Evaluating the Potential of Marine Invertebrate and Insect Protein Hydrolysates to Reduce Fetal Bovine Serum in Cell Culture Media for Cultivated Fish Production
Abstract
1. Introduction
2. Materials and Methods
2.1. Materials
2.2. Protein Hydrolysates Production
2.3. Amino Acid Analysis, Protein Content, and Degree of Hydrolysis
2.4. Functional Properties
2.4.1. Oil Holding Capacity (OHC)
2.4.2. Emulsifying Capacity (EC)
2.4.3. Foaming Capacity (FC)
2.5. Cell Culture and Maintenance
2.6. Cell Performance
2.7. Fluorescent Imaging
2.8. Lactate Dehydrogenase Activity (LDH)
3. Statistical Analysis
4. Results and Discussion
4.1. Protein Quality
4.2. DH and Techno-Functional Properties
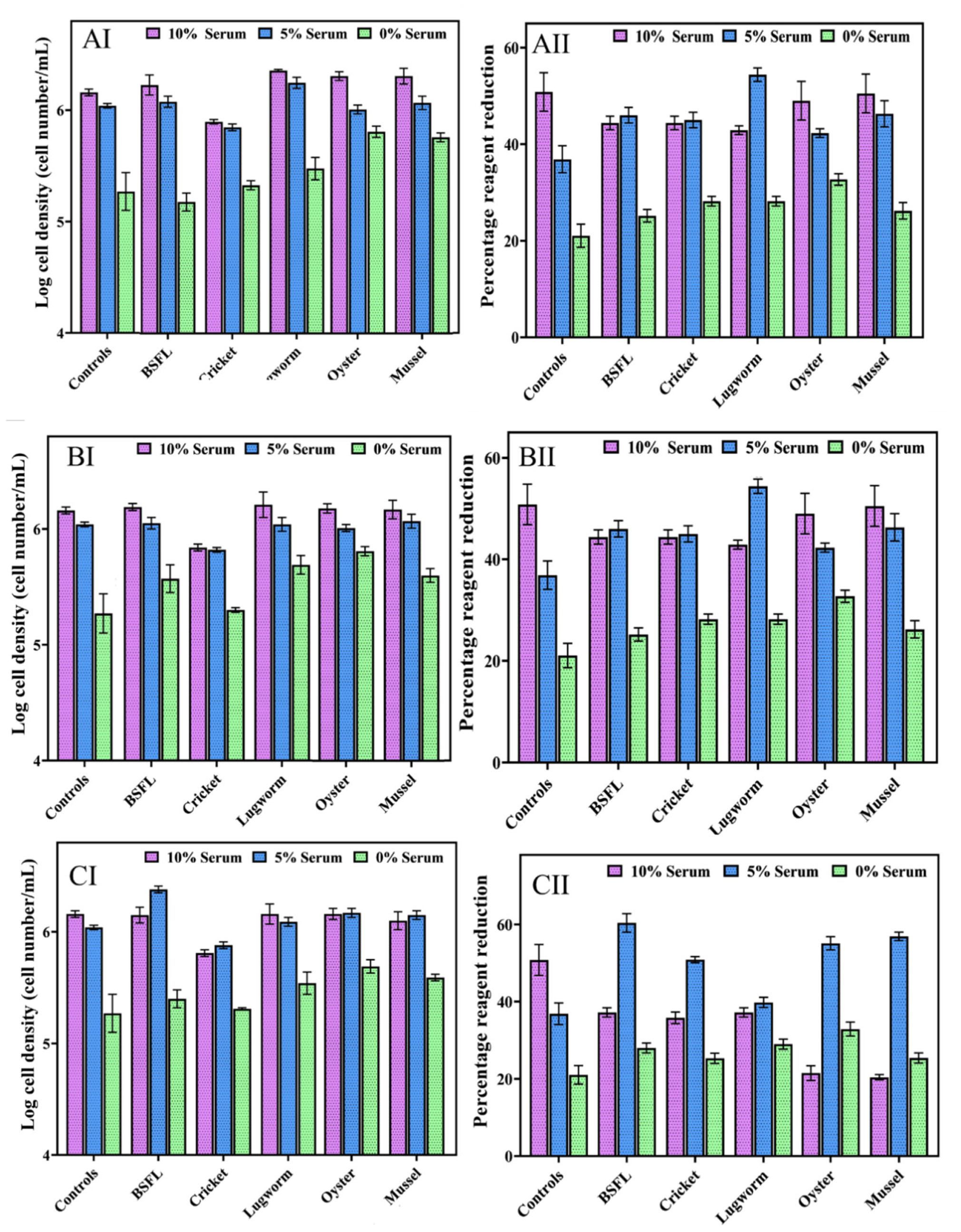
4.3. Cell Morphology, Growth, and Viability
4.4. Impact of Serum Concentration




4.5. Fluorescent Staining of Cells
4.6. LDH Staining
4.7. Yield and Cost of Protein Hydrolysates for Cultivated Meat Production
5. Conclusions
Author Contributions
Funding
Institutional Review Board Statement
Informed Consent Statement
Data Availability Statement
Acknowledgments
Conflicts of Interest
References
- FAO. The State of World Fisheries and Aquaculture 2020; Food and Agriculture Organization of the United Nations: Rome, Italy, 2020; p. 244. [Google Scholar]
- Whitnall, T.; Pitts, N. Global trends in meat consumption. Agric. Commod. 2019, 9, 96–99. [Google Scholar]
- Smith, M.; Love, D.C.; Rochman, C.M.; Neff, R.A. Microplastics in seafood and the implications for human health. Curr. Environ. Health Rep. 2018, 5, 375–386. [Google Scholar] [CrossRef] [PubMed]
- Cole, M.; Lindeque, P.; Halsband, C.; Galloway, T.S. Microplastics as contaminants in the marine environment: A review. Mar. Pollut. Bull. 2011, 62, 2588–2597. [Google Scholar] [CrossRef] [PubMed]
- Van der Weele, C.; Feindt, P.; van der Goot, A.J.; van Mierlo, B.; van Boekel, M. Meat alternatives: An integrative comparison. Trends Food Sci. Technol. 2019, 88, 505–512. [Google Scholar] [CrossRef]
- Bhatia, S.; Naved, T.; Sardana, S. Introduction to Pharmaceutical Biotechnology, Volume 3: Animal Tissue Culture and Biopharmaceuticals; IOP Publishing: Bristol, UK, 2019. [Google Scholar]
- Stout, A.J.; Mirliani, A.B.; Rittenberg, M.L.; Shub, M.; White, E.C.; Yuen, J.S.; Kaplan, D.L. Simple and effective serum-free medium for sustained expansion of bovine satellite cells for cell cultured meat. Commun. Biol. 2022, 5, 466. [Google Scholar] [CrossRef] [PubMed]
- Love, D.C.; Fry, J.P.; Milli, M.C.; Neff, R.A. Wasted seafood in the United States: Quantifying loss from production to consumption and moving toward solutions. Glob. Environ. Change 2015, 35, 116–124. [Google Scholar] [CrossRef]
- Gau, R.J.; Case, R. Evaluating nutritional condition of grizzly bears via select blood parameters. J. Wildl. Manag. 1999, 63, 286–291. [Google Scholar] [CrossRef]
- Van der Valk, J.; Brunner, D.; De Smet, K.; Svenningsen, Å.F.; Honegger, P.; Knudsen, L.E.; Lindl, T.; Noraberg, J.; Price, A.; Scarino, M. Optimization of chemically defined cell culture media–replacing fetal bovine serum in mammalian in vitro methods. Toxicol. Vitr. 2010, 24, 1053–1063. [Google Scholar] [CrossRef]
- Kim, J.Y.; Kim, Y.-G.; Han, Y.K.; Choi, H.S.; Kim, Y.H.; Lee, G.M. Proteomic understanding of intracellular responses of recombinant Chinese hamster ovary cells cultivated in serum-free medium supplemented with hydrolysates. Appl. Microbiol. Biotechnol. 2011, 89, 1917–1928. [Google Scholar] [CrossRef]
- Logarušić, M.; Gaurina Srček, V.; Berljavac, S.; Leboš Pavunc, A.; Radošević, K.; Slivac, I. Protein hydrolysates from flaxseed oil cake as a media supplement in CHO cell culture. Resources 2021, 10, 59. [Google Scholar] [CrossRef]
- Andreassen, R.C.; Pedersen, M.E.; Kristoffersen, K.A.; Rønning, S.B. Screening of by-products from the food industry as growth promoting agents in serum-free media for skeletal muscle cell culture. Food Funct. 2020, 11, 2477–2488. [Google Scholar] [CrossRef] [PubMed]
- Chan, F.K.-M.; Moriwaki, K.; Rosa, M.J.D. Detection of necrosis by release of lactate dehydrogenase activity. In Immune Homeostasis; Springer: Berlin/Heidelberg, Germany, 2013; pp. 65–70. [Google Scholar]
- Serganova, I.; Cohen, I.J.; Vemuri, K.; Shindo, M.; Maeda, M.; Mane, M.; Moroz, E.; Khanin, R.; Satagopan, J.; Koutcher, J.A. LDH-A regulates the tumor microenvironment via HIF-signaling and modulates the immune response. PLoS ONE 2018, 13, e0203965. [Google Scholar] [CrossRef] [PubMed]
- Batish, I.; Brits, D.; Valencia, P.; Miyai, C.; Rafeeq, S.; Xu, Y.; Galanopoulos, M.; Sismour, E.; Ovissipour, R. Effects of Enzymatic Hydrolysis on the Functional Properties, Antioxidant Activity and Protein Structure of Black Soldier Fly (Hermetia illucens) Protein. Insects 2020, 11, 876. [Google Scholar] [CrossRef] [PubMed]
- Hall, F.G.; Jones, O.G.; O’Haire, M.E.; Liceaga, A.M. Functional properties of tropical banded cricket (Gryllodes sigillatus) protein hydrolysates. Food Chem. 2017, 224, 414–422. [Google Scholar] [CrossRef] [PubMed]
- He, S.; Chen, Y.; Brennan, C.; Young, D.J.; Chang, K.; Wadewitz, P.; Zeng, Q.; Yuan, Y. Antioxidative activity of oyster protein hydrolysates Maillard reaction products. Food Sci. Nutr. 2020, 8, 3274–3286. [Google Scholar] [CrossRef]
- Normah, I.; Noorasma, M. Physicochemical properties of mud clam (Polymesoda erosa) hydrolysates obtained using different microbial enzymes. Int. Food Res. J. 2015, 22, 1103–1111. [Google Scholar]
- Shin, J.; Kang, S.; Koh, J.; Kwon, Y. Effect of lugworm protein hydrolysates containing proteins of differing molecular weight distributions on permanent wave treatment in damaged hair. Mater. Res. Innov. 2015, 19, S5-1009–S5-1015. [Google Scholar] [CrossRef]
- AOAC. Official Methods of Analysis of AOAC International; Association of Official Analytical Chemists (AOAC) International: Gaithersburg, MD, USA, 2005. [Google Scholar]
- Smets, R.; Claes, J.; Van Der Borght, M. On the nitrogen content and a robust nitrogen-to-protein conversion factor of black soldier fly larvae (Hermetia illucens). Anal. Bioanal. Chem. 2021, 413, 6365–6377. [Google Scholar] [CrossRef]
- Ritvanen, T.; Pastell, H.; Welling, A.; Raatikainen, M. The nitrogen-to-protein conversion factor of two cricket species-Acheta domesticus and Gryllus bimaculatus. Agric. Food Sci. 2020, 29, 1–5. [Google Scholar] [CrossRef]
- Consultation, F.E. Dietary protein quality evaluation in human nutrition. FAO Food Nutr. Pap. 2011, 92, 1–66. [Google Scholar]
- Taylor, W. Formol titration: An evaluation of its various modifications. Analyst 1957, 82, 488–498. [Google Scholar] [CrossRef]
- Shahidi, F.; Han, X.-Q.; Synowiecki, J. Production and characteristics of protein hydrolysates from capelin (Mallotus villosus). Food Chem. 1995, 53, 285–293. [Google Scholar] [CrossRef]
- Yasumatsu, K.; Sawada, K.; Moritaka, S.; Misaki, M.; Toda, J.; Wada, T.; Ishii, K. Whipping and emulsifying properties of soybean products. Agric. Biol. Chem. 1972, 36, 719–727. [Google Scholar] [CrossRef]
- Pacheco-Aguilar, R.; Mazorra-Manzano, M.A.; Ramírez-Suárez, J.C. Functional properties of fish protein hydrolysates from Pacific whiting (Merluccius productus) muscle produced by a commercial protease. Food Chem. 2008, 109, 782–789. [Google Scholar] [CrossRef] [PubMed]
- Brinkmann, M.; Lütkemeyer, D.; Gudermann, F.; Lehmann, J. New technologies for automated cell counting based on optical image analysisThe Cellscreen’. Cytotechnology 2002, 38, 119–127. [Google Scholar] [CrossRef]
- Farges-Haddani, B.; Tessier, B.; Chenu, S.; Chevalot, I.; Harscoat, C.; Marc, I.; Goergen, J.; Marc, A. Peptide fractions of rapeseed hydrolysates as an alternative to animal proteins in CHO cell culture media. Process Biochem. 2006, 41, 2297–2304. [Google Scholar] [CrossRef]
- Ding, D.; Yu, T.; Du, B.; Huang, Y. Collagen hydrolysate from Thunnus orientalis bone induces osteoblast proliferation and differentiation. Chem. Eng. Sci. 2019, 205, 143–150. [Google Scholar] [CrossRef]
- Lu, M.; Zhao, X.-H. The growth proliferation, apoptotic prevention, and differentiation induction of the gelatin hydrolysates from three sources to human fetal osteoblasts (hFOB 1.19 cells). Molecules 2018, 23, 1287. [Google Scholar] [CrossRef]
- Hosios, A.M.; Hecht, V.C.; Danai, L.V.; Johnson, M.O.; Rathmell, J.C.; Steinhauser, M.L.; Manalis, S.R.; Vander Heiden, M.G. Amino acids rather than glucose account for the majority of cell mass in proliferating mammalian cells. Dev. Cell 2016, 36, 540–549. [Google Scholar] [CrossRef]
- Monaya, K.J.M.; Gomez, H.L.R.; Tejano, L.A. Production and Characterization of Protein Isolates and Hydrolysates from Slipper Cupped Oyster (Crassostrea iredalei). Philipp. J. Sci. 2022, 151, 853–861. [Google Scholar] [CrossRef]
- Mshayisa, V.V.; Van Wyk, J.; Zozo, B. Nutritional, Techno-Functional and Structural Properties of Black Soldier Fly (Hermetia illucens) Larvae Flours and Protein Concentrates. Foods 2022, 11, 724. [Google Scholar] [CrossRef] [PubMed]
- Purschke, B.; Meinlschmidt, P.; Horn, C.; Rieder, O.; Jäger, H. Improvement of techno-functional properties of edible insect protein from migratory locust by enzymatic hydrolysis. Eur. Food Res. Technol. 2018, 244, 999–1013. [Google Scholar] [CrossRef]
- Wang, J.; Jousse, M.; Jayakumar, J.; Fernández-Arteaga, A.; de Lamo-Castellví, S.; Ferrando, M.; Güell, C. Black soldier fly (Hermetia illucens) protein concentrates as a sustainable source to stabilize o/w emulsions produced by a low-energy high-throughput emulsification technology. Foods 2021, 10, 1048. [Google Scholar] [CrossRef] [PubMed]
- Leni, G.; Soetemans, L.; Caligiani, A.; Sforza, S.; Bastiaens, L. Degree of hydrolysis affects the techno-functional properties of lesser mealworm protein hydrolysates. Foods 2020, 9, 381. [Google Scholar] [CrossRef] [PubMed]
- Stone, A.K.; Tanaka, T.; Nickerson, M.T. Protein quality and physicochemical properties of commercial cricket and mealworm powders. J. Food Sci. Technol. 2019, 56, 3355–3363. [Google Scholar] [CrossRef]
- Zielińska, E.; Karaś, M.; Baraniak, B. Comparison of functional properties of edible insects and protein preparations thereof. LWT 2018, 91, 168–174. [Google Scholar] [CrossRef]
- Achouri, A.; Zhang, W.; Shiying, X. Enzymatic hydrolysis of soy protein isolate and effect of succinylation on the functional properties of resulting protein hydrolysates. Food Res. Int. 1998, 31, 617–623. [Google Scholar] [CrossRef]
- Yao, T.; Asayama, Y. Animal-cell culture media: History, characteristics, and current issues. Reprod. Med. Biol. 2017, 16, 99–117. [Google Scholar] [CrossRef]
- Schartl, M. Beyond the zebrafish: Diverse fish species for modeling human disease. Dis. Model. Mech. 2014, 7, 181–192. [Google Scholar] [CrossRef]
- Hou, Y.; Wu, Z.; Dai, Z.; Wang, G.; Wu, G. Protein hydrolysates in animal nutrition: Industrial production, bioactive peptides, and functional significance. J. Anim. Sci. Biotechnol. 2017, 8, 24. [Google Scholar] [CrossRef]
- Ellis, A.; Lazidis, A. Foams for food applications. In Polymers for Food Applications; Springer: Berlin/Heidelberg, Germany, 2018; pp. 271–327. [Google Scholar]
- Chatterjee, R.; Dey, T.K.; Roychoudhury, A.; Paul, D.; Dhar, P. Enzymatically excised oligopeptides from Bellamya bengalensis shows potent antioxidative and anti-hypertensive activity. J. Food Sci. Technol. 2020, 57, 2586–2601. [Google Scholar] [CrossRef] [PubMed]
- Jin, W.-G.; Wu, H.-T.; Zhu, B.-W.; Ran, X.-Q. Functional properties of gelation-like protein hydrolysates from scallop (Patinopecten yessoensis) male gonad. Eur. Food Res. Technol. 2012, 234, 863–872. [Google Scholar] [CrossRef]
- Mauer, L. Protein|Heat treatment for food proteins. In Encyclopedia of Food Sciences and Nutrition, 2nd ed.; Academic Press: Cambridge, MA, USA, 2003; pp. 4868–4872. [Google Scholar]
- Adebowalea, Y.A.; Adebowal, K.O.; Oguntokunc, M.O. Evaluation of nutritive properties of the large African cricket (Gryllidae sp.). Biol. Sci. PJSIR 2005, 48, 274–278. [Google Scholar]
- Trinh, B.T.; Supawong, S. Enzymatic hydrolysis of cricket (Gryllodes sigillatus) protein: Influence of Alcalase and Neutrase enzyme on functional properties of recovered protein: Cricket protein hydrolysate. Thai J. Sci. Technol. 2021, 10, 342–353. [Google Scholar]
- Haldar, A.; Das, M.; Chatterjee, R.; Dey, T.K.; Dhar, P.; Chakrabarti, J. Functional properties of protein hydrolysates from fresh water mussel Lamellidens marginalis (Lam.). Encycl. Food Sci. Nutr. 2018, 55, 105–113. [Google Scholar]
- Naik, A.S.; Mora, L.; Hayes, M. Characterisation of seasonal Mytilus edulis by-products and generation of bioactive hydrolysates. Appl. Sci. 2020, 10, 6892. [Google Scholar] [CrossRef]
- McClements, D.J. Food Emulsions: Principles, Practices, and Techniques; CRC Press: Boca Raton, FL, USA, 2004. [Google Scholar]
- Padial-Domínguez, M.; Espejo-Carpio, F.J.; Pérez-Gálvez, R.; Guadix, A.; Guadix, E.M. Optimization of the emulsifying properties of food protein hydrolysates for the production of fish oil-in-water emulsions. Foods 2020, 9, 636. [Google Scholar] [CrossRef]
- Pirkmajer, S.; Chibalin, A.V. Serum starvation: Caveat emptor. Am. J. Physiol. Cell Physiol. 2011, 301, C272–C279. [Google Scholar] [CrossRef]
- Guan, Y.T.; Xie, Y.; Li, D.S.; Zhu, Y.Y.; Zhang, X.L.; Feng, Y.L.; Chen, Y.P.; Xu, L.J.; Liao, P.F.; Wang, G. Comparison of biological characteristics of mesenchymal stem cells derived from the human umbilical cord and decidua parietalis. Mol. Med. Rep. 2019, 20, 633–639. [Google Scholar] [CrossRef]
- Tamm, C.; Pijuan Galitó, S.; Annerén, C. A comparative study of protocols for mouse embryonic stem cell culturing. PLoS ONE 2013, 8, e81156. [Google Scholar] [CrossRef]
- Zhan, X.-S.; El-Ashram, S.; Luo, D.-Z.; Luo, H.-N.; Wang, B.-Y.; Chen, S.-F.; Bai, Y.-S.; Chen, Z.-S.; Liu, C.-Y.; Ji, H.-Q. A comparative study of biological characteristics and transcriptome profiles of mesenchymal stem cells from different canine tissues. Int. J. Mol. Sci. 2019, 20, 1485. [Google Scholar] [CrossRef] [PubMed]
- Lee, Y.K.; Kim, S.Y.; Kim, K.H.; Chun, B.-H.; Lee, K.-H.; Oh, D.J.; Chung, N. Use of soybean protein hydrolysates for promoting proliferation of human keratinocytes in serum-free medium. Biotechnol. Lett. 2008, 30, 1931–1936. [Google Scholar] [CrossRef] [PubMed]
- Hsieh, C.-H.; Wang, T.-Y.; Tung, B.-C.; Liu, H.-P.; Yeh, L.-T.; Hsu, K.-C. The Hydrolytic Peptides of Soybean Protein Induce Cell Cycle Arrest and Apoptosis on Human Oral Cancer Cell Line HSC-3. Molecules 2022, 27, 2839. [Google Scholar] [CrossRef] [PubMed]
- Radošević, K.; Dukić, B.; Andlar, M.; Slivac, I.; Gaurina Srček, V. Adaptation and cultivation of permanent fish cell line CCO in serum-free medium and influence of protein hydrolysates on growth performance. Cytotechnology 2016, 68, 115–121. [Google Scholar] [CrossRef]
- Chun, B.-H.; Kim, J.-H.; Lee, H.-J.; Chung, N. Usability of size-excluded fractions of soy protein hydrolysates for growth and viability of Chinese hamster ovary cells in protein-free suspension culture. Bioresour. Technol. 2007, 98, 1000–1005. [Google Scholar] [CrossRef]
- Jo, K.; Hong, K.-B.; Suh, H.J. Effects of the Whey Protein Hydrolysates of Various Protein Enzymes on the Proliferation and Differentiation of 3T3-E1 Osteoblasts. Prev. Nutr. Food Sci. 2020, 25, 71. [Google Scholar] [CrossRef]
- Defendi-Cho, G.; Gould, T.M. In Vitro Culture of Bovine Fibroblasts using Select Serum-Free Media Supplemented with Chlorella vulgaris Extract. bioRxiv 2021. [Google Scholar] [CrossRef]
- Girón-Calle, J.; Alaiz, M.; Vioque, J. Effect of chickpea protein hydrolysates on cell proliferation and in vitro bioavailability. Food Res. Int. 2010, 43, 1365–1370. [Google Scholar] [CrossRef]
- Burteau, C.C.; Verhoeye, F.R.; Molsl, J.F.; Ballez, J.-S.; Agathos, S.N.; Schneider, Y.-J. Fortification of a protein-free cell culture medium with plant peptones improves cultivation and productivity of an interferon-γ-producing CHO cell line. Vitr. Cell. Dev. Biol. Anim. 2003, 39, 291–296. [Google Scholar] [CrossRef]
- Ng, J.Y.; Chua, M.L.; Zhang, C.; Hong, S.; Kumar, Y.; Gokhale, R.; Ee, P.L.R. Chlorella vulgaris extract as a serum replacement that enhances mammalian cell growth and protein expression. Front. Bioeng. Biotechnol. 2020, 8, 564667. [Google Scholar] [CrossRef]
- Bucevičius, J.; Lukinavičius, G.; Gerasimaitė, R. The use of hoechst dyes for DNA staining and beyond. Chemosensors 2018, 6, 18. [Google Scholar] [CrossRef]
- Huang, Y.; Fu, Z.; Dong, W.; Zhang, Z.; Mu, J.; Zhang, J. Serum starvation-induces down-regulation of Bcl-2/Bax confers apoptosis in tongue coating-related cells in vitro. Mol. Med. Rep. 2018, 17, 5057–5064. [Google Scholar] [CrossRef] [PubMed]
- Dominguez, R.; Holmes, K.C. Actin structure and function. Annu. Rev. Biophys. 2011, 40, 169. [Google Scholar] [CrossRef] [PubMed]
- Wallenstein, E.J.; Barminko, J.; Schloss, R.S.; Yarmush, M.L. Serum starvation improves transient transfection efficiency in differentiating embryonic stem cells. Biotechnol. Prog. 2010, 26, 1714–1723. [Google Scholar] [CrossRef] [PubMed]
- Bellani, C.F.; Ajeian, J.; Duffy, L.; Miotto, M.; Groenewegen, L.; Connon, C.J. Scale-up technologies for the manufacture of adherent cells. Front. Nutr. 2020, 7, 575146. [Google Scholar] [CrossRef] [PubMed]
- Abduh, M.Y.; Tejo, F.; Hidaya, G.M.S.; Eka, R.J.R.; Putra, R.M.; Permana, A.D.; Mandasari, M.I. Production of protein hydrolysate and biodiesel from black soldier fly larvae cultivated using rotten avocado and tofu residue. Lond. J. Res. Sci. Nat. Form. 2020, 20, 925652. [Google Scholar]
- Firmansyah, M.; Abduh, M.Y. Production of protein hydrolysate containing antioxidant activity from Hermetia illucens. Heliyon 2019, 5, e02005. [Google Scholar] [CrossRef]
- Mohd Rodzi, N.D. Production of Green Mussel Hydrolysate (Perna viridis) for Umami Flavor Development. Degree of Bachelor of Science, Universiti Teknologi MARA, Shah Alam, Malaysia, 2015. [Google Scholar]
- Normah, I.; Asmah, A. Characterization of green mussel (Perna viridis) hydrolysate prepared using alcalase and starfruit (Averrhoa carambola L.) protease. Int. Food Res. J. 2016, 23, 1409–1417. [Google Scholar]




| Substrate | Water to Substrate Ratio (v/v) | Enzyme (%) | Hydrolysis Time (h) | Reference |
|---|---|---|---|---|
| BSF | 3:1 | 2 | 1 | [16] |
| Cricket | 3:1 | 2 | 1 | [17] |
| Oyster | 3:1 | 1 | 1 | [18] |
| Mussel | 3:1 | 2 | 1 | [19] |
| Lugworm | 1:1 | 2 | 1 | [20] |
| Amino Acid (g/100g of Protein) | BSL | Cricket | Oyster | Mussel | Lugworm |
|---|---|---|---|---|---|
| Phenylalanine | 1.99 | 2.12 | 1.51 | 1.32 | 1.99 |
| Valine | 4.02 | 4.03 | 2.21 | 2.02 | 2.55 |
| Threonine | 2.41 | 2.91 | 1.91 | 2.04 | 2.16 |
| Tryptophan | 0.79 | 0.57 | 0.36 | 0.43 | 0.50 |
| Methionine | 0.85 | 1.25 | 1.07 | 0.88 | 1.13 |
| Leucine | 4.09 | 5.16 | 2.91 | 2.77 | 3.66 |
| Isoleucine | 2.72 | 2.84 | 1.98 | 1.84 | 2.34 |
| Lysine | 4.85 | 5.27 | 3.11 | 3.03 | 4.02 |
| Histidine | 1.85 | 1.69 | 0.83 | 0.87 | 1.14 |
| Taurine | 0.10 | 1.20 | 0.87 | 3.50 | 0.78 |
| Hydroxyproline | 0.00 | 0.20 | 0.58 | 0.28 | 0.31 |
| Aspartic Acid | 5.51 | 8.01 | 3.95 | 4.43 | 5.05 |
| Serine | 2.64 | 3.81 | 1.79 | 1.94 | 1.90 |
| Glutamic Acid | 8.51 | 10.52 | 4.81 | 5.95 | 6.71 |
| Proline | 3.94 | 3.98 | 1.60 | 1.77 | 2.06 |
| Lanthionine | 0.22 | 0.20 | 0.15 | 0.13 | 0.22 |
| Glycine | 3.23 | 4.33 | 2.09 | 3.77 | 2.70 |
| Alanine | 4.43 | 5.87 | 2.25 | 2.85 | 4.62 |
| Cysteine | 0.49 | 0.59 | 0.58 | 0.61 | 0.66 |
| Tyrosine | 3.53 | 2.65 | 1.68 | 1.48 | 1.61 |
| Hydroxylysine | 0.04 | 0.04 | 0.03 | 0.09 | 0.00 |
| Ornithine | 0.08 | 0.16 | 0.60 | 0.11 | 0.22 |
| Arginine | 3.47 | 5.76 | 2.91 | 2.82 | 3.51 |
| Total amino acid content (g/100 g protein) | 59.70 | 73.12 | 39.70 | 44.88 | 49.80 |
| Protein content (%) | 43.95 | 69.55 | 44.69 | 54.25 | 56.59 |
| DIAAS score (%) | 140.84 | 96.42 | 92.31 | 80.18 | 97.85 |
| Protein quality | Excellent | Good | Good | Good | Good |
| Substrate | Dry Yield (%) | Productivity (mg/mL) | Yield and Productivity from the Literature 1 | Raw Material Cost (per kg) | Cost/1 kg Protein Hydrolysates (USD) * | Cost for 100 kg Cultivated Meat (USD) ** |
|---|---|---|---|---|---|---|
| BSF | 16.57 ± 0.46 | 60 ± 0.00 | 10.7–6.9% 21 mg/mL 12.1–12.4% | 15.16 | 91.51 | 0.915 |
| Cricket | 16.68 ± 1.45 | 60 ± 0.01 | 9.7–12.1% 5.7–11.2% | 82.48 | 494.5 | 4.94 |
| Mussel | 9.78 ± 0.40 | 30 ± 0.00 | 5.27–8.66% 8.34% | 55.75 | 570.1 | 5.70 |
| Oyster | 9.39 ± 0.95 | 30 ± 0.00 | – | 89.2 | 950 | 9.50 |
| Lugworm | 30.05 ± 1.24 | 100.16 ± 0.00 | – | 274.3 | 912.77 | 9.12 |
Publisher’s Note: MDPI stays neutral with regard to jurisdictional claims in published maps and institutional affiliations. |
© 2022 by the authors. Licensee MDPI, Basel, Switzerland. This article is an open access article distributed under the terms and conditions of the Creative Commons Attribution (CC BY) license (https://creativecommons.org/licenses/by/4.0/).
Share and Cite
Batish, I.; Zarei, M.; Nitin, N.; Ovissipour, R. Evaluating the Potential of Marine Invertebrate and Insect Protein Hydrolysates to Reduce Fetal Bovine Serum in Cell Culture Media for Cultivated Fish Production. Biomolecules 2022, 12, 1697. https://doi.org/10.3390/biom12111697
Batish I, Zarei M, Nitin N, Ovissipour R. Evaluating the Potential of Marine Invertebrate and Insect Protein Hydrolysates to Reduce Fetal Bovine Serum in Cell Culture Media for Cultivated Fish Production. Biomolecules. 2022; 12(11):1697. https://doi.org/10.3390/biom12111697
Chicago/Turabian StyleBatish, Inayat, Mohammad Zarei, Nitin Nitin, and Reza Ovissipour. 2022. "Evaluating the Potential of Marine Invertebrate and Insect Protein Hydrolysates to Reduce Fetal Bovine Serum in Cell Culture Media for Cultivated Fish Production" Biomolecules 12, no. 11: 1697. https://doi.org/10.3390/biom12111697
APA StyleBatish, I., Zarei, M., Nitin, N., & Ovissipour, R. (2022). Evaluating the Potential of Marine Invertebrate and Insect Protein Hydrolysates to Reduce Fetal Bovine Serum in Cell Culture Media for Cultivated Fish Production. Biomolecules, 12(11), 1697. https://doi.org/10.3390/biom12111697

