Integrative Transcriptomic and Metabolic Analyses Provide Insights into the Role of Trichomes in Tea Plant (Camellia Sinensis)
Abstract
1. Introduction
2. Materials and Methods
2.1. Plant Materials and Trichomes Collection
2.2. Determination of Non-Volatile and Volatile Compounds in Tea Trichomes and Leaves
2.3. RNA Isolation, Library Preparation, and Illumina Sequencing
2.4. Transcriptome Data Processing
2.5. Quantitative Real-Time PCR Validation
2.6. Statistical Analysis
3. Results
3.1. Comparison of the Key Secondary Metabolites Between Tea Trichomes and Leaves
3.2. Comparison of Aromatic Compounds Between Tea Trichomes and Leaves
3.3. RNA Sequencing, Reference Genome Alignment, and New Gene Annotation
3.4. Differential Expression Profiling between Tea Trichomes and Leaves
3.5. Differential Expression Profiling of Genes Involved in the Characteristic Metabolite Biosynthesis Pathways Between Tea Trichomes and Leaves
3.6. Differential Expression Profiling of Tfs Between Tea Trichomes and Leaves
3.7. Other Key DEGs Identified from Tea Trichomes and Leaves
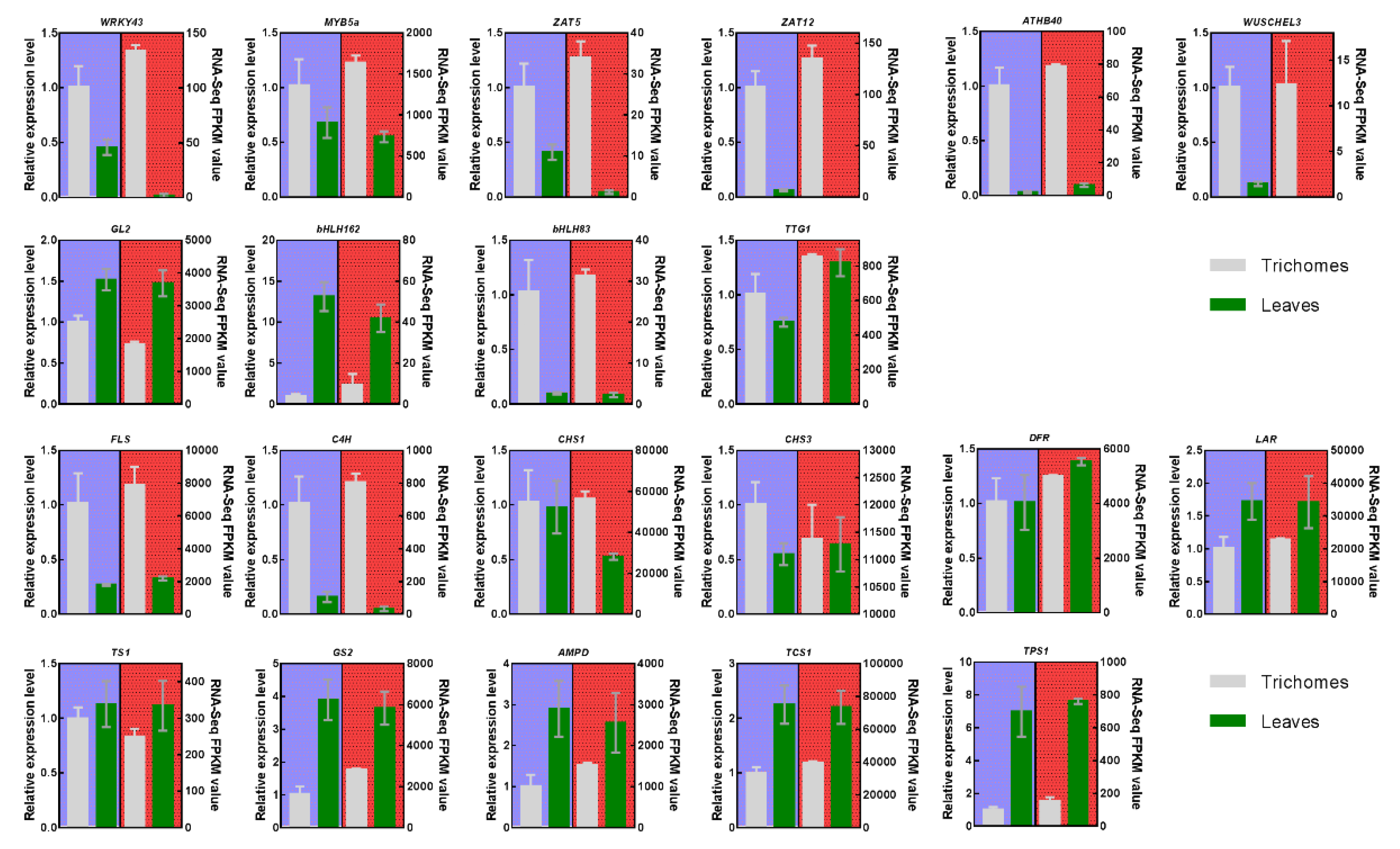
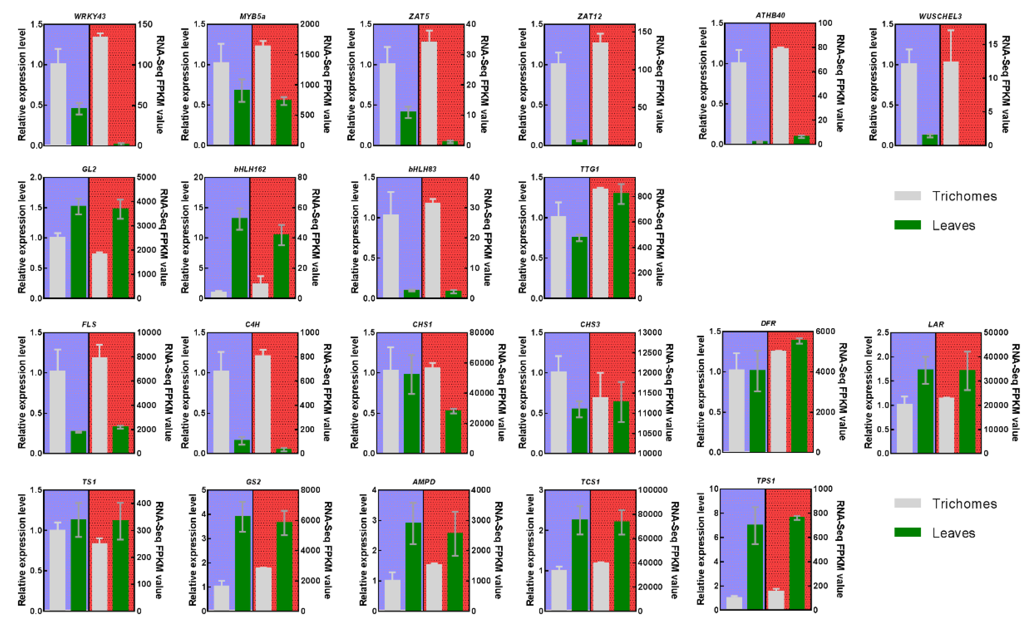
3.8. Validation of Differential Expression Data
4. Discussion
5. Conclusions
Supplementary Materials
Author Contributions
Funding
Acknowledgments
Conflicts of Interest
References
- Ma, D.; Hu, Y.; Yang, C.; Liu, B.; Fang, L.; Wan, Q.; Liang, W.; Mei, G.; Wang, L.; Wang, H.; et al. Genetic basis for glandular trichome formation in cotton. Nat. Commun. 2016, 7, 10456. [Google Scholar] [CrossRef]
- Tan, J.; Walford, S.A.; Dennis, E.S.; Llewellyn, D. Trichomes control flower bud shape by linking together young petals. Nat. Plants 2016, 2, 16093. [Google Scholar] [CrossRef]
- Zhao, Q.; Chen, X.Y. Development: A new function of plant trichomes. Nat. Plants 2016, 2, 16096. [Google Scholar] [CrossRef]
- Ju, J.; Bai, H.; Zheng, Y.; Zhao, T.; Fang, R.; Jiang, L. A multi-structural and multi-functional integrated fog collection system in cactus. Nat. Commun. 2012, 3, 1247. [Google Scholar] [CrossRef]
- Tissier, A.; Morgan, J.A.; Dudareva, N. Plant volatiles: Going ‘In’ but not ‘Out’ of trichome cavities. Trends Plant Sci. 2017, 22, 930–938. [Google Scholar] [CrossRef]
- Matias-Hernandez, L.; Aguilar-Jaramillo, A.E.; Cigliano, R.A.; Sanseverino, W.; Pelaz, S. Flowering and trichome development share hormonal and transcription factor regulation. J. Exp. Bot. 2016, 67, 1209–1219. [Google Scholar] [CrossRef] [PubMed]
- Yue, C.; Cao, H.; Chen, D.; Lin, H.; Wang, Z.; Hu, J.; Yang, G.; Guo, Y.; Ye, N.; Hao, X. Comparative transcriptome study of hairy and hairless tea plant (Camellia sinensis) shoots. J. Plant Physiol. 2018, 229, 41–52. [Google Scholar] [CrossRef] [PubMed]
- Ramirez, A.M.; Stoopen, G.; Menzel, T.R.; Gols, R.; Bouwmeester, H.J.; Dicke, M.; Jongsma, M.A. Bidirectional secretions from glandular trichomes of pyrethrum enable immunization of seedlings. Plant Cell 2012, 24, 4252–4465. [Google Scholar] [CrossRef] [PubMed]
- Lu, X.; Zhang, L.; Zhang, F.; Jiang, W.; Shen, Q.; Zhang, L.; Lv, Z.; Wang, G.; Tang, K. AaORA, a trichome-specific AP2/ERF transcription factor of Artemisia annua, is a positive regulator in the artemisinin biosynthetic pathway and in disease resistance to Botrytis cinerea. New Phytol. 2013, 198, 1191–1202. [Google Scholar] [CrossRef]
- Liang, G.; He, H.; Li, Y.; Ai, Q.; Yu, D. MYB82 functions in regulation of trichome development in Arabidopsis. J. Exp. Bot. 2014, 65, 3215–3223. [Google Scholar] [CrossRef]
- Suo, B.; Seifert, S.; Kirik, V. Arabidopsis GLASSY HAIR genes promote trichome papillae development. J. Exp. Bot. 2013, 64, 4981–4991. [Google Scholar] [CrossRef] [PubMed]
- Yan, A.; Wu, M.; Zhao, Y.; Zhang, A.; Liu, B.; Schiefelbein, J.; Gan, Y. Involvement of C2H2 zinc finger proteins in the regulation of epidermal cell fate determination in Arabidopsis. J. Integr. Plant Biol. 2014, 56, 1112–1127. [Google Scholar] [CrossRef] [PubMed]
- Marks, M.D.; Wenger, J.P.; Gilding, E.; Jilk, R.; Dixon, R.A. Transcriptome analysis of Arabidopsis wild-type and gl3–sst sim trichomes identifies four additional genes required for trichome development. Mol. Plant 2009, 2, 803–822. [Google Scholar] [CrossRef] [PubMed]
- Pesch, M.; Dartan, B.; Birkenbihl, R.; Somssich, I.E.; Hulskamp, M. Arabidopsis TTG2 regulates TRY expression through enhancement of activator complex-triggered activation. Plant Cell 2014, 26, 4067–4083. [Google Scholar] [CrossRef]
- Jakoby, M.J.; Falkenhan, D.; Mader, M.T.; Brininstool, G.; Wischnitzki, E.; Platz, N.; Hudson, A.; Hulskamp, M.; Larkin, J.; Schnittger, A. Transcriptional profiling of mature Arabidopsis trichomes reveals that NOECK encodes the MIXTA-like transcriptional regulator MYB106. Plant Physiol. 2008, 148, 1583–1602. [Google Scholar] [CrossRef]
- Pattanaik, S.; Patra, B.; Singh, S.K.; Yuan, L. An overview of the gene regulatory network controlling trichome development in the model plant, Arabidopsis. Front. Plant Sci. 2014, 5, 259. [Google Scholar] [CrossRef]
- Gonzales-Vigil, E.; Hufnagel, D.E.; Kim, J.; Last, R.L.; Barry, C.S. Evolution of TPS20-related terpene synthases influences chemical diversity in the glandular trichomes of the wild tomato relative Solanum habrochaites. Plant J. 2012, 71, 921–935. [Google Scholar] [CrossRef]
- Kang, J.H.; McRoberts, J.; Shi, F.; Moreno, J.E.; Jones, A.D.; Howe, G.A. The flavonoid biosynthetic enzyme chalcone isomerase modulates terpenoid production in glandular trichomes of tomato. Plant Physiol. 2014, 164, 1161–1174. [Google Scholar] [CrossRef]
- Kim, J.; Kang, K.; Gonzales-Vigil, E.; Shi, F.; Jones, A.D.; Barry, C.S.; Last, R.L. Striking natural diversity in glandular trichome acylsugar composition is shaped by variation at the Acyltransferase2 locus in the wild tomato Solanum habrochaites. Plant Physiol. 2012, 160, 1854–1870. [Google Scholar] [CrossRef]
- Nadakuduti, S.S.; Pollard, M.; Kosma, D.K.; Allen, C., Jr.; Ohlrogge, J.B.; Barry, C.S. Pleiotropic phenotypes of the sticky peel mutant provide new insight into the role of CUTIN DEFICIENT2 in epidermal cell function in tomato. Plant Physiol. 2012, 159, 945–960. [Google Scholar] [CrossRef]
- Schilmiller, A.L.; Charbonneau, A.L.; Last, R.L. Identification of a BAHD acetyltransferase that produces protective acyl sugars in tomato trichomes. Proc. Natl. Acad. Sci. USA 2012, 109, 16377–16382. [Google Scholar] [CrossRef] [PubMed]
- Yang, C.; Li, H.; Zhang, J.; Luo, Z.; Gong, P.; Zhang, C.; Li, J.; Wang, T.; Zhang, Y.; Lu, Y.; et al. A regulatory gene induces trichome formation and embryo lethality in tomato. Proc. Natl. Acad. Sci. USA 2011, 108, 11836–11841. [Google Scholar] [CrossRef] [PubMed]
- Kang, J.H.; Campos, M.L.; Zemelis-Durfee, S.; Al-Haddad, J.M.; Jones, A.D.; Telewski, F.W.; Brandizzi, F.; Howe, G.A. Molecular cloning of the tomato Hairless gene implicates actin dynamics in trichome-mediated defense and mechanical properties of stem tissue. J. Exp. Bot. 2016, 67, 5313–5324. [Google Scholar] [CrossRef] [PubMed]
- Czechowski, T.; Larson, T.R.; Catania, T.M.; Harvey, D.; Brown, G.D.; Graham, I.A. Artemisia annua mutant impaired in artemisinin synthesis demonstrates importance of nonenzymatic conversion in terpenoid metabolism. Proc. Natl. Acad. Sci. USA 2016, 113, 15150–15155. [Google Scholar] [CrossRef]
- Singh, N.D.; Kumar, S.; Daniell, H. Expression of beta-glucosidase increases trichome density and artemisinin content in transgenic Artemisia annua plants. Plant Biotechnol. J. 2016, 14, 1034–1045. [Google Scholar] [CrossRef]
- Soetaert, S.S.; Van Neste, C.M.; Vandewoestyne, M.L.; Head, S.R.; Goossens, A.; Van Nieuwerburgh, F.C.; Deforce, D.L. Differential transcriptome analysis of glandular and filamentous trichomes in Artemisia annua. BMC Plant Biol. 2013, 13, 220. [Google Scholar] [CrossRef]
- Tan, H.; Xiao, L.; Gao, S.; Li, Q.; Chen, J.; Xiao, Y.; Ji, Q.; Chen, R.; Chen, W.; Zhang, L. TRICHOME AND ARTEMISININ REGULATOR 1 is required for trichome development and artemisinin biosynthesis in Artemisia annua. Mol. Plant 2015, 8, 1396–1411. [Google Scholar] [CrossRef]
- Chen, M.; Yan, T.; Shen, Q.; Lu, X.; Pan, Q.; Huang, Y.; Tang, Y.; Fu, X.; Liu, M.; Jiang, W.; et al. GLANDULAR TRICHOME-SPECIFIC WRKY 1 promotes artemisinin biosynthesis in Artemisia annua. New Phytol. 2017, 214, 304–316. [Google Scholar] [CrossRef]
- Ji, Y.; Xiao, J.; Shen, Y.; Ma, D.; Li, Z.; Pu, G.; Li, X.; Huang, L.; Liu, B.; Ye, H.; et al. Cloning and characterization of AabHLH1, a bHLH transcription factor that positively regulates artemisinin biosynthesis in Artemisia annua. Plant Cell Physiol. 2014, 55, 1592–1604. [Google Scholar] [CrossRef]
- Yan, T.; Chen, M.; Shen, Q.; Li, L.; Fu, X.; Pan, Q.; Tang, Y.; Shi, P.; Lv, Z.; Jiang, W.; et al. HOMEODOMAIN PROTEIN 1 is required for jasmonate-mediated glandular trichome initiation in Artemisia annua. New Phytol. 2017, 213, 1145–1155. [Google Scholar] [CrossRef]
- Kulich, I.; Vojtikova, Z.; Glanc, M.; Ortmannova, J.; Rasmann, S.; Zarsky, V. Cell wall maturation of Arabidopsis trichomes is dependent on exocyst subunit EXO70H4 and involves callose deposition. Plant Physiol. 2015, 168, 120–131. [Google Scholar] [CrossRef] [PubMed]
- Marks, M.D.; Betancur, L.; Gilding, E.; Chen, F.; Bauer, S.; Wenger, J.P.; Dixon, R.A.; Haigler, C.H. A new method for isolating large quantities of Arabidopsis trichomes for transcriptome, cell wall and other types of analyses. Plant J. 2008, 56, 483–492. [Google Scholar] [CrossRef] [PubMed]
- Spyropoulou, E.A.; Haring, M.A.; Schuurink, R.C. RNA sequencing on Solanum lycopersicum trichomes identifies transcription factors that activate terpene synthase promoters. BMC Genom. 2014, 15, 402. [Google Scholar] [CrossRef] [PubMed]
- Chen, S.; Li, M.; Zheng, G.; Wang, T.; Lin, J.; Wang, S.; Wang, X.; Chao, Q.; Cao, S.; Yang, Z.; et al. Metabolite profiling of 14 Wuyi rock tea cultivars using UPLC-QTOF MS and UPLC-QqQ MS combined with chemometrics. Molecules 2018, 23, 104. [Google Scholar] [CrossRef] [PubMed]
- Dong, F.; Zeng, L.; Yu, Z.; Li, J.; Tang, J.; Su, X.; Yang, Z. Differential accumulation of aroma compounds in normal green and albino-induced yellow tea (Camellia sinensis) leaves. Molecules 2018, 23, 2677. [Google Scholar] [CrossRef] [PubMed]
- Zeng, L.; Wang, X.; Xiao, Y.; Gu, D.; Liao, Y.; Xu, X.; Jia, Y.; Deng, R.; Song, C.; Yang, Z. Elucidation of (Z)-3-hexenyl-beta-glucopyranoside enhancement mechanism under stresses from the oolong tea manufacturing process. J. Agr. Food Chem. 2019, 67, 6541–6550. [Google Scholar] [CrossRef]
- Kim, D.; Langmead, B.; Salzberg, S.L. HISAT: A fast spliced aligner with low memory requirements. Nat. Methods 2015, 12, 357–360. [Google Scholar] [CrossRef]
- Liao, Y.; Smyth, G.K.; Shi, W. featureCounts: An efficient general purpose program for assigning sequence reads to genomic features. Bioinformatics 2014, 30, 923–930. [Google Scholar] [CrossRef]
- Love, M.I.; Huber, W.; Anders, S. Moderated estimation of fold change and dispersion for RNA-seq data with DESeq2. Genome Biol. 2014, 15, 550. [Google Scholar] [CrossRef]
- Young, M.D.; Wakefield, M.J.; Smyth, G.K.; Oshlack, A. Gene ontology analysis for RNA-seq: Accounting for selection bias. Genome Biol. 2010, 11, R14. [Google Scholar] [CrossRef]
- Kanehisa, M.; Goto, S. KEGG: Kyoto encyclopedia of genes and genomes. Nucleic Acids Res. 2000, 28, 27–30. [Google Scholar] [CrossRef]
- Song, Y.K.; Zhang, Q.F.; Zhang, J.; Gao, Y.Y.; Hu, J.H. Study on amino acids composition and mineral elements of tea hairs. J. Tea Sci. 2017, 4, 339–346. [Google Scholar]
- Yin, P.; Liu, W.; Liu, P.P.; Wang, Z.H.; Guo, G.Y. Analysis of volatile components in yellow tea and its pubescence. J. Food Safety Quality 2018, 2, 270–274. [Google Scholar]
- Xu, J.; van Herwijnen, Z.O.; Dräger, D.B.; Sui, C.; Haring, M.A.; Schuurink, R.C. SlMYC1 regulates type VI glandular trichome formation and terpene biosynthesis in tomato glandular cells. Plant Cell 2018, 30, 2988–3005. [Google Scholar] [CrossRef]
- Li, J.; Zeng, L.; Liao, Y.; Tang, J.; Yang, Z. Evaluation of the contribution of trichomes to metabolite compositions of tea (Camellia sinensis) leaves and their products. LWT 2020, 122, 109023. [Google Scholar] [CrossRef]
- Trikka, F.A.; Nikolaidis, A.; Ignea, C.; Tsaballa, A.; Tziveleka, L.A.; Ioannou, E.; Roussis, V.; Stea, E.A.; Bozic, D.; Argiriou, A.; et al. Combined metabolome and transcriptome profiling provides new insights into diterpene biosynthesis in S. pomifera glandular trichomes. BMC Genom. 2015, 16, 935. [Google Scholar] [CrossRef]
- Wei, C.; Yang, H.; Wang, S.; Zhao, J.; Liu, C.; Gao, L.; Xia, E.; Lu, Y.; Tai, Y.; She, G.; et al. Draft genome sequence of Camellia sinensis var. sinensis provides insights into the evolution of the tea genome and tea quality. Proc. Natl. Acad. Sci. USA 2018, 115, 4151–4158. [Google Scholar] [CrossRef]
- Ashihara, H. Occurrence, biosynthesis and metabolism of theanine (gamma-glutamyl-L-ethylamide) in plants: A comprehensive review. Nat. Prod. Commun. 2015, 10, 803–810. [Google Scholar]
- Cheng, S.; Fu, X.; Wang, X.; Liao, Y.; Zeng, L.; Dong, F.; Yang, Z. Studies on the biochemical formation pathway of the amino acid l-theanine in tea (Camellia sinensis) and other plants. J. Agr. Food Chem. 2017, 65, 7210–7216. [Google Scholar] [CrossRef]
- Thévenin, J.; Pollet, B.; Letarnec, B.; Saulnier, L.; Gissot, L.; Maia-Grondard, A.; Lapierre, C.; Jouanin, L. The simultaneous repression of CCR and CAD, two enzymes of the lignin biosynthetic pathway, results in sterility and dwarfism in Arabidopsis thaliana. Mol. Plant 2011, 4, 70–82. [Google Scholar] [CrossRef]
- Vanholme, R.; Demedts, B.; Morreel, K.; Ralph, J.; Boerjan, W. Lignin biosynthesis and structure. Plant Physiol. 2010, 153, 895–905. [Google Scholar] [CrossRef]
- Xu, W.; Grain, D.; Bobet, S.; Le Gourrierec, J.; Thevenin, J.; Kelemen, Z.; Lepiniec, L.; Dubos, C. Complexity and robustness of the flavonoid transcriptional regulatory network revealed by comprehensive analyses of MYB-bHLH-WDR complexes and their targets in Arabidopsis seed. New Phytol. 2014, 202, 132–144. [Google Scholar] [CrossRef]
- Wang, L.; Lu, W.; Ran, L.; Dou, L.; Yao, S.; Hu, J.; Fan, D.; Li, C.; Luo, K. R2R3-MYB transcription factor MYB6 promotes anthocyanin and proanthocyanidin biosynthesis but inhibits secondary cell wall formation in Populus tomentosa. Plant J. 2019, 99, 733–751. [Google Scholar] [CrossRef]
- Scully, E.D.; Gries, T.; Sarath, G.; Palmer, N.A.; Baird, L.; Serapiglia, M.J.; Dien, B.S.; Boateng, A.A.; Ge, Z.; Funnell-Harris, D.L.; et al. Overexpression of SbMyb60 impacts phenylpropanoid biosynthesis and alters secondary cell wall composition in Sorghum bicolor. Plant J. 2016, 85, 378–395. [Google Scholar] [CrossRef]
- Ma, D.; Reichelt, M.; Yoshida, K.; Gershenzon, J.; Constabel, C.P. Two R2R3-MYB proteins are broad repressors of flavonoid and phenylpropanoid metabolism in poplar. Plant J. 2018, 96, 949–965. [Google Scholar] [CrossRef]
- Liu, C.; Long, J.; Zhu, K.; Liu, L.; Yang, W.; Zhang, H.; Li, L.; Xu, Q.; Deng, X. Characterization of a Citrus R2R3-MYB transcription factor that regulates the flavonol and hydroxycinnamic acid biosynthesis. Sci. Rep. 2016, 6, 25352. [Google Scholar] [CrossRef]
- Sun, B.; Zhu, Z.; Cao, P.; Chen, H.; Chen, C.; Zhou, X.; Mao, Y.; Lei, J.; Jiang, Y.; Meng, W.; et al. Purple foliage coloration in tea (Camellia sinensis L.) arises from activation of the R2R3-MYB transcription factor CsAN1. Sci. Rep. 2016, 6, 32534. [Google Scholar] [CrossRef]
- Liu, Y.; Hou, H.; Jiang, X.; Wang, P.; Dai, X.; Chen, W.; Gao, L.; Xia, T. A WD40 repeat rrotein from Camellia sinensis regulates anthocyanin and proanthocyanidin accumulation through the formation of MYB⁻bHLH⁻WD40 ternary complexes. Int. J. Mol Sci. 2018, 19, 1686. [Google Scholar] [CrossRef]
- Zheng, G.; Fan, C.; Di, S.; Wang, X.; Gao, L.; Dzyubenko, N.; Chapurin, V.; Pang, Y. Ectopic expression of tea MYB genes alter spatial flavonoid accumulation in alfalfa (Medicago sativa). PLoS ONE 2019, 14, e0218336. [Google Scholar] [CrossRef]
- Jiang, X.; Huang, K.; Zheng, G.; Hou, H.; Wang, P.; Jiang, H.; Zhao, X.; Li, M.; Zhang, S.; Liu, Y.; et al. CsMYB5a and CsMYB5e from Camellia sinensis differentially regulate anthocyanin and proanthocyanidin biosynthesis. Plant Sci. 2018, 270, 209–220. [Google Scholar] [CrossRef]
- Wang, P.; Liu, Y.; Zhang, L.; Wang, W.; Hou, H.; Zhao, Y.; Jiang, X.; Yu, J.; Tan, H.; Wang, Y.; et al. Functional demonstration of plant flavonoid carbocations proposed to be involved in the biosynthesis of proanthocyanidins. Plant J. 2019. [Google Scholar] [CrossRef]
- Stratmann, J.W.; Bequette, C.J. Hairless but no longer clueless: Understanding glandular trichome development. J. Exp. Bot. 2016, 67, 5285–5287. [Google Scholar] [CrossRef]
- Zhang, F.; Gonzalez, A.; Zhao, M.; Payne, C.T.; Lloyd, A. A network of redundant bHLH proteins functions in all TTG1-dependent pathways of Arabidopsis. Development 2003, 130, 4859–4869. [Google Scholar] [CrossRef]
- Takata, N.; Awano, T.; Nakata, M.T.; Sano, Y.; Sakamoto, S.; Mitsuda, N.; Taniguchi, T. Populus NST/SND orthologs are key regulators of secondary cell wall formation in wood fibers, phloem fibers and xylem ray parenchyma cells. Tree Physiol. 2019, 39, 514–525. [Google Scholar] [CrossRef]
- Zhang, Q.; Xie, Z.; Zhang, R.; Xu, P.; Liu, H.; Yang, H.; Doblin, M.S.; Bacic, A.; Li, L. Blue light regulates secondary cell wall thickening via MYC2/MYC4 activation of the NST1-directed transcriptional network in Arabidopsis. Plant Cell 2018, 30, 2512–2528. [Google Scholar] [CrossRef]
- Wessels, B.; Seyfferth, C.; Escamez, S.; Vain, T.; Antos, K.; Vahala, J.; Delhomme, N.; Kangasjarvi, J.; Eder, M.; Felten, J.; et al. An AP2/ERF transcription factor ERF139 coordinates xylem cell expansion and secondary cell wall deposition. New Phytol. 2019, 10, 1585–1599. [Google Scholar] [CrossRef]
- Novo-Uzal, E.; Fernandez-Perez, F.; Herrero, J.; Gutierrez, J.; Gomez-Ros, L.V.; Bernal, M.A.; Diaz, J.; Cuello, J.; Pomar, F.; Pedreno, M.A. From Zinnia to Arabidopsis: Approaching the involvement of peroxidases in lignification. J. Exp. Bot. 2013, 64, 3499–3518. [Google Scholar] [CrossRef]
- Marjamaa, K.; Kukkola, E.M.; Fagerstedt, K.V. The role of xylem class III peroxidases in lignification. J. Exp. Bot. 2009, 60, 367–376. [Google Scholar] [CrossRef]
- Boerjan, W.; Ralph, J.; Baucher, M. Lignin biosynthesis. Annu. Rev. Plant Biol. 2003, 54, 519–546. [Google Scholar] [CrossRef]
- Dunwell, J.M.; Purvis, A.; Khuri, S. Cupins: The most functionally diverse protein superfamily? Phytochemistry 2004, 65, 7–17. [Google Scholar] [CrossRef]
- Clauß, K.; Baumert, A.; Nimtz, M.; Milkowski, C.; Strack, D. Role of a GDSL lipase-like protein as sinapine esterase in Brassicaceae. Plant J. 2008, 53, 802–813. [Google Scholar] [CrossRef]
- Chepyshko, H.; Lai, C.-P.; Huang, L.-M.; Liu, J.-H.; Shaw, J.-F. Multifunctionality and diversity of GDSL esterase/lipase gene family in rice (Oryza sativa L. japonica) genome: New insights from bioinformatics analysis. BMC Genom. 2012, 13, 309. [Google Scholar] [CrossRef]
- Lai, C.P.; Huang, L.M.; Chen, L.O.; Chan, M.T.; Shaw, J.F. Genome-wide analysis of GDSL-type esterases/lipases in Arabidopsis. Plant Mol. Biol. 2017, 95, 181–197. [Google Scholar] [CrossRef]
- O’Brien, J.A.; Daudi, A.; Butt, V.S.; Bolwell, G.P. Reactive oxygen species and their role in plant defence and cell wall metabolism. Planta 2012, 236, 765–779. [Google Scholar] [CrossRef]
- Riddick, E.W.; Simmons, A.M. Do plant trichomes cause more harm than good to predatory insects? Pest Manag. Sci. 2014, 70, 1655–1665. [Google Scholar] [CrossRef]
- Liu, X.; Bartholomew, E.; Cai, Y.; Ren, H. Trichome-related mutants provide a new perspective on multicellular trichome initiation and development in cucumber (Cucumis sativus L.). Front. Plant Sci. 2016, 7, 1187. [Google Scholar] [CrossRef]
- Liu, H.; Liu, S.; Jiao, J.; Lu, T.J.; Xu, F. Trichomes as a natural biophysical barrier for plants and their bioinspired applications. Soft Mat. 2017, 13, 5096–5106. [Google Scholar] [CrossRef]
- Gao, X.F.; Li, H.L.; Wang, Q.S. Advances studies on the relationship between leaf structure, secondary substances and insect resistance of tea plant. Tea Sci. Tech. 2011, 2, 7–11. [Google Scholar]
- Fang, W.P.; Meinhardt, L.W.; Tan, H.W.; Zhou, L.; Mischke, S.; Zhang, D. Varietal identification of tea (Camellia sinensis) using nanofluidic array of single nucleotide polymorphism (SNP) markers. Hortic. Res. 2014, 1, 14035. [Google Scholar] [CrossRef]
- Niu, S.; Song, Q.; Koiwa, H.; Qiao, D.; Zhao, D.; Chen, Z.; Liu, X.; Wen, X. Genetic diversity, linkage disequilibrium, and population structure analysis of the tea plant (Camellia sinensis) from an origin center, Guizhou plateau, using genome-wide SNPs developed by genotyping-by-sequencing. BMC Plant Biol. 2019, 19, 328. [Google Scholar] [CrossRef]
- Guo, Y.; Zhao, S.; Zhu, C.; Chang, X.; Yue, C.; Wang, Z.; Lin, Y.; Lai, Z. Identification of drought-responsive miRNAs and physiological characterization of tea plant (Camellia sinensis L.) under drought stress. BMC Plant Biol. 2017, 17, 211. [Google Scholar] [CrossRef]
- Wang, X.C.; Zhao, Q.Y.; Ma, C.L.; Zhang, Z.H.; Cao, H.L.; Kong, Y.M.; Yue, C.; Hao, X.Y.; Chen, L.; Ma, J.Q.; et al. Global transcriptome profiles of Camellia sinensis during cold acclimation. BMC Genom. 2013, 14, 415. [Google Scholar] [CrossRef]
- Guo, Y.C. Morphological and evolutionary characteristics of tea plant trichomes. Tea Sci. Bullet 1993, 3, 1–4. [Google Scholar]
- Yang, Y.J.; Liang, Y.R. Chinese Clone Tea Plant Variety Records, 2014 ed.; Shanghai Scientific and Technical Publishers: Shanghai, China, 2014; pp. 8–268. [Google Scholar]






| Amino Acids | Trichomes | Processed Leaves | Quantitative Analysis |
|---|---|---|---|
| γ-aminobutyric acid | 0.0049 ± 0.00024 | 0.052 ± 0.003 ** | Std. |
| Serine | 0.030 ± 0.0012 | n.d. | Std. |
| Proline | 0.002 ± 0.0001 | 0.041 ± 0.0024 ** | Std. |
| Valine | 0.0011 ± 0.00007 | 0.014 ± 0.0014 ** | Std. |
| Threoine | n.d. | 0.047 ± 0.0072 | Std. |
| Leucine | 0.00085 ± 0.00006 | 0.014 ± 0.0008 ** | Std. |
| Isoleucine | 0.00094 + 0.00016 | 0.013 ± 0.00048 ** | Std. |
| Asparagine | 0.01 ± 0.0015 | 0.117 ± 0.008 ** | Std. |
| Aspartic acid | 0.052 ± 0.011 | 0.77 ± 0.008 ** | Std. |
| Glutamine | 0.035 + 0.017 | 0.79 ± 0.045 ** | Std. |
| Lysine | 0.054 ± 0.004 | 0.25 ± 0.01 ** | Std. |
| Glutamic acid | 0.045 ± 0.003 | 3.9 ± 0.24 ** | Std. |
| Methionine | 0.00025 + 0.00003 | 0.0077 ±0.0002 ** | Std. |
| Histidine | 0.0077 + 0.001 | 0.031 ± 0.006 ** | Std. |
| Phenylalanine | 0.00024 ± 0.00001 | 0.021 ±0.0002 ** | Std. |
| Arginine | 0.011 + 0.0019 | 0.138 ± 0.01 ** | Std. |
| Tyrosine | 0.00014 ± 0.00001 | 0.01 ± 0.0015 ** | Std. |
| Tryptophan | 0.00037 ± 0.00001 | 0.087 ± 0.002 ** | Std. |
| Theanine | 0.76 ± 0.015 | 4.49 ± 0.16 ** | Std. |
| Total | 1.011 ± 0.18 | 10.56 ± 1.35 ** | Std. |
| Compounds | Trichomes | Processed Leaves | Quantitative Analysis |
|---|---|---|---|
| Catechin gallate | 0.0013 ± 0.0002 | 0.080 ± 0.004 ** | Std. |
| Epicatechin | 0.037 ± 0.0024 | 4.2 ± 0.2 ** | Std. |
| Gallocatechin gallate | 0.0082 ± 0.001 | 0.086 ± 0.094 ** | Std. |
| Epigallocatechin | 0.085 ± 0.014 | 17.75 ± 0.88 ** | Std. |
| Epicatechin gallate | 0.54 ± 0.055 | 28.82 ± 2.02 ** | Std. |
| Epigallocatechin gallate | 1.1 ± 0.15 | 82.7 ± 4.03 ** | Std. |
| Caffeine | 1.008 ± 0.056 | 31.23 ± 1.83 ** | Std. |
| Rutin | 0.058 ± 0.0028 | 0.39 ± 0.033 ** | Std. |
| Compounds | Retention Time (min) | Processed Leaves | Trichomes | Quantitative Analysis |
|---|---|---|---|---|
| 2-Hexenal | 8.775 | 128.048 ± 29.649 ** | 12.495 ± 0.389 | Std. |
| beta-Ocimene | 9.79 | 2.571 ± 0.058 ** | 0.471 ± 0.020 | Std. |
| Cyclohexanone | 10.915 | 0.428 ± 0.036 | 0.546 ± 0.054 | Internal Std. |
| 2-Heptanol | 11.695 | 0.018 ± 0.002 ** | 0.006 ± 0.000 | Internal Std. |
| 1-Hexanol | 12.75 | 3.193 ± 0.213 ** | 1.067 ± 0.122 | Std. |
| (Z)-3-Hexenol | 13.765 | 52.281 ± 10.676 ** | 7.377 ± 0.224 | Std. |
| (E)-2-Hexenol | 14.495 | 0.035 ±0.003 | 0.235 ± 0.017 ** | Internal Std. |
| Hexyl butanoate | 15.075 | 0.006 ± 0.000 ** | 0.003 ± 0.000 | Internal Std. |
| trans-Linalool oxide (furanoid) | 15.8 | 8.936 ± 0.152 ** | 0.747 ± 0.036 | Std. |
| cis-3-Hexenyl butyrate | 16.515 | 0.009 ± 0.001 | 0.012 ± 0.002 | Internal Std. |
| trans-Linalool oxide (furanoid) | 16.74 | 0.806 ± 0.097 ** | 0.071 ± 0.009 | Internal Std. |
| trans-2-Hexenyl Butyrate | 16.975 | 0.088 ± 0.002 ** | 0.009 ± 0.001 | Internal Std. |
| 2-Ethylhexanol | 17.29 | 1.650 ± 0.287 | 2.059 ± 0.148 | Internal Std. |
| Benzaldehyde | 18.43 | 2.375 ± 0.082 | 2.284 ± 0.149 | Std. |
| Linalol | 19.2 | 65.021 ± 11.499 ** | 7.089 ± 0.102 | Std. |
| Hexyl hexanoate | 21.36 | 0.014 ± 0.005 | 0.023 ± 0.003 ** | Internal Std. |
| Benzeneacetaldehyde | 22.17 | 2.380 ± 0.071 | 2.533 ± 0.107 | Std. |
| (Z)-3-Hexenyl hexanoate | 22.735 | 0.016 ± 0.001 ** | 0.008 ± 0.000 | Internal Std. |
| trans-2-Hexenyl hexanoate | 23.155 | 0.005 ± 0.002 | 0.009 ± 0.000 ** | Internal Std. |
| L-alpha-Terpineol | 23.835 | 0.009 ± 0.000 ** | 0.005 ± 0.000 | Internal Std. |
| alpha-Farnesene | 25.545 | 1.907 ± 0.041 ** | 0.234 ± 0.047 | Std. |
| Linalool oxide (pyranoid) | 25.7 | 0.263 ± 0.019 ** | 0.126 ± 0.012 | Internal Std. |
| Methyl salicylate | 26.2 | 36.350 ± 3.010 ** | 2.442 ± 0.164 | Std. |
| 3,5-Dimethylbenzaldehyde | 27.325 | 27.510 ± 1.245 ** | 22.307 ± 0.531 | Std. |
| Nerol | 28.115 | 99.662 ± 5.727 ** | 5.439 ± 0.356 | Std. |
| Benzyl alcohol | 28.85 | 53.378 ± 5.342 ** | 13.318 ± 0.102 | Std. |
| 2-Phenylethanol | 29.835 | 99.699 ± 8.944 ** | 17.958 ± 0.199 | Std. |
| Benzyl nitrile | 30.345 | 0.021 ± 0.002 ** | 0.010 ± 0.000 | Internal Std. |
| Phytol, acetate | 30.675 | 316.534 ± 36.643 ** | 44.950 ± 0.881 | Std. |
| Jasmone | 30.895 | 0.019 ± 0.001 ** | 0.003 ± 0.000 | Internal Std. |
| 3,7,11,15-Tetramethyl-2-hexadecen-1-ol | 31.475 | 0.059 ± 0.006 ** | 0.022 ± 0.001 | Internal Std. |
| trans-Nerolidol | 33.43 | 3.503 ± 0.165 ** | 0.679 ± 0.045 | Std. |
| Jasmine lactone | 38.855 | 0.714 ± 0.010 ** | 0.441 ± 0.039 | Std. |
| Indole | 42.94 | 10.371 ± 0.176 ** | 3.896 ± 0.113 | Std. |
© 2020 by the authors. Licensee MDPI, Basel, Switzerland. This article is an open access article distributed under the terms and conditions of the Creative Commons Attribution (CC BY) license (http://creativecommons.org/licenses/by/4.0/).
Share and Cite
Cao, H.; Li, J.; Ye, Y.; Lin, H.; Hao, Z.; Ye, N.; Yue, C. Integrative Transcriptomic and Metabolic Analyses Provide Insights into the Role of Trichomes in Tea Plant (Camellia Sinensis). Biomolecules 2020, 10, 311. https://doi.org/10.3390/biom10020311
Cao H, Li J, Ye Y, Lin H, Hao Z, Ye N, Yue C. Integrative Transcriptomic and Metabolic Analyses Provide Insights into the Role of Trichomes in Tea Plant (Camellia Sinensis). Biomolecules. 2020; 10(2):311. https://doi.org/10.3390/biom10020311
Chicago/Turabian StyleCao, Hongli, Jiamin Li, Yijun Ye, Hongzheng Lin, Zhilong Hao, Naixing Ye, and Chuan Yue. 2020. "Integrative Transcriptomic and Metabolic Analyses Provide Insights into the Role of Trichomes in Tea Plant (Camellia Sinensis)" Biomolecules 10, no. 2: 311. https://doi.org/10.3390/biom10020311
APA StyleCao, H., Li, J., Ye, Y., Lin, H., Hao, Z., Ye, N., & Yue, C. (2020). Integrative Transcriptomic and Metabolic Analyses Provide Insights into the Role of Trichomes in Tea Plant (Camellia Sinensis). Biomolecules, 10(2), 311. https://doi.org/10.3390/biom10020311

