Cerebrospinal Fluid α-Calcitonin Gene-Related Peptide: A Comparison between Alzheimer’s Disease and Multiple Sclerosis
Abstract
:1. Introduction
2. Materials and Methods
2.1. Patients
2.1.1. Control Subjects
2.1.2. AD and MS Patients
2.2. Lumbar Puncture
2.3. CSF Biochemical Analyses
2.4. α-CGRP Assay
2.5. Neuropsychology
2.5.1. General Cognitive Status
2.5.2. Memory
2.5.3. Executive Functions and Attention
2.5.4. Language
2.5.5. Ideomotor Praxis
2.5.6. Visuoperception and Visuospatial Abilities
2.5.7. Neuroimaging
2.6. Statistical Analyses
3. Results
3.1. Patient Characteristics
3.2. α-CGRP CSF Content in AD, MS and Control Subjects; Relationship with Protein Content
3.3. CSF α-CGRP: Relationship with Amyloid, Tau Pathology Markers and Scores on Neuropsychological Testing
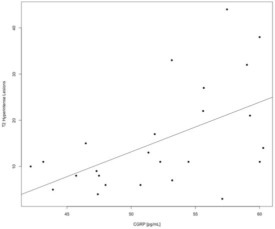
3.4. CSF α-CGRP: Relation to Nephelometric Indexes and Lesion Burden in Multiple Sclerosis
4. Discussion
Author Contributions
Funding
Institutional Review Board Statement
Informed Consent Statement
Data Availability Statement
Acknowledgments
Conflicts of Interest
References
- WHO. Global Action Plan on the Public Health Response to Dementia 2017–2025; WHO: Geneva, Switzerland, 2017. [Google Scholar]
- De Strooper, B.; Karran, E. The Cellular Phase of Alzheimer’s Disease. Cell 2016, 164, 603–615. [Google Scholar] [CrossRef] [Green Version]
- Daborg, J.; Andreasson, U.; Pekna, M.; Lautner, R.; Hanse, E.; Minthon, L.; Blennow, K.; Hansson, O.; Zetterberg, H. Cerebrospinal fluid levels of complement proteins C3, C4 and CR1 in Alzheimer’s disease. J. Neural Transm. 2012, 119, 789–797. [Google Scholar] [CrossRef]
- Bergamaschini, L.; Parnetti, L.; Pareyson, D.; Canziani, S.; Cugno, M.; Agostoni, A. Activation of the Contact System in Cerebrospinal Fluid of Patients with Alzheimer Disease. Alzheimer Dis. Assoc. Disord. 1998, 12, 102–108. [Google Scholar] [CrossRef]
- Baecher-Allan, C.; Kaskow, B.J.; Weiner, H.L. Multiple Sclerosis: Mechanisms and Immunotherapy. Neuron 2018, 97, 742–768. [Google Scholar] [CrossRef] [Green Version]
- Ontaneda, D.; Thompson, A.J.; Fox, R.J.; A Cohen, J. Progressive multiple sclerosis: Prospects for disease therapy, repair, and restoration of function. Lancet 2016, 389, 1357–1366. [Google Scholar] [CrossRef]
- Kawachi, I.; Lassmann, H. Neurodegeneration in multiple sclerosis and neuromyelitis optica. J. Neurol. Neurosurg. Psychiatry 2016, 88, 137–145. [Google Scholar] [CrossRef] [Green Version]
- Pietroboni, A.M.; Colombi, A.; Carandini, T.; Scarpini, E.; Galimberti, D.; Bozzali, M. The Role of Amyloid-β in White Matter Damage: Possible Common Pathogenetic Mechanisms in Neurodegenerative and Demyelinating Diseases. J. Alzheimer’s Dis. 2020, 78, 13–22. [Google Scholar] [CrossRef]
- Stenager, E. A global perspective on the burden of multiple sclerosis. Lancet Neurol. 2019, 18, 227–228. [Google Scholar] [CrossRef] [Green Version]
- Parnetti, L.; Chiasserini, D.; Eusebi, P.; Giannandrea, D.; Bellomo, G.; De Carlo, C.; Padiglioni, C.; Mastrocola, S.; Lisetti, V.; Calabresi, P. Performance of Aβ1-40, Aβ1-42, Total Tau, and Phosphorylated Tau as Predictors of Dementia in a Cohort of Patients with Mild Cognitive Impairment. J. Alzheimer’s Dis. 2012, 29, 229–238. [Google Scholar] [CrossRef] [Green Version]
- Paul, A.; Comabella, M.; Gandhi, R. Biomarkers in Multiple Sclerosis. Cold Spring Harb. Perspect. Med. 2018, 9, a029058. [Google Scholar] [CrossRef]
- Russell, F.A.; King, R.; Smillie, S.-J.; Kodji, X.; Brain, S.D. Calcitonin Gene-Related Peptide: Physiology and Pathophysiology. Physiol. Rev. 2014, 94, 1099–1142. [Google Scholar] [CrossRef] [Green Version]
- Charles, A. The pathophysiology of migraine: Implications for clinical management. Lancet Neurol. 2018, 17, 174–182. [Google Scholar] [CrossRef]
- Warfvinge, K.; Edvinsson, L.; Pickering, D.S.; Sheykhzade, M. The Presence of Calcitonin Gene-Related Peptide and Its Receptors in Rat, Pig and Human Brain: Species Differences in Calcitonin Gene-Related Peptide Pharmacology. Pharmacology 2019, 104, 332–341. [Google Scholar] [CrossRef]
- Arvidsson, U.; Piehl, F.; Johnson, H.; Ulfhake, B.; Cullheim, S.; Hökfelt, T. The peptidergic motoneurone. Neuroreport 1993, 4, 849–856. [Google Scholar] [CrossRef]
- Mathé, A.A.; Hertel, P.; Nomikos, G.G.; Gruber, S.; Mathé, J.M.; Svensson, T.H. The psychotomimetic drugs d-amphetamine and phencyclidine release calcitonin gene-related peptide in the limbic forebrain of the rat. J. Neurosci Res. 1996, 46, 316–323. [Google Scholar] [CrossRef]
- Kovács, A.; Telegdy, G. Effects of CGRP on active avoidance behavior in rats. Physiol. Behav. 1995, 58, 429–435. [Google Scholar] [CrossRef]
- Borkum, J.M. CGRP and Brain Functioning: Cautions for Migraine Treatment. Headache: J. Head Face Pain 2019, 59, 1339–1357. [Google Scholar] [CrossRef]
- Angelucci, F.; A Ellenbroek, B.; El Khoury, A.; Mathé, A.A. CGRP in a gene–environment interaction model for depression: Effects of antidepressant treatment. Acta Neuropsychiatr. 2018, 31, 93–99. [Google Scholar] [CrossRef] [Green Version]
- Hashikawa-Hobara, N.; Ogawa, T.; Sakamoto, Y.; Matsuo, Y.; Ogawa, M.; Zamami, Y.; Hashikawa, N. Calcitonin gene-related peptide pre-administration acts as a novel antidepressant in stressed mice. Sci. Rep. 2015, 5, srep12559. [Google Scholar] [CrossRef] [Green Version]
- Harzenetter, M.D.; Novotny, A.R.; Gais, P.; Molina, C.A.; Altmayr, F.; Holzmann, B. Negative Regulation of TLR Responses by the Neuropeptide CGRP Is Mediated by the Transcriptional Repressor ICER. J. Immunol. 2007, 179, 607–615. [Google Scholar] [CrossRef] [Green Version]
- Giardino, L.; Giuliani, A.; Fernandez, M.; Calzà, L. Spinal motoneurone distress during experimental allergic encephalomyelitis. Neuropathol. Appl. Neurobiol. 2004, 30, 522–531. [Google Scholar] [CrossRef]
- Rossetti, I.; Zambusi, L.; Finardi, A.; Bodini, A.; Provini, L.; Furlan, R.; Morara, S. Calcitonin gene-related peptide decreases IL-1beta, IL-6 as well as Ym1, Arg1, CD163 expression in a brain tissue context-dependent manner while ameliorating experimental autoimmune encephalomyelitis. J. Neuroimmunol. 2018, 323, 94–104. [Google Scholar] [CrossRef]
- Zhai, L.; Sakurai, T.; Kamiyoshi, A.; Ichikawa-Shindo, Y.; Kawate, H.; Tanaka, M.; Xian, X.; Hirabayashi, K.; Dai, K.; Cui, N.; et al. Endogenous calcitonin gene-related peptide suppresses ischemic brain injuries and progression of cognitive decline. J. Hypertens. 2018, 36, 876–891. [Google Scholar] [CrossRef] [Green Version]
- Mathé, A.A.; Agren, H.; Wallin, A.; Blennow, K. Calcitonin gene-related peptide and calcitonin in the CSF of patients with dementia and depression: Possible disease markers. Prog. Neuro-Psychopharmacol. Biol. Psychiatry 2002, 26, 41–48. [Google Scholar] [CrossRef]
- Mathé, A.A.; Ågren, H.; Lindström, L.; Theodorsson, E. Increased concentration of calcitonin gene-related peptide in cere-brospinal fluid of depressed patients. A possible trait marker of major depressive disorder. Neurosci. Lett. 1994, 182, 138–142. [Google Scholar] [CrossRef]
- Wimalawansa, S.; MacIntyre, I. The Presence of Calcitonin Gene-Related Peptide in Human Cerebrospinal Fluid. Brain 1987, 110, 1647–1655. [Google Scholar] [CrossRef]
- Na, H.; Gan, Q.; Mcparland, L.; Yang, J.; Yao, H.; Tian, H.; Zhang, Z.; Qiu, W.Q. Characterization of the effects of calcitonin gene-related peptide receptor antagonist for Alzheimer’s disease. Neuropharmacology 2020, 168, 108017. [Google Scholar] [CrossRef]
- McKhann, G.M.; Knopman, D.S.; Chertkow, H.; Hyman, B.T.; Jack, C.R., Jr.; Kawas, C.H.; Klunk, W.E.; Koroshetz, W.J.; Manly, J.J.; Mayeux, R.; et al. The diagnosis of dementia due to Alzheimer’s disease: Recommendations from the National Institute on Aging-Alzheimer’s association workgroups on diagnostic guidelines for Alzheimer’s disease. Alzheimers Dement. J. Alzheimers Assoc. 2011, 7, 263–269. [Google Scholar] [CrossRef] [Green Version]
- Polman, C.H.; Reingold, S.C.; Banwell, B.; Clanet, M.; Cohen, J.A.; Filippi, M.; Fujihara, K.; Havrdova, E.; Hutchinson, M.; Kappos, L.; et al. Diagnostic criteria for multiple sclerosis: 2010 Revisions to the McDonald criteria. Ann. Neurol. 2011, 69, 292–302. [Google Scholar] [CrossRef] [Green Version]
- Thompson, A.J.; Banwell, B.L.; Barkhof, F.; Carroll, W.M.; Coetzee, T.; Comi, G.; Correale, J.; Fazekas, F.; Filippi, M.; Freedman, M.S.; et al. Diagnosis of multiple sclerosis: 2017 revisions of the McDonald criteria. Lancet Neurol. 2018, 17, 162–173. [Google Scholar] [CrossRef]
- Folstein, M.F.; Folstein, S.E.; McHugh, P.R. “Mini-mental state”. A practical method for grading the cognitive state of pa-tients for the clinician. J. Psychiatr Res. 1975, 12, 189–198. [Google Scholar] [CrossRef]
- Luzzi, S.; Pesallaccia, M.; Fabi, K.; Muti, M.; Viticchi, G.; Provinciali, L.; Piccirilli, M. Non-verbal memory measured by Rey–Osterrieth Complex Figure B: Normative data. Neurol. Sci. 2011, 32, 1081–1089. [Google Scholar] [CrossRef] [PubMed]
- Raven, J. Guide to Using the Coloured Progressive Matrices; HK Lewis & Co.: London, UK, 1958. [Google Scholar]
- Caltagirone, C.; Gainotti, G.; Masullo, C.; Miceli, G. Validity of some neuropsychological tests in the assessment of mental de-terioration. Acta Psychiatr Scand. 1979, 60, 50–56. [Google Scholar] [CrossRef] [PubMed]
- Italian standardization and classification of Neuropsychological tests. The Italian Group on the Neuropsychological Study of Aging. Ital. J. Neurol Sci. 1987, 8, 1–120.
- Sala, S.D.; Laiacona, M.; Trivelli, C.; Spinnler, H. Poppelreuter-Ghent’s overlapping figures test: Its sensitivity to age, and its clinical use. Arch. Clin. Neuropsychol. 1995, 10, 511–534. [Google Scholar] [CrossRef]
- Filippi, M.; Preziosa, P.; Banwell, B.L.; Barkhof, F.; Ciccarelli, O.; De Stefano, N.; Geurts, J.J.G.; Paul, F.; Reich, D.S.; Toosy, A.T.; et al. Assessment of lesions on magnetic resonance imaging in multiple sclerosis: Practical guidelines. Brain 2019, 142, 1858–1875. [Google Scholar] [CrossRef] [Green Version]
- Mofrad, R.B.; Schoonenboom, N.S.; Tijms, B.M.; Scheltens, P.; Visser, P.J.; Van Der Flier, W.M.; Teunissen, C.E. Decision tree supports the interpretation of CSF biomarkers in Alzheimer’s disease. Alzheimer’s Dementia: Diagn. Assess. Dis. Monit. 2018, 11, 1–9. [Google Scholar] [CrossRef]
- Parvizi, J.; Van Hoesen, G.W.; Damasio, A. Severe pathological changes of parabrachial nucleus in Alzheimerʼs disease. NeuroReport 1998, 9, 4151–4154. [Google Scholar] [CrossRef]
- Rueb, U.; Stratmann, K.; Heinsen, H.; Del Turco, D.; Seidel, K.; Dunnen, W.D.; Korf, H. The Brainstem Tau Cytoskeletal Pathology of Alzheimer’s Disease: A Brief Historical Overview and Description of its Anatomical Distribution Pattern, Evolutional Features, Pathogenetic and Clinical Relevance. Curr. Alzheimer Res. 2016, 13, 1178–1197. [Google Scholar] [CrossRef]
- Jagust, W.J.; Eberling, J.L.; Richardson, B.C.; Reed, B.R.; Baker, M.G.; Nordahl, T.E.; Budinger, T.F. The cortical topography of temporal lobe hypometabolism in early Alz-heimer’s disease. Brain Res. 1993, 629, 189–198. [Google Scholar] [CrossRef]
- Hay, D.L.; Garelja, M.L.; Poyner, D.R.; Walker, C.S. Update on the pharmacology of calcitonin/CGRP family of peptides: IUPHAR Review 25. J. Cereb. Blood Flow Metab. 2017, 175, 3–17. [Google Scholar] [CrossRef] [PubMed]
- Wang, E.; Zhu, H.; Wang, X.; Gower, A.C.; Wallack, M.; Blusztajn, J.K.; Kowall, N.; Qiu, W.Q. Amylin Treatment Reduces Neuroinflammation and Ameliorates Abnormal Patterns of Gene Expression in the Cerebral Cortex of an Alzheimer’s Disease Mouse Model. J. Alzheimer’s Dis. 2017, 56, 47–61. [Google Scholar] [CrossRef] [PubMed] [Green Version]
- Di Angelantonio, S.; Giniatullin, R.; Costa, V.; Sokolova, E.; Nistri, A. Modulation of neuronal nicotinic receptor function by the neuropeptides CGRP and substance P on autonomic nerve cells. Br. J. Pharmacol. 2003, 139, 1061–1073. [Google Scholar] [CrossRef] [PubMed] [Green Version]
- De Jaco, A.; Bernardini, L.; Rosati, J.; Tata, A.M. Alpha-7 Nicotinic Receptors in Nervous System Disorders: From Function to Therapeutic Perspectives. Central Nerv. Syst. Agents Med. Chem. 2017, 17, 100–108. [Google Scholar] [CrossRef]
- Siniavin, A.E.; Streltsova, M.A.; Kudryavtsev, D.S.; Shelukhina, I.V.; Utkin, Y.N.; Tsetlin, V.I. Activation of α7 Nicotinic Acetylcholine Receptor Upregulates HLA-DR and Macrophage Receptors: Potential Role in Adaptive Immunity and in Preventing Immunosuppression. Biomolecules 2020, 10, 507. [Google Scholar] [CrossRef] [Green Version]
- Svenningsson, P.; Pålhagen, S.; Mathé, A.A. Neuropeptide Y and Calcitonin Gene-Related Peptide in Cerebrospinal Fluid in Parkinson’s Disease with Comorbid Depression versus Patients with Major Depressive Disorder. Front. Psychiatry 2017, 8, 102. [Google Scholar] [CrossRef] [Green Version]
- Lassmann, H. Multiple Sclerosis Pathology. Cold Spring Harb. Perspect. Med. 2018, 8, a028936. [Google Scholar] [CrossRef] [Green Version]


| Control Subjects (n = 17) | Alzheimer’s Disease (n = 19) | Multiple Sclerosis (n = 27) | |
|---|---|---|---|
| Variable | Mean (SD) | Mean (SD) | Mean (SD) |
| Age | 56.5 (±18) | 72.7 (±7.2) | 40.3 (±14.4) |
| Gender (M/F) | 10/17 | 8/11 | 7/20 |
| Age at Onset (years) | n.a. | 69.8 (±6.8) | 39.3 (±13) |
| Duration of Disease (years) | n.a. | 2.8 (±1.7) | 1.9 (±2.4) |
| Education (years) | n.a. | 8.4 (±4.5) | n.a. |
| EDSS | n.a. | n.a. | 1.0 * |
| Total T2 Hyperintensities | n.a. | n.a. | 11 (7−18) * |
| Spinal cord T2 Hyperintensities | n.a. | n.a. | 2 (1−4) * |
| Patients with spinal cord lesions | n.a. | n.a. | 21/27 |
| Patients with contrast-enhancing lesions | n.a. | n.a. | 17/27 |
| Control Subjects (n = 17) Mean (±SD) | Alzheimer’s Disease (n = 19) Mean (±SD) | Multiple Sclerosis (n = 27) Mean (±SD) | p | |
|---|---|---|---|---|
| α-CGRP (pg/mL) | 52.05 (±5.7) | 47.06 (±3.5) | 52.26 (±5.5) | # |
| CSF protein content (mg/dl) | n.a. | 43.7 (±16.15) | 38.75 (±11.4) | 0.25 |
| Abeta 1–42 (pg/mL) * | n.a. | 613.93 (±171.58) | n.a. | n.a. |
| Total Tau (pg/mL) * | n.a. | 580.27 (±376.17) | n.a. | n.a. |
| P-Tau181 (pg/mL) * | n.a. | 69.93 (±49.9) | n.a. | n.a. |
| CSF albumin | n.a. | n.a. | 22.3 (±10.20) | n.a. |
| CSF IgG | n.a. | n.a. | 4 (±2) | n.a. |
| Qalb | n.a. | n.a. | 6.46 (±6.57) | n.a. |
| Link Index | n.a. | n.a. | 0.83 (±0.42) | n.a. |
| Oligoclonal Bands | n.a. | n.a. | 25/27 | n.a. |
| Test | Mean (SD) | Spearman Rho | p |
|---|---|---|---|
| Global mental status | |||
| MMSE | 19.73 (± 4.45) | 0.196 | n.s. |
| Executive functions and attention | |||
| Raven’s Progressive Matrices | 17.3 (±7.6) | n.a. | n.a. |
| Luria Motor Sequences | 30.60(±17.78) | n.a. | n.a. |
| Stroop Test I (time) | 48.8 (±17.6) | n.a. | n.a. |
| Stroop Test II (time) | 102.84 (± 38.6) | n.a. | n.a. |
| Stroop Test I (errors) | 0.5 (±1.1) | n.a. | n.a. |
| Stroop Test II (errors) | 2.69 (±4.1) | −0.191 | n.s. |
| Stroop I (corrections) | 0.29 (±0.61) | n.a. | n.a. |
| Stroop II (corrections) | 1.77 (±3.4) | −0.577 | 0.039 |
| Memory | |||
| Digit Span | 4.57 (±0.94) | n.a. | n.a. |
| Corsi Cubes | 3.79 (±0.8) | n.a. | n.a. |
| Short Term type B Rey figure | 8.36 (±5.27) | n.a. | n.a. |
| Long Term type B Rey figure | 5.47 (±5.68) | n.a. | n.a. |
| AVLT Total Effect | 18.8 (±7.24) | n.a. | n.a. |
| AVLT Long Term | 0.5714 (±0.75) | n.a. | n.a. |
| Visuoperceptual and visuospatial functions | |||
| LG Overlapping Figures | 8.57 (±0.75) | 0.586 | 0.028 |
| Type B Rey Figure Copy | 22.84 (±8.5) | n.a. | n.a. |
| Praxis | |||
| Ideomotor Praxis Dominant Hand | 19.75 (±1) | 0.140 | n.s. |
| Ideomotor Praxis Nondominant Hand | 19.63 (±1.1) | n.a. | n.a. |
| Language | |||
| Semantic Fluency | 25.2 (±10) | n.a. | n.s. |
| Phonemic Fluency | 20.47 (±10.77) | −0.281 | n.s. |
| Naming | 30.6 (±12.2) | n.a. | n.a. |
| Reading | 40 (±0) | n.a. | n.a. |
| Comprehension | 39.83 (±0.41) | n.a. | n.a. |
Publisher’s Note: MDPI stays neutral with regard to jurisdictional claims in published maps and institutional affiliations. |
© 2022 by the authors. Licensee MDPI, Basel, Switzerland. This article is an open access article distributed under the terms and conditions of the Creative Commons Attribution (CC BY) license (https://creativecommons.org/licenses/by/4.0/).
Share and Cite
Papiri, G.; Vignini, A.; Capriotti, L.; Verdenelli, P.; Alia, S.; Di Paolo, A.; Fiori, C.; Baldinelli, S.; Silvestrini, M.; Luzzi, S. Cerebrospinal Fluid α-Calcitonin Gene-Related Peptide: A Comparison between Alzheimer’s Disease and Multiple Sclerosis. Biomolecules 2022, 12, 199. https://doi.org/10.3390/biom12020199
Papiri G, Vignini A, Capriotti L, Verdenelli P, Alia S, Di Paolo A, Fiori C, Baldinelli S, Silvestrini M, Luzzi S. Cerebrospinal Fluid α-Calcitonin Gene-Related Peptide: A Comparison between Alzheimer’s Disease and Multiple Sclerosis. Biomolecules. 2022; 12(2):199. https://doi.org/10.3390/biom12020199
Chicago/Turabian StylePapiri, Giulio, Arianna Vignini, Luigi Capriotti, Paola Verdenelli, Sonila Alia, Alice Di Paolo, Chiara Fiori, Sara Baldinelli, Mauro Silvestrini, and Simona Luzzi. 2022. "Cerebrospinal Fluid α-Calcitonin Gene-Related Peptide: A Comparison between Alzheimer’s Disease and Multiple Sclerosis" Biomolecules 12, no. 2: 199. https://doi.org/10.3390/biom12020199
APA StylePapiri, G., Vignini, A., Capriotti, L., Verdenelli, P., Alia, S., Di Paolo, A., Fiori, C., Baldinelli, S., Silvestrini, M., & Luzzi, S. (2022). Cerebrospinal Fluid α-Calcitonin Gene-Related Peptide: A Comparison between Alzheimer’s Disease and Multiple Sclerosis. Biomolecules, 12(2), 199. https://doi.org/10.3390/biom12020199

