A Critical Analysis of Target Ionization and Projectile Electron Loss in Neutral– and Ion–Atom Collisions
Abstract
1. Introduction
2. Theory
2.1. Single Target Ionization by Dressed Projectiles
2.2. Projectile Electron Loss
2.3. Influence of Present Corrections
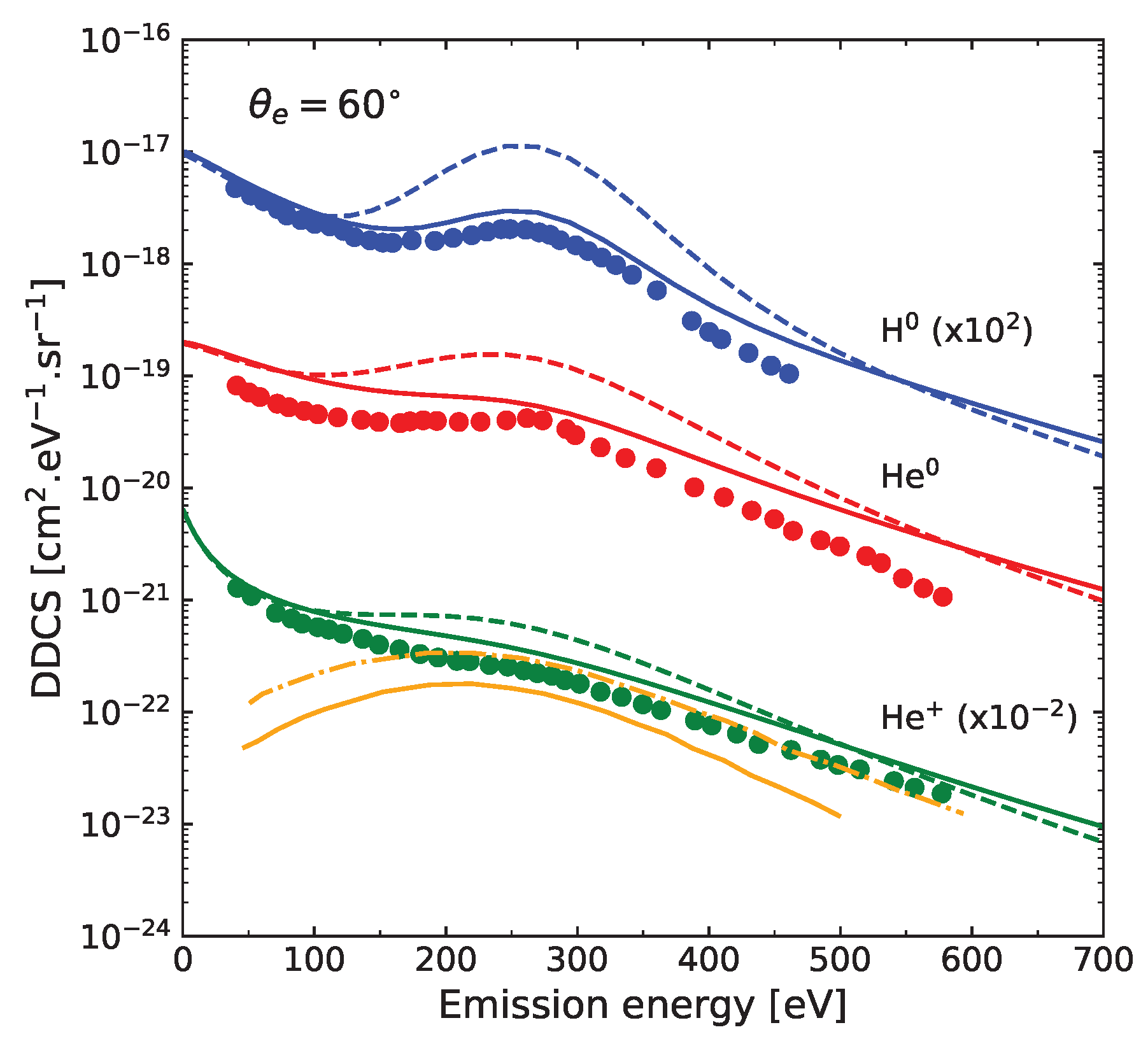
3. Results
3.1. DDCS
3.2. SDCS
3.3. TCS
3.3.1. Target Ionization
3.3.2. Projectile Electron Loss
4. Discussion
5. Conclusions
Author Contributions
Funding
Data Availability Statement
Acknowledgments
Conflicts of Interest
Abbreviations
| CDW-EIS | Continuum Distorted Wave-Eikonal Initial State |
| FBA | First Born Approximation |
| PWBA | Plane Wave Born Approximation |
| EIA | Electron Impact Approximation |
| IA | Impulse Approximation |
| PW | Plane Wave |
| SLPA | Shell-wise Local Plasma Approximation |
| FCM | Free Collision Model |
| DDCS | Double Differential Cross-Section |
| SDCS | Single Differential Cross-Section |
| TCS | Total Cross-Section |
| ECC | Electron Capture to Continuum |
| ELC | Electron Loss to Continuum |
| SI | Single Inelastic |
| DI | Double Inelastic |
Appendix A. Analysis for Different Projectiles Impact
References
- Bates, D.R.; Griffing, G.W. Inelastic Collisions between Heavy Particles II: Contributions of Double-Transitions to the Cross Sections associated with the Excitation of Hydrogen Atoms in Fast Encounters with other Hydrogen Atoms. Proc. Phys. Soc. Sec. A 1954, 67, 663. [Google Scholar] [CrossRef]
- Jakubassa, D.H. Electron loss from medium-energy projectiles in collisions with heavy target atoms. J. Phys. B At. Mol. Opt. Phys. 1980, 13, 2099. [Google Scholar] [CrossRef]
- Hartley, H.M.; Walters, H.R.J. Doubly differential cross sections for electron loss. J. Phys. B At. Mol. Opt. Phys. 1987, 20, 3811. [Google Scholar] [CrossRef]
- Dubois, R.D.; Manson, S.T. Electron emission in He+-atom and He+-molecule collisions: A combined experimental and theoretical study. Phys. Rev. A 1990, 42, 1222–1230. [Google Scholar] [CrossRef]
- Heil, O.; Dubois, R.D.; Maier, R.; Kuzel, M.; Groeneveld, K.O. Ionization in fast-neutral-particle-atom collisions: H and He atoms impacting on He. Phys. Rev. A 1992, 45, 2850–2858. [Google Scholar] [CrossRef]
- Kuzel, M.; Heil, O.; Maier, R.; Lucas, M.W.; Jakubassa-Amundsen, D.H.; Farmery, B.W.; Groeneveld, K.O. The doubly inelastic contribution to electron loss: H0 and He0 (0.5 MeV u−1) in collision with Ar. J. Phys. B At. Mol. Opt. Phys. 1992, 25, 1839–1851. [Google Scholar] [CrossRef][Green Version]
- Jalowy, T.; Jakubaßa-Amundsen, D.H.; Lucas, M.W.; Groeneveld, K.O. Momentum spectroscopy of electrons lost by light projectiles in collisions with neon targets. Phys. Rev. A 2000, 61, 022714. [Google Scholar] [CrossRef]
- Fainstein, P.D.; Ponce, V.H.; Rivarola, R.D. Two-centre effects in ionization by ion impact. J. Phys. B At. Mol. Opt. Phys. 1991, 24, 3091–3119. [Google Scholar] [CrossRef]
- Miraglia, J.E.; Gravielle, M.S. Ionization of He, Ne, Ar, Kr, and Xe by impact of He+ ions. Phys. Rev. A 2010, 81, 042709. [Google Scholar] [CrossRef]
- Monti, J.M.; Rivarola, R.D.; Fainstein, P.D. Distorted wave theories for dressed-ion-atom collisions with GSZ projectile potentials. J. Phys. B At. Mol. Opt. Phys. 2011, 44, 195206. [Google Scholar] [CrossRef]
- Fainstein, P.D.; Ponce, V.H.; Rivarola, R.D. A theoretical model for ionisation in ion-atom collisions. Application for the impact of multicharged projectiles on helium. J. Phys. B At. Mol. Opt. Phys. 1988, 21, 287. [Google Scholar] [CrossRef]
- Belkic, D.; Gayet, R.; Salin, A. Electron capture in high-energy ion-atom collisions. Phys. Rep. 1979, 56, 279. [Google Scholar] [CrossRef]
- Salin, A. Helium ionisation by high-energy ions at a function of impact parameter and projectile scattering angle. J. Phys. B At. Mol. Opt. Phys. 1989, 223, 3901. [Google Scholar] [CrossRef]
- Rojas, M.F.; Quinto, M.A.; Rivarola, R.D.; Monti, J.M. Dynamic effective charge in the continuum of the CDW-EIS model for ionization in ion–atom collisions: Angular and energy dependence. J. Phys. B At. Mol. Opt. Phys. 2023, 56, 125201. [Google Scholar] [CrossRef]
- Szydlik, P.P.; Green, A.E.S. Independent-particle-model potentials for ions and neutral atoms with Z<18. Phys. Rev. A 1974, 99, 1885–1894. [Google Scholar] [CrossRef]
- Esponda, N.J.; Quinto, M.A.; Rivarola, R.D.; Monti, J.M. Dynamic screening and two-center effects in neutral and partially dressed ion-atom collisions. Phys. Rev. A 2022, 105, 032817. [Google Scholar] [CrossRef]
- McGuire, J.H.; Stolterfoht, N.; Simony, P.R. Screening and antiscreening by projectile electrons in high-velocity atomic collisions. Phys. Rev. A 1981, 24, 97–102. [Google Scholar] [CrossRef]
- Gravielle, M.S.; Miraglia, J.E. Some Nordsieck integral of interest in radiation and atomic collision theories. Comput. Phys. Commun. 1992, 69, 53–58. [Google Scholar] [CrossRef]
- Stolterfoht, N.; DuBois, R.D.; Rivarola, R.D. Electron Emission in Heavy Ion-Atom Collisions; Springer: Berlin/Heidelberg, Germany, 1997. [Google Scholar]
- Betz, H.D.; Hortig, G.; Leischner, E.; Schmelzer, C.; Stadler, B.; Weihrauch, J. The average charge of stripped heavy ions. Phys. Lett. 1966, 22, 643–644. [Google Scholar] [CrossRef]
- Wang, J.; Reinhold, C.O.; Burgdörfer, J. Electron loss at backward observation angles. Phys. Rev. A 1991, 44, 7243–7251. [Google Scholar] [CrossRef]
- Toburen, L.H.; Wilson, W.E. Differential cross sections for ionization of argon by 0.3–2-MeV He2+ and He+ ions. Phys. Rev. A 1979, 19, 2214–2224. [Google Scholar] [CrossRef]
- Duncan, M.M.; Menendez, M.G. Ionization of 0.5-MeV H by Ar and a comparison with the H−/Ar system. Phys. Rev. A 1979, 19, 49–54. [Google Scholar] [CrossRef]
- Salvat, F.; Jablonski, A.; Powell, C.J. ELSEPA—Dirac partial-wave calculation of elastic scattering of electrons and positrons by atoms, positive ions and molecules. Comput. Phys. Commun. 2005, 165, 157–190. [Google Scholar] [CrossRef]
- Rudd, M.E.; Risley, J.S.; Fryar, J.; Rolfes, R.G. Angular and energy distribution of electrons from 15- to 150-keV H0+He collisions. Phys. Rev. A 1980, 21, 506–514. [Google Scholar] [CrossRef]
- Allison, S.K. Experimental Results on Charge-Changing Collisions of Hydrogen and Helium Atoms and Ions at Kinetic Energies above 0.2 kev. Rev. Mod. Phys. 1958, 30, 1137–1168. [Google Scholar] [CrossRef]
- Pivovar, L.I.; Tubayev, V.M.; Novikov, M.T. Electron loss and capture by 200–1500 keV Helium ions in various gases. Zh. Éksp. Teor. Fiz 1961, 41, 26. [Google Scholar]
- Green, A.E.S.; McNeal, R.J. Analytic cross sections for inelastic collisions of protons and hydrogen atoms with atomic and molecular gases. J. Geophys. Res. 1971, 76, 133–144. [Google Scholar] [CrossRef]
- Hvelplund, P.; Pedersen, H.E. Single and double electron loss by fast helium atoms in gases. Phys. Rev. A 1974, 9, 2434–2439. [Google Scholar] [CrossRef]
- Pedersen, E.H.; Heinemeier, J.; Larsen, L.; Mikkelsen, J.V. Electron-loss cross sections for fast, metastable and ground-state helium atoms in gases and metal vapours. J. Phys. B At. Mol. Phys. 1980, 13, 1167. [Google Scholar] [CrossRef]
- Knudsen, H.; Andersen, L.H.; Haugen, H.K.; Hvelplund, P. Electron Loss from Fast One-Electron Ions Colliding with He, N2, and Ar. Phys. Script. 1982, 26, 132. [Google Scholar] [CrossRef]
- Dmitriev, I.S.; Vorob’ev, N.F.; Konovalova, Z.M.; Nikolaev, V.S.; Novozhilova, V.N.; Teplova, Y.A.; Fainberg, Y.A. Loss and capture of electrons by fast ions and atoms of helium in various media. Zh. Éksp. Teor. Fiz 1983, 84, 1987–2000. [Google Scholar]
- Almeida, D.P.; de Castro Faria, N.V.; Freire, J.F.L.; Montenegro, E.C.; de Pinho, A.G. Collisional formation and destruction of fast negative hydrogen ions in He, Ne, and Ar targets. Phys. Rev. A 1987, 36, 16. [Google Scholar] [CrossRef] [PubMed]
- DuBois, R.D. Multiple ionization in He+–rare-gas collisions. Phys. Rev. A 1989, 39, 4440–4450. [Google Scholar] [CrossRef] [PubMed]
- Radchenko, V.I. Scattering of fast hydrogen particles in gaseous media. Zh. Éksp. Teor. Fiz 1994, 105, 834–852. [Google Scholar]
- Santos, A.C.F.; Melo, W.S.; Sant’Anna, M.M.; Sigaud, G.M.; Montenegro, E.C. Absolute multiple-ionization cross sections of noble gases by He+. Phys. Rev. A 2001, 63, 062717. [Google Scholar] [CrossRef]
- Sarkadi, L.; Herczku, P.; Kovács, S.T.S.; Kövér, A. Multiple ionization of rare gases by hydrogen-atom impact. Phys. Rev. A 2013, 87, 062705. [Google Scholar] [CrossRef]
- Dewangan, D.P.; Walters, H.R.J. Electron loss from H(2s), H(1s), He(11S), He(23S), Li(22S), H- and He- projectiles passing through the inert gases-the free-collision model. J. Phys. B At. Mol. Phys. 1978, 11, 3983. [Google Scholar] [CrossRef]
- Katayama, I.; Berg, G.P.A.; Hurlimann, W.; Martin, S.A.; Meissburger, J.; Oelert, W.; Rogge, M.; Romer, J.G.M.; Tain, J.L.; Zemlo, L.; et al. High-energy electron capture and stripping in gas targets. J. Phys. B At. Mol. Phys. 1984, 17, L23. [Google Scholar] [CrossRef]












Disclaimer/Publisher’s Note: The statements, opinions and data contained in all publications are solely those of the individual author(s) and contributor(s) and not of MDPI and/or the editor(s). MDPI and/or the editor(s) disclaim responsibility for any injury to people or property resulting from any ideas, methods, instructions or products referred to in the content. |
© 2023 by the authors. Licensee MDPI, Basel, Switzerland. This article is an open access article distributed under the terms and conditions of the Creative Commons Attribution (CC BY) license (https://creativecommons.org/licenses/by/4.0/).
Share and Cite
Quinto, M.A.; Esponda, N.J.; Rojas, M.F.; Rivarola, R.D.; Monti, J.M. A Critical Analysis of Target Ionization and Projectile Electron Loss in Neutral– and Ion–Atom Collisions. Atoms 2023, 11, 149. https://doi.org/10.3390/atoms11120149
Quinto MA, Esponda NJ, Rojas MF, Rivarola RD, Monti JM. A Critical Analysis of Target Ionization and Projectile Electron Loss in Neutral– and Ion–Atom Collisions. Atoms. 2023; 11(12):149. https://doi.org/10.3390/atoms11120149
Chicago/Turabian StyleQuinto, Michele A., Nicolás J. Esponda, Maria F. Rojas, Roberto D. Rivarola, and Juan M. Monti. 2023. "A Critical Analysis of Target Ionization and Projectile Electron Loss in Neutral– and Ion–Atom Collisions" Atoms 11, no. 12: 149. https://doi.org/10.3390/atoms11120149
APA StyleQuinto, M. A., Esponda, N. J., Rojas, M. F., Rivarola, R. D., & Monti, J. M. (2023). A Critical Analysis of Target Ionization and Projectile Electron Loss in Neutral– and Ion–Atom Collisions. Atoms, 11(12), 149. https://doi.org/10.3390/atoms11120149

