Abstract
We have measured differential yields for double capture and double capture accompanied by ionization in 75 keV p + Ar collisions. Data were taken for two different transverse projectile coherence lengths. A small effect of the projectile coherence properties on the yields were found for double capture, but not for double capture plus ionization. The results suggest that multiple projectile–target interactions can lead to a significant weakening of projectile coherence effects.
1. Introduction
Studies of atomic collisions are particularly suitable to study the fundamentally important few-body problem (FBP) [1,2]. The essence of the FBP is that the Schrödinger equation is not analytically solvable for more than two mutually interacting particles even when the forces acting within the system under investigation are precisely known. Theory therefore has to resort to heavy modelling efforts and the assumptions and approximations entering in these models have to be tested by detailed experimental data.
In most cases, the quantity that is measured in a collision experiment is the cross section for a specific process selected in the experiment. In the case of heavy projectile collisions, these cross sections are theoretically often treated within perturbative models, e.g., [3]. For electron impact, non-perturbative methods are routinely applied, e.g., [4,5,6], however, for ion impact such approaches, e.g., [7,8,9,10] are much more challenging and still relatively rare compared to perturbative calculations. One well-established perturbative model is represented by the Born series. There, the target is described by eigenstates of the unperturbed target Hamiltonian and the projectile by plane waves. The transition amplitude is then expanded in powers of the interaction potential.
Some of the limitations of the Born series in accurately describing processes occurring in atomic collisions are well known, e.g., [3]. For example, it represents a two-state approximation because it considers only one target eigenstate for the incoming channel (typically the ground state) and one in the outgoing channel. As a result, couplings between different eigenstates in the final state, which can be very important especially at small collision velocities, are completely ignored. Furthermore, in practice, the power series has to be truncated after some term and to the best of our knowledge no calculations beyond second order have been published yet, e.g., [11,12,13]. Some of these shortcomings are circumvented in distorted wave approaches, e.g., [14,15,16]. However, recently, we demonstrated that in ionization of H2 and He by intermediate energy proton impact even distorted wave calculations do not give satisfactory results if the electron is ejected with a velocity close to the projectile velocity [17,18].
Another shortcoming of the Born series (and other methods including non-perturbative approaches) did not receive much attention until about a decade ago [19]. It results from the description of the incoming projectile in terms of a plane wave, which implies that the projectile has a sharp momentum. However, in reality the projectiles have an intrinsic momentum distribution of finite width. This means that the projectiles are not fully coherent and, in some cases (depending on the dimension of the diffracting object) may even be largely incoherent. As a result, interference effects predicted by theory are not always experimentally observable. Indeed, in the scattering angle dependence of measured double differential ionization cross sections for p + H2 collisions, interference structures were observed for a coherent projectile beam, but were absent for an incoherent beam [19]. In numerous follow-up experiments, similar projectile coherence effects on the cross sections were observed [20,21,22,23,24,25,26,27,28,29,30] (for a review, see [31]). Furthermore, the interpretation of the experimental data was supported by several theoretical studies, e.g., [32,33,34,35,36].
In measured fully differential cross sections (FDCS) for dissociative capture leading to relatively large kinetic energy releases (KER) in p + H2 collisions [28] such projectile coherence effects were found to be less pronounced than in single ionization or capture. In the case of Coulomb explosion following double capture, such effects were not discernable at all [28]. This was interpreted as a “washing out” of the phase due to multiple projectile scatterings leading to dissociative capture. For large KER values dissociative capture proceeds predominantly through excitation of the second target electron. At the relatively small projectile energy of 75 keV the capture and excitation occur mostly through two independent interactions of the projectile with each electron. Therefore, the final scattering angle observed in the experiment is due to a convolution of two scattering angles from these two interactions. The phase depends on the scattering angle in each interaction and is thus no longer unambiguously determined by the measured total scattering angle.
One complication in this interpretation is that the experiment used a diatomic molecular target. As a result, both single- and two-center interference can contribute to the cross sections measured for a coherent beam [24]. In the former, different paths (impact parameters) leading to the same scattering angle and in the latter waves diffracted from the two centers of the molecule interfere with each other. For both types of interference the phases may differ from each other, which can also contribute to a “washing out” of any interference structure. Therefore, to trace the reasons for the (near) absence of coherence effects in double capture it is important to perform the experiment for an atomic target. Differential double capture cross sections have been measured for He2+ + He [37,38,39] and for p + He collisions [40]. However, all of these experiments were performed for only one projectile coherence length.
In this article, we present measured differential cross sections for double capture (DC) and for double capture plus single ionization (DCI) for 75 keV p + Ar collisions. Data were taken for two different coherence lengths and the interference term was extracted by analyzing the ratios between the cross sections for the larger and smaller coherence length. The data reveal less pronounced coherence effects than observed previously for single ionization [19] or single capture [20], but a more pronounced effect than in DC from a molecular target [28]. Furthermore, we analyzed the ratios between the DCI and DC cross sections and found some similarities to transfer-ionization to single capture cross section ratios measured earlier [41].
2. Experiment
The experiment was performed in the accelerator laboratory at the Missouri University of Science and Technology. Protons generated with a hot cathode ion source were accelerated to 75 keV. The beam was collimated with a pair of slits with a width of 150 μm. The horizontal slit, defining scattering in the y-direction, was placed at a distance of 50 cm from the target, and the vertical slit at a distance of 6.5 cm. The coherence length is determined by the slit geometry through the relation.
Δr = Lλ/2a
Where L is the distance of the slit to the target, a is the width of the slit, and λ is the deBroglie wavelength of the projectiles [31]. In the y- and x-directions, this relation yields coherence lengths of 3.3 a.u. and 0.4 a.u., respectively [31]. However, in the x-direction the local collimation angle (which is determined by a/L in equation 1) is not limited by the collimating slit, but rather by an aperture in the accelerator terminal. As a result, the actual coherence length in the x-direction is nearly 1 a.u. Scattered projectiles with a negative charge were selected by a switching magnet and recorded by a two-dimensional position-sensitive multi-channel plate detector. In the data analysis, scattering of coherent and incoherent projectiles was selected by setting conditions on the projectile position spectrum corresponding to scattering in the y- and x-directions, respectively.
The incoming projectile beam was crossed with a very cold neutral Ar beam from a supersonic gas jet. Positively charged recoil ions were extracted by a weak electric field of 6 V/cm, drifted in a field-free region, and were recorded by a second position-sensitive multi-channel plate detector. This set-up in general is used to measure the momentum of the recoil ions. However, due to the large target mass the momentum resolution is significantly worse than for He or H2 targets. Therefore, we did not use the momentum information and as a result, the initial state from which electrons are captured was not determined. In contrast, the final state of the captured electrons is fully determined because there is only one bound state in H−.
The projectile and recoil-ion detectors were set in coincidence. Since the time of flight of the recoil ions from the collision region to the detector depends on √M/q (where M/q is the mass to charge ratio of the recoil ion), q could be determined in the coincidence time spectrum. Coincidences with q = 2 reflect DC and coincidences with q = 3 DCI. From the projectile position information the scattering θp was obtained. Therefore, the θp-dependence of the cross sections differential in the projectile solid angle was extracted from the data. However, since no normalized total double capture cross sections are available for p + Ar, the cross section could not be put on an absolute scale.
3. Results and Discussion
In Figure 1 the differential yield (i.e., the unnormalized differential cross section) for DC is plotted as a function of θp. The closed symbols represent data for projectile scattering in the y-direction, to which we refer as the coherent data, and the open symbols projectile scattering in the x-direction (incoherent data). It should be noted that the term “coherent” is relative as it refers to the coherence length relative to the effective dimension of the diffracting object. With regard to single-center interference the effective target dimension is given by the impact parameter range which significantly contributes to the process under investigation. Although this range is not a well-known quantity, in the case of DC it is clear that the process is dominated by impact parameters significantly smaller than 3.3 a.u. (where 1 a.u. is the Bohr radius of the H-atom for n = 1), which is considerably larger than the size of the neutral Ar atom of 2 a.u. It is therefore justified to consider the data for projectile scattering in the y-direction as coherent. On the other hand, it is not so clear how important impact parameters around 1 a.u. are in DC. We nevertheless refer to the data for projectile scattering in the x-direction as incoherent because any interference which may be found in measured data should be less pronounced for the smaller coherence length.
Figure 1.
Differential yield (counts) for double capture in 75 keV p + Ar collisions as a function of projectile scattering angle. The closed symbols represent data taken for the larger projectile coherence length and the open symbols those taken for the smaller coherence length.
The shapes of the θp-dependence of the differential cross sections look very similar. Nevertheless, there are small, but significant differences. At the smallest θp the coherent data are slightly below and between 2 and 3 mrad above the incoherent data. It should be noted that up to about 3 mrad the statistical error bars are smaller than the size of the data points.
Due to the steep dependence of the data on θp and the logarithmic scale on the vertical axis, the differences between the coherent and incoherent data sets may appear less pronounced than they are. A clearer picture emerges by analyzing the ratios RDC between both data sets as a function of θp. These ratios, which qualitatively represent the interference term, are plotted in Figure 2. A small-amplitude oscillatory structure can be seen, reflecting weak coherence effects. In the case of single ionization, a simple model single-center interference term was suggested as [22,23]
where qtr = p0 sin(θp) is the transverse component of the momentum transfer q and Δb is an effective range of impact parameters reflecting the effective target dimension. α describes the damping of the oscillation due to the finite or non-zero coherence length for the coherent and incoherent data, respectively.
Is = 1 + α cos(qtr Δb)
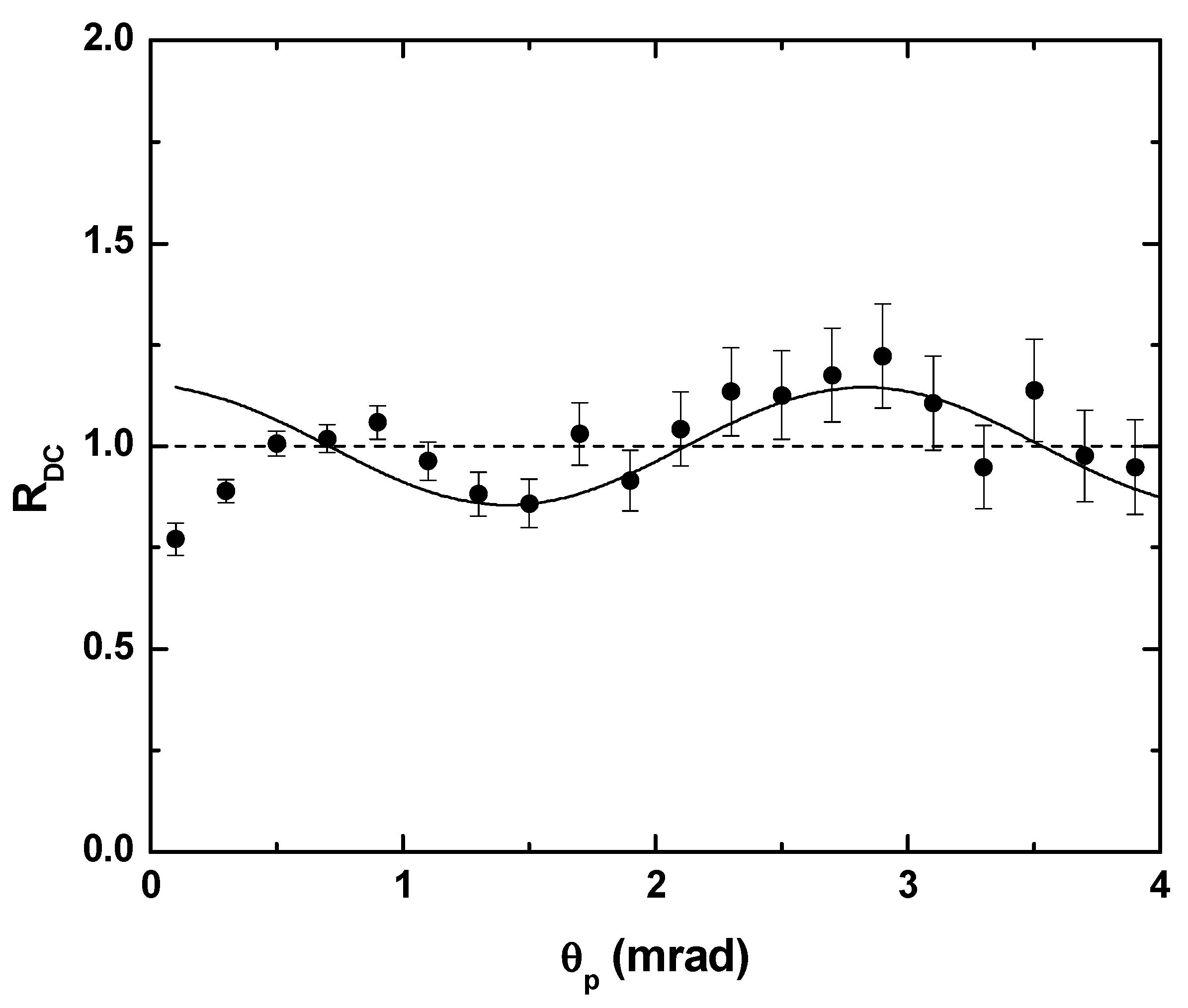
Figure 2.
Ratios RDC between the coherent and incoherent yields of Figure 1 as a function of scattering angle. The curve shows a best fit of Equation (1) to the measured ratios.
A best fit of Is to RDC, shown as the solid curve in Figure 2, yields α = 0.15 ± 0.05 and Δb = 0.7 ± 0.03 a.u. Except for θp < 0.5 mrad this model interference term reproduces the experimental data reasonably well. The disagreement at small θp probably reflects the limitation of the simple model interference term of Equation (2). For single ionization the same fitting routine yielded parameters of α = 0.3 to 0.7 and Δb = 1.4 to 2 a.u. (depending on target and ejected electron energy). The significantly smaller effective target dimension in DC is expected, as this process requires, on average, much closer collisions than single ionization. The much smaller value of α shows that here projectile coherence effects are much less pronounced. However, they are nevertheless more pronounced than in DC from H2, where they are essentially completely absent [28]. This suggests that indeed the phase is not unambiguously determined by the measured scattering angle due to multiple projectile scattering in two-electron processes (as argued in [28]). For a molecular target, the single-center interference structure is further “washed out” by the presence of two-center interference.
In Figure 3 the differential yield for DCI is plotted as a function of θp, where again the closed symbols represent the coherent and the open symbols the incoherent data. These angular distributions fall off slower with increasing θp compared to their counterparts for DC. More specifically, the angle at which the yield is reduced by a factor of 2 compared to θp = 0 is larger by about 20% than in the case of DC. This is not surprising considering that DCI is a three-electron process requiring even closer collisions than DC. No differences of statistical significance between the coherent and incoherent data can be discerned. The ratios between the coherent and incoherent yields, plotted in Figure 4, do not give a clear answer either: at small θp the ratios seem to be somewhat smaller than 1 (signifying destructive interference). However, for θp > 1.5 mrad the data are consistent with RDCI = 1 and as a result, the oscillatory structure seen in the ratios for DC cannot be clearly identified for DCI. This could at least partly be due to the larger statistical error bars. On the other hand, a less pronounced interference structure is consistent with the notion that multiple projectile scattering can “wash out” the phase information, which for a single interaction is contained in the measured scattering angle.
Figure 3.
Same as Figure 1, but for double capture plus single ionization.
Figure 4.
Same as Figure 2, but for double capture plus single ionization.
Finally, we analyzed the ratios between the DCI and DC yields as a function of θp, which are plotted in Figure 5 for coherent (closed symbols) and incoherent (open symbols) projectiles. In an independent electron model, these ratios reflect the single ionization probability P (θp). The same probability can also be obtained as the ratio between, e.g., transfer-ionization and single capture cross sections, which were measured by Bross et al. [41] for 50 to 175 keV p + He collisions. Indeed, these data closely resemble the θp-dependence of the ratios measured in the present study: in both cases R steeply rises between 1 and 1.5 mrad to reach a plateau at θp > 1.5 mrad. However, the p + Ar data are significantly larger in magnitude, which is due to the larger number of electrons in the valence shell of Ar compared to He. No differences between the coherent and incoherent data are found.
4. Conclusions
We have performed an experimental differential study on double capture processes in p + Ar collisions. The projectile scattering angle distributions of the reaction yield were measured for two different coherence lengths and the interference term was extracted as the ratio between these yields. Data were obtained for pure double capture and for double capture accompanied by ejection of a third target electron. In the case of pure double capture a weak structure was observed in the interference term, signifying projectile coherence effects. These effects were less pronounced than in previous data obtained for one-electron processes (ionization or capture), but more pronounced than in double capture from H2. These observations suggest that multiple projectile interactions in two- (or three-) electron processes soften the relation between the phase angle and the measured total projectile scattering angle. Furthermore, the comparison to previously taken data for double capture from H2 suggest that there the presence of two-center interference further “blurs” the single-center interference structure. In the case of double capture plus ionization from Ar no significant projectile coherence effects were found. This could partly be due to the lower statistics (compared to pure double capture). However, the fact that the projectile has to undergo an additional interaction (if correlated processes are ignored) could also contribute to the weakening of projectile coherence effects.
Author Contributions
Conceptualization, M.S.; Data curation, T.V., B.R.L., M.D. and R.L.; Formal analysis, T.V.; Funding acquisition, M.S.; Investigation, M.S.; Methodology, M.S.; Project administration, M.S.; Supervision, M.S.; Validation, T.V. All authors have read and agreed to the published version of the manuscript.
Funding
The financial support from the National Science Foundation under grant no. PHY-1703109 is gratefully acknowledged.
Conflicts of Interest
The authors declare no conflict of interest.
References
- Schulz, M.; Moshammer, R.; Fischer, D.; Kollmus, H.; Madison, D.H.; Jones, S.; Ullrich, J. Three-dimensional imaging of atomic four-body processes. Nature 2003, 422, 48. [Google Scholar] [CrossRef] [PubMed]
- Schulz, M.; Madison, D.H. Studies of the few-body problem in atomic break-up processes. Int. J. Mod. Phys. A 2006, 21, 3649. [Google Scholar] [CrossRef]
- Taylor, J.R. Scattering Theory: The Quantum Theory of Nonrelativistic Collisions; Wiley: New York, NY, USA, 1972. [Google Scholar]
- Rescigno, T.N.; Baertschy, M.; Isaacs, W.A.; McCurdy, C.E. Collisional breakup in a quantum system of three charged particles. Science 1999, 286, 2474. [Google Scholar] [CrossRef] [PubMed]
- Ren, X.; Bray, I.; Fursa, D.V.; Colgan, J.; Pindzola, M.S.; Pflüger, T.; Senftleben, A.; Xu, S.; Dorn, A.; Ullrich, J. Electron-impact ionization of helium: A comprehensive experiment benchmarks theory. Phys. Rev. A 2011, 83, 52711. [Google Scholar] [CrossRef]
- Colgan, J.; Foster, M.; Pindzola, M.S.; Bray, I.; Stelbovis, A.T.; Fursa, D.V. Triple differential cross sections for the electron-impact ionization of helium at 102 eV incident energy. J. Phys. B 2009, 42, 145002. [Google Scholar] [CrossRef]
- McGovern, M.; Whelan, C.T.; Walters, H.R.J.; McGovern, M.; Whelan, C.T.; Walters, H.R.J. C6+-impact ionization of helium in the perpendicular plane: Ionization to the ground state, excitation-ionization, and relativistic effects. Phys. Rev. A 2010, 82, 32702. [Google Scholar] [CrossRef]
- Ciappina, M.F.; Pindzola, M.S.; Colgan, J. Fully differential cross section for O8+-impact ionization of Li. Phys. Rev. A 2013, 87, 42706. [Google Scholar] [CrossRef]
- Abdurakhmanov, I.B.; Bailey, J.J.; Kadyrov, A.S.; Bray, I. Wave-packet continuum-discretization approach to ion-atom collisions including rearrangement: Application to differential ionization in proton-hydrogen scattering. Phys. Rev. A 2018, 97, 32707. [Google Scholar] [CrossRef]
- Baxter, M.; Kirchner, T.; Engel, E. Time-dependent spin-density-functional-theory description of He+-He collisions. Phys. Rev. A 2017, 96, 32708. [Google Scholar] [CrossRef]
- McGuire, J.H.; Eichler, J. Exact second Born calculations for electron capture for systems with various projectile and target charges. Phys. Rev. A 1983, 28, 2104. [Google Scholar] [CrossRef]
- Voitkiv, A.B.; Najjari, B.; Ullrich, J. On the higher-order effects in target single ionization by bare ions in the perturbative regime. J. Phys. B 2003, 36, 2591. [Google Scholar] [CrossRef]
- Chuluunbaatar, O.; Zaytsev, S.A.; Kouzakov, K.A.; Galstyan, A.; Shablov, V.L.; Popov, Y.V. Fully differential cross sections for singly ionizing 1-MeV p+ He collisions at small momentum transfer: Beyond the first Born approximation. Phys. Rev. A 2017, 96, 42716. [Google Scholar] [CrossRef]
- Madison, D.H.; Fischer, D.; Foster, M.; Schulz, M.; Moshammer, R.; Jones, S.; Ullrich, J. Probing scattering wave functions close to the nucleus. Phys. Rev. Lett. 2003, 91, 253201. [Google Scholar] [CrossRef] [PubMed]
- Pedlow, R.T.; O’Rourke, S.F.C.; Crothers, D.S.F. Fully differential cross sections for 3.6 MeVu−1 AuZP++ He collisions. Phys. Rev. A 2005, 72, 62719. [Google Scholar] [CrossRef]
- Voitkiv, A.B. Single ionization of helium by 1−MeV protons. Phys. Rev. A 2017, 95, 32708. [Google Scholar] [CrossRef]
- Dhital, M.; Bastola, S.; Silvus, A.; Hasan, A.; Lamichhane, B.R.; Ali, E.; Ciappina, M.F.; Lomsadze, R.A.; Cikota, D.; Boggs, B.; et al. Few-body dynamics underlying postcollision effects in the ionization of H2 by 75-keV proton impact. Phys. Rev. A 2019, 99, 62710. [Google Scholar] [CrossRef]
- Dhital, M.; Bastola, S.; Silvus, A.; Lamichhane, B.R.; Ali, E.; Ciappina, M.F.; Lomsadze, R.; Hasan, A.; Madison, D.H.; Schulz, M. Target dependence of postcollision interaction effects on fully differential ionization cross sections. Phys. Rev. A 2019, 100, 32707. [Google Scholar] [CrossRef]
- Egodapitiya, K.N.; Sharma, S.; Hasan, A.; Laforge, A.C.; Madison, D.H.; Moshammer, R.; Schulz, M. Manipulating atomic fragmentation processes by controlling the projectile coherence. Phys. Rev. Lett. 2011, 106, 153202. [Google Scholar] [CrossRef]
- Sharma, S.; Hasan, A.; Egodapitiya, K.N.; Arthanayaka, T.P.; Schulz, M. Projectile coherence effects in electron capture by protons colliding with H2 and He. Phys. Rev. A 2012, 86, 22706. [Google Scholar] [CrossRef]
- Schneider, K.; Schulz, M.; Wang, X.; Kelkar, A.; Grieser, M.; Krantz, C.; Ullrich, J.; Moshammer, R.; Fischer, D. Role of projectile coherence in close heavy ion-atom collisions. Phys. Rev. Lett. 2013, 110, 113201. [Google Scholar] [CrossRef]
- Sharma, S.; Arthanayaka, T.P.; Hasan, A.; Lamichhane, B.R.; Remolina, J.; Smith, A.; Schulz, M. Complete momentum balance in ionization of H2 by 75-keV-proton impact for varying projectile coherence. Phys. Rev. A 2014, 89, 52703. [Google Scholar] [CrossRef]
- Sharma, S.; Arthanayaka, T.P.; Hasan, A.; Lamichhane, B.R.; Remolina, J.; Smith, A.; Schulz, M. Fully differential study of interference effects in the ionization of H2 by proton impact. Phys. Rev. A 2014, 90, 52710. [Google Scholar] [CrossRef]
- Arthanayaka, T.P.; Sharma, S.; Lamichhane, B.R.; Hasan, A.; Remolina, J.; Gurung, S.; Schulz, M.J. Separation of single-and two-center interference in ionization of H2 by proton impact. J. Phys. B 2015, 48, 71001. [Google Scholar] [CrossRef]
- Arthanayaka, T.P.; Sharma, S.; Lamichhane, B.R.; Hasan, A.; Remolina, J.; Gurung, S.; Sarkadi, L.; Schulz, M. Influence of the post-collision interaction on interference effects in ionization of H2 by proton impact. J. Phys. B 2015, 48, 175204. [Google Scholar] [CrossRef]
- Arthanayaka, T.; Lamichhane, B.R.; Hasan, A.; Gurung, S.; Remolina, J.; Borbély, S.; Járai-Szabó, F.; Nagy, L.; Schulz, M. Fully differential study of wave packet scattering in ionization of helium by proton impact. J. Phys. B 2016, 49, 13LT02. [Google Scholar] [CrossRef]
- Lamichhane, B.R.; Arthanayaka, T.; Remolina, J.; Hasan, A.; Ciappina, M.F.; Navarrete, F.; Barrachina, R.O.; Lomsadze, R.A.; Schulz, M. Fully differential study of capture with vibrational dissociation in p+ h2 collisions. Phys. Rev. Lett. 2017, 119, 83402. [Google Scholar] [CrossRef]
- Lamichhane, B.R.; Hasan, A.; Arthanayaka, T.; Dhital, M.; Koirala, K.; Voss, T.; Lomsadze, R.A.; Schulz, M. Fully differential study of dissociative single capture and Coulomb explosion through double capture in p + H2 collisions. Phys. Rev. A 2017, 96, 42708. [Google Scholar] [CrossRef]
- Schulz, M.; Hasan, A.; Lamichhane, B.; Arthanayaka, T.; Dhital, M.; Bastola, S.; Nagy, L.; Borbély, S.; Járai-Szabó, F. Projectile Coherence Effects in Simple Atomic Systems. J. Phys. Conf. Proc. 2020. accepted for publication. [Google Scholar]
- Gassert, H.; Chuluunbaatar, O.; Waitz, M.; Trinter, F.; Kim, H.-K.; Bauer, T.; Laucke, A.; Müller, C.; Voigtsberger, J.; Weller, M.; et al. Agreement of experiment and theory on the single ionization of helium by fast proton impact. Phys. Rev. Lett. 2016, 116, 73201. [Google Scholar] [CrossRef]
- Schulz, M. The Role of Projectile Coherence in the Few-Body Dynamics of Simple Atomic Systems. Ad. At. Mol. Opt. Phys. 2017, 66, 508. [Google Scholar]
- Jarai-Szabo, F.; Nagy, L. Theoretical investigations on the projectile coherence effects in fully differential ionization cross sections. Eur. Phys. J. D 2015, 69, 4. [Google Scholar] [CrossRef]
- Karlovets, D.V.; Kotkin, G.L.; Serbo, V.G. Scattering of wave packets on atoms in the Born approximation. Phys. Rev. A 2015, 92, 52703. [Google Scholar] [CrossRef]
- Sarkadi, L.; Barrachina, R. Loss of wave-packet coherence in ion-atom collisions. Phys. Rev. A 2016, 93, 32702. [Google Scholar] [CrossRef]
- Fabre, I.; Navarrete, F.; Sarkadi, L.; Barrachina, R.O. Free evolution of an incoherent mixture of states: A quantum mechanical approach to the van Cittert–Zernike theorem. Eur. J. Phys. 2018, 39, 15401. [Google Scholar] [CrossRef]
- Gulyás, L.; Egri, S.; Igarashi, A. Theoretical investigation of the fully differential cross sections for single ionization of He in collisions with 75-keV protons. Phys. Rev. A 2019, 99, 32704. [Google Scholar] [CrossRef]
- Keever, W.C.; Everhart, E. Resonant Electron-Capture Measurements of Close He++—He and He++—H Collisions. Phys. Rev. 1966, 150, 43. [Google Scholar] [CrossRef]
- Schuch, R.; Justiniano, E.; Vogt, H.; Deco, G.; Grün, N. Double electron capture of He2+ from He at high velocity. J. Phys. B 1991, 24, L133. [Google Scholar] [CrossRef]
- Dörner, R.; Mergel, V.; Spielberger, L.; Jagutzki, O.; Ullrich, J.; Schmidt-Böcking, H. State-selective differential cross sections for double-electron capture in 0.25–0.75-MeV He2+-He collisions. Phys. Rev. A 1998, 57, 312. [Google Scholar] [CrossRef]
- Schulz, M.; Vajnai, T.; Brand, J.A. Differential double capture cross sections in p+ He collisions. Phys. Rev. A 2007, 75, 22717. [Google Scholar] [CrossRef]
- Bross, S.W.; Bonham, S.M.; Gaus, A.D.; Peacher, J.L.; Vajnai, T.; Schmidt-Böcking, H.; Schulz, M. Differential transfer ionization cross sections for 50–175-keV proton-helium collisions. Phys. Rev. A 1994, 50, 337. [Google Scholar] [CrossRef]
© 2020 by the authors. Licensee MDPI, Basel, Switzerland. This article is an open access article distributed under the terms and conditions of the Creative Commons Attribution (CC BY) license (http://creativecommons.org/licenses/by/4.0/).




