Intensification of Biophenols Extraction Yield from Olive Pomace Using Innovative Green Technologies
Abstract
1. Introduction
2. Materials and Methods
2.1. Raw Material
2.2. Chemicals
2.3. Methods
2.3.1. Computational Method: COSMO-RS Software
- xj: solubility of j;
- μjpure: chemical potential of pure compound j;
- μjsolvent: chemical potential of j at infinite dilution;
- ΔGj,fusion: free energy of fusion of j.
2.3.2. Conventional Extraction Method
2.4. Intensification of Extraction Methods
2.4.1. Accelerated Solvent Extraction
2.4.2. Ultrasonic Assisted Extraction Probe
2.4.3. Ultrasonic Assisted Extraction Bath
2.4.4. Microwave Assisted Extraction
2.4.5. Bead Milling Extraction
2.5. Analytical Procedures
2.5.1. Determination of Total Phenolic Content (TPC)
2.5.2. UPLC Analysis
2.6. Statistical Analysis
3. Results and Discussion
3.1. Theoretical Solubilities: COSMO-RS Calculations
3.2. Maceration
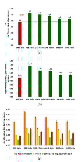
3.3. Intensification
3.4. Comprehension of Mechanism
4. Conclusions
Author Contributions
Funding
Institutional Review Board Statement
Informed Consent Statement
Data Availability Statement
Conflicts of Interest
References
- Aberg, C.M.; Chen, T.; Olumide, A.; Raghavan, S.R.; Payne, G.F. Enzymatic grafting of peptides from casein hydrolysate to chitosan. Potential for value-added byproducts from food-processing wastes. J. Agric. Food Chem. 2004, 52, 788–793. [Google Scholar] [CrossRef] [PubMed]
- Alu’datt, M.H.; Alli, I.; Ereifej, K.; Alhamad, M.; Al-Tawaha, A.R.; Rababah, T. Optimisation, characterisation and quantification of phenolic compounds in olive cake. Food Chem. 2010, 123, 117–122. [Google Scholar] [CrossRef]
- Bhatnagar, A.; Kaczala, F.; Hogland, W.; Marques, M.; Paraskeva, C.A.; Papadakis, V.G.; Sillanpää, M. Valorization of solid waste products from olive oil industry as potential adsorbents for water pollution control—A review. Environ. Sci. Pollut. Res. 2014, 21, 268–298. [Google Scholar] [CrossRef] [PubMed]
- Cecchi, L.; Migliorini, M.; Zanoni, B.; Breschi, C.; Mulinacci, N. An effective HPLC-based approach for the evaluation of the content of total phenolic compounds transferred from olives to virgin olive oil during the olive milling process. J. Sci. Food Agric. 2018, 98, 3636–3643. [Google Scholar] [CrossRef] [PubMed]
- Ciriminna, R.; Meneguzzo, F.; Fidalgo, A.; Ilharco, L.M.; Pagliaro, M. Extraction, benefits and valorization of olive polyphenols. Eur. J. Lipid Sci. Technol. 2016, 118, 503–511. [Google Scholar] [CrossRef]
- Visioli, F.; Bernardini, E. Extra virgin olive oil’s polyphenols: Biological activities. Curr. Pharm. Des. 2011, 17, 786–804. [Google Scholar] [CrossRef]
- Giordano, E.; Dangles, O.; Rakotomanomana, N.; Baracchini, S.; Visioli, F. 3-O-Hydroxytyrosol glucuronide and 4-O-hydroxytyrosol glucuronide reduce endoplasmic reticulum stress in vitro. Food Funct. 2015, 6, 3275–3281. [Google Scholar] [CrossRef]
- Tomé-Carneiro, J.; Visioli, F. Polyphenol-based nutraceuticals for the prevention and treatment of cardiovascular disease: Review of human evidence. Phytomedicine 2016, 23, 1145–1174. [Google Scholar] [CrossRef]
- Mnafgui, K.; Khlif, I.; Hajji, R.; Derbali, F.; Kraiem, F.; Ellefi, H.; Michel, T.; Halabalaki, M.; Skaltsounis, A.L.; Elfeki, A.; et al. Preventive effects of oleuropein against cardiac remodeling after myocardial infarction in Wistar rat through inhibiting angiotensin-converting enzyme activity. Toxicol. Mech. Methods 2015, 25, 538–546. [Google Scholar] [CrossRef]
- Mnafgui, K.; Hajji, R.; Derbali, F.; Khlif, I.; Kraiem, F.; Ellefi, H.; Elfeki, A.; Allouche, N.; Gharsallah, N. Protective effect of hydroxytyrosol against cardiac remodeling after isoproterenol-induced myocardial infarction in rat. Cardiovasc. Toxicol. 2016, 16, 147–155. [Google Scholar] [CrossRef]
- Mnafgui, K.; Ghazouani, L.; Hajji, R.; Tlili, A.; Derbali, F.; da Silva, F.I.; Araújo, J.L.; de Oliveira Schinoff, B.; Ruggiero Bachega, J.F. Oleuropein protects against cerebral ischemia injury in rats: Molecular docking, biochemical and histological findings. Neurochem. Res. 2021, 46, 2131–2142. [Google Scholar] [CrossRef] [PubMed]
- Ben Saad, A.; Tiss, M.; Keskes, H.; Chaari, A.; Sakavitsi, M.E.; Hamden, K.; Halabalaki, M.; Allouche, N. Antihyperlipidemic, antihyperglycemic, and liver function protection of Olea europaea var. meski stone and seed extracts: LC-ESI-HRMS-based composition analysis. J. Diabetes Res. 2021, 2021, 6659415. [Google Scholar] [CrossRef] [PubMed]
- Ghorbel, A.; Wedel, S.; Kallel, I.; Cavinato, M.; Sakavitsi, M.E.; Fakhfakh, J.; Halabalaki, M.; Jansen-Dürr, P.; Allouche, N. Extraction yield optimization of oleaster (Olea europaea var. sylvestris) fruits using response surface methodology, LC/MS profiling and evaluation of its effects on antioxidant activity and autophagy in HFF cells. J. Food Meas. Charact. 2021, 15, 4946–4959. [Google Scholar] [CrossRef]
- Durling, N.E.; Catchpole, O.J.; Grey, J.B.; Webby, R.F.; Mitchell, K.A.; Foo, L.Y.; Perry, N.B. Extraction of phenolics and essential oil from dried sage (Salvia officinalis) using ethanol-water mixtures. Food Chem. 2007, 101, 1417–1424. [Google Scholar] [CrossRef]
- Čepo, D.V.; Albahari, P.; Končić, M.Z.; Radić, K. Solvent extraction and chromatographic determination of polyphenols in olive pomace. Food Health Dis. 2017, 6, 7–14. Available online: https://www.researchgate.net/publication/319752053, (accessed on 24 November 2022).
- Barros, F.; Dykes, L.; Awika, J.M.; Rooney, L.W. Accelerated solvent extraction of phenolic compounds from sorghum brans. J. Cereal Sci. 2013, 58, 305–312. [Google Scholar] [CrossRef]
- Lim, K.J.A.; Cabajar, A.A.; Lobarbio, C.F.Y.; Taboada, E.B.; Lacks, D.J. Extraction of bioactive compounds from mango (Mangifera indica L. var. Carabao) seed kernel with ethanol–water binary solvent systems. J. Food Sci. Technol. 2019, 56, 2536–2544. [Google Scholar] [CrossRef] [PubMed]
- Nawaz, H.; Shi, J.; Mittal, G.S.; Kakuda, Y. Extraction of polyphenols from grape seeds and concentration by ultrafiltration. Sep. Purif. Technol. 2006, 48, 176–181. [Google Scholar] [CrossRef]
- Wang, J.; Sun, B.; Cao, Y.; Tian, Y.; Li, X. Optimisation of ultrasound-assisted extraction of phenolic compounds from wheat bran. Food Chem. 2008, 106, 804–810. [Google Scholar] [CrossRef]
- Shi, J.; Yu, J.; Bryan, M.; Wu, Y. Optimization of the extraction of polyphenols from grape seed meal by aqueous ethanol solution post-harvest processing of peanut and wheat products to reduce inherent allergens view project effects of enzymatic allergen reducing process on nutritional quality, sensory attributes and storage stability of peanuts view project. Food Agric. Environ. 2002, 1, 42–47. Available online: www.world-food.net (accessed on 24 November 2021).
- Repajić, M.; Cegledič, E.; Kruk, V.; Sandra, P.; Cinar, F.; Bursać Kovačević, D.; Zutic, I.; Dragović-Uzelac, V. Accelerated solvent extraction as a green tool for the recovery of polyphenols and pigments fromwild nettle leaves. Processes 2020, 8, 803. [Google Scholar] [CrossRef]
- Ahmad, R.; Ahmad, N.; Aljamea, A.; Abuthayn, S.; Aqeel, M. Evaluation of solvent and temperature effect on green accelerated solvent extraction (ASE) and UHPLC quantification of phenolics in fresh olive fruit (Olea europaea). Food Chem. 2021, 342, 128248. [Google Scholar] [CrossRef] [PubMed]
- Li, Y.; Fabiano-Tixier, A.S.; Tomao, V.; Cravotto, G.; Chemat, F. Green ultrasound-assisted extraction of carotenoids based on the bio-refinery concept using sunflower oil as an alternative solvent. Ultrason. Sonochem. 2013, 20, 12–18. [Google Scholar] [CrossRef] [PubMed]
- Chemat, F.; Rombaut, N.; Sicaire, A.G.; Meullemiestre, A.; Fabiano-Tixier, A.S.; Abert-Vian, M. Ultrasound assisted extraction of food and natural products. Mechanisms, techniques, combinations, protocols and applications. A review. Ultrason. Sonochem. 2017, 34, 540–560. [Google Scholar] [CrossRef] [PubMed]
- Vernès, L.; Vian, M.; Chemat, F. Ultrasound and microwave as green tools for solid-liquid extraction. In Liquid-Phase Extraction; Elsevier: Amsterdam, The Netherlands, 2019; pp. 355–374. [Google Scholar] [CrossRef]
- Klamt, A.; Jonas, V.; Bürger, T.; Lohrenz, J.C.W. Refinement and parametrization of COSMO-RS. J. Phys. Chem. A 1998, 102, 5074–5085. [Google Scholar] [CrossRef]
- Malapert, A.; Reboul, E.; Loonis, M.; Dangles, O.; Tomao, V. Direct and rapid profiling of biophenols in olive pomace by UHPLC-DAD-MS. Food Anal. Methods 2018, 11, 1001–1010. [Google Scholar] [CrossRef]
- Box, J.D. Investigation of the Folin-Ciocalteau phenol reagent for the determination of polyphenolic substances in natural waters. Water Res. 1983, 17, 511–525. [Google Scholar] [CrossRef]
- Odabaş, H.İ.; Koca, I. Application of response surface methodology for optimizing the recovery of phenolic compounds from hazelnut skin using different extraction methods. Ind. Crops Prod. 2016, 91, 114–124. [Google Scholar] [CrossRef]
- Zengin, G.; Cvetanović, A.; Gašić, U.; Stupar, A.; Bulut, G.; Senkardes, I.; Dogan, A.; Sinan, K.I.; Uysal, S.; Aumeeruddy-Elalfi, Z.; et al. Modern and traditional extraction techniques affect chemical composition and bioactivity of Tanacetum parthenium (L.) Sch.Bip. Ind. Crops Prod. 2020, 146, 112202. [Google Scholar] [CrossRef]
- Richter, B.E.; Jones, B.A.; Ezzell, J.L.; Porter, N.L.; Avdalovic, N.; Pohl, C. Accelerated solvent extraction: Atechnique for sample preparation. Anal. Chem. 1996, 68, 1033–1039. [Google Scholar] [CrossRef]
- Jamalabadi, M.; Saremnezhad, S.; Bahrami, A.; Mahdi, S. The influence of bath and probe sonication on the physicochemical and microstructural properties of wheat starch. Food Sci. Nutr. 2019, 7, 2427–2435. [Google Scholar] [CrossRef] [PubMed]
- Montalescot, V.; Rinaldi, T.; Touchard, R.; Jubeau, S.; Frappart, M.; Jaouen, P.; Bourseau, P.; Marchal, L. Bioresource technology optimization of bead milling parameters for the cell disruption of microalgae: Process modeling and application to Porphyridium cruentum and Nannochloropsis oculata. Bioresour. Technol. 2015, 196, 339–346. [Google Scholar] [CrossRef] [PubMed]










| Plant Matrix | Components of Interest | Optimum Conditions | Process | Observations | Ref. |
|---|---|---|---|---|---|
| Common sage | rosmarinic acid, carnosic acid | 55–75% EtOH T°: 40 °C Solvent-to-sage ratio 6:1 (v/w) | CM | The highest rate of phenolics obtained was 6.9% of rosmarinic acid and 10.6% carnosic acid). | [14] |
| Olive pomace | hydroxytyrosol, tyrosol and oleuropein | 60% EtOH T°: 70 °C solvent to sample ratio 5:1 (v/w). | CM | The use of 60% ethanol (instead of 40%) slightly increased the TPC values (3.62 mg GAE/g). | [15] |
| Sorghum brans | phenolic compounds | 50 and 70% EtOH T°: 120 °C and 150 °C: 120 °C and 150 °C | ASE | The total phenols at 150 °C were similar to those obtained at 120 °C when aqueous ethanol (50 and 70%) was used (45 mg GAE/g). | [16] |
| Mango seeds | gallic acid, caffeic acid, rutin | 50% EtOH T°: ambiant | CM | The ethanol–water binary solvent system had the highest TPC (101.68 mg GAE/g). | [17] |
| Grape seeds | phenolic compounds | 50% EtOH solvent to sample ratio 5:1 (v/w) | CM | Under these conditions, the maximum recovery of polyphenols was 11.4% of the total weight of grape seeds. | [18] |
| Wheat bran | phenolic compounds | 64% EtOH T°: 60 °C 25 min of extraction | UAE | The highest amounts of phenolic content (3.12 mg GAE/g) can be recovered under these conditions. | [19] |
| Grape seeds meal | gallic acid, catechin, epicatechin, epicatechin gallate and procyanidin | 50% EtOH T°: 65 °C double stage extraction liquid to solid ratio of 7.5:1 (v/w) | CM | These conditions were considered the best procedure for the extraction of phenolics from ground grape seed meal (1866 mg/kg). | [20] |
| Wild nettle leaves | hydroxyl-cinnamic acids, flavonoids | 96% EtOH T°: 110 °C 10 min of extraction 3 or 4 cycles | ASE | ASE achieved the highest yields of analyzed compounds with chlorogenic acid (248.49 mg/100 g dm). | [21] |
| Fresh olive fruit | gallic acid, quercetin luteolin, rutin | Water T°: 100 °C | ASE | The best recovery of phenolics was obtained in water (130 mg/g) in a short time (19.5 min). | [22] |
| Fresh carrots | carotenoids | Sunflower oil T: 40 °C solvent to sample ratio 5:1 (v/w) 20 min of sonication | UAE | In only 20 min, the UAE using sunflower as a solvent achieved the highest yield of β-carotene (334.75 mg/L). | [23] |
| Quantified Phenolic Compound | Mean ± SD at 20 °C | Mean ± SD at 50 °C | p Value |
|---|---|---|---|
| 3-hydroxytyrosol (10−2 mg/g DOP *) | 39.0 ± 1.9 | 57.7 ± 0.3 | Ps ≤ 0.001 |
| Tyrosol (10−2 mg/g DOP *) | 23.4 ± 1.0 | 27.9 ± 0.7 | Ps = 0.003 |
| caffeic acid (10−2 mg/g DOP *) | 16.3 ± 0.3 | 15.6 ± 0.4 | Ps = 0.11 |
| p-coumaric acid (10−2 mg/g DOP *) | 20.6 ± 0.5 | 23.5 ± 0.3 | Ps = 0.001 |
Disclaimer/Publisher’s Note: The statements, opinions and data contained in all publications are solely those of the individual author(s) and contributor(s) and not of MDPI and/or the editor(s). MDPI and/or the editor(s) disclaim responsibility for any injury to people or property resulting from any ideas, methods, instructions or products referred to in the content. |
© 2022 by the authors. Licensee MDPI, Basel, Switzerland. This article is an open access article distributed under the terms and conditions of the Creative Commons Attribution (CC BY) license (https://creativecommons.org/licenses/by/4.0/).
Share and Cite
Belghith, Y.; Kallel, I.; Rosa, M.; Stathopoulos, P.; Skaltsounis, L.A.; Allouche, N.; Chemat, F.; Tomao, V. Intensification of Biophenols Extraction Yield from Olive Pomace Using Innovative Green Technologies. Biomolecules 2023, 13, 65. https://doi.org/10.3390/biom13010065
Belghith Y, Kallel I, Rosa M, Stathopoulos P, Skaltsounis LA, Allouche N, Chemat F, Tomao V. Intensification of Biophenols Extraction Yield from Olive Pomace Using Innovative Green Technologies. Biomolecules. 2023; 13(1):65. https://doi.org/10.3390/biom13010065
Chicago/Turabian StyleBelghith, Yosra, Imen Kallel, Maxence Rosa, Panagiotis Stathopoulos, Leandros A. Skaltsounis, Noureddine Allouche, Farid Chemat, and Valérie Tomao. 2023. "Intensification of Biophenols Extraction Yield from Olive Pomace Using Innovative Green Technologies" Biomolecules 13, no. 1: 65. https://doi.org/10.3390/biom13010065
APA StyleBelghith, Y., Kallel, I., Rosa, M., Stathopoulos, P., Skaltsounis, L. A., Allouche, N., Chemat, F., & Tomao, V. (2023). Intensification of Biophenols Extraction Yield from Olive Pomace Using Innovative Green Technologies. Biomolecules, 13(1), 65. https://doi.org/10.3390/biom13010065

