and late luteal. We detected a sharp drop in allopregnanolone:progesterone ratio in the early luteal subphase. Within the luteal subphase, the ratio was the lowest in the mid-luteal subphase. Conclusions: Allopregnanolone concentrations are the most distinct, relative to the other subphases, in the mid-luteal subphase. The shape of the allopregnanolone trajectory across the cycle is similar to that of progesterone; however, the proportion of the two neuroactive steroid hormones is drastically different due to enzymatic saturation, which takes place at the start of the early luteal subphase, but continuing through, and peaking, in the mid-luteal subphase. Hence, the estimated activity of 5α-reductase decreases, but does not cease, at any point across the menstrual cycle.
1. Introduction
3α-hydroxy-5α-pregnan-20-one, or allopregnanolone, is one of the most studied neuroactive steroids. It was identified in 1938 [1], with the most recent major event in 2019 involving the Food and Drug Administration (FDA) approval of Zulresso (brexanolone)—an analog of allopregnanolone—intravenous injection for the treatment of postpartum depression (PPD) in adult women.
Allopregnanolone is synthesized from progesterone in two steps (Figure 1). First, 5α- and 5β-reductases convert progesterone to 5α-dihydroprogesterone (5α-DHP) and 5β-dihydroprogesterone (5β-DHP), respectively, following which 3α-hydroxysteroid dehydrogenase (3α-HSD) converts 5α-DHP and 5β-DHP to allopregnanolone and pregnanolone, respectively [2,3]. Which pregnanedione (5α- or 5β-) is a substrate for 5α-HSD has not been specifically examined to date, but the process is presumably related to the differential tissue distribution of 5α-DHP or 5β-DHP, which is, in turn, determined by differential expression profiles of the steroidogenic enzymes 5α- and 5β-reductases [4].
Figure 1.
Biochemical pathways for the synthesis of allopregnanolone and pregnanolone.
The activity of 5α-reductase is considered the rate-limiting step in the conversion from progesterone to allopregnanolone [5,6]. This is based on the results of immunohistochemical studies showing that the allopregnanolone decrease in corticolimbic areas [7,8,9] is related to a decreased expression of 5α-reductase [8,10,11]. Whether, and when, this occurs in the menstrual cycle is not clear, and, importantly, whether the estimated activity of 5α-reductase ceases at any point of the menstrual cycle is not known. The activity of 5α-reductase is estimated in the present study since it is not directly involved in the formation of allopregnanolone from progesterone (Figure 1).
Throughout decades of research, in human and animal models, allopregnanolone was evaluated for its potent gamma aminobutyric acid A (GABAA) receptor allosteric modulatory effects, and shown to modulate several neuropsychiatric conditions [12,13]. Nonetheless, some of the most fundamental questions related to endogenous allopregnanolone trajectories remain unanswered. For example, it is not known how allopregnanolone, as well as the ratio of allopregnanolone to progesterone, vary across the entire menstrual cycle; that is, the six subphases of the menstrual cycle: (1) early follicular, (2) mid-follicular, (3) periovulatory, (4) early luteal, (5) mid-luteal, and (6) late luteal. Given its potent effects on the GABAA receptor, understanding allopregnanolone variability across the entire menstrual cycle has clinical relevance to conditions such as epilepsy [14] and premenstrual dysphoric disorder [15]. The assessment of changes in the ratio of allopregnanolone to progesterone approximates the activity of 5α-reductase in the conversion from progesterone to allopregnanolone, thereby broadening our understanding of enzymatic mechanisms regulating allopregnanolone production.
The study of menstrual-cycle trajectories is complicated by the fact that menstrual-cycle duration varies both within and between women [16]. Hence, it is now known when study participants should be scheduled to attend the study visits corresponding to the six menstrual cycle subphases that capture distinct changes in the circulating sex hormone (estradiol and progesterone) levels. An accurate method for dealing with this complexity was developed and validated in the BioCycle study—designed to evaluate associations between endogenous hormones across the menstrual cycle and oxidative stress, inflammation, and metabolic biomarkers in premenopausal women [17]. It involves collecting data from eight clinic visits at the estimated menstrual cycle subphases—early follicular, mid-follicular, periovulatory (three visits to capture the short-lived serum luteinizing hormone (LH) peak), early luteal, mid-luteal, and late luteal. Data are then first realigned post hoc based on the periovulatory LH peak, and imputed to account for the missing data resulting from the realignment [17]. The protocol is implemented in lieu of the daily specimen collection, which is impractical and costly.
We implemented this refined method for staging menstrual cycle subphases, and analyzed allopregnanolone and progesterone using mass spectrometry, which is preferable to immunoassay technology because it more precisely recognizes similar structures [18,19,20], to clarify the changes of allopregnanolone and the enzymatic activity involved in its synthesis across the entire menstrual cycle.
2. Materials and Methods
2.1. Study Design
A detailed description of the study is published in [21]. In summary, we enrolled reproductive-age women to participate in the Premenstrual Hormonal and Affective State Evaluation (PHASE) project, which contains two sub-studies; attendance at eight menstrual-cycle clinic visits across the menstrual cycle, and participation in the Trier social stress test in the mid-late luteal subphase of the menstrual cycle. The present publication summarizes allopregnanolone and progesterone data from the eight clinic visits. PHASE is a registered clinicaltrials.gov (accessed on 9 February 2023) study (NCT03862469).
2.2. Study Sample
In PHASE, we enrolled women who did not use illicit drugs, did not smoke, and were not heavy alcohol drinkers, who were between the ages of 18 to 35 and had regular cycles lasting between 21 and 35 days [19], and who were not on any prescription medications and did not have a current anxiety or depression disorder assessed by the Structured Clinical Interview for DSM Disorders (SCID). Detailed study inclusion/exclusion criteria are published in [21].
2.3. Study Procedures
Study participants used the Clearblue urine tests to self-test urinary luteinizing hormone peak [22]. This self-testing was not for fertility purposes; we implemented this procedure to guide the scheduling of study visits in the last menstrual cycle (last paragraph in this section).
On a daily basis, study participants uploaded the result screenshot of the Clearblue app into REDCap. We monitored the adherence to the daily urine LH testing procedure, which is very important for the capturing of the short-lived LH surge [23]. In the event a participant missed one daily test, the research coordinator contacted her to resolve any potential issues, and to ask the participant to complete the procedure in a timelier manner.
As part of the study protocol [21], study participants attended eight clinic visits [17] (Table S1), at which, among other measures, we collected serum samples for the purpose of analyzing allopregnanolone and progesterone levels.
2.4. Sample Analysis
2.4.1. Progesterone and Allopregnanolone
The analyses of progesterone and allopregnanolone were performed by the Mass Spectrometry Core in the Research Resources Center of the University of Illinois at Chicago. The limits of detection of allopregnanolone and progesterone ranged from 5 to 25 pg and 0.5 to 1.5 pg, respectively. The lower limit of quantification of allopregnanolone and progesterone ranged from 25 to 50 pg and 1.5 to 2.5 pg, respectively. Each calibration standard’s accuracy was within the acceptable range of 15%. The recovery of allopregnanolone and progesterone was assessed for quality-control samples at three levels (low, mid, and high) during the initial method development. For allopregnanolone, recovery of 75 pg, 300 pg, and 600 pg was 99.8%, 101.1%, and 105.6%, respectively. For progesterone, recovery of 7.5 pg, 20 pg, and 40 pg was 93.5%, 110.1%, and 95.8%, respectively. Allopregnanolone and allopregnanolone-D4 internal standards were supplied by Steraloids (Newport, RI, USA). Progesterone and Progesterone-D9 internal standards were supplied by Cerilliant (Round Rock, TX, USA).
2.4.2. Luteinizing Hormone
Luteinizing hormone assays were performed by CLIA-certified ARUP Laboratories (Salt Lake City, UT, USA) using a quantitative electrochemiluminescent immunoassay [24,25]. During the first incubation, 20 μL of specimen was used to form a sandwich complex. The limit of detection of LH is 0.3 mIU/mL and the lower limit of quantification of LH is 1 mIU/mL. In validation studies performed by ARUP Laboratories, mean recovery percentage of LH was 102.0 ± 2.5, intra-assay coefficient of variation values were all 0.5%, and inter-assay coefficient of variation values ranged from 0.9% to 1.5%.
2.5. Power and Data Analyses
We conducted a power analysis to test the hypothesis for one independent group mean against the null hypothesis using a two-tailed test, a medium effect size (d = 0.50), and an alpha of 0.05. Results showed that a total sample of 32 participants was required to achieve a power of 0.80.
We proceeded with completing all study analyses using the R software [26]. To ensure that study participants were aligned to the same biological window, we first realigned the visit data as outlined in the Biocycle study [17]. We considered LH surge to have occurred when serum LH value reached 14.0 IU/L or greater [24]. We then log-transformed the data, following which we implemented the multiple imputation methodology [27] to deal with the missing data. We created 10 datasets using the mice package in R [28], and conditioned on age, race, body mass index, and adjacent hormone measurements [17]. We conducted pairwise comparisons of all timepoints for both the realigned and imputed data, and we used the false discovery rate (FDR) to correct for multiple comparisons.
3. Results
3.1. Study Sample, Realignment, and Imputation Results
Allopregnanolone concentrations were analyzed for two participants in a separate batch. Those values were returned as being on average between 5 and 10 times (depending on the timepoint) the values of the remaining study participants analyzed in batches separate from that run. Hence, the data from those two participants was considered a lab error and excluded from the analysis. The analyzable dataset, hence, constituted 35 participants, out of the 37 participants who completed the study.
Of the remaining 35 participants, 5 had anovulatory cycles confirmed by the absence of a progesterone value ≥ 5 ng/mL [17]. As our analytical approach ensured a confirmed ovulatory cycle, the analysis was, therefore, completed on 30 study participants. Mid-cycle (periovulatory) LH levels (>14.0 IU/L) [24] were captured in 23 study participants. The serum LH mean and standard deviation levels for the 23 participants with detectable peak LH were 34.24 and 14.88, respectively. For those 23 participants, the data were realigned as in the Biocycle study (Table S2). The peaks were captured at one of the three periovulatory phase visits (visits 3, 4, or 5) for 18 individuals. Of the remaining participants, 4 participants’ LH peak was captured on visit 6, and 1 participant’s LH peak was captured on visit 7. We realigned the visit data for the 7 participants who did ovulate (based on their luteal progesterone values), but whose LH peak was missed (i.e., undetectable on any of the blood draw visits) on an individual basis, as specified in Mumford et al. [17], and further described in Hamidovic et al. [21].
3.2. Study Participants
The present analysis included 30 participants with ovulatory cycles (Table 1), approximately 26 years old with 40% of the sample consisting of White participants. The participants were on average approximately between the normal and overweight BMI status, with the average age of menarche being approximately 12 years old. We present further details in Table 1.
Table 1.
Demographic and anthropomorphic characteristics of study participants with ovulatory cycle (N = 30).
3.3. Allopregnanolone and Progesterone
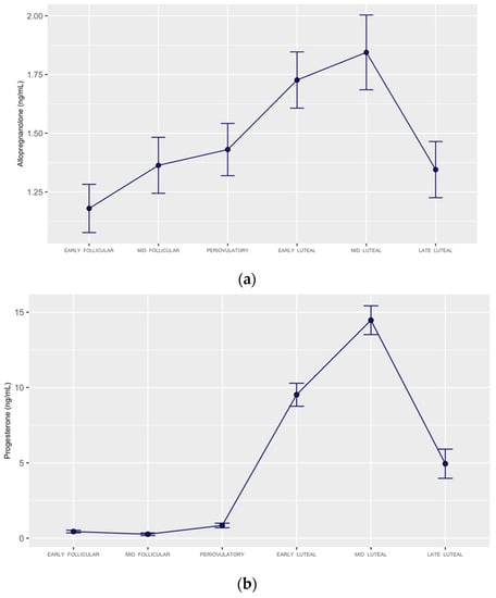
We present the trajectory of allopregnanolone, progesterone, and the ratio as mean and variance at each of the six menstrual cycle subphases in Figure 2a–c, respectively. Results of FDR-corrected pairwise comparisons of the imputed dataset across all the timepoints showed that there were significant differences in allopregnanolone levels between (1) early follicular and early luteal (t-statistic = −4.157; p ≤ 0.01), (2) early follicular and mid-luteal (t-statistic = −4.257; p ≤ 0.01), (3) mid-follicular and mid-luteal (t-statistic = −2.992; p ≤ 0.05), (4) periovulatory and mid-luteal (t-statistic = −2.502; p ≤ 0.05), and (5) mid-luteal and late luteal (t-statistic = 3.704; p ≤ 0.05) (Table 2). These five differences, and no additional ones, were also detected as statistically significant in the realigned data pairwise comparisons (Table 2). Figure 3a shows the original, realigned, and imputed allopregnanolone trajectories across the menstrual cycle. Results of FDR-corrected pairwise comparisons for progesterone are presented in Table S3, and visually depicted in Figure 3b.

Figure 2.
Allopregnanolone (a), progesterone (b), and allopregnanolone:progesterone ratio (c) mean and variance (SEM; presented as error bars) at each of the six subphases of the menstrual cycle.
Table 2.
Allopregnanolone subphase comparisons.

Figure 3.
Circulating mean concentration changes for allopregnanolone (a), progesterone (b), and allopregnanolone: progesterone ratio (c) across the menstrual cycle from the original, shifted (realigned), and imputed datasets.
3.4. Ratio of Allopregnanolone to Progesterone
The most significant differences of the ratio were between (1) early follicular and mid-luteal (t-statistic = 23.709; p ≤ 0.001), (2) mid-follicular and mid-luteal (t-statistic = 19.535; p ≤ 0.001), followed by (3) early follicular and early luteal (t-statistic = 17.201; p ≤ 0.001), and (4) mid-follicular and early luteal (t-statistic = 15.967; p ≤ 0.001). The difference between early luteal and mid-luteal was statistically significant (t-statistic = 3.686, p ≤ 0.01). The trajectories of the original, realigned, and imputed data across the menstrual cycle for the ratio are represented in Figure 3c. Results of FDR-corrected pairwise comparisons for the ratio are presented in Table 3.
Table 3.
Allopregnanolone: progesterone ratio subphase comparisons.
4. Discussion
The results of the present study show that allopregnanolone levels gradually increase from the start of the menstrual cycle through the mid-luteal subphase and dropping rapidly between the mid- and late luteal subphases. However, unlike its precursor progesterone, allopregnanolone mostly plateaus between the early and mid-luteal subphases as there are no significant differences in allopregnanolone levels between these two subphases. Nonetheless, mid-luteal allopregnanolone is still significantly higher relative to four other subphases, whereas early luteal allopregnanolone is only significantly higher than the early follicular allopregnanolone. Allopregnanolone:progesterone ratio is variable throughout the menstrual cycle, with the largest drop at the early luteal subphase, when progesterone levels rise rapidly. This likely reflects the notion that 5α-reductase already becomes saturated in the early luteal subphase. However, the enzymatic activity in the formation of allopregnanolone continues through the mid-luteal subphase, as allopregnanolone still forms, albeit at a far slower pace relative to progesterone.
Allopregnanolone is considered a highly potent positive modulator of GABAA, enhancing both tonic and phasic GABAA–dependent inhibitory currents [29,30]. Hence, the neuroactive steroid hormone is associated with a number of neuropsychiatric, immune, and cardiometabolic conditions [13]. Female-limited epilepsy, for example, presents as a condition of low allopregnanolone levels, which is linked to seizure development [31]. The present study outlines the premenstrual trajectory of allopregnanolone in healthy reproductive-age women, which may serve as a future contrast of relevance to premenstrual conditions affected by circulating allopregnanolone. Perimenstrual catamenial epilepsy, the cyclical occurrence of seizure exacerbations near the time of menstruation, has been considered to be related to allopregnanolone withdrawal, which may impair GABAergic inhibition. The role of allopregnanolone in catamenial epilepsy, however, seems more complicated and not only dependent on circulating allopregnanolone levels. Herzog et al. [32] conducted a large-scale phase 3 clinical trial based on the premise that maintaining high allopregnanolone levels during the perimenstrual period would alleviate seizure frequency. However, in this trial, progesterone replacement therapy was not different than placebo [32]. A later study showed that the mid-luteal rise in progesterone, in fact, activates progesterone receptors and enhances excitatory neurotransmission, which would be counterbalanced in the menstrual cycle as long as high allopregnanolone levels maintain the GABAergic neurotransmission. Hence, progesterone treatment may have an anticonvulsant action through allopregnanolone, and a slower excitatory action that occurs following the activation of progesterone receptors and worsens seizures [33]. The present study clarifies the trajectory of allopregnanolone and the estimated 5-alpha reductase enzymatic activity involved in the formation of allopregnanolone across the menstrual cycle, which may be informative for numerous conditions, including different forms of epilepsy, associated with allopregnanolone levels, its biological effects, and the biological effects of 5-alpha reductase [13].
We identified significant differences in allopregnanolone concentrations between early follicular and early luteal, but four additional differences relative to the mid-luteal allopregnanolone (i.e., contrasted against early follicular, mid-follicular, periovulatory, and late luteal). We interpret this to mean that allopregnanolone starts to peak in the early luteal subphase but that the peak is reached in the mid-luteal subphase. However, this peak is proportionally much smaller than that of progesterone, which reaches its distinctive peak in the mid-luteal subphase, with the difference between the early and mid-luteal subphase highly significant (p ≤ 0.001) as shown in Table S3.
A previous study [34] examined the levels of allopregnanolone and progesterone on days 1–7, 13–16, and 20–23 in 10 premenopausal women. The authors selected these days to reflect the follicular phase, mid-cycle phase, and luteal phase. They showed that allopregnanolone levels significantly increased from the follicular to the luteal phase (p = 0.02). However, since luteinizing hormone was not measured, the boundary between periovulatory and luteal phase may have been misaligned. Moreover, the calendar method (i.e., definition of the luteal phase as days 20–23) may have reflected mid-, or late luteal subphase. Hence, the study [34] may have averaged out high allopregnanolone levels identified in the present study in the mid-luteal subphase, and the low levels of the late luteal subphase.
The results of the present study must be interpreted with caution due to a small sample size of 30 participants with a confirmed ovulatory cycle, which had to be kept at a minimum given the current cost of the mass spectrometry analysis. However, a study sample size must be considered against possible sources of bias in the study population. In the present study, important sources of bias were removed as our study population, among other study criteria, was free of prescription and illicit drug intake, and did not smoke or consume large amounts of alcohol, which may distort circulating hormone levels across the cycle [35]. The strengths of our study include the implementation of the mass spectrometry methodology, which is the gold standard for steroid hormone measurement, and the realignment of study participants to the same biological window (i.e., subphase). Therefore, the present study generated a comprehensive dataset of high quality. Finally, we did not directly measure the activity of 5α-reductase. Such evaluation would require measurements of 5α-dihydroprogesterone. Instead, we relied on the literature demonstrating that the activity of 5α-reductase is a rate-limiting step in the conversion from progesterone to allopregnanolone [5,6]. Hence, our analysis approximates the activity of the rate-limiting enzyme 5α-reductase.
The current analysis improves the methodology of studying neuroactive steroid hormone trajectories across the menstrual cycle and outlines subphase differences in circulating allopregnanolone and allopregnanolone:progesterone ratio in reproductive-age women. This work advances our understanding of allopregnanolone trajectory and approximates the 5α-reductase activity across the entire menstrual cycle, which holds relevance in women’s health research.
Supplementary Materials
The following supporting information can be downloaded at: https://www.mdpi.com/article/10.3390/biom13040652/s1, Table S1. Algorithm to schedule clinic visits (in days) based on average self-reported cycle length in the BioCycle Study [17]; Table S2. Algorithm for aligning the day of the luteinizing hormone [22] surge (visit 4) on the standardized LH surge visit (O2) (based on the Biocycle study, [17]); Table S3. Progesterone subphase comparisons
Author Contributions
A.H. designed the study, analyzed study data, and wrote the initial and final manuscript versions; A.D. analyzed study data; J.D., F.S. and A.N. assisted with funding, manuscript writing, preparation, and submission. All authors have read and agreed to the published version of the manuscript.
Funding
This research was funded by National Institute of Mental Health/National Institutes of Health, grant number R21MH119642.
Institutional Review Board Statement
The study was conducted in accordance with the Declaration of Helsinki, and approved by the Institutional Review Board of The Office for the Protection of Research Subjects (OPRS) at University of Illinois at Chicago (protocol code 2018-1533 and 1 December 2018).
Informed Consent Statement
Informed consent was obtained from all subjects involved in the study.
Data Availability Statement
The data presented in this study are available by request from the corresponding author. The data are not publicly available to preserve scientific integrity of research methodology.
Acknowledgments
We would like to thank the participants who provided the data for this research study.
Conflicts of Interest
The authors declare no conflict of interest.
References
- Beall, D.; Reichstein, T. Isolation of Progesterone and Allopregnanolone from the Adrenal. Nature 1938, 142, 479. [Google Scholar] [CrossRef]
- King, S. Neurosteroids and the Nervous System; Springer: New York, NY, USA, 2013. [Google Scholar]
- Agís-Balboa, R.C.; Pinna, G.; Zhubi, A.; Maloku, E.; Veldic, M.; Costa, E.; Guidotti, A. Characterization of brain neurons that express enzymes mediating neurosteroid biosynthesis. Proc. Natl. Acad. Sci. USA 2006, 103, 14602–14607. [Google Scholar] [CrossRef] [PubMed]
- Mensah-Nyagan, A.G.; Do-Rego, J.L.; Beaujean, D.; Luu-The, V.; Pelletier, G.; Vaudry, H. Neurosteroids: Expression of steroidogenic enzymes and regulation of steroid biosynthesis in the central nervous system. Pharmacol. Rev. 1999, 51, 63–81. [Google Scholar]
- Do Rego, J.L.; Seong, J.Y.; Burel, D.; Leprince, J.; Luu-The, V.; Tsutsui, K.; Tonon, M.C.; Pelletier, G.; Vaudry, H. Neurosteroid biosynthesis: Enzymatic pathways and neuroendocrine regulation by neurotransmitters and neuropeptides. Front. Neuroendocrinol. 2009, 30, 259–301. [Google Scholar] [CrossRef]
- Cai, H.; Zhou, X.; Dougherty, G.G.; Reddy, R.D.; Haas, G.L.; Montrose, D.M.; Keshavan, M.; Yao, J.K. Pregnenolone-progesterone-allopregnanolone pathway as a potential therapeutic target in first-episode antipsychotic-naïve patients with schizophrenia. Psychoneuroendocrinology 2018, 90, 43–51. [Google Scholar] [CrossRef]
- Dong, E.; Matsumoto, K.; Uzunova, V.; Sugaya, I.; Takahata, H.; Nomura, H.; Watanabe, H.; Costa, E.; Guidotti, A. Brain 5alpha-dihydroprogesterone and allopregnanolone synthesis in a mouse model of protracted social isolation. Proc. Natl. Acad. Sci. USA 2001, 98, 2849–2854. [Google Scholar] [CrossRef]
- Agís-Balboa, R.C.; Pinna, G.; Pibiri, F.; Kadriu, B.; Costa, E.; Guidotti, A. Down-regulation of neurosteroid biosynthesis in corticolimbic circuits mediates social isolation-induced behavior in mice. Proc. Natl. Acad. Sci. USA 2007, 104, 18736–18741. [Google Scholar] [CrossRef]
- Pinna, G.; Agis-Balboa, R.C.; Pibiri, F.; Nelson, M.; Guidotti, A.; Costa, E. Neurosteroid biosynthesis regulates sexually dimorphic fear and aggressive behavior in mice. Neurochem. Res. 2008, 33, 1990–2007. [Google Scholar] [CrossRef]
- Bortolato, M.; Devoto, P.; Roncada, P.; Frau, R.; Flore, G.; Saba, P.; Pistritto, G.; Soggiu, A.; Pisanu, S.; Zappala, A.; et al. Isolation rearing-induced reduction of brain 5α-reductase expression: Relevance to dopaminergic impairments. Neuropharmacology 2011, 60, 1301–1308. [Google Scholar] [CrossRef] [PubMed]
- Follesa, P.; Serra, M.; Cagetti, E.; Pisu, M.G.; Porta, S.; Floris, S.; Massa, F.; Sanna, E.; Biggio, G. Allopregnanolone synthesis in cerebellar granule cells: Roles in regulation of GABA(A) receptor expression and function during progesterone treatment and withdrawal. Mol. Pharmacol. 2000, 57, 1262–1270. [Google Scholar] [PubMed]
- Bäckström, T.; Bixo, M.; Johansson, M.; Nyberg, S.; Ossewaarde, L.; Ragagnin, G.; Savic, I.; Strömberg, J.; Timby, E.; van Broekhoven, F.; et al. Allopregnanolone and mood disorders. Prog. Neurobiol. 2014, 113, 88–94. [Google Scholar] [CrossRef] [PubMed]
- Diviccaro, S.; Cioffi, L.; Falvo, E.; Giatti, S.; Melcangi, R.C. Allopregnanolone: An overview on its synthesis and effects. J. Neuroendocrinol. 2022, 34, e12996. [Google Scholar] [CrossRef] [PubMed]
- Herzog, A.G.; Frye, C.A. Allopregnanolone levels and seizure frequency in progesterone-treated women with epilepsy. Neurology 2014, 83, 345–348. [Google Scholar] [CrossRef] [PubMed]
- Martinez, P.E.; Rubinow, D.R.; Nieman, L.K.; Koziol, D.E.; Morrow, A.L.; Schiller, C.E.; Cintron, D.; Thompson, K.D.; Khine, K.K.; Schmidt, P.J. 5α-Reductase Inhibition Prevents the Luteal Phase Increase in Plasma Allopregnanolone Levels and Mitigates Symptoms in Women with Premenstrual Dysphoric Disorder. Neuropsychopharmacology 2016, 41, 1093–1102. [Google Scholar] [CrossRef]
- Howards, P.P.; Schisterman, E.F.; Wactawski-Wende, J.; Reschke, J.E.; Frazer, A.A.; Hovey, K.M. Timing clinic visits to phases of the menstrual cycle by using a fertility monitor: The BioCycle Study. Am. J. Epidemiol. 2009, 169, 105–112. [Google Scholar] [CrossRef]
- Mumford, S.; Schisterman, E.F.; Gaskins, A.J.; Pollack, A.Z.; Perkins, N.J.; Whitcomb, B.W.; Ye, A.; Wactawski-Wende, J. Realign ment and multiple imputation of longitudinal data: An application to menstrual cycle data. Paediatr. Perinat. Epidemiol. 2011, 25, 448–459. [Google Scholar] [CrossRef]
- Taylor, A.E.; Keevil, B.; Huhtaniemi, I.T. Mass spectrometry and immunoassay: How to measure steroid hormones today and tomorrow. Eur. J. Endocrinol. 2015, 173, D1–D12. [Google Scholar] [CrossRef]
- Sohda, S.; Suzuki, K.; Igari, I. Relationship Between the Menstrual Cycle and Timing of Ovulation Revealed by New Protocols: Analysis of Data from a Self-Tracking Health App. J. Med. Internet Res. 2017, 19, e391. [Google Scholar] [CrossRef]
- Ney, L.J.; Felmingham, K.L.; Bruno, R.; Matthews, A.; Nichols, D.S. Simultaneous quantification of endocannabinoids, oleoylethanolamide and steroid hormones in human plasma and saliva. J. Chromatogr. B 2020, 1152, 122252. [Google Scholar] [CrossRef]
- Hamidovic, A.; Soumare, F.; Naveed, A.; Davis, J.; Sun, J.; Dang, N. Reduced Dehydroepiandrosterone-Sulfate Levels in the Mid-Luteal Subphase of the Menstrual Cycle: Implications to Women’s Health Research. Metabolites 2022, 12, 941. [Google Scholar] [CrossRef]
- Kirschbaum, C.; Pirke, K.M.; Hellhammer, D.H. The ‘Trier Social Stress Test’—A tool for investigating psychobiological stress responses in a laboratory setting. Neuropsychobiology 1993, 28, 76–81. [Google Scholar] [CrossRef]
- Leiva, R.A.; Bouchard, T.P.; Abdullah, S.H.; Ecochard, R. Urinary Luteinizing Hormone Tests: Which Concentration Threshold Best Predicts Ovulation? Front. Public Health 2017, 5, 320. [Google Scholar] [CrossRef] [PubMed]
- ARUP Laboratories. Luteinizing Hormone, Serum: ARUP Laboratories Test Directory. Available online: https://ltd.aruplab.com/Tests/Pub/0070093 (accessed on 15 September 2022).
- Roche Diagnostics GmbH. Elecsys LH Assay; Roche Diagnostics GmbH: Indianapolis, IN, USA, 2020. [Google Scholar]
- R Core Team. R: A Language and Environment for Statistical Computing (Version 4.2.2); R Foundation for Statistical Computing: Vienna, Austria, 2019; Available online: https://www.R-project.org (accessed on 15 November 2022).
- Van Buuren, S.; Brand, J.P.L.; Groothuis-Oudshoorn, C.G.M.; Rubin, D.B. Fully conditional specification in multivariate imputation. J. Stat. Comput. Simul. 2006, 76, 1049–1064. [Google Scholar] [CrossRef]
- Van Buuren, S.; Groothuis-Oudshoorn, K. Mice: Multivariate Imputation by Chained Equations in R. J. Stat. Softw. 2011, 45, 1–67. [Google Scholar] [CrossRef]
- Biagini, G.; Panuccio, G.; Avoli, M. Neurosteroids and epilepsy. Curr. Opin. Neurol. 2010, 23, 170–176. [Google Scholar] [CrossRef]
- Belelli, D.; Lambert, J.J. Neurosteroids: Endogenous regulators of the GABA(A) receptor. Nat. Rev. Neurosci. 2005, 6, 565–575. [Google Scholar] [CrossRef]
- Tan, C.; Shard, C.; Ranieri, E.; Hynes, K.; Pham, D.H.; Leach, D.; Buchanan, G.; Corbett, M.; Shoubridge, C.; Kumar, R.; et al. Mutations of protocadherin 19 in female epilepsy (PCDH19-FE) lead to allopregnanolone deficiency. Hum. Mol. Genet. 2015, 24, 5250–5259. [Google Scholar] [CrossRef]
- Herzog, A.G. Catamenial epilepsy: Update on prevalence, pathophysiology and treatment from the findings of the NIH Progesterone Treatment Trial. Seizure 2015, 28, 18–25. [Google Scholar] [CrossRef] [PubMed]
- Joshi, S.; Sun, H.; Rajasekaran, K.; Williamson, J.; Perez-Reyes, E.; Kapur, J. A novel therapeutic approach for treatment of catamenial epilepsy. Neurobiol. Dis. 2018, 111, 127–137. [Google Scholar] [CrossRef]
- Kimball, A.; Dichtel, L.E.; Nyer, M.B.; Mischoulon, D.; Fisher, L.B.; Cusin, C.; Dording, C.M.; Trinh, N.H.; Yeung, A.; Haines, M.S.; et al. The allopregnanolone to progesterone ratio across the menstrual cycle and in menopause. Psychoneuroendocrinology 2020, 112, 104512. [Google Scholar] [CrossRef]
- Dušková, M.; Simůnková, K.; Hill, M.; Velíková, M.; Kubátová, J.; Kancheva, L.; Kazihnitková, H.; Hruškovičová, H.; Pospíšilová, H.; Rácz, B.; et al. Chronic cigarette smoking alters circulating sex hormones and neuroactive steroids in premenopausal women. Physiol. Res. 2012, 61, 97–111. [Google Scholar] [CrossRef] [PubMed]
Disclaimer/Publisher’s Note: The statements, opinions and data contained in all publications are solely those of the individual author(s) and contributor(s) and not of MDPI and/or the editor(s). MDPI and/or the editor(s) disclaim responsibility for any injury to people or property resulting from any ideas, methods, instructions or products referred to in the content. |
© 2023 by the authors. Licensee MDPI, Basel, Switzerland. This article is an open access article distributed under the terms and conditions of the Creative Commons Attribution (CC BY) license (https://creativecommons.org/licenses/by/4.0/).




