Novel Xanthone Derivatives Impair Growth and Invasiveness of Colon Cancer Cells In Vitro
Abstract
:1. Introduction
2. Materials and Methods
2.1. Chemicals
2.2. Synthesis and Purification of Xanthone Derivatives
2.3. Cell Culture and Treatment Conditions
2.4. Cell Viability and GI50 Values Determination
2.5. Cell Proliferation
2.6. Apoptosis Determination
2.7. Clonogenic Assay
2.8. Wound Migration Assay
2.9. Invasion Assay
2.10. Adhesion to ECM
2.11. Adhesion to Endothelial Cells
2.12. Capillary Tube Formation Assay
2.13. RNA Extraction
2.14. Real-Time RT-PCR
2.15. ELISA
2.16. Statistical Analysis
3. Results
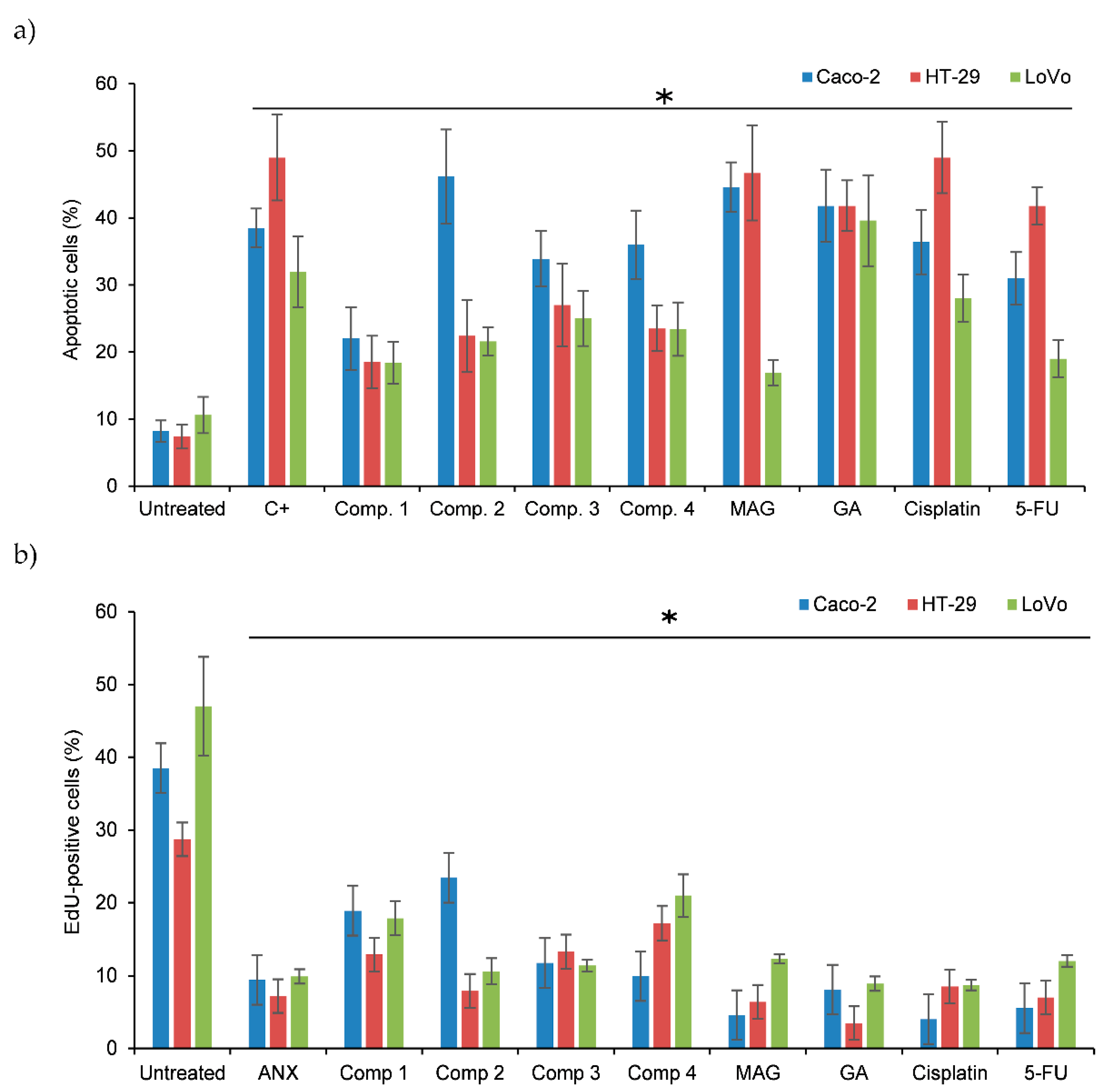
3.1. Cytotoxic, Antiproliferative, and Proapoptotic Potential of Xanthone Derivatives
3.2. Xanthone Treatments Impaired the Clonogenicity, Migration, and Invasion of Colon Cancer Cells
3.3. Interaction between Colon Cancer, Endothelial Cells, and ECM under Xanthone Treatments
3.4. Xanthone Treatments Influence the Expression of Genes Involved in Invasion and Metastasis
3.5. Expression of VEGF and ICAM-1 Protein under Xanthone Treatment
4. Discussion
5. Conclusions
Author Contributions
Funding
Institutional Review Board Statement
Informed Consent Statement
Data Availability Statement
Conflicts of Interest
References
- Arnold, M.; Sierra, M.S.; Laversanne, M.; Soerjomataram, I.; Jemal, A.; Bray, F. Global patterns and trends in colorectal cancer incidence and mortality. Gut 2016, 66, 683–691. [Google Scholar] [CrossRef] [Green Version]
- Bray, F.; Me, J.F.; Soerjomataram, I.; Siegel, R.L.; Torre, L.A.; Jemal, A. Global cancer statistics 2018: GLOBOCAN estimates of incidence and mortality worldwide for 36 cancers in 185 countries. CA Cancer J. Clin. 2018, 68, 394–424. [Google Scholar] [CrossRef] [PubMed] [Green Version]
- Araghi, M.; Arnold, M.; Rutherford, M.J.; Guren, M.G.; Cabasag, C.J.; Bardot, A.; Ferlay, J.; Tervonen, H.; Shack, L.; Woods, R.; et al. Colon and rectal cancer survival in seven high-income countries 2010–2014: Variation by age and stage at diagnosis (the ICBP SURVMARK-2 project). Gut 2020, 70, 114–126. [Google Scholar] [CrossRef] [PubMed]
- Gandomani, H.S.; Yousefi, S.M.; Aghajani, M.; Mohammadian-Hafshejani, A.; Tarazoj, A.A.; Pouyesh, V.; Salehiniya, H. Colorectal cancer in the world: Incidence, mortality and risk factors. Biomed. Res. Ther. 2017, 4, 1656. [Google Scholar] [CrossRef] [Green Version]
- Xie, Y.-H.; Chen, Y.-X.; Fang, J.-Y. Comprehensive review of targeted therapy for colorectal cancer. Signal Transduct. Target. Ther. 2020, 5, 22. [Google Scholar] [CrossRef] [PubMed]
- Piawah, S.; Venook, A.P. Targeted therapy for colorectal cancer metastases: A review of current methods of molecularly targeted therapy and the use of tumor biomarkers in the treatment of metastatic colorectal cancer. Cancer 2019, 125, 4139–4147. [Google Scholar] [CrossRef] [PubMed]
- Jiang, W.; Sanders, A.; Katoh, M.; Ungefroren, H.; Gieseler, F.; Prince, M.; Thompson, S.K.; Zollo, M.; Spano, D.; Dhawan, P.; et al. Tissue invasion and metastasis: Molecular, biological and clinical perspectives. Semin. Cancer Biol. 2015, 35, S244–S275. [Google Scholar] [CrossRef]
- Clark, A.G.; Vignjevic, D.M. Modes of cancer cell invasion and the role of the microenvironment. Curr. Opin. Cell Biol. 2015, 36, 13–22. [Google Scholar] [CrossRef] [Green Version]
- Nandikolla, A.G.; Rajdev, L. Targeting angiogenesis in gastrointestinal tumors: Current challenges. Transl. Gastroenterol. Hepatol. 2016, 1, 67. [Google Scholar] [CrossRef] [Green Version]
- Singh, A.; Kaur, N.; Sharma, S.; Mohinder, P.; Bedi, S. Recent progress in biologically active xanthones. J. Chem. Pharm. Res. 2016, 8, 75–131. [Google Scholar]
- Zhang, K.-J.; Gu, Q.-L.; Yang, K.; Ming, X.-J.; Wang, J.-X. Anticarcinogenic Effects of α-Mangostin: A Review. Planta Medica 2016, 83, 188–202. [Google Scholar] [CrossRef] [Green Version]
- Ibrahim, M.; Hashim, N.M.; Mariod, A.A.; Mohan, S.; Abdulla, M.A.; Abdelwahab, S.I.; Arbab, I.A. α-Mangostin from Garcinia mangostana Linn: An updated review of its pharmacological properties. Arab. J. Chem. 2016, 9, 317–329. [Google Scholar] [CrossRef] [Green Version]
- Chi, Y.; Zhan, X.-K.; Yu, H.; Xie, G.-R.; Wang, Z.-Z.; Xiao, W.; Wang, Y.-G.; Xiong, F.-X.; Hu, J.-F.; Yang, L.; et al. An open-labeled, randomized, multicenter phase IIa study of gambogic acid injection for advanced malignant tumors. Chin. Med. J. 2013, 126. [Google Scholar]
- Banik, K.; Harsha, C.; Bordoloi, D.; Sailo, B.L.; Sethi, G.; Leong, H.C.; Arfuso, F.; Mishra, S.; Wang, L.; Kumar, A.P.; et al. Therapeutic potential of gambogic acid, a caged xanthone, to target cancer. Cancer Lett. 2018, 416, 75–86. [Google Scholar] [CrossRef] [PubMed]
- Zhang, H.; Tan, Y.-P.; Zhao, L.; Wang, L.; Fu, N.-J.; Zheng, S.-P.; Shen, X.-F. Anticancer activity of dietary xanthone α-mangostin against hepatocellular carcinoma by inhibition of STAT3 signaling via stabilization of SHP1. Cell Death Dis. 2020, 11, 63. [Google Scholar] [CrossRef] [PubMed] [Green Version]
- Tang, Z.; Lu, L.; Xia, Z. Anti-Tumor Xanthones from Garcinia nujiangensis Suppress Proliferation, and Induce Apoptosis via PARP, PI3K/AKT/mTOR, and MAPK/ERK Signaling Pathways in Human Ovarian Cancers Cells. Drug Des. Dev. Ther. 2020, 14, 3965–3976. [Google Scholar] [CrossRef]
- Kirthanashri, S.V.; Kumar, N.R.; Chitra, S. Anti-cancer Activity of Garcinia mangostana L. and Its Derivatives in Cervical Cancer. Asian J. Res. Biochem. 2020, 6, 21–30. [Google Scholar] [CrossRef]
- Kubacka, M.; Szkaradek, N.; Mogilski, S.; Pańczyk, K.; Siwek, A.; Gryboś, A.; Filipek, B.; Żmudzki, P.; Marona, H.; Waszkielewicz, A. Design, synthesis and cardiovascular evaluation of some aminoisopropanoloxy derivatives of xanthone. Bioorg. Med. Chem. 2018, 26, 3773–3784. [Google Scholar] [CrossRef]
- Miladiyah, I.; Jumina, J.; Haryana, S.M.; Mustofa, M. Biological activity, quantitative structure—Activity relationship analysis, and molecular docking of xanthone derivatives as anticancer drugs. Drug Des. Dev. Ther. 2018, 12, 149–158. [Google Scholar] [CrossRef] [Green Version]
- Shagufta; Ahmad, I. Recent insight into the biological activities of synthetic xanthone derivatives. Eur. J. Med. Chem. 2016, 116, 267–280. [Google Scholar] [CrossRef]
- Sypniewski, D.; Szkaradek, N.; Loch, T.; Waszkielewicz, A.M.; Gunia-Krzyżak, A.; Matczyńska, D.; Sołtysik, D.; Marona, H.; Bednarek, I. Contribution of reactive oxygen species to the anticancer activity of aminoalkanol derivatives of xanthone. Investig. New Drugs 2017, 36, 355–369. [Google Scholar] [CrossRef] [Green Version]
- Pinto, M.; Palmeira, A.; Fernandes, C.; Resende, D.; Sousa, E.; Cidade, H.; Tiritan, M.; Correia-Da-Silva, M.; Cravo, S. From Natural Products to New Synthetic Small Molecules: A Journey through the World of Xanthones. Molecules 2021, 26, 431. [Google Scholar] [CrossRef]
- Szkaradek, N.; Sypniewski, D.; Waszkielewicz, A.; Gunia-Krzyżak, A.; Galilejczyk, A.; Gałka, S.; Marona, H.; Bednarek, I.A. Synthesis and in vitro Evaluation of the Anticancer Potential of New Aminoalkanol Derivatives of Xanthone. Anti-Cancer Agents Med. Chem. 2016, 16, 1587–1604. [Google Scholar] [CrossRef] [PubMed]
- Aranda, E.; Owen, G. A semi-quantitative assay to screen for angiogenic compounds and compounds with angiogenic potential using the EA.hy926 endothelial cell line. Biol. Res. 2009, 42, 377–389. [Google Scholar] [CrossRef] [PubMed] [Green Version]
- Ovalle-Magallanes, B.; Eugenio-Pérez, D.; Pedraza-Chaverri, J. Medicinal properties of mangosteen (Garcinia mangostana L.): A comprehensive update. Food Chem. Toxicol. 2017, 109, 102–122. [Google Scholar] [CrossRef] [PubMed]
- Vemu, B.; Nauman, M.C.; Veenstra, J.P.; Johnson, J.J. Structure Activity Relationship of Xanthones for Inhibition of Cyclin Dependent Kinase 4 from Mangosteen (Garcinia Mangostana L.). Int. J. Nutr. 2019, 4, 38–45. [Google Scholar] [CrossRef]
- Hatami, E.; Jaggi, M.; Chauhan, S.C.; Yallapu, M.M. Gambogic acid: A shining natural compound to nanomedicine for cancer therapeutics. Biochim. Biophys. Acta (BBA)—Bioenerg. 2020, 1874, 188381. [Google Scholar] [CrossRef]
- Lemos, A.; Gomes, A.S.; Loureiro, J.B.; Brandão, P.; Palmeira, A.; Pinto, M.M.M.; Saraiva, L.; Sousa, M.E. Synthesis, Biological Evaluation, and In Silico Studies of Novel Aminated Xanthones as Potential p53-Activating Agents. Molecules 2019, 24, 1975. [Google Scholar] [CrossRef] [Green Version]
- Xu, X.; Wu, Y.; Hu, M.; Li, X.; Bao, Q.; Bian, J.; You, Q.; Zhang, X. Novel Natural Product-like Caged Xanthones Bearing a Carbamate Moiety Exhibit Antitumor Potency and Anti-Angiogenesis Activity In vivo. Sci. Rep. 2016, 6, 35771. [Google Scholar] [CrossRef] [PubMed] [Green Version]
- Krishnamachary, B.; Subramaniam, D.; Dandawate, P.; Ponnurangam, S.; Srinivasan, P.; Ramamoorthy, P.; Umar, S.; Thomas, S.M.; Dhar, A.; Septer, S.; et al. Targeting transcription factor TCF4 by γ-Mangostin, a natural xanthone. Oncotarget 2019, 10, 5576–5591. [Google Scholar] [CrossRef] [PubMed] [Green Version]
- Watanapokasin, R.; Jarinthanan, F.; Jerusalmi, A.; Suksamrarn, S.; Nakamura, Y.; Sukseree, S.; Uthaisang-Tanethpongtamb, W.; Ratananukul, P.; Sano, T. Potential of Xanthones from Tropical Fruit Mangosteen as Anti-cancer Agents: Caspase-Dependent Apoptosis Induction In Vitro and in Mice. Appl. Biochem. Biotechnol. 2010, 162, 1080–1094. [Google Scholar] [CrossRef]
- Chitchumroonchokchai, C.; Thomas-Ahner, J.M.; Li, J.; Riedl, K.M.; Nontakham, J.; Suksumrarn, S.; Clinton, S.K.; Kinghorn, A.D.; Failla, M.L. Anti-tumorigenicity of dietary α-mangostin in an HT-29 colon cell xenograft model and the tissue distribution of xanthones and their phase II metabolites. Mol. Nutr. Food Res. 2012, 57, 203–211. [Google Scholar] [CrossRef]
- Wen, C.; Huang, L.; Chen, J.; Lin, M.; Li, W.; Lu, B.; Rutnam, Z.J.; Iwamoto, A.; Wang, Z.; Yang, X.; et al. Gambogic acid inhibits growth, induces apoptosis, and overcomes drug resistance in human colorectal cancer cells. Int. J. Oncol. 2015, 47, 1663–1671. [Google Scholar] [CrossRef] [PubMed] [Green Version]
- Chen, B.; Fang, L.; Liu, S.; Wang, R.; Hu, S.; Xia, G.; Tian, Y.; Cai, X. Synergistic effect of a combination of nanoparticulate Fe3O4 and gambogic acid on phosphatidylinositol 3-kinase/Akt/Bad pathway of LOVO cells. Int. J. Nanomed. 2012, 7, 4109–4118. [Google Scholar] [CrossRef] [PubMed] [Green Version]
- Yu, L.; Zhao, M.; Yang, B.; Bai, W. Immunomodulatory and anticancer activities of phenolics from Garcinia mangostana fruit pericarp. Food Chem. 2009, 116, 969–973. [Google Scholar] [CrossRef]
- Aisha, A.F.; Abu-Salah, K.M.; Ismail, Z.; Majid, A.M.S.A. In vitro and in vivo anti-colon cancer effects of Garcinia mangostana xanthones extract. BMC Complement. Altern. Med. 2012, 12, 104. [Google Scholar] [CrossRef] [PubMed] [Green Version]
- Wang, L.; Kuang, L.; Pan, X.; Liu, J.; Wang, Q.; Du, B.; Li, D.; Luo, J.; Liu, M.; Hou, A.; et al. Isoalvaxanthone inhibits colon cancer cell proliferation, migration and invasion through inactivating Rac1 and AP-1. Int. J. Cancer 2009, 127, 1220–1229. [Google Scholar] [CrossRef]
- Johnson, J.J.; Petiwala, S.M.; Syed, D.N.; Rasmussen, J.T.; Adhami, V.M.; Siddiqui, I.A.; Kohl, A.M.; Mukhtar, H. Mangostin, a xanthone from mangosteen fruit, promotes cell cycle arrest in prostate cancer and decreases xenograft tumor growth. Carcinogenesis 2011, 33, 413–419. [Google Scholar] [CrossRef] [PubMed] [Green Version]
- Shibata, M.-A.; Iinuma, M.; Morimoto, J.; Kurose, H.; Akamatsu, K.; Okuno, Y.; Akao, Y.; Otsuki, Y. α-Mangostin extracted from the pericarp of the mangosteen (Garcinia mangostana Linn) reduces tumor growth and lymph node metastasis in an immunocompetent xenograft model of metastatic mammary cancer carrying a p53 mutation. BMC Med. 2011, 9, 69. [Google Scholar] [CrossRef] [Green Version]
- Phan, T.K.T.; Shahbazzadeh, F.; Pham, T.T.H.; Kihara, T. Alpha-mangostin inhibits the migration and invasion of A549 lung cancer cells. PeerJ 2018, 6, e5027. [Google Scholar] [CrossRef] [Green Version]
- Le, C.C.; Bennasroune, A.; Langlois, B.; Salesse, S.; Boulagnon-Rombi, C.; Morjani, H.; Dedieu, S.; Appert-Collin, A. Functional Interplay Between Collagen Network and Cell Behavior Within Tumor Microenvironment in Colorectal Cancer. Front. Oncol. 2020, 10, 527. [Google Scholar] [CrossRef]
- Shih, Y.-W.; Chien, S.-T.; Chen, P.-S.; Lee, J.-H.; Wu, S.-H.; Yin, L.-T. α-Mangostin Suppresses Phorbol 12-myristate 13-acetate-Induced MMP-2/MMP-9 Expressions via αvβ3 Integrin/FAK/ERK and NF-κB Signaling Pathway in Human Lung Adenocarcinoma A549 Cells. Cell Biophys. 2010, 58, 31–44. [Google Scholar] [CrossRef]
- Shan, T.; Ma, Q.; Guo, K.; Liu, J.; Li, W.; Wang, F.; Wu, E. Xanthones from Mangosteen Extracts as Natural Chemopreventive Agents: Potential Anticancer Drugs. Curr. Mol. Med. 2011, 11, 666–677. [Google Scholar] [CrossRef]
- Thuringer, D.; Berthenet, K.; Cronier, L.; Solary, E.; Garrido, C. Primary tumor- and metastasis-derived colon cancer cells differently modulate connexin expression and function in human capillary endothelial cells. Oncotarget 2015, 6, 28800–28815. [Google Scholar] [CrossRef] [PubMed] [Green Version]
- Shiozaki, T.; Fukai, M.; Hermawati, E.; Juliawaty, L.D.; Syah, Y.M.; Hakim, E.H.; Puthongking, P.; Suzuki, T.; Kinoshita, K.; Takahashi, K.; et al. Anti-angiogenic effect of α-mangostin. J. Nat. Med. 2012, 67, 202–206. [Google Scholar] [CrossRef] [PubMed]
- Chen, C.-M.; Hsieh, S.-C.; Lin, C.-L.; Lin, Y.-S.; Tsai, J.-P.; Hsieh, Y.-H. Alpha-Mangostin Suppresses the Metastasis of Human Renal Carcinoma Cells by Targeting MEK/ERK Expression and MMP-9 Transcription Activity. Cell. Physiol. Biochem. 2017, 44, 1460–1470. [Google Scholar] [CrossRef] [PubMed]
- Zhou, Z.; Ma, J. Gambogic acid suppresses colon cancer cell activity in vitro. Exp. Ther. Med. 2019, 18, 2917–2923. [Google Scholar] [CrossRef]
- Nagano, H.; Tomida, C.; Yamagishi, N.; Teshima-Kondo, S. VEGFR-1 Regulates EGF-R to Promote Proliferation in Colon Cancer Cells. Int. J. Mol. Sci. 2019, 20, 5608. [Google Scholar] [CrossRef] [Green Version]
- Jittiporn, K.; Suwanpradid, J.; Patel, C.; Rojas, M.; Thirawarapan, S.; Moongkarndi, P.; Suvitayavat, W.; Caldwell, R.B. Anti-angiogenic actions of the mangosteen polyphenolic xanthone derivative α-mangostin. Microvasc. Res. 2014, 93, 72–79. [Google Scholar] [CrossRef] [Green Version]
- Wang, X. Gambogic Acid is a Novel Anti-cancer Agent that Inhibits Cell Proliferation, Angiogenesis and Metastasis. Anti-Cancer Agents Med. Chem. 2012, 12, 994–1000. [Google Scholar] [CrossRef]
- Sökeland, G.; Schumacher, U. The functional role of integrins during intra- and extravasation within the metastatic cascade. Mol. Cancer 2019, 18, 12. [Google Scholar] [CrossRef] [PubMed]
- Kotteas, E.; Boulas, P.; Gkiozos, I.; Tsagkouli, S.; Tsoukalas, G.; Syrigos, K.N. The intercellular cell adhesion molecule-1 (icam-1) in lung cancer: Implications for disease progression and prognosis. Anticancer Res. 2014, 34, 4665–4672. [Google Scholar] [PubMed]
- Yang, M.; Liu, J.; Piao, C.; Shao, J.; Du, J. ICAM-1 suppresses tumor metastasis by inhibiting macrophage M2 polarization through blockade of efferocytosis. Cell Death Dis. 2015, 6, e1780. [Google Scholar] [CrossRef] [PubMed] [Green Version]
- Hotnog, C.M.; Mihaila, M.; Puiu, L.; Botezatu, A.; Roman, V.; Popescu, I.D.; Bostan, M.; Brasoveanu, L.I. Modulation of the interplay between p53, ICAM-1 and VEGF in drug-treated LoVo colon cancer cells. Romanian Biotechnol. Lett. 2019, 24, 261–270. [Google Scholar] [CrossRef]
- de Groote, M.L.; Kazemier, H.G.; Huisman, C.; van der Gun, B.T.; Faas, M.M.; Rots, M.G. Upregulation of endogenous ICAM-1 reduces ovarian cancer cell growth in the absence of immune cells. Int. J. Cancer 2013, 134, 280–290. [Google Scholar] [CrossRef] [PubMed]
- Kong, D.-H.; Kim, Y.K.; Kim, M.R.; Jang, J.H.; Lee, S. Emerging Roles of Vascular Cell Adhesion Molecule-1 (VCAM-1) in Immunological Disorders and Cancer. Int. J. Mol. Sci. 2018, 19, 1057. [Google Scholar] [CrossRef] [Green Version]
- Kawczyk-Krupka, A.; Czuba, Z.P.; Kwiatek, B.; Kwiatek, S.; Krupka, M.; Sieroń, K. The effect of ALA-PDT under normoxia and cobalt chloride (CoCl 2)-induced hypoxia on adhesion molecules (ICAM-1, VCAM-1) secretion by colorectal cancer cells. Photodiagn. Photodyn. Ther. 2017, 19, 103–115. [Google Scholar] [CrossRef]
- Rech, J.; Wilińska, J.; Borecka, A.; Turek, A. Application of fibrin in drug technology: Achievements and perspectives. Postępy Higieny i Medycyny Doświadczalnej 2020, 74, 322–330. [Google Scholar] [CrossRef]
- Wilińska, J.; Turek, A.; Borecka, A.; Rech, J.; Kasperczyk, J. Electron beam sterilization of implantable rods with risperidone and with 17-β-estradiol: A structural, thermal and morphology study. Acta Bioeng. Biomech. 2019, 21, 39–47. [Google Scholar] [CrossRef]
- Teixeira, M.; Pedro, M.; Nascimento, M.S.J.; Pinto, M.M.M.; Barbosa, C.M. Development and characterization of PLGA nanoparticles containing 1,3-dihydroxy-2-methylxanthone with improved antitumor activity on a human breast cancer cell line. Pharm. Dev. Technol. 2019, 24, 1104–1114. [Google Scholar] [CrossRef]




| Synthetic Xanthone Derivatives Structures | |||
![]() | |||
| Compound | R1 | R2 | Salt |
| Comp. 1 | -H | ![]() | HCl |
| Comp. 2 | -Cl | ![]() | HCl |
| Comp. 3 | -Cl | ![]() | 2HCl |
| Comp. 4 | -Cl | ![]() | HCl |
| Natural Xanthones Structures | |||
| MAG | ![]() | ||
| GA | ![]() | ||
| Target mRNA and Access Number | Sequences (Sense and Antisense) | Amplification Product Length |
|---|---|---|
| CTSD (NM_001909.4) | 5′TTGCTGTTTTGTTCTGTGGTTTTC3′ | 60 bp |
| 5′CAGACAGGCAGGCAGCATT3′ | ||
| CD44 (NM_000610.3) | 5′GAAGATTTGGACAGGACAGGAC3′ | 225 bp |
| 5′CGTGTGTGGGTAATGAGAGGTA3′ | ||
| CDH1 (NM_004360.4) | 5′ATGGCTGAAGGTGACAGAGC3′ | 204 bp |
| 5′GAGGTTCCTGGAAGAGCACC3′ | ||
| HIF1α (NM_001243084.1) | 5′CAAGAACCTACTGCTAATGCCA3′ | 188 bp |
| 5′TTTGGTGAGGCTGTCCGA3′ | ||
| MMP-2 (NM_001302508.1) | 5′CGCTCAGATCCGTGGTGAG3′ | 130 bp |
| 5′CATCAATCTTTTCCGGGAGCT3′ | ||
| MMP-9 (NM_004994.2) | 5′GCTCACCTTCACTCGCGTG3′ | 60 bp |
| 5′CGCGACACCAAACTGGATG3′ | ||
| TIMP1 (NM_003254.2) | 5′CTTCCACAGGTCCCACAACC3′ | 303 bp |
| 5′CAGCCCTGGCTCCCGAGGC3′ | ||
| VEGF-A (NM_001171623.1) | 5′CTTGCCTTGCTGCTCTACC3′ | 200 bp |
| 5′CACACAGGATGGCTTGAAG3′ | ||
| ICAM-1 (NM_000201.2) | 5′GGCTGGAGCTGTTTGAGAAC3′ | 201 bp |
| 5′ACTGTGGGGTTCAACCTCTG3′ | ||
| VCAM-1 (NM_001078.3) | 5′AAGATGGTCGTGATCCTTGG3′ | 137 bp |
| 5′GGTGCTGCAAGTCAATGAGA3′ | ||
| HPRT (NM_000194.2) | 5′CCTGGCGTCGTGATTAGTGA3′ | 135 bp |
| 5′CGAGCAAGACGTTCAGTCCT3′ |
| Compound | GI50 [μM] | GI25 [μM] | ||||
|---|---|---|---|---|---|---|
| Caco-2 | HT-29 | LoVo | Caco-2 | HT-29 | LoVo | |
| Comp. 1 | 32.5 | 49.5 | 36.0 | 10.8 | 16.5 | 12.1 |
| Comp. 2 | 26.2 | 29.5 | 24.0 | 8.7 | 9.8 | 7.9 |
| Comp. 3 | 15.5 | 38.0 | 19.5 | 5.2 | 12.7 | 6.5 |
| Comp. 4 | 12.4 | 56.5 | 41.1 | 4.2 | 18.8 | 13.7 |
| MAG | 7.5 | 19.9 | 17.9 | 2.5 | 6.6 | 6.0 |
| GA | 13.6 | 25.4 | 12.5 | 4.5 | 8.5 | 4.2 |
| 5-FU | 10.5 | 15.5 | 31.0 | 3.5 | 5.1 | 10.3 |
| Cisplatin | 14.0 | 19.0 | 41.5 | 4.6 | 6.3 | 13.8 |
Publisher’s Note: MDPI stays neutral with regard to jurisdictional claims in published maps and institutional affiliations. |
© 2021 by the authors. Licensee MDPI, Basel, Switzerland. This article is an open access article distributed under the terms and conditions of the Creative Commons Attribution (CC BY) license (https://creativecommons.org/licenses/by/4.0/).
Share and Cite
Rech, J.; Sypniewski, D.; Żelaszczyk, D.; Szkaradek, N.; Rogóż, W.; Waszkielewicz, A.; Marona, H.; Bednarek, I. Novel Xanthone Derivatives Impair Growth and Invasiveness of Colon Cancer Cells In Vitro. Biomolecules 2021, 11, 1480. https://doi.org/10.3390/biom11101480
Rech J, Sypniewski D, Żelaszczyk D, Szkaradek N, Rogóż W, Waszkielewicz A, Marona H, Bednarek I. Novel Xanthone Derivatives Impair Growth and Invasiveness of Colon Cancer Cells In Vitro. Biomolecules. 2021; 11(10):1480. https://doi.org/10.3390/biom11101480
Chicago/Turabian StyleRech, Jakub, Daniel Sypniewski, Dorota Żelaszczyk, Natalia Szkaradek, Wojciech Rogóż, Anna Waszkielewicz, Henryk Marona, and Ilona Bednarek. 2021. "Novel Xanthone Derivatives Impair Growth and Invasiveness of Colon Cancer Cells In Vitro" Biomolecules 11, no. 10: 1480. https://doi.org/10.3390/biom11101480
APA StyleRech, J., Sypniewski, D., Żelaszczyk, D., Szkaradek, N., Rogóż, W., Waszkielewicz, A., Marona, H., & Bednarek, I. (2021). Novel Xanthone Derivatives Impair Growth and Invasiveness of Colon Cancer Cells In Vitro. Biomolecules, 11(10), 1480. https://doi.org/10.3390/biom11101480








