Time-Resolved Analysis of the Electron Temperature in RF Magnetron Discharges with a Pulsed Gas Injection
Abstract
1. Introduction
2. Experimental Setup
2.1. Plasma Reactor and Pulsed Gas Injection
2.2. Optical Emission Spectroscopy Measurements
3. Results and Discussion
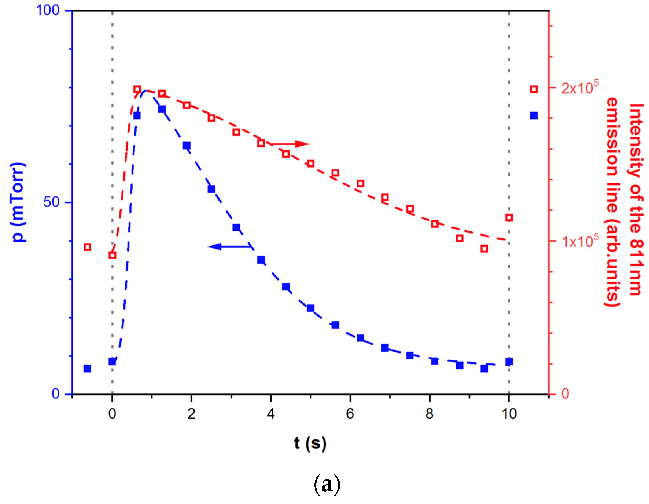
3.1. Influence of the Pressure Pulses
3.2. Results from the Collisional Radiative Model and Comparison with the Experiments
3.3. Impact of Stepwise Excitation Processes on the Study of the Electron Temperature
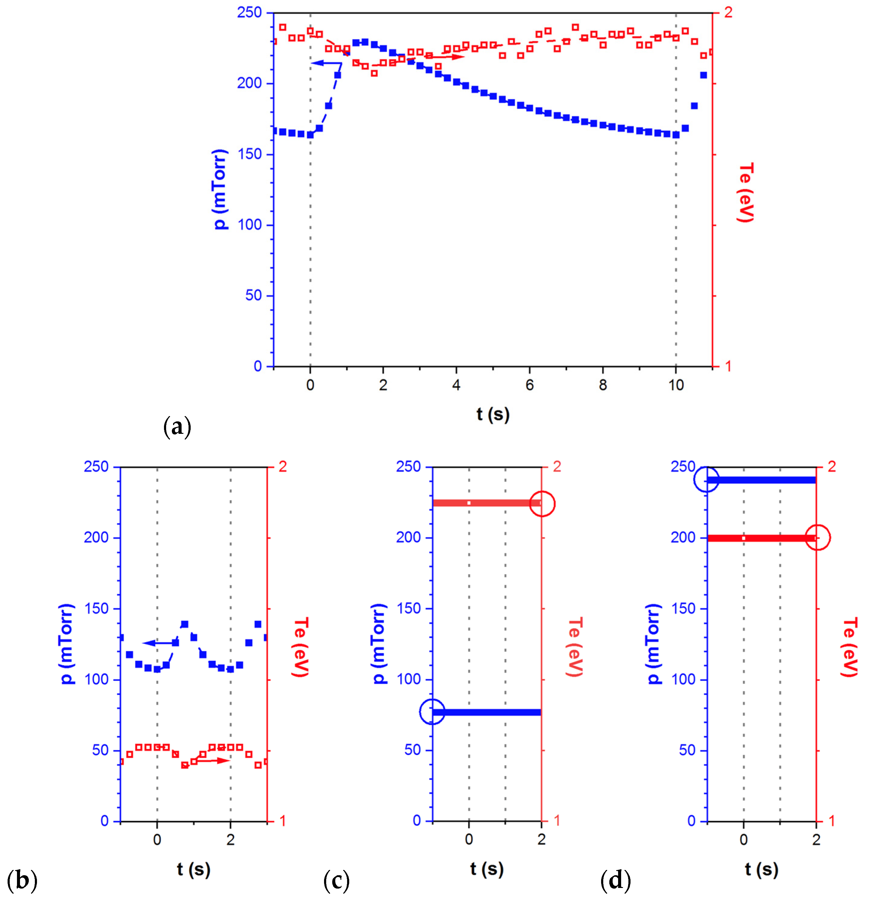
3.4. Effect of the Pulsed Gas Injection Parameters
3.5. Global Trend and Comparison with Reference Measurements
4. Conclusions and Perspectives
Author Contributions
Funding
Data Availability Statement
Conflicts of Interest
References
- Zheng, X.; Li, J.; Hu, J.; Li, J.; Ding, R.; Cao, B.; Wu, J. Comparison between gas puffing and supersonic molecular beam injection in plasma density feedback experiments in EAST. Plasma Phys. Control. Fusion 2013, 55, 115010. [Google Scholar] [CrossRef]
- Cacot, L.; Carnide, G.; Kahn, M.L.; Caquineau, H.; Clegereaux, R.; Naude, N.; Stafford, L. Influence of pulsed gas injections on the stability of Townsend dielectric barrier discharges in nitrogen at atmospheric pressure. J. Phys. D Appl. Phys. 2022, 55, 445204. [Google Scholar] [CrossRef]
- Ziemer, J.; Cubbin, E.; Choueiri, E.; Birx, D. Performance characterization of a high efficiency gas-fed pulsed plasma thruster. In Proceedings of the 33rd Joint Propulsion Conference and Exhibit, Seattle, WA, USA, 6–9 July 1997; p. 2925. [Google Scholar]
- Koizumi, H.; Kakami, A.; Furuta, Y.; Komurasaki, K.; Arakawa, Y. Liquid propellant pulsed plasma thruster. In Proceedings of the 28th International Electric Propulsion Conference, Toulouse, France, 17–21 March 2003; pp. 2003–2087. [Google Scholar]
- Kakami, A.; Koizumi, H.; Komurasaki, K.; Arakawa, Y. Design and performance of liquid propellant pulsed plasma thruster. Vacuum 2004, 73, 419–425. [Google Scholar] [CrossRef]
- Vahlas, C.; Guillon, H.; Senocq, F.; Caussat, B.; Bonnafous, S. Solvent free method for intense vaporization of solid molecular and inorganic compounds. Gases Instrum. 2009, 8–11. [Google Scholar]
- Cacot, L.; Carnide, G.; Kahn, M.L.; Clergereaux, R.; Naudé, N.; Stafford, L. Kinetics driving thin-film deposition in dielectric barrier discharges using a direct liquid injector operated in a pulsed regime. J. Phys. D Appl. Phys. 2022, 55, 475202. [Google Scholar] [CrossRef]
- Mitronika, M.; Profili, J.; Goullet, A.; Gautier, N.; Stephant, N.; Stafford, L.; Granier, A.; Richard-Plouet, M. TiO2–SiO2 nanocomposite thin films deposited by direct liquid injection of colloidal solution in an O2/HMDSO low-pressure plasma. J. Phys. D Appl. Phys. 2020, 54, 085206. [Google Scholar] [CrossRef]
- Pégourié, B.; Tsitrone, E.; Dejarnac, R.; Bucalossi, J.; Martin, G.; Gunn, J.; Frigione, D.; Reiter, D.; Ghendrih, P.; Clément, C. Supersonic gas injection on Tore Supra. J. Nucl. Mater. 2003, 313, 539–542. [Google Scholar] [CrossRef]
- Pánek, R.; Gunn, J.; Bucalossi, J.; Duran, I.; Geraud, A.; Hron, M.; Loarer, T.; Pégourié, B.; Stöckel, J.; Tsitrone, E. The response of the Tore Supra edge plasma to supersonic pulsed gas injection. J. Nucl. Mater. 2005, 337, 530–534. [Google Scholar] [CrossRef]
- Wicher, B.; Chodun, R.; Trzcinski, M.; Langier, K.N.; Skowroński, Ł.; Lachowski, A.; Zdunek, K. Applications insight into the plasmochemical state and optical properties of amorphous CNx films deposited by gas injection magnetron sputtering method. Appl. Surf. Sci. 2021, 565, 150540. [Google Scholar] [CrossRef]
- Zdunek, K.; Nowakowska-Langier, K.; Chodun, R.; Kupczyk, M.; Siwak, P. Properties of TiN coatings deposited by the modified IPD method. Vacuum 2010, 85, 514–517. [Google Scholar] [CrossRef]
- Subramonium, P.; Kushner, M.J. Pulsed plasmas as a method to improve uniformity during materials processing. J. Appl. Phys. 2004, 96, 82–93. [Google Scholar] [CrossRef]
- Voitenko, D.; Ananyev, S.S.; Astapenko, G.I.; Basilaia, A.D.; Markolia, A.I.; Mitrofanov, K.N.; Myalton, V.V.; Timoshenko, A.P.; Kharrasov, A.M.; Krauz, V.I. Study of plasma flows generated in plasma focus discharge in different regimes of working gas filling. Plasma Phys. Rep. 2017, 43, 1132–1146. [Google Scholar] [CrossRef]
- Donnelly, V.; Guha, J.; Stafford, L. Critical review: Plasma-surface reactions and the spinning wall method. J. Vac. Sci. Technol. A Vac. Surf. Film. 2011, 29, 10801. [Google Scholar] [CrossRef]
- Nagatsu, M.; Kitagawa, N.; Takada, N. Production of Vanadium–Carbon Clusters Using DC Arc Discharges with Pulsed Helium/Methane Gas Injection. Jpn. J. Appl. Phys. 2000, 39, 6037. [Google Scholar] [CrossRef]
- Despax, B.; Raynaud, P. Deposition of ‘polysiloxane’ thin films containing silver particles by an RF asymmetrical discharge. Plasma Process. Polym. 2007, 4, 127–134. [Google Scholar] [CrossRef]
- Garofano, V.; Berard, R.; Boivin, S.; Joblin, C.; Makasheva, K.; Stafford, L. Multi-scale investigation in the frequency domain of Ar/HMDSO dusty plasma with pulsed injection of HMDSO. Plasma Sources Sci. Technol. 2019, 28, 55019. [Google Scholar] [CrossRef]
- Kushner, M.J. Pulsed plasma-pulsed injection sources for remote plasma activated chemical vapor deposition. J. Appl. Phys. 1993, 73, 4098–4100. [Google Scholar] [CrossRef]
- Durand, C.; Vallée, C.; Loup, V.; Salicio, O.; Dubourdieu, C.; Blonkowski, S.; Bonvalot, M.; Holliger, P.; Joubert, O. Metal–insulator–metal capacitors using Y2O3 dielectric grown by pulsed-injection plasma enhanced metalorganic chemical vapor deposition. J. Vac. Sci. Technol. A Vac. Surf. Film. 2004, 22, 655–660. [Google Scholar] [CrossRef]
- Kamigaito, O. What can be improved by nanometer composites? J. Jpn. Soc. Powder Powder Metall. 1991, 38, 315–321. [Google Scholar] [CrossRef]
- Kelly, A. Concise Encyclopedia of Composite Materials; Elsevier: Amsterdam, The Netherlands, 2012. [Google Scholar]
- Mitronika, M.; Granier, A.; Goullet, A.; Richard-Plouet, M. Hybrid approaches coupling sol–gel and plasma for the deposition of oxide-based nanocomposite thin films: A review. SN Appl. Sci. 2021, 3, 665. [Google Scholar] [CrossRef]
- Kahn, M.; Champouret, Y.; Clergereaux, R.; Vahlas, C.; Mingotaud, A.; Carnide, G. Process for the Preparation of Nanoparticles. WO2018019862A1, 26 July 2017. [Google Scholar]
- Garofano, V.; Stafford, L.; Despax, B.; Clergereaux, R.; Makasheva, K. Cyclic evolution of the electron temperature and density in dusty low-pressure radio frequency plasmas with pulsed injection of hexamethyldisiloxane. Appl. Phys. Lett. 2015, 107, 183104. [Google Scholar] [CrossRef]
- Garofano, V.R.; Stafford, L.; Despax, B.; Clergereaux, R.; Makasheva, K. Time-resolved optical emission spectroscopy of dusty low-pressure RF plasmas with pulsed injection of hexamethyldisiloxane. In Proceedings of the 22nd International Symposium on Plasma Chemistry, Antwerp, Belgium, 5–10 July 2015; p. 3. [Google Scholar]
- Schweigert, I.; Alexandrov, A.L.; Ariskin, D.A.; Peeters, F.M.; Stefanović, I.; Kovačević, E.; Berndt, J.; Winter, J. Effect of transport of growing nanoparticles on capacitively coupled rf discharge dynamics. Phys. Rev. E 2008, 78, 26410. [Google Scholar] [CrossRef]
- Chang, J.; Coburn, J. Plasma-surface interactions. J. Vac. Sci. Technol. A Vac. Surf. Film. 2003, 21, S145–S151. [Google Scholar] [CrossRef]
- Hegemann, D.; Hossain, M.M.; Körner, E.; Balazs, D.J. Macroscopic description of plasma polymerization. Plasma Process. Polym. 2007, 4, 229–238. [Google Scholar] [CrossRef]
- Maaloul, L.; Gangwar, R.; Morel, S.; Stafford, L. Spatially resolved electron density and electron energy distribution function in Ar magnetron plasmas used for sputter-deposition of ZnO-based thin films. J. Vac. Sci. Technol. A Vac. Surf. Film. 2015, 33, 61310. [Google Scholar] [CrossRef]
- Donnelly, V.M. Plasma electron temperatures and electron energy distributions measured by trace rare gases optical emission spectroscopy. J. Phys. D Appl. Phys. 2004, 37, R217. [Google Scholar] [CrossRef]
- Boivin, S.; Glad, X.; Boeuf, J.; Stafford, L. Analysis of the high-energy electron population in surface-wave plasma columns in presence of collisionless resonant absorption. Plasma Sources Sci. Technol. 2018, 27, 95011. [Google Scholar] [CrossRef]
- Boivin, S.; Glad, X.; Latrasse, L.; Sarkissian, A.; Stafford, L. Probing suprathermal electrons by trace rare gases optical emission spectroscopy in low pressure dipolar microwave plasmas excited at the electron cyclotron resonance. Phys. Plasmas 2018, 25, 93511. [Google Scholar] [CrossRef]
- Malyshev, M.; Donnelly, V. Trace rare gases optical emission spectroscopy: Nonintrusive method for measuring electron temperatures in low-pressure, low-temperature plasmas. Phys. Rev. E 1999, 60, 6016. [Google Scholar] [CrossRef]
- Huddlestone, R.H.; Leonard, S.L. Plasma Diagnostic Techniques; Academic Press: Cambridge, MA, USA, 1965; Volume 65. [Google Scholar]
- Lee, C.; Lieberman, M. Global model of Ar, O2, Cl2, and Ar/O2 high-density plasma discharges. J. Vac. Sci. Technol. A Vac. Surf. Film. 1995, 13, 368–380. [Google Scholar] [CrossRef]










Publisher’s Note: MDPI stays neutral with regard to jurisdictional claims in published maps and institutional affiliations. |
© 2022 by the authors. Licensee MDPI, Basel, Switzerland. This article is an open access article distributed under the terms and conditions of the Creative Commons Attribution (CC BY) license (https://creativecommons.org/licenses/by/4.0/).
Share and Cite
Sadek, T.; Vinchon, P.; Durocher-Jean, A.; Carnide, G.; Kahn, M.L.; Clergereaux, R.; Stafford, L. Time-Resolved Analysis of the Electron Temperature in RF Magnetron Discharges with a Pulsed Gas Injection. Atoms 2022, 10, 147. https://doi.org/10.3390/atoms10040147
Sadek T, Vinchon P, Durocher-Jean A, Carnide G, Kahn ML, Clergereaux R, Stafford L. Time-Resolved Analysis of the Electron Temperature in RF Magnetron Discharges with a Pulsed Gas Injection. Atoms. 2022; 10(4):147. https://doi.org/10.3390/atoms10040147
Chicago/Turabian StyleSadek, Thibault, Pierre Vinchon, Antoine Durocher-Jean, Guillaume Carnide, Myrtil L. Kahn, Richard Clergereaux, and Luc Stafford. 2022. "Time-Resolved Analysis of the Electron Temperature in RF Magnetron Discharges with a Pulsed Gas Injection" Atoms 10, no. 4: 147. https://doi.org/10.3390/atoms10040147
APA StyleSadek, T., Vinchon, P., Durocher-Jean, A., Carnide, G., Kahn, M. L., Clergereaux, R., & Stafford, L. (2022). Time-Resolved Analysis of the Electron Temperature in RF Magnetron Discharges with a Pulsed Gas Injection. Atoms, 10(4), 147. https://doi.org/10.3390/atoms10040147

