Different Classes of Phytohormones Act Synergistically to Enhance the Growth, Lipid and DHA Biosynthetic Capacity of Aurantiochytrium sp. SW1
Abstract
1. Introduction
2. Materials and Methods
2.1. Organism and Culture Conditions
2.2. Screening on the Impact of Phytohormones Supplementation on the Growth and DHA Production of SW1
2.3. Synergistic Effect and Optimization of KIN, JA and GA Concentration Using the Response Surface Methodology (RSM)
2.4. Supplementation of the Optimal Concentration of KIN, JA and GA at Different Time Points
2.5. Cell-Free Extracts Preparations and Enzyme Assays
2.6. Reactive Oxygen Species (ROS) Determination
2.7. Lipid Peroxidation Assay (MDA Assay)
2.8. Determination of Dry Cell Weight (DCW)
2.9. Lipid Extraction and Fatty Acid Analysis
3. Results and Discussions
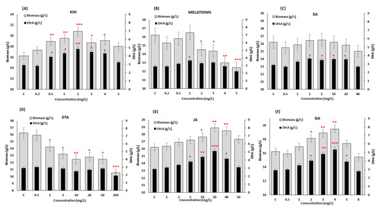
3.1. Screening of Phytohormones for Improved Growth and DHA Production of SW1
3.2. Synergistic Effect and Optimization of KIN, JA and GA for Enhanced Growth and DHA Production of SW1
GA2 − 0.40253 × KIN2 − 9.66448 × 10−3 × JA2 − 0.15000 × GA × KIN − 0.066667 × GA ×
JA − 0.039750 × KIN × JA
GA2 − 0.28490 × KIN2 − 5.71439 × 10−3 × JA2 − 0.070435 × GA × KIN − 0.024087 × GA
× JA − 0.011022 × KIN × JA
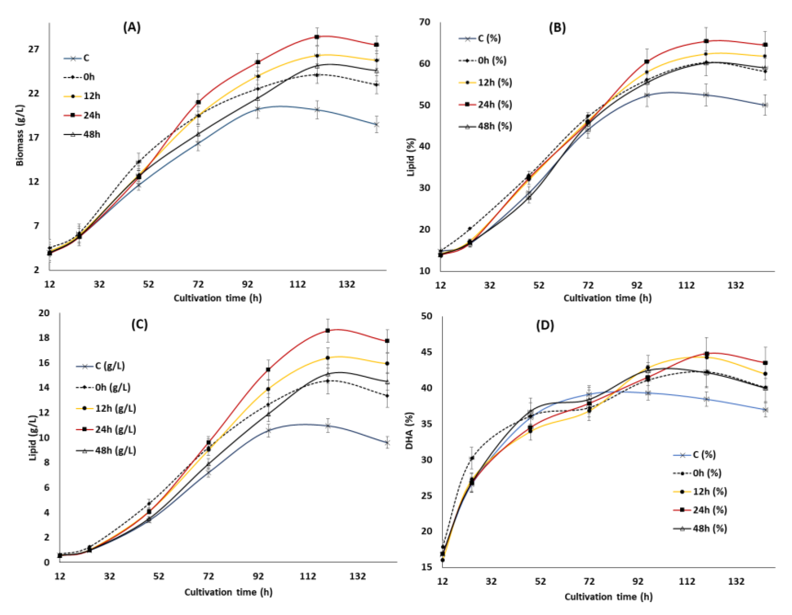
3.3. Influence of the Combined Addition Strategy on the Growth, Lipid and DHA Production in SW1 at Different Feeding Time Points
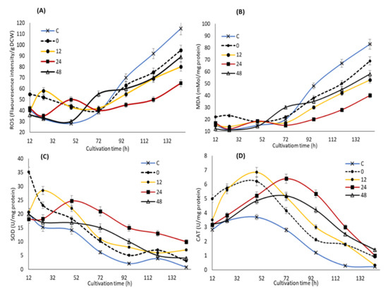
3.4. Influence of the Synergistic Optimal Concentration of KIN, JA and GA at Different Time Points on the Antioxidant Defense Systems of SW1
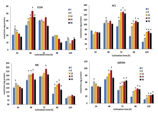
3.5. Influence of the Synergistic Optimal Concentration of KIN, JA and GA on the Key Metabolic Enzymes Involved in Growth and Fatty Acid Biosynthesis in SW1 at Different Feeding Time Points
4. Conclusions
Supplementary Materials
Author Contributions
Funding
Conflicts of Interest
References
- Imhoff-Kunsch, B.; Stein, A.D.; Villalpando, S.; Martorell, R.; Ramakrishnan, U. Docosahexaenoic acid supplementation from mid-pregnancy to parturition influenced breast milk fatty acid concentrations at 1 month postpartum in Mexican women. J. Nutr. 2010, 141, 321–326. [Google Scholar] [CrossRef]
- Janssen, C.I.; Kiliaan, A.J. Long-chain polyunsaturated fatty acids (LCPUFA) from genesis to senescence: The influence of LCPUFA on neural development, aging, and neurodegeneration. Prog. Lipid Res. 2014, 53, 1–17. [Google Scholar] [CrossRef] [PubMed]
- Das, U.N. Long-chain polyunsaturated fatty acids in the growth and development of the brain and memory. Nutrition 2003, 19, 62. [Google Scholar] [CrossRef]
- Stark, K.D.; Van Elswyk, M.E.; Higgins, M.R.; Weatherford, C.A.; Salem, N., Jr. Global survey of the omega-3 fatty acids, docosahexaenoic acid and eicosapentaenoic acid in the bloodstream of healthy adults. Prog. Lipid Res. 2016, 63, 132–152. [Google Scholar] [CrossRef] [PubMed]
- Ren, L.J.; Huang, H.; Xiao, A.H.; Lian, M.; Jin, L.J.; Ji, X.J. Enhanced docosahexaenoic acid production by reinforcing acetyl-CoA and NADPH supply in Schizochytrium sp. HX-308. Bioprocess Biosyst. Eng. 2009, 32, 837. [Google Scholar] [CrossRef] [PubMed]
- Chandrasekaran, K.; Roy, R.K.; Chadha, A. Docosahexaenoic acid production by a novel high yielding strain of Thraustochytrium sp. of Indian origin: Isolation and bioprocess optimization studies. Algal Res. 2018, 32, 93–100. [Google Scholar] [CrossRef]
- Manikan, V.; Nazir, M.Y.M.; Kalil, M.S.; Isa, M.H.M.; Kader, A.J.A.; Yusoff, W.M.W.; Hamid, A.A. A new strain of docosahexaenoic acid-producing microalga from Malaysian coastal waters. Algal Res. 2015, 9, 40–47. [Google Scholar] [CrossRef]
- Wang, Q.; Ye, H.; Xie, Y.; He, Y.; Sen, B.; Wang, G. Culturable diversity and lipid production profile of labyrinthulomycete protists isolated from coastal mangrove habitats of China. Mar. Drugs 2019, 17, 268. [Google Scholar] [CrossRef]
- Ratledge, C. An opinion on the safety data for the DHA-rich oil from Schizochytrium sp.; also known as DHASCO-S. GRAS Notification for DHA Algal Oil Derived from Schizochytrium sp 5. In Single Cell Oils; AOCS Press: Champaign, IL, USA, 2003; pp. 317–350. [Google Scholar]
- Jia, J.; Han, D.; Henri, G.G.; Li, Y.; Milton, S.; Hu, Q.; Xu, J. Molecular mechanisms for photosynthetic carbon partitioning into storage neutral lipids in Nannochloropsis oceanica under nitrogen-depletion conditions. Algal Res. 2015, 7, 66–77. [Google Scholar] [CrossRef]
- Ma, Z.; Tan, Y.; Cui, G.; Feng, Y.; Cui, Q.; Song, X. Transcriptome and gene expression analysis of DHA producer Aurantiochytrium under low temperature conditions. Sci. Rep. 2015, 5, 14446. [Google Scholar] [CrossRef]
- Ruenwai, R.; Neiss, A.; Laoteng, K.; Vongsangnak, W.; Dalfard, A.B.; Cheevadhanarak, S.; Petranovic, D.; Nielsen, J. Heterologous production of polyunsaturated fatty acids in Saccharomyces cerevisiae causes a global transcriptional response resulting in reduced proteasomal activity and increased oxidative stress. Biotechnol. J. 2015, 6, 343–356. [Google Scholar] [CrossRef] [PubMed]
- Ren, L.J.; Sun, X.M.; Ji, X.J.; Chen, S.L.; Guo, D.S.; Huang, H. Enhancement of docosahexaenoic acid synthesis by manipulation of antioxidant capacity and prevention of oxidative damage in Schizochytrium sp. Bioresour. Technol. 2016, 223, 141–148. [Google Scholar] [CrossRef] [PubMed]
- Liu, B.; Jin, L.; Sun, P.; Ma, X.; Yue, J.; Feng, C. Sesamol enhances cell growth and the biosynthesis and accumulation of docosahexaenoic acid in the microalga Crypthecodinium cohnii. J. Agric. Food Chem. 2015, 63, 5640–5645. [Google Scholar] [CrossRef] [PubMed]
- Zhang, S.; He, Y.; Sen, B.; Chen, X.; Xie, Y.; Keasling, J.D.; Wang, G. Alleviation of reactive oxygen species enhances PUFA accumulation in Schizochytrium sp. through regulating genes involved in lipid metabolism. Metab. Eng. Commun. 2018, 6, 39–48. [Google Scholar] [CrossRef] [PubMed]
- Sun, X.M.; Ren, L.J.; Ji, X.J.; Huang, H. Enhancing biomass and lipid accumulation in the microalgae Schizochytrium sp. by addition of fulvic acid and EDTA. Amb Express 2018, 8, 1–11. [Google Scholar] [CrossRef]
- Yu, Z.; Pei, H.; Jiang, L.; Hou, Q.; Nie, C.; Zhang, L. Phytohormone addition coupled with nitrogen depletion almost tripled the lipid productivities in two algae. Bioresour. Technol. 2018, 247, 904–914. [Google Scholar] [CrossRef]
- Du, H.; Ahmed, F.; Lin, B.; Li, Z.; Huang, Y.; Sun, G.; Ding, H.; Wang, C.; Meng, C.; Gao, Z. The effects of plant growth regulators on cell growth, protein, carotenoid, PUFAs and lipid production of Chlorella pyrenoidosa ZF Strain. Energies 2017, 10, 1696. [Google Scholar] [CrossRef]
- Lu, Y.; Xu, J. Phytohormones in microalgae: A new opportunity for microalgal biotechnology? Trends Plant Sci. 2015, 20, 273–282. [Google Scholar] [CrossRef]
- Yu, X.J.; Sun, J.; Sun, Y.Q.; Zheng, J.Y.; Wang, Z. Metabolomics analysis of phytohormone gibberellin improving lipid and DHA accumulation in Aurantiochytrium sp. Biochem. Eng. J. 2016, 112, 258–268. [Google Scholar] [CrossRef]
- Manikan, V.; Kalil, M.S.; Hamid, A.A. Response surface optimization of culture medium for enhanced docosahexaenoic acid production by a Malaysian thraustochytrid. Sci. Rep. 2015, 5, 8611. [Google Scholar] [CrossRef]
- Wynn, J.P.; bin Abdul Hamid, A.; Ratledge, C. The role of malic enzyme in the regulation of lipid accumulation in filamentous fungi. Microbiology 1999, 145, 1911–1917. [Google Scholar] [CrossRef] [PubMed]
- Bradford, M.M. A rapid and sensitive method for quantitation of microgram quantities of protein utilizing the principle of protein-dye binding. Anal. Biochem. 1976, 72, 248–254. [Google Scholar] [CrossRef]
- Heath, R.L.; Packer, L. Photoperoxidation in isolated chloroplasts: I. Kinetics and stoichiometry of fatty acid peroxidation. Arch. Biochem. Biophys. 1968, 125, 189–198. [Google Scholar] [CrossRef]
- Folch, J.; Lees, M.; Stanley, G.S. A simple method for the isolation and purification of total lipides from animal tissues. J. Biol. Chem. 1957, 226, 497–509. [Google Scholar] [PubMed]
- Udayan, A.; Kathiresan, S.; Arumugam, M. Kinetin and Gibberellic acid (GA3) act synergistically to produce high value polyunsaturated fatty acids in Nannochloropsis oceanica CASA CC201. Algal Res. 2018, 32, 182–192. [Google Scholar] [CrossRef]
- Renuka, N.; Guldhe, A.; Singh, P.; Bux, F. Combined effect of exogenous phytohormones on biomass and lipid production in Acutodesmus obliquus under nitrogen limitation. Energy Convers. Manag. 2018, 168, 522–528. [Google Scholar] [CrossRef]
- Li, J.; Niu, X.; Pei, G.; Sui, X.; Zhang, X.; Chen, L.; Zhang, W. Identification and metabolomic analysis of chemical modulators for lipid accumulation in Crypthecodinium cohnii. Bioresour. Technol. 2015, 191, 362–368. [Google Scholar] [CrossRef]
- de Jesus Raposo, M.F. Influence of the growth regulators kinetin and 2, 4-D on the growth of two chlorophyte microalgae, Haematococcus pluvialis and Dunaliella salina. J. Basic Appl. Sci. 2013, 9, 302–308. [Google Scholar]
- Kim, W.K.; Greulach, V.A. Promotion of algal growth by IAA, GA and kinetin. Plant Physiol. 1961, 36 (Suppl. XIV), 45. [Google Scholar]
- Wang, K.; Sun, T.; Cui, J.; Liu, L.; Bi, Y.; Pei, G.; Chen, L.; Zhang, W. Screening of chemical modulators for lipid accumulation in Schizochytrium sp. S31. Bioresour. Technol. 2018, 260, 124–129. [Google Scholar] [CrossRef]
- Yu, Z.; Song, M.; Pei, H.; Jiang, L.; Hou, Q.; Nie, C.; Zhang, L. The effects of combined agricultural phytohormones on the growth, carbon partitioning and cell morphology of two screened algae. Bioresour. Technol. 2017, 239, 87–96. [Google Scholar] [CrossRef] [PubMed]
- Zhang, H.; Wang, Z.; Feng, Y.; Cui, Q.; Song, X. Phytohormones as stimulators to improve arachidonic acid biosynthesis in Mortierella alpina. Enzyme Microb. Technol. 2019, 131, 109381. [Google Scholar] [CrossRef]
- Nazir, Y.; Shuib, S.; Kalil, M.S.; Song, Y.; Hamid, A.A. Optimization of Culture Conditions for Enhanced Growth, Lipid and Docosahexaenoic Acid (DHA) Production of Aurantiochytrium SW1 by Response Surface Methodology. Sci. Rep. 2018, 8, 8909. [Google Scholar] [CrossRef] [PubMed]
- Makareviciene, V.; Skorupskaite, V.; Levisauskas, D.; Andruleviciute, V.; Kazancev, K. The optimization of biodiesel fuel production from microalgae oil using response surface methodology. Int. J. Green Energy 2014, 11, 527–541. [Google Scholar] [CrossRef]
- Wu, K.; Ding, L.; Zhu, P.; Li, S.; He, S. Application of the response surface methodology to optimize the fermentation parameters for enhanced docosahexaenoic acid (DHA) production by Thraustochytrium sp. ATCC 26185. Molecules 2018, 23, 974. [Google Scholar] [CrossRef]
- Papanikolaou, S.; Sarantou, S.; Komaitis, M.; Aggelis, G. Repression of reserve lipid turnover in Cunninghamella echinulata and Mortierella isabellina cultivated in multiple-limited media. J. Appl. Microbiol. 2004, 97, 867–875. [Google Scholar] [CrossRef]
- Zhang, J.; Hao, H.; Chen, M.; Wang, H.; Feng, Z.; Chen, H. Hydrogen-rich water alleviates the toxicities of different stresses to mycelial growth in Hypsizygus marmoreus. AMB Express 2017, 7, 107. [Google Scholar] [CrossRef]
- Piotrowska, A.; Bajguz, A. The effect of natural and synthetic auxins on the growth, metabolite content and antioxidant response of green alga Chlorella vulgaris (Trebouxiophyceae). Plant Growth Regul. 2014, 73, 57–66. [Google Scholar] [CrossRef]
- Sivaramakrishnan, R.; Incharoensakdi, A. Plant hormone induced enrichment of Chlorella sp. omega-3 fatty acids. Biotechnol. Biofuels 2020, 13, 7. [Google Scholar] [CrossRef]
- Bi, Z.Q.; Ren, L.J.; Hu, X.C.; Sun, X.M.; Zhu, S.Y.; Ji, X.J.; Huang, H. Transcriptome and gene expression analysis of docosahexaenoic acid producer Schizochytrium sp. under different oxygen supply conditions. Biotechnol. Biofuels 2018, 11, 249. [Google Scholar] [CrossRef]
- Diao, J.; Li, X.; Pei, G.; Liu, L.; Chen, L. Comparative metabolomic analysis of Crypthecodinium cohnii in response to different dissolved oxygen levels during docosahexaenoic acid fermentation. Biochem. Biophys. Res. Commun. 2018, 499, 941–947. [Google Scholar] [CrossRef] [PubMed]
- Beck, E.H.; Fettig, S.; Knake, C.; Hartig, K.; Bhattarai, T. Specific and unspecific responses of plants to cold and drought stress. J. Biosci. 2007, 37, 501–510. [Google Scholar] [CrossRef] [PubMed]
- Ayala, A.; Muñoz, M.F.; Argüelles, S. Lipid peroxidation: Production, metabolism, and signaling mechanisms of malondialdehyde and 4-hydroxy-2-nonenal. Oxid. Med. Cell. Longev. 2014, 2014, 360438. [Google Scholar] [CrossRef] [PubMed]
- Han, X.; Zeng, H.; Bartocci, P.; Fantozzi, F.; Yan, Y. Phytohormones and effects on growth and metabolites of microalgae: A review. Fermentation 2018, 4, 25. [Google Scholar] [CrossRef]
- Tang, X.; Chen, H.; Chen, Y.Q.; Chen, W.; Garre, V.; Song, Y.; Ratledge, C. Comparison of biochemical activities between high and low lipid-producing strains of Mucor circinelloides: An explanation for the high oleaginicity of strain WJ11. PLoS ONE 2015, 10, 0128396. [Google Scholar] [CrossRef] [PubMed]
- Geng, L.; Chen, S.; Sun, X.; Hu, X.; Ji, X.; Huang, H.; Ren, L. Fermentation performance and metabolomic analysis of an engineered high-yield PUFA-producing strain of Schizochytrium sp. Bioprocess Biosyst. Eng. 2019, 42, 71–81. [Google Scholar] [CrossRef]






| Phytohormones | Concentration (mg/L) | |||||||
|---|---|---|---|---|---|---|---|---|
| Name | Classes | |||||||
| Naphthoxyacetic acid (BNOA) | Auxin | 0.5 | 1 | 2 | 5 | 10 | 20 | 40 |
| Gibberellic acid (GA) | Gibberellin | 0.5 | 1 | 2 | 3 | 4 | 5 | 8 |
| Kinetin (KIN) | Cytokinin | 0.2 | 0.5 | 1 | 2 | 3 | 4 | 5 |
| Salicylic acid (SA) | Signal Transducer | 0.5 | 1 | 2 | 5 | 10 | 20 | 40 |
| Jasmonic acid (JA) | 1 | 2 | 5 | 10 | 20 | 40 | 50 | |
| Abscisic acid (ABA) | 0.5 | 1 | 2 | 5 | 10 | 20 | 40 | |
| Melatonin | Melatonin | 0.2 | 0.5 | 1 | 2 | 3 | 4 | 5 |
| Ethanolamine (ETA) | Amines | 0.5 | 1 | 5 | 10 | 20 | 50 | 200 |
| Treatments | Concentration (mg/L) | Biomass (g/L) | DHA (g/L) | Percentage Increment (%) | |
|---|---|---|---|---|---|
| Biomass | DHA | ||||
| Control | - | 16.27 ± 1.55 | 2.90 ± 0.24 | - | - |
| KIN | 2 | 20.81 ± 1.92 | 4.82 ± 0.47 | 27.90 ± 2.63 | 66.20 ± 4.60 |
| JA | 20 | 18.93 ± 1.74 | 5.10 ± 0.44 | 16.34 ± 1.54 | 75.86 ± 4.78 |
| GA | 4 | 19.55 ± 1.80 | 5.34 ± 0.43 | 20.16 ± 1.90 | 84.14 ± 5.10 |
| KIN + JA + GA | 2 + 20 + 3.61 | 24.21 ± 2.23 | 6.56 ± 0.55 | 48.70 ± 4.60 | 126.21 ± 8.33 |
| Parameters | Units | Control | 0 h | 12 h | 24 h | 48 h |
|---|---|---|---|---|---|---|
| Biomass | g/L | 19.27 ± 1.55 | 25.12 ± 1.34 | 26.82 ± 1.50 | 28.95 ± 1.93 | 25.13 ± 1.42 |
| Lipid | g/L | 10.57 ± 0.59 | 14.62 ± 0.82 | 16.80 ± 0.94 | 18.52 ± 1.04 | 15.11 ± 0.85 |
| DHA | g/L | 4.06 ± 0.23 | 6.16 ± 0.44 | 7.27 ± 0.41 | 8.33 ± 0.50 | 6.37 ± 0.36 |
| DHA productivities | mg/L/h | 33.86 ± 1.90 | 51.30 ± 2.87 | 60.58 ± 3.39 | 69.42 ± 3.90 | 53.06 ± 2.97 |
| DHA biosynthetic capacity | (g/L DHA/g/L Biomass) | 0.20 ± 0.01 | 0.25 ± 0.01 | 0.27 ± 0.01 | 0.29 ± 0.01 | 0.25 ± 0.01 |
© 2020 by the authors. Licensee MDPI, Basel, Switzerland. This article is an open access article distributed under the terms and conditions of the Creative Commons Attribution (CC BY) license (http://creativecommons.org/licenses/by/4.0/).
Share and Cite
Nazir, Y.; Halim, H.; Prabhakaran, P.; Ren, X.; Naz, T.; Mohamed, H.; Nosheen, S.; Mustafa, K.; Yang, W.; Abdul Hamid, A.; et al. Different Classes of Phytohormones Act Synergistically to Enhance the Growth, Lipid and DHA Biosynthetic Capacity of Aurantiochytrium sp. SW1. Biomolecules 2020, 10, 755. https://doi.org/10.3390/biom10050755
Nazir Y, Halim H, Prabhakaran P, Ren X, Naz T, Mohamed H, Nosheen S, Mustafa K, Yang W, Abdul Hamid A, et al. Different Classes of Phytohormones Act Synergistically to Enhance the Growth, Lipid and DHA Biosynthetic Capacity of Aurantiochytrium sp. SW1. Biomolecules. 2020; 10(5):755. https://doi.org/10.3390/biom10050755
Chicago/Turabian StyleNazir, Yusuf, Hafiy Halim, Pranesha Prabhakaran, Xiaojie Ren, Tahira Naz, Hassan Mohamed, Shaista Nosheen, Kiren Mustafa, Wu Yang, Aidil Abdul Hamid, and et al. 2020. "Different Classes of Phytohormones Act Synergistically to Enhance the Growth, Lipid and DHA Biosynthetic Capacity of Aurantiochytrium sp. SW1" Biomolecules 10, no. 5: 755. https://doi.org/10.3390/biom10050755
APA StyleNazir, Y., Halim, H., Prabhakaran, P., Ren, X., Naz, T., Mohamed, H., Nosheen, S., Mustafa, K., Yang, W., Abdul Hamid, A., & Song, Y. (2020). Different Classes of Phytohormones Act Synergistically to Enhance the Growth, Lipid and DHA Biosynthetic Capacity of Aurantiochytrium sp. SW1. Biomolecules, 10(5), 755. https://doi.org/10.3390/biom10050755

