Interaction Between Atoms and Structured Light Fields
Abstract
1. Introduction
2. Theory of Structured Light Fields
2.1. Bessel Light Modes
2.2. Laguerre–Gaussian Light Modes
2.3. Hermite–Gaussian Light Modes
2.4. Linearly Polarized Structure Light Modes
2.5. Vector Structured Light Modes
2.6. Transition Amplitudes
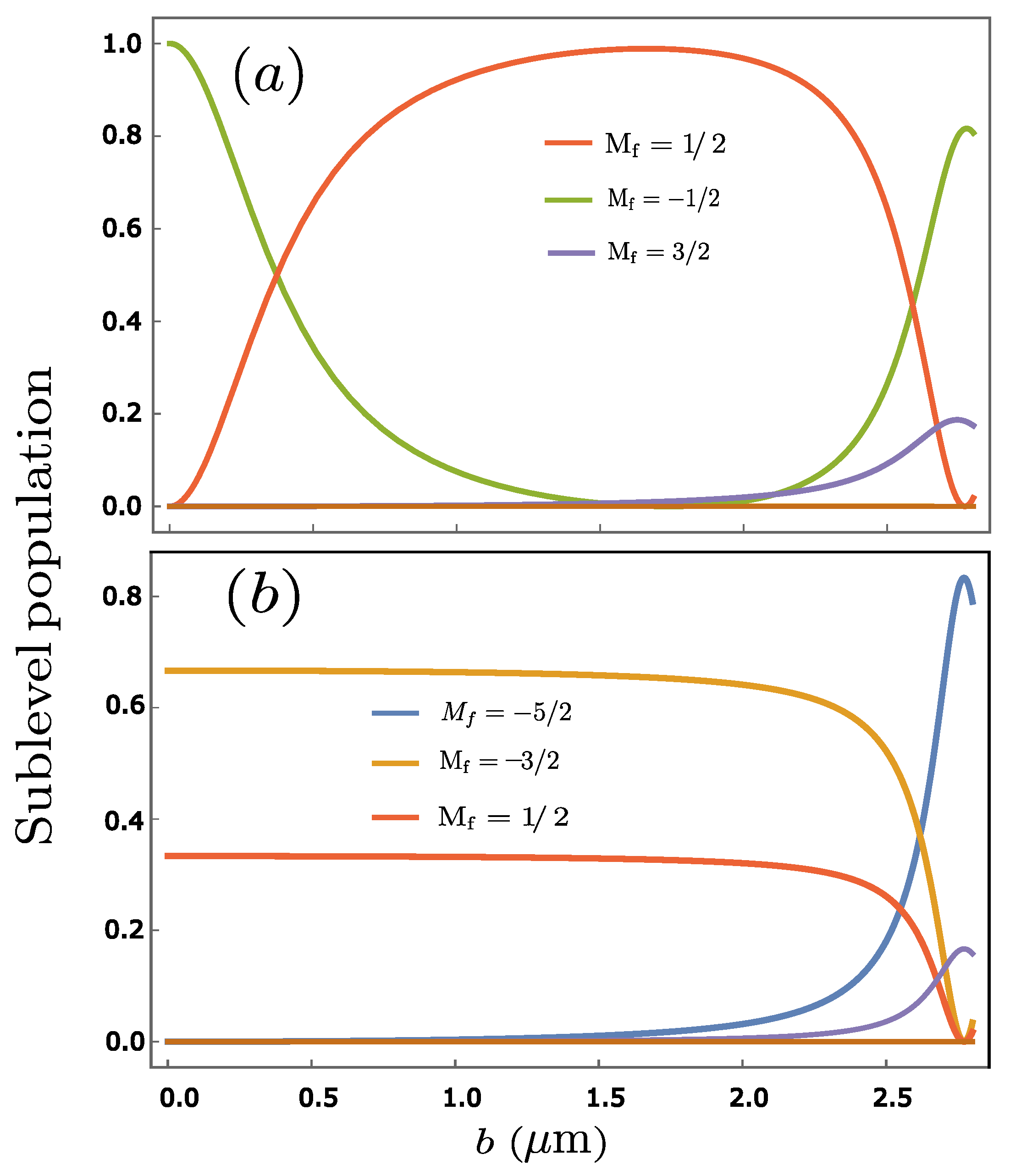
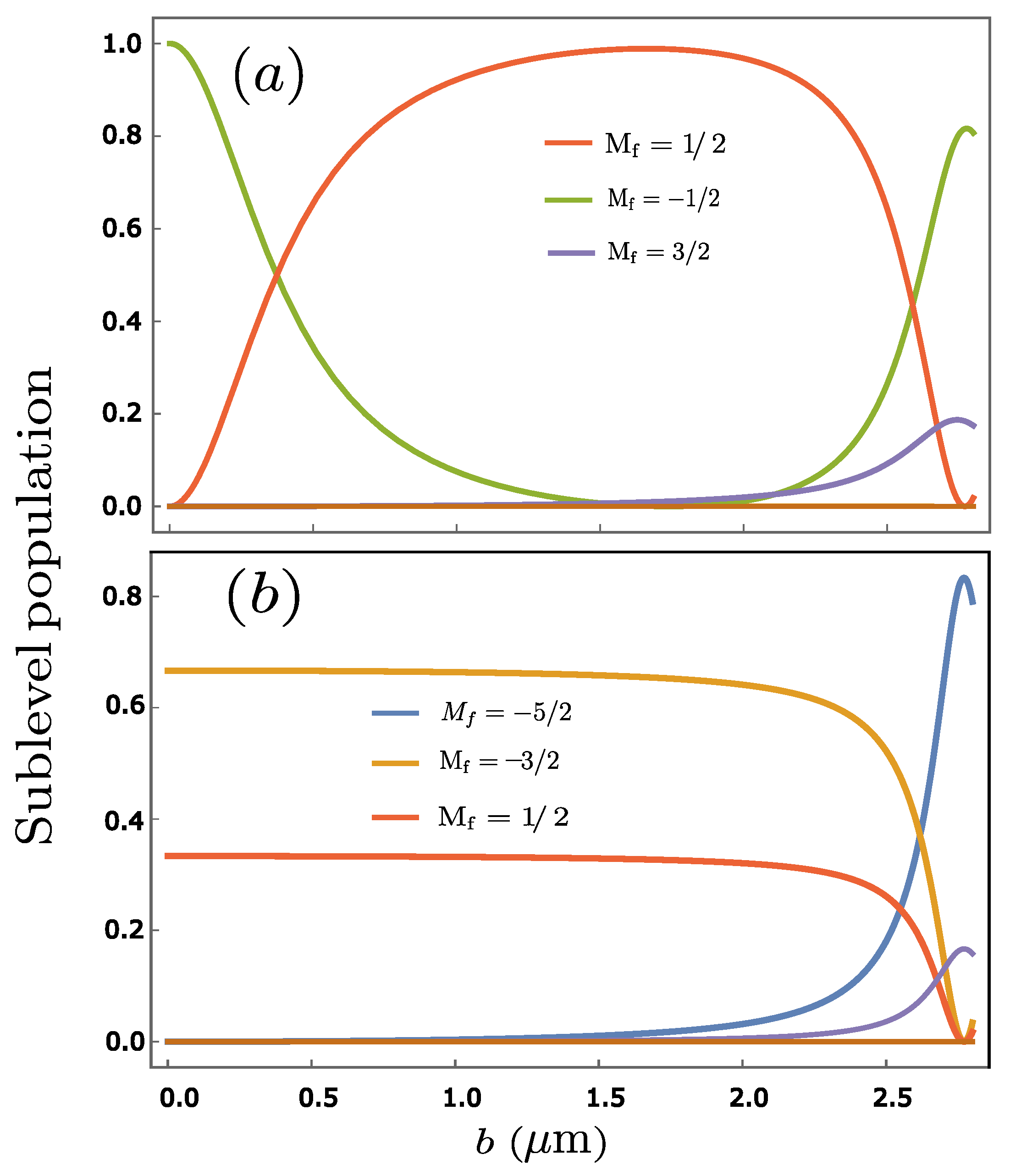
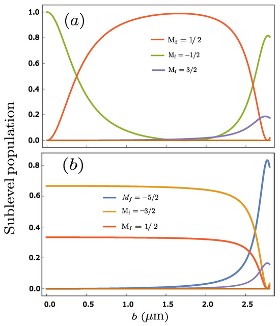
2.6.1. Bessel Light Modes
2.6.2. Vector Structured Light Modes
2.6.3. Linearly Polarized Structured Light Modes
3. Discussion and Conclusions
Author Contributions
Funding
Data Availability Statement
Conflicts of Interest
Abbreviations
| LG | Laguerre–Gaussian |
| HG | Hermite–Gaussian |
| SLM | Spatial light modulator |
| OAM | Orbital angular momentum |
References
- Erhard, M.; Fickler, R.; Krenn, M.; Zeilinger, A. Twisted photons: New quantum perspectives in high dimensions. Light. Sci. Appl. 2018, 7, 17146. [Google Scholar] [CrossRef] [PubMed]
- Heintzmann, R.; Gustafsson, M.G.L. Subdiffraction resolution in continuous samples. Nat. Photonics 2009, 3, 362–364. [Google Scholar] [CrossRef]
- Simpson, N.B.; Allen, L.; Padgett, M.J. Optical tweezers and optical spanners with Laguerre–Gaussian modes. J. Mod. Opt. 1996, 43, 2485–2491. [Google Scholar] [CrossRef]
- Souza, C.E.R.; Borges, C.V.S.; Khoury, A.Z.; Huguenin, J.A.O.; Aolita, L.; Walborn, S.P. Quantum key distribution without a shared reference frame. Phys. Rev. A 2008, 77, 032345. [Google Scholar] [CrossRef]
- Kotlyar, V.; Kovalev, A.; Porfirev, A.; Kozlova, E. Orbital angular momentum of a laser beam behind an off-axis spiral phase plate. Opt. Lett. 2019, 44, 3673–3676. [Google Scholar] [CrossRef] [PubMed]
- Padgett, M.; Courtial, J.; Allen, L. Light’s Orbital Angular Momentum. Phys. Today 2004, 57, 35–40. [Google Scholar] [CrossRef]
- Marrucci, L.; Manzo, C.; Paparo, D. Optical Spin-to-Orbital Angular Momentum Conversion in Inhomogeneous Anisotropic Media. Phys. Rev. Lett. 2006, 96, 163905. [Google Scholar] [CrossRef] [PubMed]
- Andrews, D.L.; Babiker, M. The Angular Momentum of Light; Cambridge University Press: Cambridge, UK, 2012. [Google Scholar]
- Wang, J.; Castellucci, F.; Franke-Arnold, S. Vectorial light–matter interaction: Exploring spatially structured complex light fields. AVS Quantum Sci. 2020, 2, 031702. [Google Scholar] [CrossRef]
- Gbur, G.J. Singular Optics; CRC Press: Boca Raton, FL, USA, 2016. [Google Scholar]
- Peshkov, A.A.; Seipt, D.; Surzhykov, A.; Fritzsche, S. Photoexcitation of atoms by Laguerre-Gaussian beams. Phys. Rev. A 2017, 96, 023407. [Google Scholar] [CrossRef]
- Afanasev, A.; Carlson, C.E.; Solyanik, M. Atomic spectroscopy with twisted photons: Separation of M1–E2 mixed multipoles. Phys. Rev. A 2018, 97, 023422. [Google Scholar] [CrossRef]
- Afanasev, A.; Carlson, C.E.; Mukherjee, A. High-multipole excitations of hydrogen-like atoms by twisted photons near a phase singularity. J. Opt. 2016, 18, 074013. [Google Scholar] [CrossRef]
- Matula, O.; Hayrapetyan, A.G.; Serbo, V.G.; Surzhykov, A.; Fritzsche, S. Atomic ionization of hydrogen-like ions by twisted photons: Angular distribution of emitted electrons. J. Phys. At. Mol. Opt. Phys. 2013, 46, 205002. [Google Scholar] [CrossRef]
- Abramowitz, M.; Stegun, I.A. Handbook of Mathematical Functions with Formulas, Graphs, and Mathematical Tables; US Government Printing Office: Washington, DC, USA, 1948; Volume 55. [Google Scholar]
- Schulz, S.A.L.; Peshkov, A.A.; Müller, R.A.; Lange, R.; Huntemann, N.; Tamm, C.; Peik, E.; Surzhykov, A. Generalized excitation of atomic multipole transitions by twisted light modes. Phys. Rev. A 2020, 102, 012812. [Google Scholar] [CrossRef]
- Allen, L.; Beijersbergen, M.W.; Spreeuw, R.J.C.; Woerdman, J.P. Orbital angular momentum of light and the transformation of Laguerre-Gaussian laser modes. Phys. Rev. A 1992, 45, 8185–8189. [Google Scholar] [CrossRef] [PubMed]
- Peshkov, A.A.; Bidasyuk, Y.M.; Lange, R.; Huntemann, N.; Peik, E.; Surzhykov, A. Interaction of twisted light with a trapped atom: Interplay between electronic and motional degrees of freedom. Phys. Rev. A 2023, 107, 023106. [Google Scholar] [CrossRef]
- Peshkov, A.A.; Jordan, E.; Kromrey, M.; Mehta, K.K.; Mehlstäubler, T.E.; Surzhykov, A. Excitation of Forbidden Electronic Transitions in Atoms by Hermite–Gaussian Modes. Ann. Phys. 2023, 535, 2300204. [Google Scholar] [CrossRef]
- Johnson, W.R. Lectures on Atomic Physics; Notre Dame University Department of Physics: Notre Dame, Indiana, 2006. [Google Scholar]
- Rose, M.E. Elementary Theory of Angular Momentum; Courier Corporation: North Chelmsford, MA, USA, 1995. [Google Scholar]
- Brink, D.M.; Satchler, G.R. Angular Momentum; Oxford University Press: Oxford, UK, 1994. [Google Scholar]
- Fritzsche, S. A fresh computational approach to atomic structures, processes and cascades. Comput. Phys. Commun. 2019, 240, 1–14. [Google Scholar] [CrossRef]
- Gaigalas, G.; Fritzsche, S.; Grant, I.P. Program to calculate pure angular momentum coefficients in jj-coupling. Comput. Phys. Commun. 2001, 139, 263–278. [Google Scholar] [CrossRef]
- Fritzsche, S. Application of Symmetry-Adapted Atomic Amplitudes. Atoms 2022, 10, 127. [Google Scholar] [CrossRef]
- Ramakrishna, S.; Hofbrucker, J.; Fritzsche, S. Photoexcitation of atoms by cylindrically polarized Laguerre-Gaussian beams. Phys. Rev. A 2022, 105, 033103. [Google Scholar] [CrossRef]
- Schmiegelow, C.T.; Schulz, J.; Kaufmann, H.; Ruster, T.; Poschinger, U.G.; Schmidt-Kaler, F. Transfer of optical orbital angular momentum to a bound electron. Nat. Commun. 2016, 7, 12998. [Google Scholar] [CrossRef] [PubMed]





Disclaimer/Publisher’s Note: The statements, opinions and data contained in all publications are solely those of the individual author(s) and contributor(s) and not of MDPI and/or the editor(s). MDPI and/or the editor(s) disclaim responsibility for any injury to people or property resulting from any ideas, methods, instructions or products referred to in the content. |
© 2025 by the authors. Licensee MDPI, Basel, Switzerland. This article is an open access article distributed under the terms and conditions of the Creative Commons Attribution (CC BY) license (https://creativecommons.org/licenses/by/4.0/).
Share and Cite
Ramakrishna, S.; Fritzsche, S. Interaction Between Atoms and Structured Light Fields. Atoms 2025, 13, 20. https://doi.org/10.3390/atoms13020020
Ramakrishna S, Fritzsche S. Interaction Between Atoms and Structured Light Fields. Atoms. 2025; 13(2):20. https://doi.org/10.3390/atoms13020020
Chicago/Turabian StyleRamakrishna, Shreyas, and Stephan Fritzsche. 2025. "Interaction Between Atoms and Structured Light Fields" Atoms 13, no. 2: 20. https://doi.org/10.3390/atoms13020020
APA StyleRamakrishna, S., & Fritzsche, S. (2025). Interaction Between Atoms and Structured Light Fields. Atoms, 13(2), 20. https://doi.org/10.3390/atoms13020020

