Net Electron Capture in Collisions of Multiply Charged Projectiles with Biologically Relevant Molecules
Abstract
1. Introduction
2. Model
2.1. Ion–Atom Collisions
2.2. Ion–Molecule Collisions
3. Comparison with Experiments
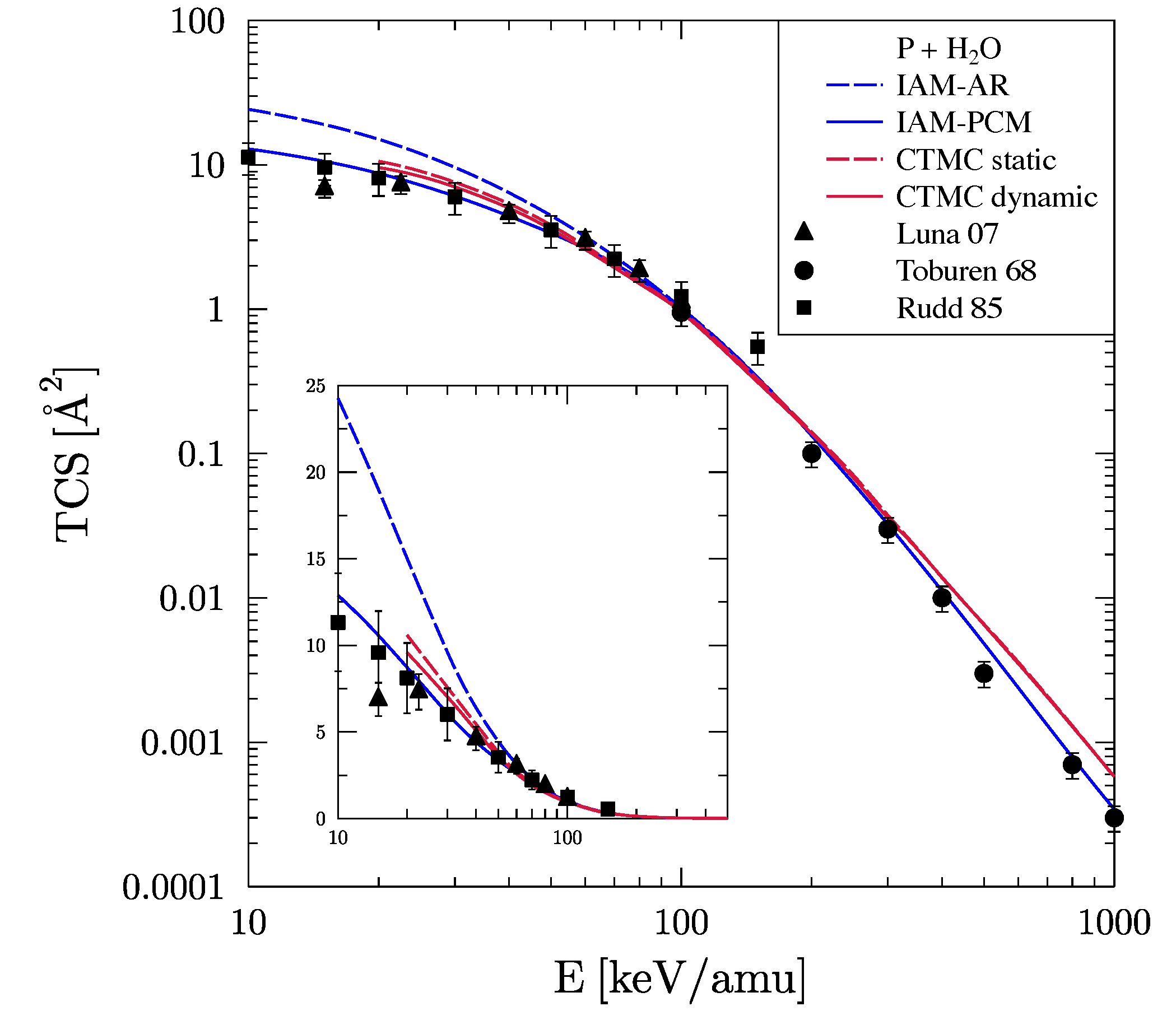
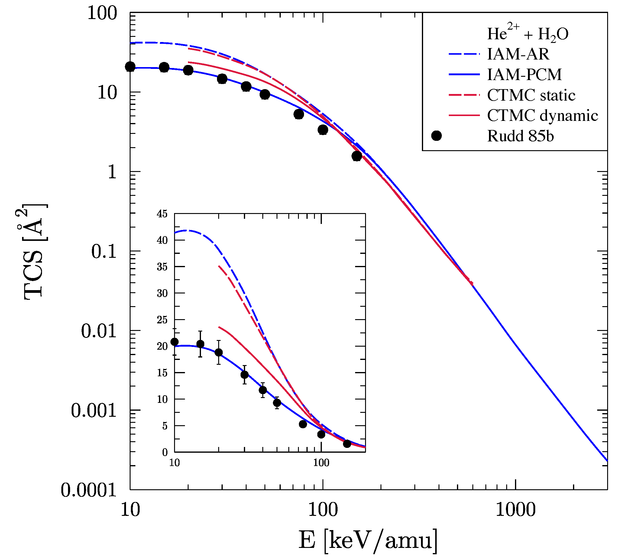
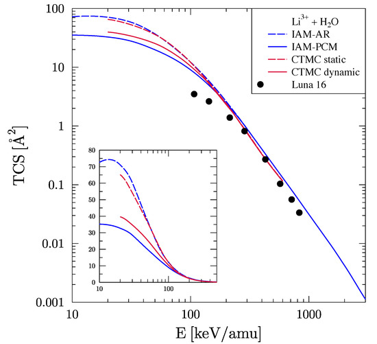
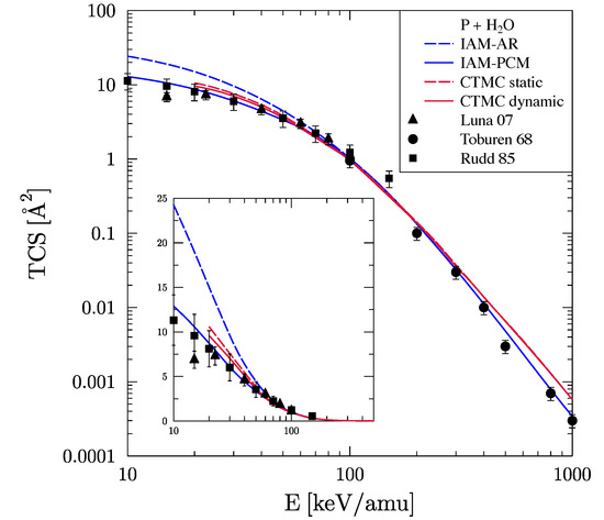
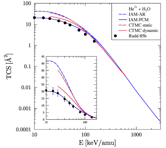
3.1. Collisions with Water Vapor (H2O)
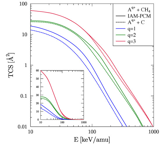
3.2. Collisions with Methane (CH4)
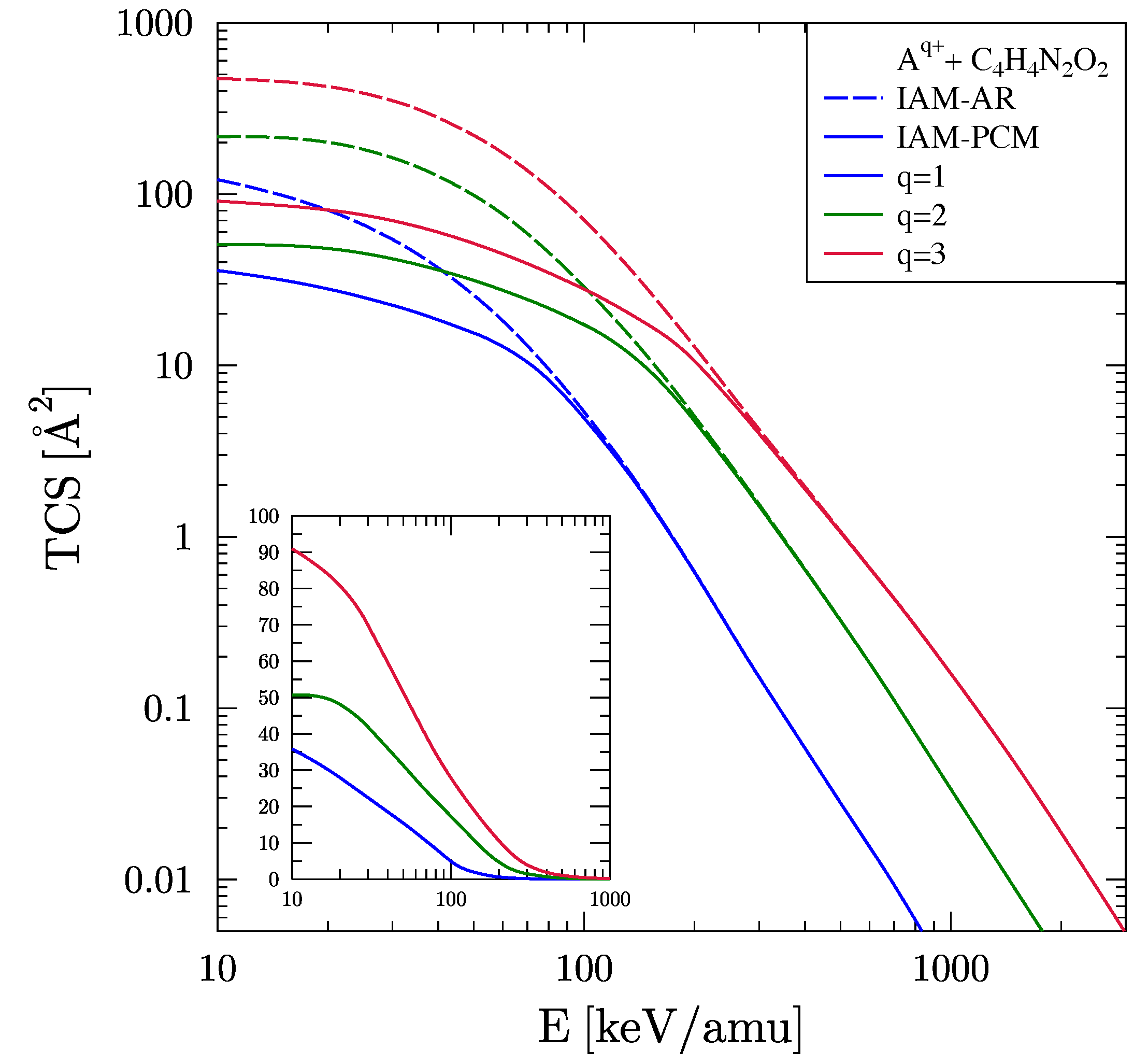
3.3. Collisions with Uracil (C4H4N2O2)
4. Conclusions
Author Contributions
Funding
Acknowledgments
Conflicts of Interest
Abbreviations
| IAM-AR | Independent atom model—additivity rule |
| IAM-PCM | Independent atom model—pixel counting method |
| CDW-EIS | Continuum distorted wave with eikonal initial state |
| CTMC | Classical trajectory Monte Carlo |
| TC-BGM | Two-center basis generator method |
| CCC | Convergent close coupling |
| CNDO | Complete neglect of differential overlap |
References
- Schardt, D.; Elsässer, T.; Schulz-Ertner, D. Heavy-ion tumor therapy: Physical and radiobiological benefits. Rev. Mod. Phys. 2010, 82, 383–425. [Google Scholar] [CrossRef]
- Nikjoo, H.; Emfietzoglou, D.; Liamsuwan, T.; Taleei, R.; Liljequist, D.; Uehara, S. Radiation track, DNA damage and response—A review. Rep. Prog. Phys. 2016, 79, 116601. [Google Scholar] [CrossRef]
- Mandal, A.; Bagdia, C.; Roy Chowdhury, M.; Bhattacharjee, S.; Misra, D.; Monti, J.M.; Rivarola, R.D.; Tribedi, L.C. Electron emission from CH4 molecules in collisions with fast bare C ions. Phys. Rev. A 2020, 101, 062708. [Google Scholar] [CrossRef]
- Montanari, C.C.; Miraglia, J.E. Antiproton, proton and electron impact multiple ionization of rare gases. J. Phys. B At. Mol. Opt. Phys. 2012, 45, 105201. [Google Scholar] [CrossRef]
- Jorge, A.; Horbatsch, M.; Illescas, C.; Kirchner, T. Classical-trajectory Monte Carlo calculations of differential electron-emission cross sections in fast heavy-ion collisions with water molecules. Phys. Rev. A 2019, 99, 062701. [Google Scholar] [CrossRef]
- Jorge, A.; Horbatsch, M.; Kirchner, T. Multicharged-ion–water-molecule collisions in a classical-trajectory time-dependent mean-field theory. Phys. Rev. A 2020, 102, 012808. [Google Scholar] [CrossRef]
- Lüdde, H.J.; Achenbach, A.; Kalkbrenner, T.; Jankowiak, H.C.; Kirchner, T. An independent-atom-model description of ion–molecule collisions including geometric screening corrections. Eur. Phys. J. D 2016, 70, 82. [Google Scholar] [CrossRef]
- Lüdde, H.J.; Horbatsch, M.; Kirchner, T. A screened independent atom model for the description of ion collisions from atomic and molecular clusters. Eur. Phys. J. B 2018, 91, 99. [Google Scholar] [CrossRef]
- Lüdde, H.J.; Horbatsch, M.; Kirchner, T. Proton-impact-induced electron emission from biologically relevant molecules studied with a screened independent atom model. J. Phys. B 2019, 52, 195203. [Google Scholar] [CrossRef]
- Lüdde, H.J.; Horbatsch, M.; Kirchner, T. Electron capture and ionization cross-section calculations for proton collisions with methane and the DNA and RNA nucleobases. Eur. Phys. J. D 2019, 73, 249. [Google Scholar] [CrossRef]
- Lüdde, H.J.; Kalkbrenner, T.; Horbatsch, M.; Kirchner, T. Nonperturbative scaling behavior for net ionization of biologically relevant molecules by multiply charged heavy-ion impact. Phys. Rev. A 2020, 101, 062709. [Google Scholar] [CrossRef]
- Bray, I.; Abdurakhmanov, I.B.; Bailey, J.J.; Bray, A.W.; Fursa, D.V.; Kadyrov, A.S.; Rawlins, C.M.; Savage, J.S.; Stelbovics, A.T.; Zammit, M.C. Convergent close-coupling approach to light and heavy projectile scattering on atomic and molecular hydrogen. J. Phys. B At. Mol. Opt. Phys. 2017, 50, 202001. [Google Scholar] [CrossRef]
- Faulkner, J.; Abdurakhmanov, I.B.; Alladustov, S.U.; Kadyrov, A.S.; Bray, I. Electron capture, excitation and ionization in He2+-H and H+-He+ collisions. Plasma Phys. Control. Fusion 2019, 61, 095005. [Google Scholar] [CrossRef]
- Agueny, H.; Hansen, J.P.; Dubois, A.; Makhoute, A.; Taoutioui, A.; Sisourat, N. Electron capture, ionization and excitation cross sections for keV collisions between fully stripped ions and atomic hydrogen in ground and excited states. At. Data Nucl. Data Tables 2019, 129–130, 101281. [Google Scholar] [CrossRef]
- McClure, G.W. Electron Transfer in Proton-Hydrogen-Atom Collisions: 2-117 keV. Phys. Rev. 1966, 148, 47–54. [Google Scholar] [CrossRef]
- Bayfield, J.E. Measurement of the Total Cross Section for Charge Transfer into the Metastable State H(2s) for Proton Collisions with Atomic Hydrogen. Phys. Rev. 1969, 185, 105–112. [Google Scholar] [CrossRef]
- Wittkower, A.B.; Ryding, G.; Gilbody, H.B. An experimental study of charge transfer in proton-atomic-hydrogen collisions using a furnace target method. Proc. Phys. Soc. 1966, 89, 541–546. [Google Scholar] [CrossRef]
- Hvelplund, P.; Andersen, A. Electron Capture by Fast H+, He+, and He++Ions in Collisions With Atomic and Molecular Hydrogen. Phys. Scr. 1982, 26, 375–380. [Google Scholar] [CrossRef]
- Shah, M.B.; Gilbody, H.B. Electron capture and He+(2s) formation in fast He2+-H and He+-H collisions. J. Phys. B At. Mol. Phys. 1978, 11, 121–131. [Google Scholar] [CrossRef]
- Sant’Anna, M.M.; Melo, W.S.; Santos, A.C.F.; de Jesus, V.L.B.; Shah, M.B.; Sigaud, G.M.; Montenegro, E.C.; Busnengo, H.F.; Corchs, S.E.; Rivarola, R.D.; et al. Electronic capture by He2+ from atomic and molecular hydrogen. Phys. Rev. A 2000, 61, 052717. [Google Scholar] [CrossRef]
- Shah, M.B.; Goffe, T.V.; Gilbody, H.B. Electron capture and loss by fast lithium ions in H and H2. J. Phys. B At. Mol. Phys. 1978, 11, L233–L236. [Google Scholar] [CrossRef]
- Zapukhlyak, M.; Kirchner, T.; Lüdde, H.J.; Knoop, S.; Morgenstern, R.; Hoekstra, R. Inner- and outer-shell electron dynamics in proton collisions with sodium atoms. J. Phys. B 2005, 38, 2353. [Google Scholar] [CrossRef]
- Engel, E.; Vosko, S.H. Accurate optimized-potential-model solutions for spherical spin-polarized atoms: Evidence for limitations of the exchange-only local spin-density and generalized-gradient approximations. Phys. Rev. A 1993, 47, 2800–2811. [Google Scholar] [CrossRef] [PubMed]
- Talman, J.D.; Shadwick, W.F. Optimized effective atomic central potential. Phys. Rev. A 1976, 14, 36–40. [Google Scholar] [CrossRef]
- Galassi, M.E.; Rivarola, R.D.; Beuve, M.; Olivera, G.H.; Fainstein, P.D. Theoretical calculation of single ionization in collisions between protons and low-Z molecules at intermediate and high energies. Phys. Rev. A 2000, 62, 022701. [Google Scholar] [CrossRef]
- Quinto, M.A.; Montenegro, P.R.; Monti, J.M.; Fojón, O.A.; Rivarola, R.D. Electron capture by swift ions from molecules of biological interest. J. Phys. B At. Mol. Opt. Phys. 2018, 51, 165201. [Google Scholar] [CrossRef]
- Illescas, C.; Errea, L.F.; Méndez, L.; Pons, B.; Rabadán, I.; Riera, A. Classical treatment of ion-H2O collisions with a three-center model potential. Phys. Rev. A 2011, 83, 052704. [Google Scholar] [CrossRef]
- Illescas, C.; Lombana, M.A.; Méndez, L.; Rabadán, I.; Suárez, J. Ionization and electron capture in Li3++ H2O collisions. J. Phys. Conf. Ser. 2020, 1412, 162006. [Google Scholar] [CrossRef]
- Errea, L.; Illescas, C.; Méndez, L.; Rabadán, I.; Suárez, J. Lattice description of electron loss in high-energy H++H2O collisions. Chem. Phys. 2015, 462, 17–22. [Google Scholar] [CrossRef][Green Version]
- Becker, R.L.; MacKellar, A.D. Theoretical initial l dependence of ion-Rydberg-atom collision cross sections. J. Phys. B At. Mol. Phys. 1984, 17, 3923–3942. [Google Scholar] [CrossRef]
- Rudd, M.E.; Goffe, T.V.; DuBois, R.D.; Toburen, L.H. Cross sections for ionization of water vapor by 7–4000-keV protons. Phys. Rev. A 1985, 31, 492–494. [Google Scholar] [CrossRef] [PubMed]
- Toburen, L.H.; Nakai, M.Y.; Langley, R.A. Measurement of High-Energy Charge-Transfer Cross Sections for Incident Protons and Atomic Hydrogen in Various Gases. Phys. Rev. 1968, 171, 114–122. [Google Scholar] [CrossRef]
- Luna, H.; de Barros, A.L.F.; Wyer, J.A.; Scully, S.W.J.; Lecointre, J.; Garcia, P.M.Y.; Sigaud, G.M.; Santos, A.C.F.; Senthil, V.; Shah, M.B.; et al. Water-molecule dissociation by proton and hydrogen impact. Phys. Rev. A 2007, 75, 042711. [Google Scholar] [CrossRef]
- Rudd, M.E.; Goffe, T.V.; Itoh, A. Ionization cross sections for 10–300-keV/u and electron-capture cross sections for 5–150-keV/u 3He2+ ions in gases. Phys. Rev. A 1985, 32, 2128–2133. [Google Scholar] [CrossRef]
- Luna, H.; Wolff, W.; Montenegro, E.C.; Tavares, A.C.; Lüdde, H.J.; Schenk, G.; Horbatsch, M.; Kirchner, T. Ionization and electron-capture cross sections for single- and multiple-electron removal from H2O by Li3+ impact. Phys. Rev. A 2016, 93, 052705. [Google Scholar] [CrossRef]
- Rudd, M.E.; DuBois, R.D.; Toburen, L.H.; Ratcliffe, C.A.; Goffe, T.V. Cross sections for ionization of gases by 5-4000-keV protons and for electron capture by 5-150-keV protons. Phys. Rev. A 1983, 28, 3244–3257. [Google Scholar] [CrossRef]
- Sanders, J.M.; Varghese, S.L.; Fleming, C.H.; Soosai, G.A. Electron capture by protons and electron loss from hydrogen atoms in collisions with hydrocarbon and hydrogen molecules in the 60–120 keV energy range. J. Phys. B At. Mol. Opt. Phys. 2003, 36, 3835–3846. [Google Scholar] [CrossRef]
- Tabet, J.; Eden, S.; Feil, S.; Abdoul-Carime, H.; Farizon, B.; Farizon, M.; Ouaskit, S.; Märk, T.D. 20–150-keV proton-impact-induced ionization of uracil: Fragmentation ratios and branching ratios for electron capture and direct ionization. Phys. Rev. A 2010, 81, 012711. [Google Scholar] [CrossRef]
- Champion, C.; Weck, P.F.; Lekadir, H.; Galassi, M.E.; Fojón, O.A.; Abufager, P.; Rivarola, R.D.; Hanssen, J. Proton-induced single electron capture on DNA/RNA bases. Phys. Med. Biol. 2012, 57, 3039–3049. [Google Scholar] [CrossRef]
- Sammadar, S.; Purkait, K.; Halder, S.; Mondal, A.; Mandal, C.; Purkait, M. Electron-capture process induced by bare ion impact on biological targets. J. Energy Power Eng. 2019, 13, 413–426. [Google Scholar] [CrossRef][Green Version]
- Purkait, K.; Purkait, M. Cross sections for electron capture process of biological molecules by proton and α-particle impact. J. Phys. Conf. Ser. 2020, 1412, 162009. [Google Scholar] [CrossRef]
- Tabet, J.; Eden, S.; Feil, S.; Abdoul-Carime, H.; Farizon, B.; Farizon, M.; Ouaskit, S.; Märk, T.D. Absolute total and partial cross sections for ionization of nucleobases by proton impact in the Bragg peak velocity range. Phys. Rev. A 2010, 82, 022703. [Google Scholar] [CrossRef]









© 2020 by the authors. Licensee MDPI, Basel, Switzerland. This article is an open access article distributed under the terms and conditions of the Creative Commons Attribution (CC BY) license (http://creativecommons.org/licenses/by/4.0/).
Share and Cite
Lüdde, H.J.; Jorge, A.; Horbatsch, M.; Kirchner, T. Net Electron Capture in Collisions of Multiply Charged Projectiles with Biologically Relevant Molecules. Atoms 2020, 8, 59. https://doi.org/10.3390/atoms8030059
Lüdde HJ, Jorge A, Horbatsch M, Kirchner T. Net Electron Capture in Collisions of Multiply Charged Projectiles with Biologically Relevant Molecules. Atoms. 2020; 8(3):59. https://doi.org/10.3390/atoms8030059
Chicago/Turabian StyleLüdde, Hans Jürgen, Alba Jorge, Marko Horbatsch, and Tom Kirchner. 2020. "Net Electron Capture in Collisions of Multiply Charged Projectiles with Biologically Relevant Molecules" Atoms 8, no. 3: 59. https://doi.org/10.3390/atoms8030059
APA StyleLüdde, H. J., Jorge, A., Horbatsch, M., & Kirchner, T. (2020). Net Electron Capture in Collisions of Multiply Charged Projectiles with Biologically Relevant Molecules. Atoms, 8(3), 59. https://doi.org/10.3390/atoms8030059

