One-Dimensional Disordered Bosonic Systems
Abstract
1. Introduction
2. Theoretical Background of 1D Disordered Systems
3. Experimental Results
3.1. Coherence
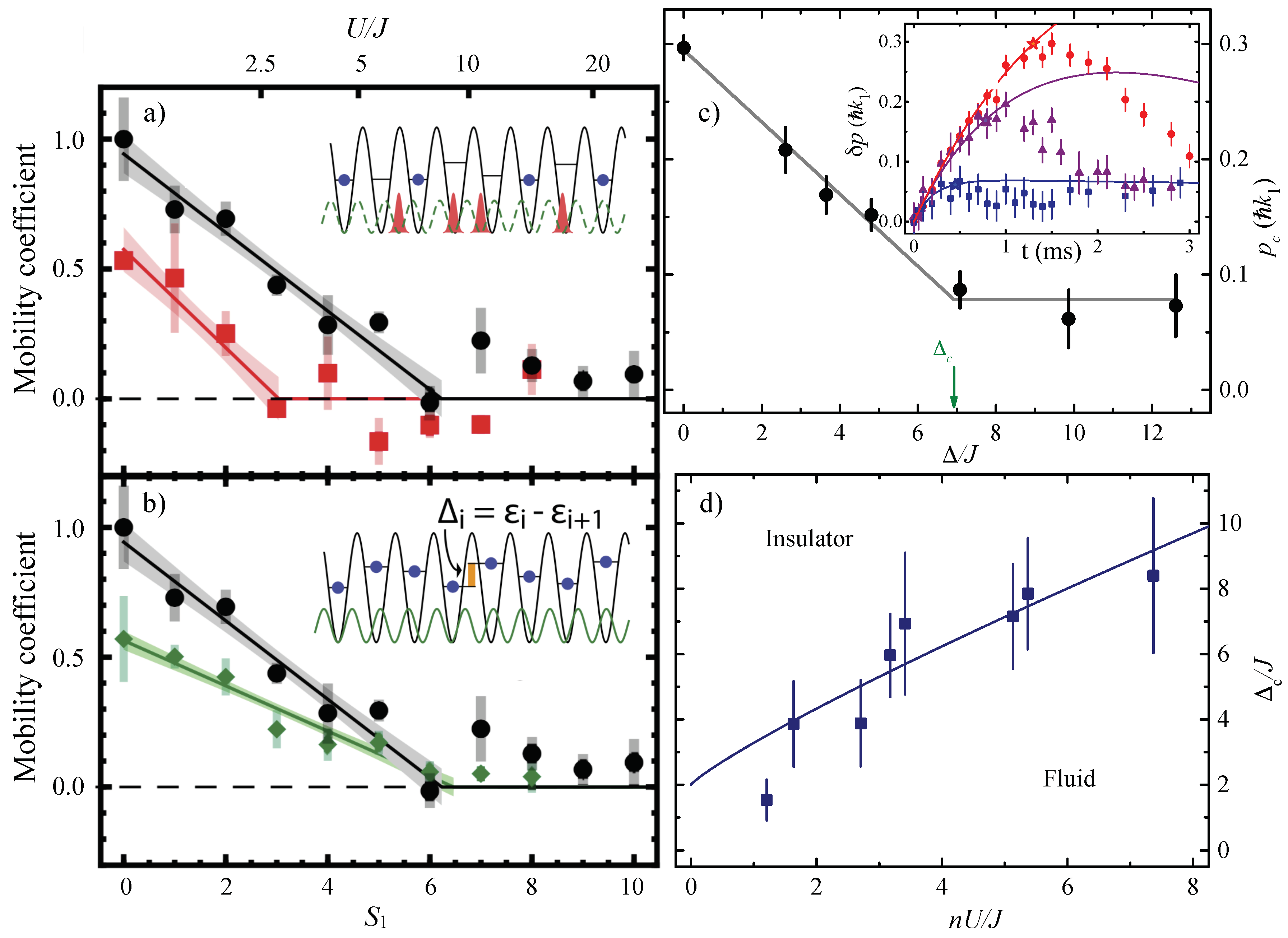
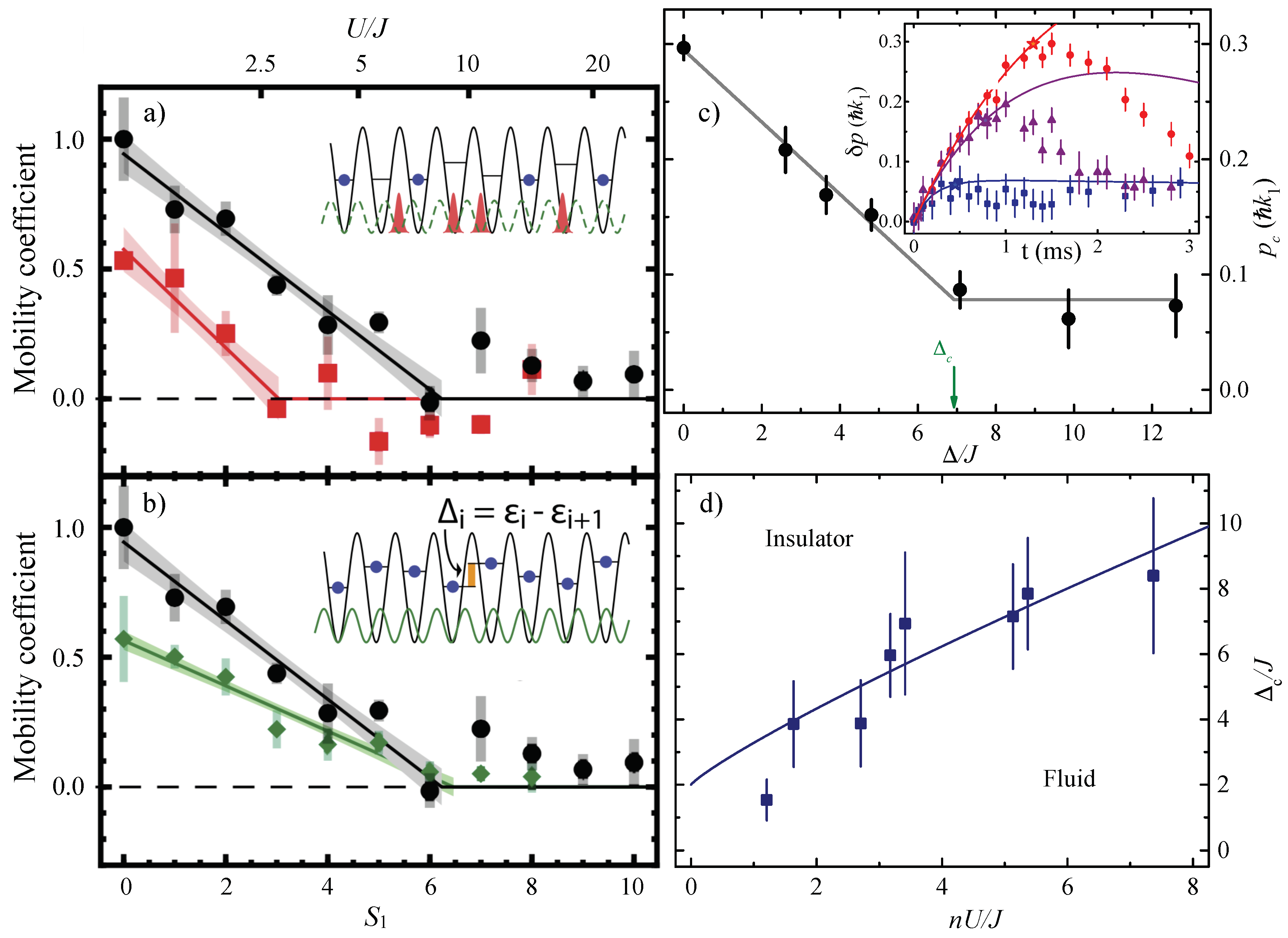
3.2. Transport
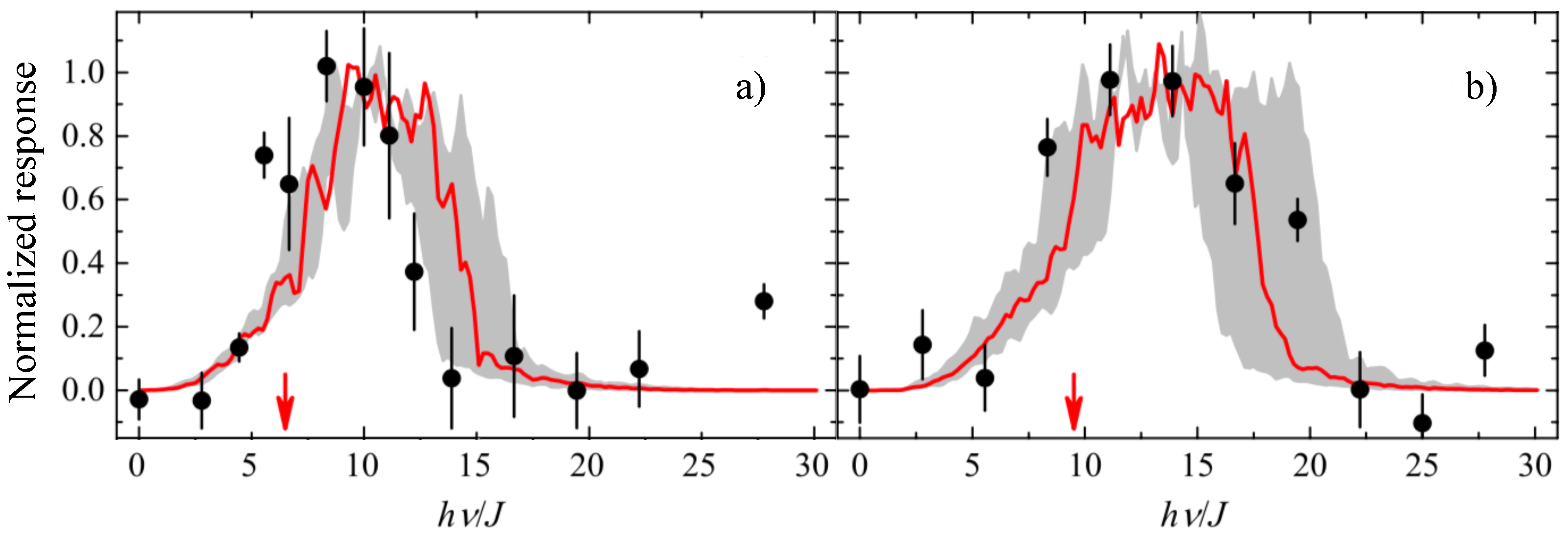
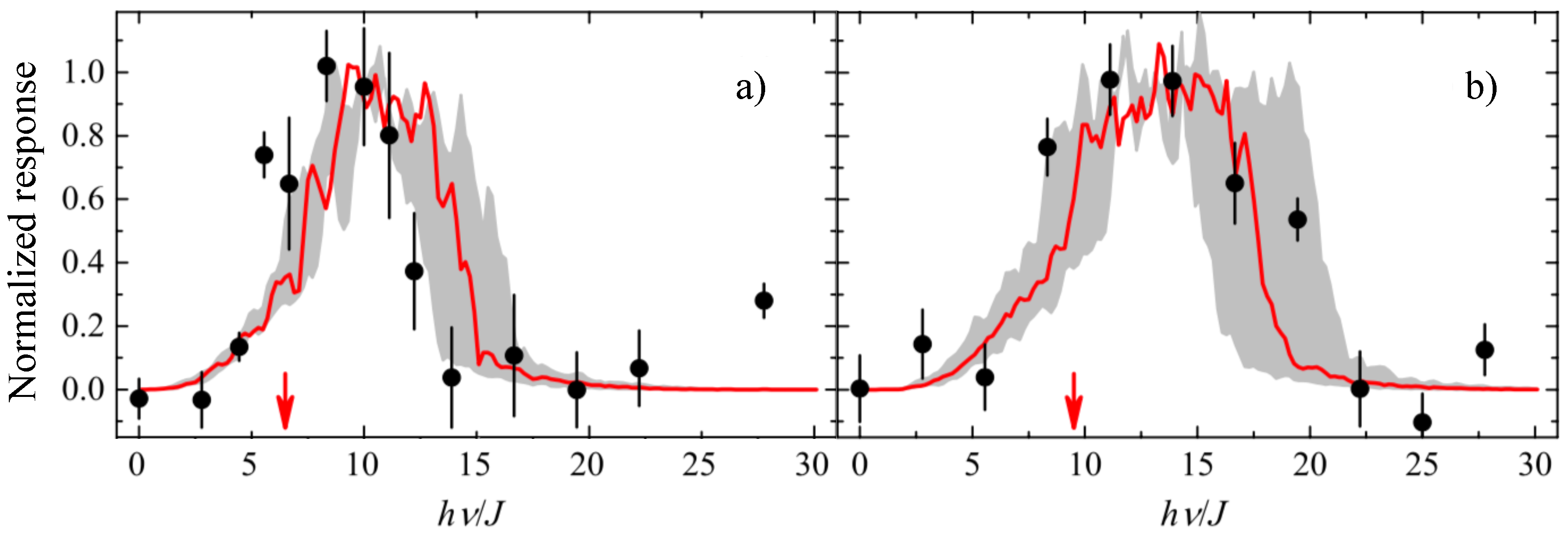
3.3. Excitation Spectra
4. Outlook and Perspectives
Author Contributions
Funding
Conflicts of Interest
Abbreviations
| 1D | One-dimensional |
| MI | Mott insulator |
| SF | Superfluid |
| BG | Bose glass |
| BEC | Bose–Einstein condensate |
References
- Bloch, I.; Dalibard, J.; Nascimbène, S. Quantum simulations with ultracold quantum gases. Nat. Phys. 2012, 8, 267–276. [Google Scholar] [CrossRef]
- Gross, C.; Bloch, I. Quantum simulations with ultracold atoms in optical lattices. Science 2017, 357, 995–1001. [Google Scholar] [CrossRef] [PubMed]
- Schäfer, F.; Fukuhara, T.; Sugawa, S.; Takasu, Y.; Takahashi, Y. Tools for quantum simulation with ultracold atoms in optical lattices. Nat. Rev. Phys. 2020, 2, 411–425. [Google Scholar] [CrossRef]
- Lewenstein, M.; Sanpera, A.; Ahufinger, V.; Damski, B.; Sen(De), A.; Sen, U. Ultracold atomic gases in optical lattices: Mimicking condensed matter physics and beyond. Adv. Phys. 2007, 56, 243–379. [Google Scholar] [CrossRef]
- Bloch, I.; Dalibard, J.; Zwerger, W. Many-body physics with ultracold gases. Rev. Mod. Phys. 2008, 80, 885–964. [Google Scholar] [CrossRef]
- Sanchez-Palencia, L.; Lewenstein, M. Disordered quantum gases under control. Nat. Phys. 2010, 6, 87–95. [Google Scholar] [CrossRef]
- Modugno, G. Anderson localization in Bose–Einstein condensates. Rep. Prog. Phys. 2010, 73, 102401. [Google Scholar] [CrossRef]
- Shapiro, B. Cold atoms in the presence of disorder. J. Phys. Math. Theor. 2012, 45, 143001. [Google Scholar] [CrossRef]
- Lye, J.E.; Fallani, L.; Modugno, M.; Wiersma, D.S.; Fort, C.; Inguscio, M. Bose-Einstein Condensate in a Random Potential. Phys. Rev. Lett. 2005, 95, 070401. [Google Scholar] [CrossRef] [PubMed]
- Clément, D.; Varón, A.F.; Hugbart, M.; Retter, J.A.; Bouyer, P.; Sanchez-Palencia, L.; Gangardt, D.M.; Shlyapnikov, G.V.; Aspect, A. Suppression of Transport of an Interacting Elongated Bose-Einstein Condensate in a Random Potential. Phys. Rev. Lett. 2005, 95, 170409. [Google Scholar] [CrossRef]
- Fort, C.; Fallani, L.; Guarrera, V.; Lye, J.E.; Modugno, M.; Wiersma, D.S.; Inguscio, M. Effect of Optical Disorder and Single Defects on the Expansion of a Bose-Einstein Condensate in a One-Dimensional Waveguide. Phys. Rev. Lett. 2005, 95, 170410. [Google Scholar] [CrossRef] [PubMed]
- Schulte, T.; Drenkelforth, S.; Kruse, J.; Ertmer, W.; Arlt, J.; Sacha, K.; Zakrzewski, J.; Lewenstein, M. Routes Towards Anderson-Like Localization of Bose-Einstein Condensates in Disordered Optical Lattices. Phys. Rev. Lett. 2005, 95, 170411. [Google Scholar] [CrossRef]
- Clément, D.; Varón, A.F.; Retter, J.A.; Sanchez-Palencia, L.; Aspect, A.; Bouyer, P. Experimental study of the transport of coherent interacting matter-waves in a 1D random potential induced by laser speckle. New J. Phys. 2006, 8, 165. [Google Scholar] [CrossRef]
- Chen, Y.P.; Hitchcock, J.; Dries, D.; Junker, M.; Welford, C.; Hulet, R.G. Phase coherence and superfluid-insulator transition in a disordered Bose-Einstein condensate. Phys. Rev. A 2008, 77, 033632. [Google Scholar] [CrossRef]
- Billy, J.; Josse, V.; Zuo, Z.; Bernard, A.; Hambrecht, B.; Lugan, P.; Clément, D.; Sanchez-Palencia, L.; Bouyer, P.; Aspect, A. Direct observation of Anderson localization of matter waves in a controlled disorder. Nature 2008, 453, 891–894. [Google Scholar] [CrossRef]
- White, M.; Pasienski, M.; McKay, D.; Zhou, S.Q.; Ceperley, D.; DeMarco, B. Strongly Interacting Bosons in a Disordered Optical Lattice. Phys. Rev. Lett. 2009, 102, 055301.e8. [Google Scholar] [CrossRef] [PubMed]
- Pasienski, M.; McKay, D.; White, M.; DeMarco, B. A disordered insulator in an optical lattice. Nat. Phys. 2010, 6, 677–680. [Google Scholar] [CrossRef]
- Dries, D.; Pollack, S.E.; Hitchcock, J.M.; Hulet, R.G. Dissipative transport of a Bose-Einstein condensate. Phys. Rev. A 2010, 82, 033603. [Google Scholar] [CrossRef]
- Volchkov, V.V.; Pasek, M.; Denechaud, V.; Mukhtar, M.; Aspect, A.; Delande, D.; Josse, V. Measurement of Spectral Functions of Ultracold Atoms in Disordered Potentials. Phys. Rev. Lett. 2018, 120, 060404. [Google Scholar] [CrossRef]
- Richard, J.; Lim, L.K.; Denechaud, V.; Volchkov, V.V.; Lecoutre, B.; Mukhtar, M.; Jendrzejewski, F.; Aspect, A.; Signoles, A.; Sanchez-Palencia, L.; et al. Elastic Scattering Time of Matter Waves in Disordered Potentials. Phys. Rev. Lett. 2019, 122, 100403. [Google Scholar] [CrossRef]
- Fallani, L.; Lye, J.E.; Guarrera, V.; Fort, C.; Inguscio, M. Ultracold Atoms in a Disordered Crystal of Light: Towards a Bose Glass. Phys. Rev. Lett. 2007, 98, 130404. [Google Scholar] [CrossRef] [PubMed]
- Guarrera, V.; Fallani, L.; Lye, J.E.; Fort, C.; Inguscio, M. Inhomogeneous broadening of a Mott insulator spectrum. New J. Phys. 2007, 9, 107. [Google Scholar] [CrossRef]
- Guarrera, V.; Fabbri, N.; Fallani, L.; Fort, C.; van der Stam, K.M.R.; Inguscio, M. Noise Correlation Spectroscopy of the Broken Order of a Mott Insulating Phase. Phys. Rev. Lett. 2008, 100, 250403. [Google Scholar] [CrossRef]
- Roati, G.; D’Errico, C.; Fallani, L.; Fattori, M.; Fort, C.; Zaccanti, M.; Modugno, G.; Modugno, M.; Inguscio, M. Anderson localization of a non-interacting Bose–Einstein condensate. Nature 2008, 453, 895–898. [Google Scholar] [CrossRef]
- Deissler, B.; Zaccanti, M.; Roati, G.; D’Errico, C.; Fattori, M.; Modugno, M.; Modugno, G.; Inguscio, M. Delocalization of a disordered bosonic system by repulsive interactions. Nat. Phys. 2010, 6, 354–358. [Google Scholar] [CrossRef]
- Deissler, B.; Lucioni, E.; Modugno, M.; Roati, G.; Tanzi, L.; Zaccanti, M.; Inguscio, M.; Modugno, G. Correlation function of weakly interacting bosons in a disordered lattice. New J. Phys. 2011, 13, 023020. [Google Scholar] [CrossRef]
- Lucioni, E.; Deissler, B.; Tanzi, L.; Roati, G.; Zaccanti, M.; Modugno, M.; Larcher, M.; Dalfovo, F.; Inguscio, M.; Modugno, G. Observation of Subdiffusion in a Disordered Interacting System. Phys. Rev. Lett. 2011, 106, 230403. [Google Scholar] [CrossRef] [PubMed]
- D’Errico, C.; Moratti, M.; Lucioni, E.; Tanzi, L.; Deissler, B.; Inguscio, M.; Modugno, G.; Plenio, M.B.; Caruso, F. Quantum diffusion with disorder, noise and interaction. New J. Phys. 2013, 15, 045007. [Google Scholar] [CrossRef]
- Lucioni, E.; Tanzi, L.; D’Errico, C.; Moratti, M.; Inguscio, M.; Modugno, G. Modeling the transport of interacting matter waves in a disordered system by a nonlinear diffusion equation. Phys. Rev. E 2013, 87, 042922. [Google Scholar] [CrossRef]
- D’Errico, C.; Chaudhuri, S.; Gori, L.; Kumar, A.; Lucioni, E.; Tanzi, L.; Inguscio, M.; Modugno, G. Transport of an interacting Bose gas in 1D disordered lattices. AIP Conf. Proc. 2014, 1610, 24–33. [Google Scholar] [CrossRef]
- Gadway, B.; Pertot, D.; Reeves, J.; Vogt, M.; Schneble, D. Glassy Behavior in a Binary Atomic Mixture. Phys. Rev. Lett. 2011, 107, 145306. [Google Scholar] [CrossRef] [PubMed]
- Tanzi, L.; Lucioni, E.; Chaudhuri, S.; Gori, L.; Kumar, A.; D’Errico, C.; Inguscio, M.; Modugno, G. Transport of a Bose Gas in 1D Disordered Lattices at the Fluid-Insulator Transition. Phys. Rev. Lett. 2013, 111, 115301. [Google Scholar] [CrossRef] [PubMed]
- D’Errico, C.; Lucioni, E.; Tanzi, L.; Gori, L.; Roux, G.; McCulloch, I.P.; Giamarchi, T.; Inguscio, M.; Modugno, G. Observation of a Disordered Bosonic Insulator from Weak to Strong Interactions. Phys. Rev. Lett. 2014, 113, 095301. [Google Scholar] [CrossRef] [PubMed]
- Gori, L.; Barthel, T.; Kumar, A.; Lucioni, E.; Tanzi, L.; Inguscio, M.; Modugno, G.; Giamarchi, T.; D’Errico, C.; Roux, G. Finite-temperature effects on interacting bosonic one-dimensional systems in disordered lattices. Phys. Rev. A 2016, 93, 033650. [Google Scholar] [CrossRef]
- Robert-de Saint-Vincent, M.; Brantut, J.P.; Allard, B.; Plisson, T.; Pezzé, L.; Sanchez-Palencia, L.; Aspect, A.; Bourdel, T.; Bouyer, P. Anisotropic 2D Diffusive Expansion of Ultracold Atoms in a Disordered Potential. Phys. Rev. Lett. 2010, 104, 220602. [Google Scholar] [CrossRef]
- Allard, B.; Plisson, T.; Holzmann, M.; Salomon, G.; Aspect, A.; Bouyer, P.; Bourdel, T. Effect of disorder close to the superfluid transition in a two-dimensional Bose gas. Phys. Rev. A 2012, 85, 033602. [Google Scholar] [CrossRef]
- Jendrzejewski, F.; Müller, K.; Richard, J.; Date, A.; Plisson, T.; Bouyer, P.; Aspect, A.; Josse, V. Coherent Backscattering of Ultracold Atoms. Phys. Rev. Lett. 2012, 109, 195302. [Google Scholar] [CrossRef]
- Müller, K.; Richard, J.; Volchkov, V.V.; Denechaud, V.; Bouyer, P.; Aspect, A.; Josse, V. Suppression and Revival of Weak Localization through Control of Time-Reversal Symmetry. Phys. Rev. Lett. 2015, 114, 205301. [Google Scholar] [CrossRef]
- Kondov, S.S.; McGehee, W.R.; Zirbel, J.J.; DeMarco, B. Three-Dimensional Anderson Localization of Ultracold Matter. Science 2011, 334, 66–68. [Google Scholar] [CrossRef] [PubMed]
- Jendrzejewski, F.; Bernard, A.; Müller, K.; Cheinet, P.; Josse, V.; Piraud, M.; Pezzé, L.; Sanchez-Palencia, L.; Aspect, A.; Bouyer, P. Three-dimensional localization of ultracold atoms in an optical disordered potential. Nat. Phys. 2012, 8, 398–403. [Google Scholar] [CrossRef]
- Semeghini, G.; Landini, M.; Castilho, P.; Roy, S.; Spagnolli, G.; Trenkwalder, A.; Fattori, M.; Inguscio, M.; Modugno, G. Measurement of the mobility edge for 3D Anderson localization. Nat. Phys. 2015, 11, 554–559. [Google Scholar] [CrossRef]
- Giamarchi, T.; Schulz, H.J. Anderson localization and interactions in one-dimensional metals. Phys. Rev. B 1988, 37, 325–340. [Google Scholar] [CrossRef] [PubMed]
- Fisher, M.P.A.; Weichman, P.B.; Grinstein, G.; Fisher, D.S. Boson localization and the superfluid-insulator transition. Phys. Rev. B 1989, 40, 546–570. [Google Scholar] [CrossRef] [PubMed]
- Aleiner, I.L.; Altshuler, B.L.; Shlyapnikov, G.V. A finite-temperature phase transition for disordered weakly interacting bosons in one dimension. Nat. Phys. 2010, 6, 900–904. [Google Scholar] [CrossRef]
- Iyer, S.; Oganesyan, V.; Refael, G.; Huse, D.A. Many-body localization in a quasiperiodic system. Phys. Rev. B 2013, 87, 134202. [Google Scholar] [CrossRef]
- Aubry, S.; André, G. Analyticity breaking and Anderson localization in incommensurate lattices. Ann. Israel. Phys. Soc. 1980, 3, 133. [Google Scholar]
- Chin, C.; Grimm, R.; Julienne, P.; Tiesinga, E. Feshbach resonances in ultracold gases. Rev. Mod. Phys. 2010, 82, 1225–1286. [Google Scholar] [CrossRef]
- Roux, G.; Barthel, T.; McCulloch, I.P.; Kollath, C.; Schollwöck, U.; Giamarchi, T. Quasiperiodic Bose-Hubbard model and localization in one-dimensional cold atomic gases. Phys. Rev. A 2008, 78, 023628. [Google Scholar] [CrossRef]
- Ristivojevic, Z.; Petković, A.; Le Doussal, P.; Giamarchi, T. Phase Transition of Interacting Disordered Bosons in One Dimension. Phys. Rev. Lett. 2012, 109, 026402. [Google Scholar] [CrossRef]
- Roth, R.; Burnett, K. Phase diagram of bosonic atoms in two-color superlattices. Phys. Rev. A 2003, 68, 023604. [Google Scholar] [CrossRef]
- Bar-Gill, N.; Pugatch, R.; Rowen, E.; Katz, N.; Davidson, N. Quantum Phases of Ultra Cold Bosons in Incommensurate 1D Optical Lattices. arXiv 2006, arXiv:0603513. [Google Scholar]
- Roscilde, T. Bosons in one-dimensional incommensurate superlattices. Phys. Rev. A 2008, 77, 063605. [Google Scholar] [CrossRef]
- Orso, G.; Iucci, A.; Cazalilla, M.A.; Giamarchi, T. Lattice modulation spectroscopy of strongly interacting bosons in disordered and quasiperiodic optical lattices. Phys. Rev. A 2009, 80, 033625. [Google Scholar] [CrossRef]
- Tarallo, M.G.; Alberti, A.; Poli, N.; Chiofalo, M.L.; Wang, F.Y.; Tino, G.M. Delocalization-enhanced Bloch oscillations and driven resonant tunneling in optical lattices for precision force measurements. Phys. Rev. A 2012, 86, 033615. [Google Scholar] [CrossRef]
- Bloch, I. Ultracold quantum gases in optical lattices. Nat. Phys. 2005, 1, 23–30. [Google Scholar] [CrossRef]
- Gerbier, F.; Widera, A.; Fölling, S.; Mandel, O.; Gericke, T.; Bloch, I. Phase Coherence of an Atomic Mott Insulator. Phys. Rev. Lett. 2005, 95, 050404. [Google Scholar] [CrossRef] [PubMed]
- Modugno, M. Exponential localization in one-dimensional quasi-periodic optical lattices. New J. Phys. 2009, 11, 033023. [Google Scholar] [CrossRef]
- Roati, G.; Zaccanti, M.; D’Errico, C.; Catani, J.; Modugno, M.; Simoni, A.; Inguscio, M.; Modugno, G. 39K Bose-Einstein Condensate with Tunable Interactions. Phys. Rev. Lett. 2007, 99, 010403. [Google Scholar] [CrossRef]
- D’Errico, C.; Zaccanti, M.; Fattori, M.; Roati, G.; Inguscio, M.; Modugno, G.; Simoni, A. Feshbach resonances in ultracold39K. New J. Phys. 2007, 9, 223. [Google Scholar] [CrossRef]
- Gadway, B.; Pertot, D.; Reimann, R.; Schneble, D. Superfluidity of Interacting Bosonic Mixtures in Optical Lattices. Phys. Rev. Lett. 2010, 105, 045303. [Google Scholar] [CrossRef]
- Pupillo, G.; Rey, A.M.; Williams, C.J.; Clark, C.W. Extended fermionization of 1D bosons in optical lattices. New J. Phys. 2006, 8, 161. [Google Scholar] [CrossRef]
- Veldkamp, W.B. Laser beam profile shaping with interlaced binary diffraction gratings. Appl. Opt. 1982, 21, 3209–3212. [Google Scholar] [CrossRef] [PubMed]
- Hoffnagle, J.A.; Jefferson, C.M. Design and performance of a refractive optical system that converts a Gaussian to a flattop beam. Appl. Opt. 2000, 39, 5488–5499. [Google Scholar] [CrossRef]
- Tarallo, M.G.; Miller, J.; Agresti, J.; D’Ambrosio, E.; DeSalvo, R.; Forest, D.; Lagrange, B.; Mackowsky, J.M.; Michel, C.; Montorio, J.L.; et al. Generation of a flat-top laser beam for gravitational wave detectors by means of a nonspherical Fabry-Perot resonator. Appl. Opt. 2007, 46, 6648–6654. [Google Scholar] [CrossRef][Green Version]
- Liang, J.; Rudolph, N.; Kohn, J.; Becker, M.F.; Heinzen, D.J. 1.5% root-mean-square flat-intensity laser beam formed using a binary-amplitude spatial light modulator. Appl. Opt. 2009, 48, 1955–1962. [Google Scholar] [CrossRef] [PubMed]
- Gaunt, A.L.; Schmidutz, T.F.; Gotlibovych, I.; Smith, R.P.; Hadzibabic, Z. Bose-Einstein Condensation of Atoms in a Uniform Potential. Phys. Rev. Lett. 2013, 110, 200406. [Google Scholar] [CrossRef]
- Yao, H.; Giamarchi, T.; Sanchez-Palencia, L. Lieb-Liniger Bosons in a Shallow Quasiperiodic Potential: Bose Glass Phase and Fractal Mott Lobes. Phys. Rev. Lett. 2020, 125, 060401. [Google Scholar] [CrossRef]
- Li, M.D.; Lin, W.; Luo, A.; Zhang, W.Y.; Sun, H.; Xiao, B.; Zheng, Y.G.; Yuan, Z.S.; Pan, J.W. High-powered optical superlattice with robust phase stability for quantum gas microscopy. Opt. Express 2021, 29, 13876–13886. [Google Scholar] [CrossRef] [PubMed]
- Catani, J.; Barontini, G.; Lamporesi, G.; Rabatti, F.; Thalhammer, G.; Minardi, F.; Stringari, S.; Inguscio, M. Entropy Exchange in a Mixture of Ultracold Atoms. Phys. Rev. Lett. 2009, 103, 140401. [Google Scholar] [CrossRef]
- McKay, D.C.; Meldgin, C.; Chen, D.; DeMarco, B. Slow Thermalization between a Lattice and Free Bose Gas. Phys. Rev. Lett. 2013, 111, 063002. [Google Scholar] [CrossRef] [PubMed]
- Abanin, D.A.; Altman, E.; Bloch, I.; Serbyn, M. Colloquium: Many-body localization, thermalization, and entanglement. Rev. Mod. Phys. 2019, 91, 021001. [Google Scholar] [CrossRef]
- Schreiber, M.; Hodgman, S.S.; Bordia, P.; Lüschen, H.P.; Fischer, M.H.; Vosk, R.; Altman, E.; Schneider, U.; Bloch, I. Observation of many-body localization of interacting fermions in a quasirandom optical lattice. Science 2015, 349, 842–845. [Google Scholar] [CrossRef]
- Bordia, P.; Lüschen, H.P.; Hodgman, S.S.; Schreiber, M.; Bloch, I.; Schneider, U. Coupling Identical one-dimensional Many-Body Localized Systems. Phys. Rev. Lett. 2016, 116, 140401. [Google Scholar] [CrossRef]
- Smith, J.; Lee, A.; Richerme, P.; Neyenhuis, B.; Hess, P.W.; Hauke, P.; Heyl, M.; Huse, D.A.; Monroe, C. Many-body localization in a quantum simulator with programmable random disorder. Nat. Phys. 2016, 12, 907–911. [Google Scholar] [CrossRef]
- Lüschen, H.P.; Bordia, P.; Scherg, S.; Alet, F.; Altman, E.; Schneider, U.; Bloch, I. Observation of Slow Dynamics near the Many-Body Localization Transition in One-Dimensional Quasiperiodic Systems. Phys. Rev. Lett. 2017, 119, 260401. [Google Scholar] [CrossRef]
- Rispoli, M.; Lukin, A.; Schittko, R.; Kim, S.; Tai, M.E.; Léonard, J.; Greiner, M. Quantum critical behaviour at the many-body localization transition. Nature 2019, 573, 385–389. [Google Scholar] [CrossRef]
- Lukin, A.; Rispoli, M.; Schittko, R.; Tai, M.E.; Kaufman, A.M.; Choi, S.; Khemani, V.; Léonard, J.; Greiner, M. Probing entanglement in a many-body–localized system. Science 2019, 364, 256–260. [Google Scholar] [CrossRef]
- Léonard, J.; Rispoli, M.; Lukin, A.; Schittko, R.; Kim, S.; Kwan, J.; Sels, D.; Demler, E.; Greiner, M. Signatures of bath-induced quantum avalanches in a many-body–localized system. arXiv 2020, arXiv:2012.15270. [Google Scholar]
- Panda, R.K.; Scardicchio, A.; Schulz, M.; Taylor, S.R.; Žnidarič, M. Can we study the many-body localisation transition? EPL (Europhys. Lett.) 2020, 128, 67003. [Google Scholar] [CrossRef]









Publisher’s Note: MDPI stays neutral with regard to jurisdictional claims in published maps and institutional affiliations. |
© 2021 by the authors. Licensee MDPI, Basel, Switzerland. This article is an open access article distributed under the terms and conditions of the Creative Commons Attribution (CC BY) license (https://creativecommons.org/licenses/by/4.0/).
Share and Cite
D’Errico, C.; Tarallo, M.G. One-Dimensional Disordered Bosonic Systems. Atoms 2021, 9, 112. https://doi.org/10.3390/atoms9040112
D’Errico C, Tarallo MG. One-Dimensional Disordered Bosonic Systems. Atoms. 2021; 9(4):112. https://doi.org/10.3390/atoms9040112
Chicago/Turabian StyleD’Errico, Chiara, and Marco G. Tarallo. 2021. "One-Dimensional Disordered Bosonic Systems" Atoms 9, no. 4: 112. https://doi.org/10.3390/atoms9040112
APA StyleD’Errico, C., & Tarallo, M. G. (2021). One-Dimensional Disordered Bosonic Systems. Atoms, 9(4), 112. https://doi.org/10.3390/atoms9040112

