On Resonance Enhancement of E1-E2 Nondipole Photoelectron Asymmetries in Low-Energy Ne 2p Photoionization
Abstract
1. Introduction
2. Theory
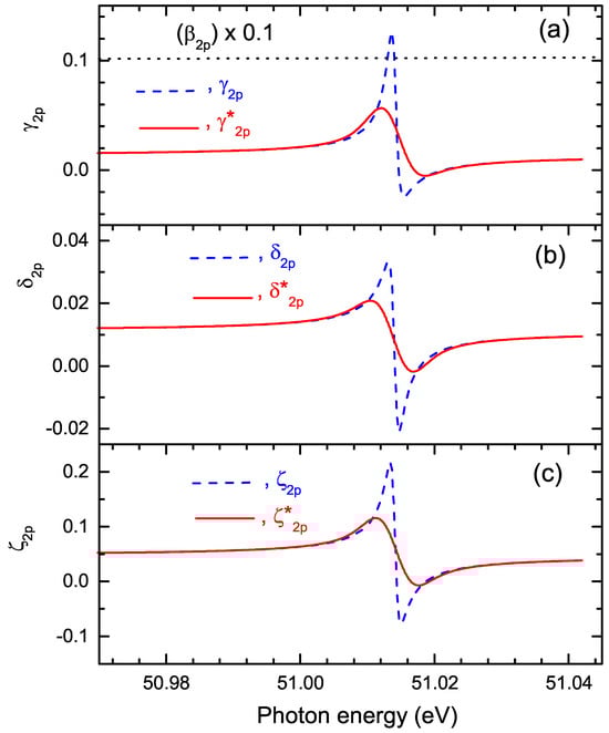
3. Results and Conclusions
Author Contributions
Funding
Data Availability Statement
Conflicts of Interest
References
- Amusia, M.Y.; Baltenkov, A.S.; Grinberg, A.A.; Shapiro, S.G. Study of the current due to photon momentum in atomic gases. Zh. Eksp. Teor. Fiz. 1975, 68, 28, Sov. Phys.-JETP1975, 41, 14.. [Google Scholar]
- Bechler, A.; Pratt, R.H. Higher retardation and multipole corrections to the dipole angular distribution of 1s photoelectrons at low energies. Phys. Rev. A 1989, 39, 1774. [Google Scholar] [CrossRef] [PubMed]
- Cooper, J.W. Photoelectron-angular-distribution parameters for rare-gas subshells. Phys. Rev. A 1993, 47, 1841. [Google Scholar] [CrossRef] [PubMed]
- Shaw, P.S.; Arp, U.; Southworth, S.H. Measuring nondipolar asymmetries of photoelectron angular distributions. Phys. Rev. A 1996, 54, 1463. [Google Scholar] [CrossRef] [PubMed]
- Krässig, B.; Jung, M.; Gemmell, D.S.; Kanter, E.P.; LeBrun, T.; Southworth, S.H.; Young, L. Nondipolar Asymmetries of Photoelectron Angular Distributions. Phys. Rev. Lett. 1995, 75, 4736. [Google Scholar] [CrossRef]
- Jung, M.; Krässig, B.; Gemmell, D.S.; Kanter, E.P.; LeBrun, T.; Southworth, S.H.; Young, L. Experimental determination of nondipolar angular distribution parameters for photoionization in the Ar K and Kr L shells. Phys. Rev. A 1996, 54, 2127. [Google Scholar] [CrossRef]
- Hemmers, O.; Fisher, G.; Glans, P.; Hansen, D.L.; Wang, H.; Whitfield, S.B.; Wehlitz, R.; Levin, J.C.; Sellin, I.A.; Perera, R.C.C.; et al. Beyond the dipole approximation: Angular-distribution effects in valence photoemission. J. Phys. B 1997, 30, L727. [Google Scholar] [CrossRef]
- Martin, N.L.S.; Tompson, D.B.; Bauman, R.P.; Caldwell, C.D.; Krause, M.O.; Frigo, S.P.; Wilson, M. Electric-dipole-quadrupole interference of overlapping autoionizing levels in photoelectron energy spectra. Phys. Rev. Lett. 1998, 81, 1199. [Google Scholar] [CrossRef]
- Derevianko, A.; Hemmers, O.; Oblad, S.; Glans, P.; Wang, H.; Whitfield, S.B.; Wehlitz, R.; Sellin, I.A.; Johnson, W.R.; Lindle, D.W. Electric-octupole and pure-electric-quadrupole effects in soft-X-Ray photoemission. Phys. Rev. Lett. 2000, 84, 2116. [Google Scholar] [CrossRef]
- Hemmers, O.; Guillemin, R.; Lindle, D.W. Nondipole effects in soft X-ray photoemission. Radiat. Phys. Chem. 2004, 70, 123. [Google Scholar] [CrossRef]
- Wang, M.-X.; Chen, S.-G.; Liang, H.; Peng, L.-Y. Review on non-dipole effects in ionization and harmonic generation of atoms and molecules. Chin. Phys. B 2020, 29, 013302. [Google Scholar] [CrossRef]
- Istomin, A.Y.; Starace, A.F.; Manakov, N.L.; Meremianin, A.V.; Kheifets, A.S.; Bray, I. Nondipole effects in double photoionization of He at 450 eV excess energy. J. Phys. B 2006, 39, L35. [Google Scholar] [CrossRef]
- Mandal, A.; Saha, S.; Banerjee, T.; Deshmukh, P.C.; Kheifets, A.; Dolmatov, V.K.; Manson, S.T. Wigner time delay in quadrupole photoionization channels of atomic Hg. J. Phys. C Conf. Ser. 2015, 635, 092097. [Google Scholar] [CrossRef]
- Amusia, M.Y.; Chernysheva, L.V. Non-dipole effects in time delay of photoelectrons from atoms, negative ions, and endohedrals. JETP Lett. 2020, 112, 673. [Google Scholar] [CrossRef]
- Kiselev, D.M.; Gryzlova, E.V.; Grum-Grzhimailo, A.N. Angular distribution of photoelectrons generated in atomic ionization by twisted radiation Source. Phys. Rev. A 2023, 108, 023117. [Google Scholar] [CrossRef]
- Grum-Grzhimailo, A.N.; Gryzlova, E.V.; Meyer, M. Non-dipole effects in the angular distribution of photoelectrons in sequential two-photon atomic double ionization. J. Phys. B 2012, 45, 215602. [Google Scholar] [CrossRef]
- Gryzlova, E.V.; Grum-Grzhimailo, A.N.; Strakhova, S.I.; Meyer, M. Non-dipole effects in the angular distribution of photoelectrons in sequential two-photon double ionization: Argon and neon. J. Phys. B 2013, 46, 164014. [Google Scholar] [CrossRef]
- Haram, N.; Ivanov, I.; Xu, H.; Kim, K.T.; Atia-tul-Noor, A.; Sainadh, U.S.; Glover, R.D.; Chetty, D.; Litvinyuk, I.V.; Sang, R.T. Relativistic nondipole effects in strong-field atomic ionization at moderate intensities. Phys. Rev. Lett. 2019, 123, 093201. [Google Scholar] [CrossRef]
- Dolmatov, V.K.; Manson, S.T. Enhanced nondipole effects in low energy photoionization. Phys. Rev. Lett. 1999, 83, 939. [Google Scholar] [CrossRef]
- Dolmatov, V.K.; Baltenkov, A.S.; Manson, S.T. Enhanced nondipole effects in photoelectron angular distributions near giant dipole autoionizing resonances in atoms. Phys. Rev. A 2003, 67, 062714. [Google Scholar] [CrossRef]
- Dolmatov, V.K.; Bailey, D.; Manson, S.T. Gigantic enhancement of atomic nondipole effects: The 3s→3d resonance in Ca. Phys. Rev. A 2005, 72, 022718. [Google Scholar] [CrossRef]
- Amusia, M.Y.; Chernysheva, L.V. Computation of Atomic Processes: A Handbook for the ATOM Programs; IOP Publishing Ltd.: Bristol, UK; Philadelphia, PA, USA, 1997. [Google Scholar]
- Amusia, M.Y. Atomic Photoeffect; Plenum: New York, NY, USA, 1990. [Google Scholar]
- Johnson, W.R.; Derevianko, A.; Cheng, K.T.; Dolmatov, V.K.; Manson, S.T. Nondipole effects in the photoionization of neon: Random-phase approximation. Phys. Rev. A 2009, 59, 3609. [Google Scholar] [CrossRef]
- Amusia, M.Y.; Kheifets, A.S. The in uence of “two-electron-two-hole” excitations on the 3s−14p autoionization profile in Ar atoms. Phys. Lett. A 1981, 82, 407. [Google Scholar] [CrossRef]
- Amusia, M.Y.; Kheifets, A.S. The photoelectron angular-distribution parameter in the region of the 3s−14p resonance in Ar. Phys. Lett. A 1982, 89, 437. [Google Scholar] [CrossRef]
- Dahlström, J.M.; Lindroth, E. Study of attosecond delays using perturbation diagrams and exterior complex scaling. J. Phys. B 2014, 47, 124012. [Google Scholar] [CrossRef]
- Amusia, M.Y.; Baltenkov, A.S.; Chernysheva, L.V.; Felfli, Z.; Msezane, A.Z. Nondipole parameters in angular distributions of electrons in photoionization of noble-gas atoms. Phys. Rev. A 2001, 63, 052506. [Google Scholar] [CrossRef]
- Korn, G.A.; Korn, T.M. Mathematical Handbook; McGraw-Hill: New York, NY, USA; San Francisco, CA, USA; Toronto, ON, Canada; London, UK; Sydney, Australia, 1968. [Google Scholar]



Disclaimer/Publisher’s Note: The statements, opinions and data contained in all publications are solely those of the individual author(s) and contributor(s) and not of MDPI and/or the editor(s). MDPI and/or the editor(s) disclaim responsibility for any injury to people or property resulting from any ideas, methods, instructions or products referred to in the content. |
© 2024 by the authors. Licensee MDPI, Basel, Switzerland. This article is an open access article distributed under the terms and conditions of the Creative Commons Attribution (CC BY) license (https://creativecommons.org/licenses/by/4.0/).
Share and Cite
Dolmatov, V.K.; Manson, S.T. On Resonance Enhancement of E1-E2 Nondipole Photoelectron Asymmetries in Low-Energy Ne 2p Photoionization. Atoms 2024, 12, 58. https://doi.org/10.3390/atoms12110058
Dolmatov VK, Manson ST. On Resonance Enhancement of E1-E2 Nondipole Photoelectron Asymmetries in Low-Energy Ne 2p Photoionization. Atoms. 2024; 12(11):58. https://doi.org/10.3390/atoms12110058
Chicago/Turabian StyleDolmatov, Valeriy K., and Steven T. Manson. 2024. "On Resonance Enhancement of E1-E2 Nondipole Photoelectron Asymmetries in Low-Energy Ne 2p Photoionization" Atoms 12, no. 11: 58. https://doi.org/10.3390/atoms12110058
APA StyleDolmatov, V. K., & Manson, S. T. (2024). On Resonance Enhancement of E1-E2 Nondipole Photoelectron Asymmetries in Low-Energy Ne 2p Photoionization. Atoms, 12(11), 58. https://doi.org/10.3390/atoms12110058

