Anti-EGFR VHH Antibody under Thermal Stress Is Better Solubilized with a Lysine than with an Arginine SEP Tag
Abstract
1. Introduction
2. Materials and Methods
2.1. Mutant Design and Protein Expression
2.2. Large Scale Protein Expression and Purification
2.3. Dynamic Light Scattering (DLS)
2.4. Spectroscopic Measurements
2.5. Surface Plasmon Resonance (SPR)
2.6. Determination of Protein Aggregation under Thermal Stress
3. Results and Discussion
3.1. Effect of SEP Tags on E. coli Expression of Anti-EGFR VHH-7D12 Variants
3.2. Biophysical and Functional Properties of VHH-7D12 Variants
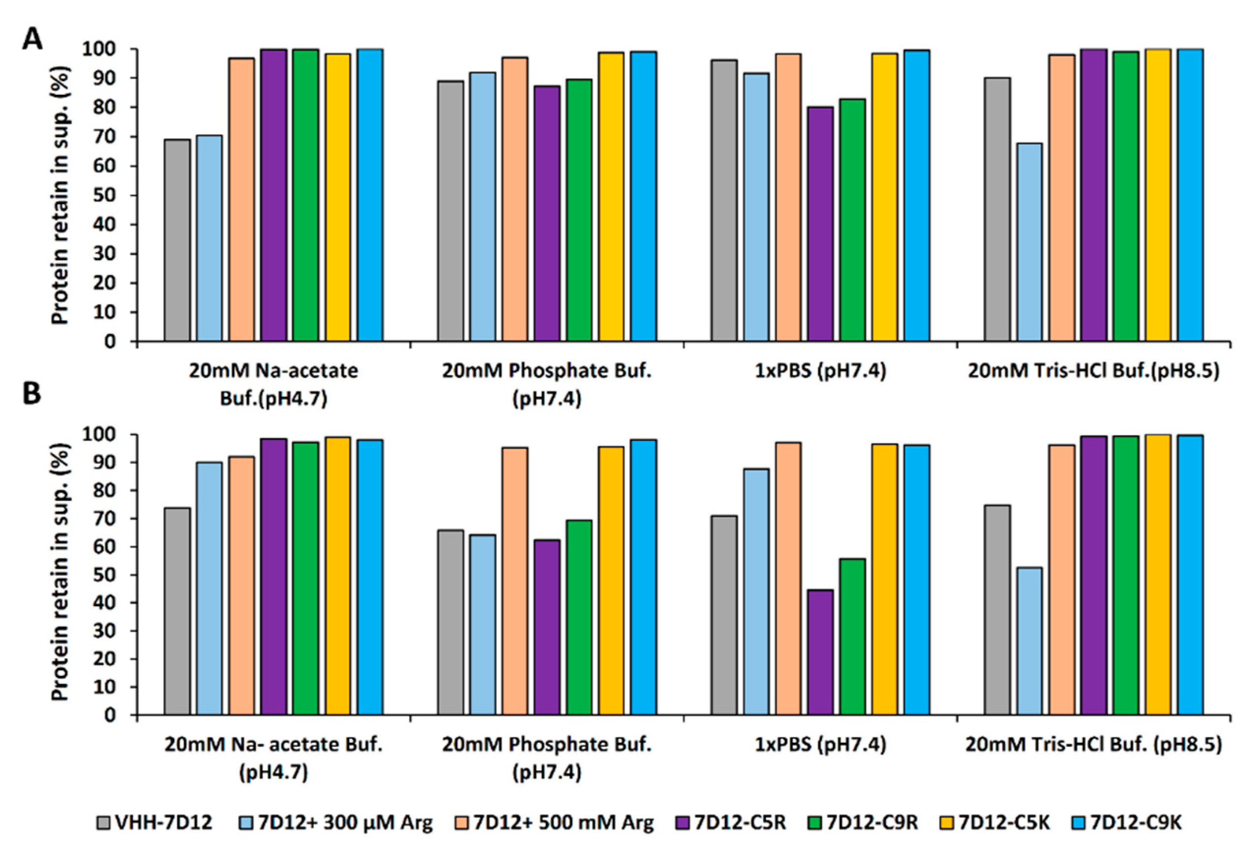
3.3. Effect of Thermal Stress on VHH-7D12 Variant’s Aggregation
3.4. The SEP Tag Is a Versatile Technique for Solubilizing Proteins
4. Conclusions
Supplementary Materials
Author Contributions
Funding
Institutional Review Board Statement
Informed Consent Statement
Data Availability Statement
Acknowledgments
Conflicts of Interest
References
- Carter, P.J. Potent antibody therapeutics by design. Nat. Rev. Immunol. 2006, 6, 343–357. [Google Scholar] [CrossRef] [PubMed]
- Leader, B.; Baca, Q.J.; Golan, D.E. Protein therapeutics: A summary and pharmacological classification. Nat. Rev. Drug Discov. 2008, 7, 21–39. [Google Scholar] [CrossRef] [PubMed]
- Nelson, A.L.; Reichert, J.M. Development trends for therapeutic antibody fragments. Nat. Biotechnol. 2009, 27, 331–337. [Google Scholar] [CrossRef]
- Holliger, P.; Hudson, P.J. Engineered antibody fragments and the rise of single domains. Nat. Biotechnol. 2005, 23, 1126–1136. [Google Scholar] [CrossRef] [PubMed]
- Nessler, I.; Khera, E.; Vance, S.; Kopp, A.; Qiu, Q.; Keating, T.A.; Abu-Yousif, A.O.; Sandal, T.; Legg, J.; Thompson, L.; et al. Increased Tumor Penetration of Single-Domain Antibody–Drug Conjugates Improves In Vivo Efficacy in Prostate Cancer Models. Cancer Res. 2020, 80, 1268–1278. [Google Scholar] [CrossRef]
- Roberts, C.J. Therapeutic protein aggregation: Mechanisms, design, and control. Trends Biotechnol. 2014, 32, 372–380. [Google Scholar] [CrossRef]
- Kibria, M.G.; Akazawa-Ogawa, Y.; Hagihara, Y.; Kuroda, Y. Immune response with long-term memory triggered by amorphous aggregates of misfolded anti-EGFR VHH-7D12 is directed against the native VHH-7D12 as well as the framework of the analogous VHH-9G8. Eur. J. Pharm. Biopharm. 2021, 165, 13–21. [Google Scholar] [CrossRef]
- Moussa, E.M.; Panchal, J.P.; Moorthy, B.S.; Blum, J.S.; Joubert, M.K.; Narhi, L.O.; Topp, E.M. Immunogenicity of Therapeutic Protein Aggregates. J. Pharm. Sci. 2016, 105, 417–430. [Google Scholar] [CrossRef]
- Ratanji, K.D.; Derrick, J.P.; Dearman, R.J.; Kimber, I. Immunogenicity of therapeutic proteins: Influence of aggregation. J. Immunotoxicol. 2014, 11, 99–109. [Google Scholar] [CrossRef]
- Cromwell, M.E.M.; Hilario, E.; Jacobson, F. Protein aggregation and bioprocessing. AAPS J. 2006, 8, E572–E579. [Google Scholar] [CrossRef]
- Wang, W.; Nema, S.; Teagarden, D. Protein aggregation—Pathways and influencing factors. Int. J. Pharm. 2010, 390, 89–99. [Google Scholar] [CrossRef] [PubMed]
- Fink, A.L. Protein aggregation: Folding aggregates, inclusion bodies and amyloid. Fold. Des. 1998, 3, R9–R23. [Google Scholar] [CrossRef]
- Kuroda, Y. Biophysical studies of protein solubility and amorphous aggregation by systematic mutational analysis and a helical polymerization model. Biophys. Rev. 2018, 10, 473–480. [Google Scholar] [CrossRef]
- Nakamura, S.; Kibria, G.; Unzai, S.; Kuroda, Y.; Kidokoro, S.-I. Reversible Oligomerization and Reverse Hydrophobic Effect Induced by Isoleucine Tags Attached at the C-Terminus of a Simplified BPTI Variant. Biochemistry 2020, 59, 3660–3668. [Google Scholar] [CrossRef]
- Arakawa, T.; Tsumoto, K. The effects of arginine on refolding of aggregated proteins: Not facilitate refolding, but suppress aggregation. Biochem. Biophys. Res. Commun. 2003, 304, 148–152. [Google Scholar] [CrossRef]
- Hamada, H.; Takahashi, R.; Noguchi, T.; Shiraki, K. Differences in the Effects of Solution Additives on Heat- and Refolding-Induced Aggregation. Biotechnol. Prog. 2008, 24, 436–443. [Google Scholar] [CrossRef]
- Rudolph, R. Modern Methods in Protein- and Nucleic Acid Research, in Renaturation of Recombinant, Disulfide-Bonded Proteins Froh "Inclusion Bodies"; Harald, T., Ed.; De Gruyter: Berlin, Germany, 2019; pp. 149–172. [Google Scholar]
- Stoyan, T.; Michaelis, U.; Schooltink, H.; Van Dam, M.; Rudolph, R.; Heinrich, P.C.; Rose-John, S. Recombinant soluble human interleukin-6 receptor. Expression in Escherichia coli, renaturation and purification. JBIC J. Biol. Inorg. Chem. 1993, 216, 239–245. [Google Scholar] [CrossRef]
- Golovanov, A.P.; Hautbergue, G.M.; Wilson, S.A.; Lian, L.-Y. A Simple Method for Improving Protein Solubility and Long-Term Stability. J. Am. Chem. Soc. 2004, 126, 8933–8939. [Google Scholar] [CrossRef]
- Kudou, M.; Yumioka, R.; Ejima, D.; Arakawa, T.; Tsumoto, K. A novel protein refolding system using lauroyl-l-glutamate as a solubilizing detergent and arginine as a folding assisting agent. Protein Expr. Purif. 2011, 75, 46–54. [Google Scholar] [CrossRef] [PubMed]
- Kumar, N.; Kishore, N. Arginine inhibits aggregation of α-lactalbumin but also decreases its stability: Calorimetric, spectroscopic, and molecular dynamics studies. J. Chem. Thermodyn. 2014, 78, 159–166. [Google Scholar] [CrossRef]
- Khan, M.A.; Islam, M.M.; Kuroda, Y. Analysis of protein aggregation kinetics using short amino acid peptide tags. Biochim. Biophys. Acta 2013, 10, 28. [Google Scholar] [CrossRef] [PubMed]
- Kabir, G.; Islam, M.M.; Kuroda, Y. Reversible association of proteins into sub-visible amorphous aggregates using short solubility controlling peptide tags. Biochim. et Biophys. Acta (BBA) Proteins Proteom. 2018, 1866, 366–372. [Google Scholar] [CrossRef]
- Islam, M.M.; Miura, S.; Hasan, M.N.; Rahman, N.; Kuroda, Y. Anti-Dengue ED3 Long-Term Immune Response With T-Cell Memory Generated Using Solubility Controlling Peptide Tags. Front. Immunol. 2020, 11, 333. [Google Scholar] [CrossRef]
- Nautiyal, K.; Kibria, G.; Akazawa-Ogawa, Y.; Hagihara, Y.; Kuroda, Y. Design and assessment of an active anti-epidermal growth factor receptor (EGFR) single chain variable fragment (ScFv) with improved solubility. Biochem. Biophys. Res. Commun. 2019, 508, 1043–1049. [Google Scholar] [CrossRef]
- Nautiyal, K.; Kuroda, Y. A SEP tag enhances the expression, solubility and yield of recombinant TEV protease without altering its activity. New Biotechnol. 2018, 42, 77–84. [Google Scholar] [CrossRef]
- Rathnayaka, T.; Tawa, M.; Nakamura, T.; Sohya, S.; Kuwajima, K.; Yohda, M.; Kuroda, Y. Solubilization and folding of a fully active recombinant Gaussia luciferase with native disulfide bonds by using a SEP-Tag. Biochim. et Biophys. Acta (BBA) Proteins Proteom. 2011, 1814, 1775–1778. [Google Scholar] [CrossRef]
- Wu, N.; Kobayashi, N.; Tsuda, K.; Unzai, S.; Saotome, T.; Kuroda, Y.; Yamazaki, T. Solution structure of Gaussia Luciferase with five disulfide bonds and identification of a putative coelenterazine binding cavity by heteronuclear NMR. Sci. Rep. 2020, 10, 1–11. [Google Scholar] [CrossRef] [PubMed]
- Brindha, S.; Kibria, G.; Saotome, T.; Unzai, S.; Kuroda, Y. EGFR extracellular domain III expressed in Escherichia coli with SEP tag shows improved biophysical and functional properties and generate anti-sera inhibiting cancer cell growth. Biochem. Biophys. Res. Commun. 2021, 555, 121–127. [Google Scholar] [CrossRef]
- Doering, D.S.; Matsudaira, P. Cysteine Scanning Mutagenesis at 40 of 76 Positions in Villin Headpiece Maps the F-Actin Binding Site and Structural Features of the Domain†. Biochemistry 1996, 35, 12677–12685. [Google Scholar] [CrossRef] [PubMed]
- DeLano, W.L. Pymol: An open-source molecular graphics tool. CCP4 Newsl. Protein Crystallogr. 2002, 40, 82–92. [Google Scholar]
- Schmitz, K.R.; Bagchi, A.; Roovers, R.; Henegouwen, P.M.V.B.E.; Ferguson, K.M. Structural Evaluation of EGFR Inhibition Mechanisms for Nanobodies/VHH Domains. Structure 2013, 21, 1214–1224. [Google Scholar] [CrossRef] [PubMed]
- Kibria, M.G.; Akazawa-Ogawa, Y.; Rahman, N.; Hagihara, Y.; Kuroda, Y. The immunogenicity of an anti-EGFR single domain antibody (VHH) is enhanced by misfolded amorphous aggregation but not by heat-induced aggregation. Eur. J. Pharm. Biopharm. 2020, 152, 164–174. [Google Scholar] [CrossRef]
- Micsonai, A.; Wien, F.; Bulyáki, É.; Kun, J.; Moussong, É.; Lee, Y.-H.; Goto, Y.; Réfrégiers, M.; Kardos, J. BeStSel: A web server for accurate protein secondary structure prediction and fold recognition from the circular dichroism spectra. Nucleic Acids Res. 2018, 46, W315–W322. [Google Scholar] [CrossRef] [PubMed]
- Calnan, B.J.; Tidor, B.; Biancalana, S.; Hudson, D.; Frankel, A.D. Arginine-mediated RNA recognition: The arginine fork. Science 1991, 252, 1167–1171. [Google Scholar] [CrossRef] [PubMed]
- Hamelberg, D.; Shen, T.; McCammon, J.A. A proposed signaling motif for nuclear import in mRNA processing via the formation of arginine claw. Proc. Natl. Acad. Sci. USA 2007, 104, 14947–14951. [Google Scholar] [CrossRef]
- Frigyes, D.; Alber, F.; Pongor, S.; Carloni, P. Arginine–phosphate salt bridges in protein–DNA complexes: A Car–Parrinello study. J. Mol. Struct. THEOCHEM 2001, 574, 39–45. [Google Scholar] [CrossRef]
- Islam, M.M.; Khan, M.A.; Kuroda, Y. Analysis of amino acid contributions to protein solubility using short peptide tags fused to a simplified BPTI variant. Biochim. Biophys. Acta 2012, 10, 20. [Google Scholar] [CrossRef] [PubMed]
- Uversky, V.N.; Finkelstein, A.V. Life in Phases: Intra- and Inter- Molecular Phase Transitions in Protein Solutions. Biomolecules 2019, 9, 842. [Google Scholar] [CrossRef]
- Jurado, P.; de Lorenzo, V.; Fernández, L.A. Thioredoxin Fusions Increase Folding of Single Chain Fv Antibodies in the Cytoplasm of Escherichia coli: Evidence that Chaperone Activity is the Prime Effect of Thioredoxin. J. Mol. Biol. 2006, 357, 49–61. [Google Scholar] [CrossRef]
- Sun, W.; Xie, J.; Lin, H.; Mi, S.; Li, Z.; Hua, F.; Hu, Z. A combined strategy improves the solubility of aggregation-prone single-chain variable fragment antibodies. Protein Expr. Purif. 2012, 83, 21–29. [Google Scholar] [CrossRef]
- Liu, Z.; Zhang, J.; Fan, H.; Yin, R.; Zheng, Z.; Xu, Q.; Liu, Q.; He, H.; Peng, X.; Wang, X.; et al. Expression and purification of soluble single-chain Fv against human fibroblast growth factor receptor 3 fused with Sumo tag in Escherichia coli. Electron. J. Biotechnol. 2015, 18, 302–306. [Google Scholar] [CrossRef][Green Version]
- Islam, M.M.; Nakamura, S.; Noguchi, K.; Yohda, M.; Kidokoro, S.-I.; Kuroda, Y. Analysis and Control of Protein Crystallization Using Short Peptide Tags That Change Solubility without Affecting Structure, Thermal Stability, and Function. Cryst. Growth Des. 2015, 15, 2703–2711. [Google Scholar] [CrossRef]
- Paraskevopoulou, V.; Falcone, F.H. Polyionic Tags as Enhancers of Protein Solubility in Recombinant Protein Expression. Microorg. 2018, 6, 47. [Google Scholar] [CrossRef] [PubMed]
- Rathnayaka, T.; Tawa, M.; Sohya, S.; Yohda, M.; Kuroda, Y. Biophysical characterization of highly active recombinant Gaussia luciferase expressed in Escherichia coli. Biochim. Biophys. Acta 2010, 9, 7. [Google Scholar] [CrossRef]





| Variants | MW (Da) | Tm (°C) | SPR | |||
|---|---|---|---|---|---|---|
| kon (M−1s−1) | koff (s−1) | KD(M) | KD(M) heat | |||
| VHH-7D12 | 13,635 | 63 | 3.2 × 105 ± 5.0 × 104 | 0.003 ± 9.7 × 10−5 | 1.1 × 10−8 ± 1.7 × 10−9 | 1.0 × 10−8 ± 1.8 × 10−10 |
| 7D12-C5R | 14,588 | 61 | 4.1 × 105 ± 5.9 × 104 | 0.004 ± 3.8 × 10−5 | 9.7 × 10−9 ± 1.3 × 10−9 | 1.1 × 10−8 ± 5.9 × 10−10 |
| 7D12-C9R | 15,269 | 61 | 4.5 × 105 ± 6.6 × 104 | 0.004 ±1.0 × 10−4 | 9.4 × 10−9 ± 1.0 × 10−9 | 1.0 × 10−8 ± 6.9 × 10−10 |
| 7D12-C5K | 14,447 | 59 | 3.8 × 105 ± 3.4 × 104 | 0.003 ± 4.1 × 10−5 | 1.0 × 10−8 ± 1.0 × 10−9 | 1.1 × 10−8 ± 5.7 × 10−11 |
| 7D12-C9K | 15,017 | 59 | 3.6 × 105 ± 1.4 × 104 | 0.004 ± 0.0001 | 1.2 × 10−8 ± 8.6 × 10−10 | 1.1 × 10−8 ± 7.3 × 10−11 |
| Variants | 60 °C | 75 °C | ||||||
|---|---|---|---|---|---|---|---|---|
| Na-Acetate | PB | PBS | Tris-HCl | Na-Acetate | PB | PBS | Tris-HCl | |
| VHH-7D12 | 68.9 | 89.0 | 96.1 | 90.2 | 73.7 | 65.9 | 70.9 | 74.7 |
| 7D12 + Arg * | 47.3 | 91.8 | 91.6 | 67.8 | 90.1 | 64.2 | 87.7 | 52.6 |
| 7D12 + Arg ** | 96.7 | 97.0 | 98.2 | 97.8 | 92.0 | 95.3 | 97.0 | 96.1 |
| 7D12-C5R | 99.8 | 87.3 | 80.2 | 100.0 | 98.4 | 62.3 | 44.6 | 99.4 |
| 7D12-C9R | 99.8 | 89.5 | 82.8 | 98.9 | 97.2 | 69.3 | 55.7 | 100.0 |
| 7D12-C5K | 98.2 | 98.8 | 98.4 | 100.0 | 99.0 | 95.5 | 96.6 | 99.4 |
| 7D12-C9K | 100.0 | 98.9 | 99.4 | 100.0 | 98.0 | 98.2 | 96.2 | 99.6 |
| Variants | Na-Acetate | PB | PBS | Tris-HCl |
|---|---|---|---|---|
| VHH-7D12 | 135.7 ± 29.3 | 84.3 ± 12.3 | 122.4 ± 12.6 | 265.1 ± 45.0 |
| 7D12 + 300 µM Arg | 119.7 ± 21.5 | 77.9 ± 16.7 | 231.6 ± 39.8 | 197.5 ± 31.5 |
| 7D12 + 500 mM Arg | 13.6 ± 3.4 | 86.6 ± 21.7 | 1228.3 ± 246.5 | 32.6 ± 15.1 |
| 7D12-C5R | 50.3 ± 9.8 | 349.9 ± 133.5 | 38.1 ± 5.6 | 10.1 ± 0.7 |
| 7D12-C9R | 39.4 ± 17.0 | 86.2 ± 19.0 | 19.7 ± 1.3 | 7.3 ± 1.1 |
| 7D12-C5K | 39.0 ± 15.0 | 34.5 ± 1.2 | 7.8 ± 0.1 | 6.7 ± 0.7 |
| 7D12-C9K | 41.5 ± 15.2 | 20.5 ± 1.8 | 45.2 ± 7.7 | 6.4 ± 0.1 |
Publisher’s Note: MDPI stays neutral with regard to jurisdictional claims in published maps and institutional affiliations. |
© 2021 by the authors. Licensee MDPI, Basel, Switzerland. This article is an open access article distributed under the terms and conditions of the Creative Commons Attribution (CC BY) license (https://creativecommons.org/licenses/by/4.0/).
Share and Cite
Kibria, M.G.; Fukutani, A.; Akazawa-Ogawa, Y.; Hagihara, Y.; Kuroda, Y. Anti-EGFR VHH Antibody under Thermal Stress Is Better Solubilized with a Lysine than with an Arginine SEP Tag. Biomolecules 2021, 11, 810. https://doi.org/10.3390/biom11060810
Kibria MG, Fukutani A, Akazawa-Ogawa Y, Hagihara Y, Kuroda Y. Anti-EGFR VHH Antibody under Thermal Stress Is Better Solubilized with a Lysine than with an Arginine SEP Tag. Biomolecules. 2021; 11(6):810. https://doi.org/10.3390/biom11060810
Chicago/Turabian StyleKibria, Md. Golam, Akari Fukutani, Yoko Akazawa-Ogawa, Yoshihisa Hagihara, and Yutaka Kuroda. 2021. "Anti-EGFR VHH Antibody under Thermal Stress Is Better Solubilized with a Lysine than with an Arginine SEP Tag" Biomolecules 11, no. 6: 810. https://doi.org/10.3390/biom11060810
APA StyleKibria, M. G., Fukutani, A., Akazawa-Ogawa, Y., Hagihara, Y., & Kuroda, Y. (2021). Anti-EGFR VHH Antibody under Thermal Stress Is Better Solubilized with a Lysine than with an Arginine SEP Tag. Biomolecules, 11(6), 810. https://doi.org/10.3390/biom11060810

