Genetic Variants of Matrix Metalloproteinase and Sepsis: The Need Speed Study
Abstract
1. Introduction
2. Materials and Methods
2.1. Patients and Study Design
2.2. DNA Extraction and Polymorphism Analysis
2.3. Statistical Analysis
3. Results
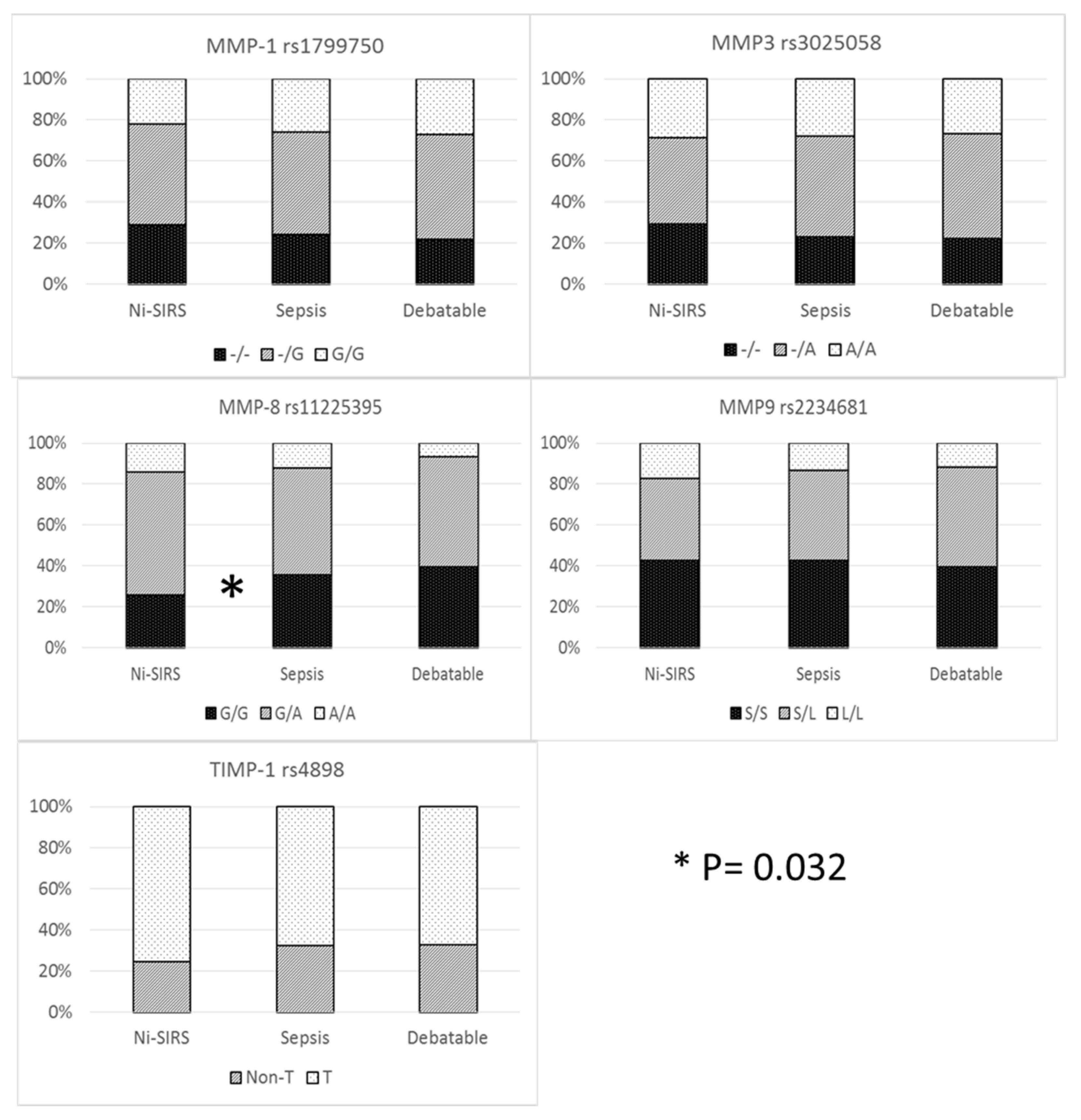
3.1. Population and MMP/TIMP Polymorphism
3.2. MMP/TIMP Genotype and Sepsis Susceptibility
3.3. Clinical Presentation and MMP-8 rs11225395
3.4. Severity and Diagnosis of Patients with Sepsis
3.5. Pathogens and Genetic Variants
3.6. Binary Logistic Regression
4. Discussion
4.1. MMP-8 and Sepsis
4.2. MMP-1 and Intracellular Pathogens
4.3. MMP-3 and Virus Sepsis
4.4. Comments and Limitations
5. Conclusions
Supplementary Materials
Author Contributions
Funding
Institutional Review Board Statement
Informed Consent Statement
Data Availability Statement
Acknowledgments
Conflicts of Interest
References
- Nunnally, M.E.; Ferrer, R.; Martin, G.S.; Martin-Loeches, I.; Machado, F.R.; De Backer, D.; Coopersmith, C.M.; Deutschman, C.S.; Antonelli, M.; Hellman, J.; et al. The Surviving Sepsis Campaign: Research priorities for the administration, epidemiology, scoring and identification of sepsis. Intensiv. Care Med. Exp. 2021, 9, 1–26. [Google Scholar] [CrossRef]
- Elkington, P.T.; O’Kane, C.M.; Friedland, J.S. The paradox of matrix metalloproteinases in infectious disease. Clin. Exp. Immunol. 2005, 142, 12–20. [Google Scholar] [CrossRef] [PubMed]
- Chen, Y.-L.; Li, W.-Y.; Hu, J.-J.; Li, Y.; Liu, G.-M.; Jin, T.-C.; Cao, M.-J. Nucleus-translocated matrix metalloprotease 1 regulates innate immune response in Pacific abalone (Haliotis discus hannai). Fish Shellfish Immunol. 2018, 84, 290–298. [Google Scholar] [CrossRef]
- Nascimento, G.G.; Baelum, V.; Sorsa, T.; Tervahartiala, T.; Skottrup, P.D.; López, R. Salivary levels of MPO, MMP-8 and TIMP-1 are associated with gingival inflammation response patterns during experimental gingivitis. Cytokine 2019, 115, 135–141. [Google Scholar] [CrossRef] [PubMed]
- Ceron, C.S.; Baligand, C.; Joshi, S.; Wanga, S.; Cowley, P.M.; Walker, J.P.; Song, S.H.; Mahimkar, R.; Baker, A.J.; Raffai, R.L.; et al. An intracellular matrix metalloproteinase-2 isoform induces tubular regulated necrosis: Implications for acute kidney injury. Am. J. Physiol. Physiol. 2017, 312, F1166–F1183. [Google Scholar] [CrossRef] [PubMed]
- Bassiouni, W.; Ali, M.A.M.; Schulz, R. Multifunctional intracellular matrix metalloproteinases: Implications in disease. FEBS J. 2021, 288, 7162–7182. [Google Scholar] [CrossRef]
- Madzharova, E.; Kastl, P.; Sabino, F.; Keller, U.A.D. Post-Translational Modification-Dependent Activity of Matrix Metalloproteinases. Int. J. Mol. Sci. 2019, 20, 3077. [Google Scholar] [CrossRef]
- Ricarte-Bratti, J.P.; Brizuela, N.Y.; Jaime-Albarran, N.; Montrull, H.L. IL-6, MMP 3 and prognosis in previously healthy sepsis patients. Rev. Fac. Cien. Med. Univ. Nac. Cordoba 2017, 74, 99–106. [Google Scholar] [CrossRef] [PubMed]
- Lauhio, A.; Hästbacka, J.; Pettilä, V.; Tervahartiala, T.; Karlsson, S.; Varpula, T.; Varpula, M.; Ruokonen, E.; Sorsa, T.; Kolho, E. Serum MMP-8, -9 and TIMP-1 in sepsis: High serum levels of MMP-8 and TIMP-1 are associated with fatal outcome in a multicentre, prospective cohort study. Hypothetical impact of tetracyclines. Pharmacol. Res. 2011, 64, 590–594. [Google Scholar] [CrossRef] [PubMed]
- Martin, G.; Asensi, V.; Montes, A.H.; Collazos, J.; Álvarez, V.A.; Carton, J.A.; Taboada, F.; Valle-Garay, E. Role of plasma matrix-metalloproteases (MMPs) and their polymorphisms (SNPs) in sepsis development and outcome in ICU patients. Sci. Rep. 2014, 4, 5002. [Google Scholar] [CrossRef]
- Fiotti, N.; Altamura, N.; Moretti, M.; Wassermann, S.; Zacchigna, S.; Farra, R.; Dapas, B.; Consoloni, L.; Giacca, M.; Grassi, G.; et al. Short Term Effects of Doxycycline on Matrix Metalloproteinases 2 and 9. Cardiovasc. Drugs Ther. 2008, 23, 153–159. [Google Scholar] [CrossRef]
- Maitra, S.R.; Jacob, A.; Zhou, M.; Wang, P. Modulation of matrix metalloproteinase-9 and tissue inhibitor of matrix metallopro-teinase-1 in sepsis. Int. J. Clin. Exp. Med. 2010, 3, 180–185. [Google Scholar] [PubMed]
- Fingleton, B. Matrix metalloproteinases as regulators of inflammatory processes. Biochim. Biophys. Acta BBA Bioenerg. 2017, 1864, 2036–2042. [Google Scholar] [CrossRef]
- Rutter, J.; Mitchell, T.I.; Butticè, G.; Meyers, J.; Gusella, J.F.; Ozelius, L.J.; Brinckerhoff, C.E. A single nucleotide polymorphism in the matrix metalloproteinase-1 promoter creates an Ets binding site and augments transcription. Cancer Res. 1998, 58, 5321–5325. [Google Scholar] [PubMed]
- Ong, C.; Elkington, P.; Brilha, S.; Ugarte-Gil, C.; Esteban, M.T.T.; Tezera, L.B.; Pabisiak, P.J.; Moores, R.C.; Sathyamoorthy, T.; Patel, V.; et al. Neutrophil-Derived MMP-8 Drives AMPK-Dependent Matrix Destruction in Human Pulmonary Tuberculosis. PLoS Pathog. 2015, 11, e1004917. [Google Scholar] [CrossRef] [PubMed]
- Borghaei, R.C.; Gorski, G.; Javadi, M. NF-κB and ZBP-89 regulate MMP-3 expression via a polymorphic site in the promoter. Biochem. Biophys. Res. Commun. 2009, 382, 269–273. [Google Scholar] [CrossRef]
- Mearelli, F.; Fiotti, N.; Giansante, C.; Casarsa, C.; Orso, D.; De Helmersen, M.; Altamura, N.; Ruscio, M.; Castello, L.M.; Colonetti, E.; et al. Derivation and Validation of a Biomarker-Based Clinical Algorithm to Rule Out Sepsis From Noninfectious Systemic Inflammatory Response Syndrome at Emergency Department Admission. Crit. Care Med. 2018, 46, 1421–1429. [Google Scholar] [CrossRef] [PubMed]
- Mearelli, F.; Barbati, G.; Casarsa, C.; Giansante, C.; Breglia, A.; Spica, A.; Moras, C.; Olivieri, G.; Occhipinti, A.A.; De Nardo, M.; et al. The Integration of qSOFA with Clinical Variables and Serum Biomarkers Improves the Prognostic Value of qSOFA Alone in Patients with Suspected or Confirmed Sepsis at ED Admission. J. Clin. Med. 2020, 9, 1205. [Google Scholar] [CrossRef]
- Levy, M.M.; Fink, M.P.; Marshall, J.C.; Abraham, E.; Angus, D.; Cook, D.; Cohen, J.; Opal, S.M.; Vincent, J.-L.; Ramsay, G. 2001 SCCM/ESICM/ACCP/ATS/SIS International Sepsis Definitions Conference. Intensive Care Med. 2003, 29, 530–538. [Google Scholar] [CrossRef]
- Fiotti, N.; Deiuri, E.; Altamura, N.; De Colle, P.; Moretti, M.; Toigo, G.; Giansante, C. Body composition and muscular strength changes after moderate activity: Association with matrix metalloproteinase polymorphisms. Arch. Gerontol. Geriatr. 2009, 49, 83–94. [Google Scholar] [CrossRef]
- Fiotti, N.; Altamura, N.; Fisicaro, M.; Carraro, N.; Uxa, L.; Grassi, G.; Torelli, L.; Gobbato, R.; Guarnieri, G.; Baxter, B.T.; et al. MMP-9 Microsatellite Polymorphism and Susceptibility to Carotid Arteries Atherosclerosis. Arter. Thromb. Vasc. Biol. 2006, 26, 1330–1336. [Google Scholar] [CrossRef] [PubMed]
- Lorente, L.; Martín, M.; Plasencia, F.; Solé-Violán, J.; Blanquer, J.; Labarta, L.; Díaz, C.; Borreguero-León, J.M.; Jiménez, A.; Páramo, J.A.; et al. The 372 T/C genetic polymorphism of TIMP-1 is associated with serum levels of TIMP-1 and survival in patients with severe sepsis. Crit. Care 2013, 17, R94. [Google Scholar] [CrossRef] [PubMed]
- Solé, X.; Guinó, E.; Valls, J.; Iniesta, R.; Moreno, V. SNPStats: A web tool for the analysis of association studies. Bioinformatics 2006, 22, 1928–1929. [Google Scholar] [CrossRef] [PubMed]
- Culej, J.; Gabaj, N.; Štefanović, M.; Karlović, D. Prediction of schizophrenia using MAOA-uVNTR polymorphism: A case–control study. Indian J. Psychiatry 2020, 62, 80–86. [Google Scholar] [CrossRef] [PubMed]
- Horita, N.; Kaneko, T. Genetic model selection for a case–control study and a meta-analysis. Meta Gene 2015, 5, 1–8. [Google Scholar] [CrossRef]
- Kong, M.Y.; Gaggar, A.; Li, Y.; Winkler, M.; Blalock, J.E.; Clancy, J. Matrix Metalloproteinase Activity in Pediatric Acute Lung Injury. Int. J. Med Sci. 2009, 6, 9–17. [Google Scholar] [CrossRef] [PubMed]
- Fu, Q.; Yu, W.; Fu, S.; Chen, E.; Zhang, S.; Liang, T.-B. Screening and identification of key gene in sepsis development. Medicine 2020, 99, e20759. [Google Scholar] [CrossRef] [PubMed]
- Tester, A.M.; Cox, J.H.; Connor, A.R.; Starr, A.E.; Dean, R.A.; Suarez-Puente, X.; López-Otín, C.; Overall, C.M. LPS Responsiveness and Neutrophil Chemotaxis In Vivo Require PMN MMP-8 Activity. PLoS ONE 2007, 2, e312. [Google Scholar] [CrossRef]
- Quintero, P.A.; Knolle, M.D.; Cala, L.F.; Zhuang, Y.; Owen, C.A. Matrix Metalloproteinase-8 Inactivates Macrophage Inflammatory Protein-1α To Reduce Acute Lung Inflammation and Injury in Mice. J. Immunol. 2009, 184, 1575–1588. [Google Scholar] [CrossRef]
- Bhowmick, M.; Tokmina-Roszyk, D.; Onwuha-Ekpete, L.; Harmon, K.; Robichaud, T.; Fuerst, R.; Stawikowska, R.; Steffensen, B.; Roush, W.; Wong, H.R.; et al. Second Generation Triple-Helical Peptide Inhibitors of Matrix Metalloproteinases. J. Med. Chem. 2017, 60, 3814–3827. [Google Scholar] [CrossRef]
- Djurić, T.; Stanković, A.; Končar, I.; Radak, D.; Davidović, L.; Alavantić, D.; Živković, M. Association of MMP-8 promoter gene polymorphisms with carotid atherosclerosis: Preliminary study. Atherosclerosis 2011, 219, 673–678. [Google Scholar] [CrossRef] [PubMed]
- Pradhan-Palikhe, P.; Pussinen, P.; Vikatmaa, P.; Palikhe, A.; Kivimäki, A.S.; Lepäntalo, M.; Salo, T.; Sorsa, T. Single nucleotide polymorphism –799C/T in matrix metalloproteinase-8 promoter region in arterial disease. Innate Immun. 2011, 18, 511–517. [Google Scholar] [CrossRef] [PubMed]
- Feng, J.; Chen, Y.; Hua, W.; Sun, X.; Chen, Y.; Liu, Y.; Fan, J.; Zhao, Y.; Zhao, L.; Xu, X.; et al. The MMP-8 rs11225395 Promoter Polymorphism Increases Cancer Risk of Non-Asian Populations: Evidence from a Meta-Analysis. Biomolecules 2019, 9, 570. [Google Scholar] [CrossRef]
- Tai, J.; Sun, D.; Wang, X.; Kang, Z. Matrix metalloproteinase-8 rs11225395 polymorphism correlates with colorectal cancer risk and survival in a Chinese Han population: A case-control study. Aging 2020, 12, 19618–19627. [Google Scholar] [CrossRef] [PubMed]
- Li, W.; Wang, X.; Tian, Y.; Xu, L.; Zhang, L.; Shi, D.; Feng, X.; Lu, R.; Meng, H. A novel multi-locus genetic risk score identifies patients with higher risk of generalized aggressive periodontitis. J. Periodontol. 2019, 91, 925–932. [Google Scholar] [CrossRef]
- Park, H.S.; Ko, K.H.; Kim, J.O.; An, H.J.; Kim, Y.R.; Kim, J.H.; Lee, W.S.; Kim, N.K. Association Study between the Polymorphisms of Matrix Metalloproteinase (MMP) Genes and Idiopathic Recurrent Pregnancy Loss. Genes 2019, 10, 347. [Google Scholar] [CrossRef]
- Collazos, J.; Asensi, V.; Martin, G.; Montes, A.H.; Suárez-Zarracina, T.; Valle-Garay, E. The effect of gender and genetic polymor-phisms on matrix metalloprotease (MMP) and tissue inhibitor (TIMP) plasma levels in different infectious and non-infectious conditions. Clin. Exp. Immunol. 2015, 182, 213–219. [Google Scholar] [CrossRef] [PubMed]
- Chen, B.; Cole, J.W.; Grond-Ginsbach, C. Departure from Hardy Weinberg Equilibrium and Genotyping Error. Front. Genet. 2017, 8, 167. [Google Scholar] [CrossRef]
- Rella, J.M.; Jilma, B.; Fabry, A.; Kaynar, A.M.; Mayr, F.B. MMP-8 Genotypes Influence the Inflammatory Response in Human Endotoxemia. Inflammation 2013, 37, 451–456. [Google Scholar] [CrossRef] [PubMed]
- Miyamoto, H.; Ogawa, M.; Maruta, K.; Nikaido, Y.; Yamamoto, C.; Taniguchi, H.; Yoshida, S.-I. Temperature Effects onLegionella pneumophilaKilling by and Multiplication in Phagocytes of Guinea Pigs. Microbiol. Immunol. 1995, 39, 647–654. [Google Scholar] [CrossRef]
- Fröhlich, D.; Wittmann, S.; Rothe, G.; Sessler, D.I.; Vogel, P.; Taeger, K. Mild Hyperthermia Down-Regulates Receptor-Dependent Neutrophil Function. Anesthesia Analg. 2004, 99, 284–292. [Google Scholar] [CrossRef][Green Version]
- Mukhin, Y.V.; Gooz, M.; Raymond, J.R.; Garnovskaya, M.N. Collagenase-2 and -3 Mediate Epidermal Growth Factor Receptor Transactivation by Bradykinin B2Receptor in Kidney Cells. J. Pharmacol. Exp. Ther. 2006, 318, 1033–1043. [Google Scholar] [CrossRef]
- Methner, C.; Donat, U.; Felix, S.B.; Krieg, T. Cardioprotection of bradykinin at reperfusion involves transactivation of the epidermal growth factor receptor via matrix metalloproteinase-8. Acta Physiol. 2009, 197, 265–271. [Google Scholar] [CrossRef]
- Kornspan, J.D.; Tarshis, M.; Rottem, S. Invasion of Melanoma Cells by Mycoplasma hyorhinis: Enhancement by Protease Treatment. Infect. Immun. 2010, 78, 611–617. [Google Scholar] [CrossRef]
- Borchsenius, S.N.; Daks, A.; Fedorova, O.; Chernova, O.; Barlev, N.A. Effects of mycoplasma infection on the host organism response via p53/NF-κB signaling. J. Cell. Physiol. 2018, 234, 171–180. [Google Scholar] [CrossRef]
- Miwa, K.; Nakashima, H.; Aoki, M.; Miyake, T.; Kawasaki, T.; Iwai, M.; Oishi, M.; Kataoka, K.; Ohgi, S.; Ogihara, T.; et al. Inhibition of ets, an essential transcription factor for angiogenesis, to prevent the development of abdominal aortic aneurysm in a rat model. Gene Ther. 2005, 12, 1109–1118. [Google Scholar] [CrossRef]
- De Siervi, A.; De Luca, P.; Moiola, C.P.; Gueron, G.; Tongbai, R.; Chandramouli, G.V.R.; Haggerty, C.; Dzekunova, I.; Petersen, D.; Kawasaki, E.; et al. Identification of new Rel/NFκB regulatory networks by focused genome location analysis. Cell Cycle 2009, 8, 2093–2100. [Google Scholar] [CrossRef] [PubMed]
- Krüll, M.; Klucken, A.C.; Wuppermann, F.N.; Fuhrmann, O.; Magerl, C.; Seybold, J.; Hippenstiel, S.; Hegemann, J.H.; Jantos, C.A.; Suttorp, N. Signal transduction pathways activated in endothelial cells following infection with Chlamydia pneumoniae. J. Immunol. 1999, 162, 4834–4841. [Google Scholar] [PubMed]
- Wang, H.; Lu, J.; Li, K.; Ren, H.; Shi, Y.; Qin, T.; Duan, X.; Fang, M. The virulence of Legionella pneumophila is positively correlated with its ability to stimulate NF-κB activation. Futur. Microbiol. 2018, 13, 1247–1259. [Google Scholar] [CrossRef] [PubMed]
- Zhu, C.; Odeberg, J.; Hamsten, A.; Eriksson, P. Allele-specific MMP-3 transcription under in vivo conditions. Biochem. Biophys. Res. Commun. 2006, 348, 1150–1156. [Google Scholar] [CrossRef] [PubMed]
- Lichtinghagen, R.; Bahr, M.; Wehmeier, M.; Michels, D.; Haberkorn, C.I.; Arndt, B.; Flemming, P.; Manns, M.P.; Boeker, K.H.W. Expression and coordinated regulation of matrix metalloproteinases in chronic hepatitis C and hepatitis C virus-induced liver cirrhosis. Clin. Sci. 2003, 105, 373–382. [Google Scholar] [CrossRef] [PubMed]
- Eser, B.; Eser, O.; Yuksel, Y.; Aksit, H.; Karavelioglu, E.; Tosun, M.; Sekerci, Z. Effects of MMP-1 and MMP-3 gene polymorphisms on gene expression and protein level in lumbar disc herniation. Genet. Mol. Res. 2016, 15. [Google Scholar] [CrossRef] [PubMed]
- Schuurhof, A.; Bont, L.; Hodemaekers, H.M.; De Klerk, A.; De Groot, H.; Hofland, R.W.; Van De Pol, A.C.; Kimpen, J.L.L.; Janssen, R. Proteins involved in extracellular matrix dynamics are associated with respiratory syncytial virus disease severity. Eur. Respir. J. 2012, 39, 1475–1481. [Google Scholar] [CrossRef] [PubMed]
- Lan, Y.-Y.; Yeh, T.-H.; Lin, W.-H.; Wu, S.-Y.; Lai, H.-C.; Chang, F.-H.; Takada, K.; Chang, Y. Epstein-Barr Virus Zta Upregulates Matrix Metalloproteinases 3 and 9 That Synergistically Promote Cell Invasion In Vitro. PLoS ONE 2013, 8, e56121. [Google Scholar] [CrossRef] [PubMed][Green Version]
- Shi, S.; Su, M.; Shen, G.; Hu, Y.; Yi, F.; Zeng, Z.; Zhu, P.; Yang, G.; Zhou, H.; Li, Q.; et al. Matrix metalloproteinase 3 as a valuable marker for patients with COVID-19. J. Med Virol. 2020, 93, 528–532. [Google Scholar] [CrossRef] [PubMed]
- Shankavaram, U.T.; DeWitt, D.L.; Wahl, L.M. Lipopolysaccharide induction of monocyte matrix metalloproteinases is regulated by the tyrosine phosphorylation of cytosolic phospholipase A2. J. Leukoc. Biol. 1998, 64, 221–227. [Google Scholar] [CrossRef]
- Pugin, J.; Widmer, M.-C.; Kossodo, S.; Liang, C.-M.; Preas, H.L.; Suffredini, A.F. Human Neutrophils Secrete Gelatinase BIn VitroandIn Vivoin Response to Endotoxin and Proinflammatory Mediators. Am. J. Respir. Cell Mol. Biol. 1999, 20, 458–464. [Google Scholar] [CrossRef] [PubMed]
- Pagenstecher, A.; Stalder, A.K.; Kincaid, C.L.; Volk, B.; Campbell, I.L. Regulation of Matrix Metalloproteinases and Their Inhibitor Genes in Lipopolysaccharide-Induced Endotoxemia in Mice. Am. J. Pathol. 2000, 157, 197–210. [Google Scholar] [CrossRef]
- Singh, B.; Fleury, C.; Jalalvand, F.; Riesbeck, K. Human pathogens utilize host extracellular matrix proteins laminin and collagen for adhesion and invasion of the host. FEMS Microbiol. Rev. 2012, 36, 1122–1180. [Google Scholar] [CrossRef]



| Ni-SIRS (127) | Sepsis (812) | Debatable (119) | p | |
|---|---|---|---|---|
| Male/female | 66/61 | 426/386 | 52/67 | 0.201 |
| Age | 72 (59–84) | 81 (72–87) | 78 (71–87) | 0.000 |
| SIRS criteria | ||||
| Hyperthermia | 20/107 | 389/423 | 33/86 | 0.0000 |
| Hypothermia | 4/123 | 33/779 | 3/116 | 0.658 |
| Leukocytosis | 55/72 | 459/353 | 77/42 | 0.002 |
| Leukopenia | 4/123 | 30/782 | 7/112 | 0.464 |
| Tachycardia | 112/15 | 608/204 | 95/24 | 0.003 |
| Tachypnea | 98/29 | 615/197 | 81/38 | 0.165 |
| Immature leukocytes | 0/127 | 3/809 | 0/119 | 0.634 |
| Clinical presentation | ||||
| Breathing rate | 22 (20–26) | 24 (20–27) | 22 (20–26) | 0.301 |
| Heart rate, | 103 (96–110) | 100 (90–110) | 100 (90–108) | 0.001 |
| Temperature | 36.5 (36–37.1) | 37.6 (36.5–38.2) | 36.7 (36–37.8) | 0.000 |
| WBC count | 10.8(7.5–14.5) | 12.8(9.2–16.7) | 13 (9.4–15.8) | 0.001 |
| Comorbidities, severity and scores | ||||
| Charlson comorbidity index | 2 (1–5) | 3 (1–5) | 3 (2–5) | 0.008 |
| SOFA Score | 2 (1–3) | 3 (2–4) | 3 (2–4) | 0.000 |
| Apache II Score | 10 (7–12) | 12 (9–15) | 11 (9–14) | 0.000 |
| SAPS Score | 36 (27–40) | 37 (34–43) | 36 (34–42) | 0.000 |
| Ni-SIRS | Sepsis | p values | ||||||
|---|---|---|---|---|---|---|---|---|
| GG (n = 33) | A* (n = 94) | GG (n = 289) | A* (n = 520) | Ni-SIRS | Seps | GG | A* | |
| Hyperthermia | 5/28 | 15/79 | 124/165 | 262/258 | 0.913 | 0.041 | 0.002 | 0.000 |
| Hypothermia | 1/32 | 3/91 | 13/276 | 20/500 | 0.964 | 0.653 | 0.695 | 0.758 |
| Temperature | 36.5 (36–37) | 36.5 (36–37) | 37.5 (36.5–38) | 37.7 (36.6–38) | 0.981 | 0.247 | 0.000 | 0.000 |
| Leukocytosis | 13/20 | 42/52 | 165/124 | 293/227 | 0.598 | 0.837 | 0.053 | 0.037 |
| Leukopenia | 1/32 | 3/91 | 10/279 | 19/501 | 0.964 | 0.887 | 0.898 | 0.824 |
| WBC count | 10.9 (7.9–13.6) | 10.7 (7.2–14.9) | 12.7 (8.9–16.7) | 12.9 (9.4–16.8) | 0.606 | 0.677 | 0.19 | 0.002 |
| Tachycardia | 30/3 | 82/12 | 229/60 | 377/143 | 0.574 | 0.034 | 0.109 | 0.002 |
| Heart rate | 107 (99.113) | 101 (96–110) | 100 (92–110) | 100 (90–110) | 0.359 | 0.576 | 0.017 | 0.011 |
| Tachypnea | 26/7 | 72/22 | 227/62 | 387/133 | 0.796 | 0.189 | 0.974 | 0.655 |
| Breath rate | 22 (20–26) | 22 (20–26) | 24 (20–26) | 24 (20–26) | 0.408 | 0.854 | 0.617 | 0.33 |
| Immat. WBC | 0 | 0 | 2/287 | 1/519 | n.a. | 0.262 | 0.632 | 0.67 |
| MMP-1 | MMP-3 | MMP-8 | MMP-9 | TIMP-1 | |
|---|---|---|---|---|---|
| rs1799750 | rs3025058 | rs11225395 | rs2234681 | rs4898 | |
| −/−G/GG | −/−A/AA | AA/AG/GG | SS/SL/LL | Non-T/T | |
| All | 106/214/107 | 123/194/113 | 48/230/150 | 179/187/62 | 148/279 |
| Gram+ | 37/73/30 | 46/59/35 | 15/75/50 | 51/67/22 | 48/92 |
| Gram− | 59/121/54 | 66/114/57 | 28/129/78 | 104/102/29 | 83/152 |
| Intracell | 3/0/6 a b | 1/4/4 | 1/5/3 | 4/2/3 | 1/8 |
| Virus | 6/19/12 | 9/13/15 e | 4/18/15 | 15/14/8 | 11/25 |
| Fungus | 1/1/5 c d | 1/4/2 | 0/3/4 | 5/2/0 | 5/2 f |
| p | 0.004 | 0.346 | 0.942 | 0.239 | 0.152 |
| B Value (E.S). | Wald | Sig. | Exp(B) | 95% CI EXP(B) | ||
|---|---|---|---|---|---|---|
| All sepsis | ||||||
| TIMP-1 rs4898 T carrier | −0.590 (0.265) | 4.937 | 0.026 | 0.555 | 0.330 | 0.933 |
| SOFA Score | 0.227 (0.066) | 11.908 | 0.001 | 1.255 | 1.103 | 1.427 |
| Age | 0.045 (0.007) | 38.445 | 0.000 | 1.046 | 1.031 | 1.061 |
| Hyperthermia | 2.079 (0.315) | 43.496 | 0.000 | 7.997 | 4.311 | 14.834 |
| C Reactive Protein | 0.013 (0.002) | 41.767 | 0.000 | 1.014 | 1.009 | 1.018 |
| MMP-8 11,225,395 Dominant | −0.720 (0.254) | 8.032 | 0.005 | 0.487 | 0.296 | 0.801 |
| Antimicrobial at home | 0.706 (0.306) | 5.317 | 0.021 | 2.025 | 1.112 | 3.690 |
| Constant | −2.182 (0.706) | 9.563 | 0.002 | 0.113 | ||
| Virus | ||||||
| MMP-3 rs3025058 5A carrier | −0.838 (0.390) | 4.613 | 0.032 | 0.433 | 0.201 | 0.929 |
| COPD | 1.086 (0.401) | 7.352 | 0.007 | 2.963 | 1.351 | 6.498 |
| Moderate/severe kidney disease | −2.467 (1.034) | 5.692 | 0.017 | 0.085 | 0.011 | 0.644 |
| Constant | −1.779 (0.325) | 29.905 | 0.000 | 0.169 | ||
| Intracellular atypical bacteria | ||||||
| TIMP-1 rs4898 C carrier | 2.362 (0.906) | 6.800 | 0.009 | 10.617 | 1.798 | 62.681 |
| Previous myocardial infarction | 2.263 (0.816) | 7.699 | 0.006 | 9.613 | 1.943 | 47.545 |
| Dementia | −2.607 (1.247) | 4.373 | 0.037 | 0.074 | 0.006 | 0.849 |
| MMP-1 rs1799750 | 2.638 (0.842) | 9.819 | 0.002 | 13.982 | 2.686 | 72.795 |
| Constant | −9.255 (1.985) | 21.736 | 0.000 | 0.000 | ||
Publisher’s Note: MDPI stays neutral with regard to jurisdictional claims in published maps and institutional affiliations. |
© 2022 by the authors. Licensee MDPI, Basel, Switzerland. This article is an open access article distributed under the terms and conditions of the Creative Commons Attribution (CC BY) license (https://creativecommons.org/licenses/by/4.0/).
Share and Cite
Fiotti, N.; Mearelli, F.; Di Girolamo, F.G.; Castello, L.M.; Nunnari, A.; Di Somma, S.; Lupia, E.; Colonetti, E.; Muiesan, M.L.; Montrucchio, G.; et al. Genetic Variants of Matrix Metalloproteinase and Sepsis: The Need Speed Study. Biomolecules 2022, 12, 279. https://doi.org/10.3390/biom12020279
Fiotti N, Mearelli F, Di Girolamo FG, Castello LM, Nunnari A, Di Somma S, Lupia E, Colonetti E, Muiesan ML, Montrucchio G, et al. Genetic Variants of Matrix Metalloproteinase and Sepsis: The Need Speed Study. Biomolecules. 2022; 12(2):279. https://doi.org/10.3390/biom12020279
Chicago/Turabian StyleFiotti, Nicola, Filippo Mearelli, Filippo Giorgio Di Girolamo, Luigi Mario Castello, Alessio Nunnari, Salvatore Di Somma, Enrico Lupia, Efrem Colonetti, Maria Lorenza Muiesan, Giuseppe Montrucchio, and et al. 2022. "Genetic Variants of Matrix Metalloproteinase and Sepsis: The Need Speed Study" Biomolecules 12, no. 2: 279. https://doi.org/10.3390/biom12020279
APA StyleFiotti, N., Mearelli, F., Di Girolamo, F. G., Castello, L. M., Nunnari, A., Di Somma, S., Lupia, E., Colonetti, E., Muiesan, M. L., Montrucchio, G., Giansante, C., Avanzi, G. C., & Biolo, G. (2022). Genetic Variants of Matrix Metalloproteinase and Sepsis: The Need Speed Study. Biomolecules, 12(2), 279. https://doi.org/10.3390/biom12020279

