Measurements of the Cross-Section for the \({{\rm t}{\bar{\rm t}}}\) Heavy-Flavor Production at the LHC
Abstract
1. Introduction
2. Definition of the + Heavy-Flavor Signal
2.1. Particle-Level Object Definition
2.2. Process Definition
2.3. Monte Carlo Simulation
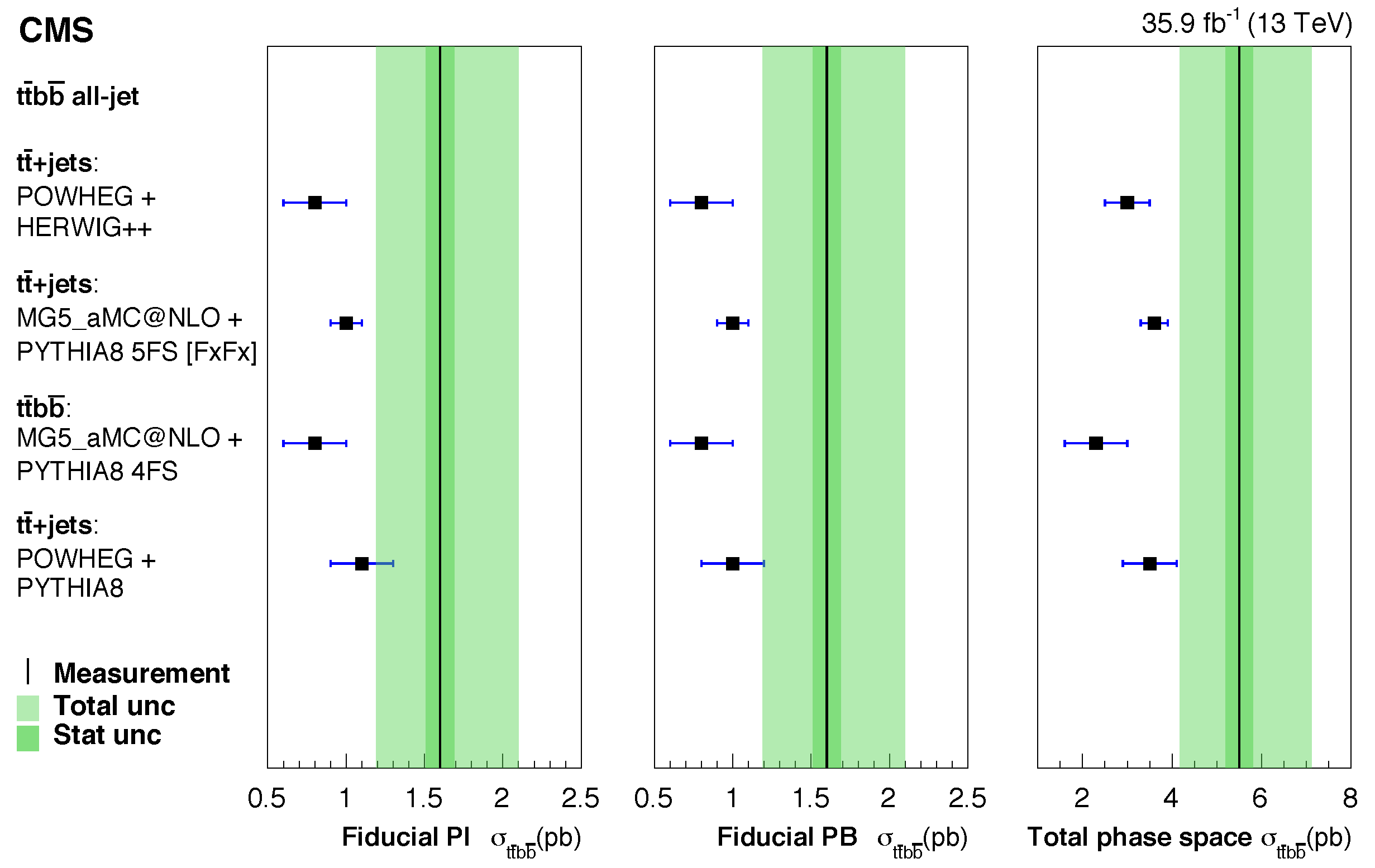
3. Portfolio of Cross-Section Measurements
3.1. Inclusive Cross-Section Measurement
3.2. Differential Cross-Section Measurements
4. Discussion
5. Conclusions
Funding
Conflicts of Interest
Correction Statement
References
- Sirunyan, A.M. et al. [CMS Collaboration]. Observation of H Production. Phys. Rev. Lett. 2018, 120, 231801. [Google Scholar] [CrossRef] [PubMed]
- Aaboud, M. et al. [ATLAS Collaboration]. Observation of Higgs boson production in association with a top quark pair at the LHC with the ATLAS detector. Phys. Lett. B 2015, 784, 173–191. [Google Scholar]
- Höche, S.; Krauss, F.; Maierhöfer, P.; Pozzorini, S.; Schönherr, M.; Siegert, F. Next-to-leading order QCD predictions for top-quark pair production with up to two jets merged with a parton shower. Phys. Lett. B 2015, 748, 74–78. [Google Scholar] [CrossRef]
- Höche, S.; Maierhöfer, P.; Moretti, N.; Pozzorini, S.; Siegert, F. Next-to-leading order QCD predictions for top-quark pair production with up to three jets. Eur. Phys. J. C 2017, 77, 145. [Google Scholar] [CrossRef]
- Alwall, J.; Frederix, R.; Frixione, S.; Hirschi, V.; Maltoni, F.; Mattelaer, O.; Shao, H.S.; Stelzer, T.; Torrielli, P.; Zaro, M. The automated computation of tree-level and next-to-leading order differential cross sections, and their matching to parton shower simulations. J. High Energy Phys. 2014, 2014, 79. [Google Scholar] [CrossRef]
- Frederix, R.; Frixione, S. Merging meets matching in MC@NLO. J. High Energy Phys. 2012, 2012, 61. [Google Scholar] [CrossRef]
- Frixione, S.; Nason, P.; Ridolfi, G. A positive-weight next-to-leading-order Monte Carlo for heavy flavour hadroproduction. J. High Energy Phys. 2007, 2017, 126. [Google Scholar] [CrossRef]
- Worek, M.; Bevilacqua, G. On the ratio of and cross sections at the CERN Large Hadron Collider. J. High Energy Phys. 2014, 2014, 135. [Google Scholar]
- Worek, M. Next-to-leading order QCD corrections to tt¯bb¯ production at the LHC. arXiv 2009, arXiv:0910.4080. [Google Scholar] [CrossRef]
- Worek, M. On the next-to-leading order QCD K-factor for tt¯bb¯ production at the TeVatron. J. High Energy Phys. 2012, 2012, 43. [Google Scholar] [CrossRef]
- Bevilacqua, G.; Czakon, M.; Papadopoulos, C.G.; Pittau, R.; Worek, M. Assault on the NLO wishlist: Pp →. J. High Energy Phys. 2009, 2019, 109. [Google Scholar] [CrossRef]
- Bredenstein, A.; Denner, A.; Dittmaier, S.; Pozzorini, S. NLO QCD corrections to ttbb production at the LHC: 1. Quark-antiquark annihilation. J. High Energy Phys. 2008, 2008, 108. [Google Scholar] [CrossRef][Green Version]
- Bredenstein, A.; Denner, A.; Dittmaier, S.; Pozzorini, S. NLO QCD corrections to pp → + X at the LHC. Phys. Rev. Lett. 2009, 103, 012002. [Google Scholar] [CrossRef]
- Bredenstein, A.; Denner, A.; Dittmaier, S.; Pozzorini, S. NLO QCD corrections to ttbb production at the LHC: 2. Full hadronic results. J. High Energy Phys. 2010, 2010, 21. [Google Scholar] [CrossRef]
- Garzelli, M.V.; Kardos, A.; Trócsányi, Z. Hadroproduction of final states at LHC: Predictions at NLO accuracy matched with Parton Shower. J. High Energy Phys. 2015, 2015, 83. [Google Scholar] [CrossRef]
- Denner, A.; Lang, J.-N.; Pellen, M. Full NLO QCD corrections to off-shell ttbb production. Phys. Rev. D 2021, 104, 056018. [Google Scholar] [CrossRef]
- Giuseppe, B.; Huan-Yu, B.; Hartanto, H.B.; Kraus, M.; Lupattelli, M.; Malgorzata, W. tt¯bb¯ at the LHC: On the size of corrections and b-jet definitions. J. High Energy Phys. 2021, 2021, 8. [Google Scholar] [CrossRef]
- Cascioli, F.; Maierhöfer, P.; Moretti, N.; Pozzorini, S.; Siegert, F. NLO matching for tt¯bb¯ production with massive b quarks. Phys. Lett. B 2014, 734, 210–214. [Google Scholar] [CrossRef]
- Bevilacqua, G.; Garzelli, M.V.; Kardos, A. hadroproduction with massive bottom quarks with PowHel. arXiv 2017, arXiv:1709.06915. [Google Scholar]
- Jezo, T.; Lindert, J.M.; Moretti, N.; Pozzorini, S. New NLOPS predictions for + b jet production at the LHC. Eur. Phys. J. C 2018, 78, 502. [Google Scholar] [CrossRef]
- Buccioni, F.; Kallweit, S.; Pozzorini, S.; Zoller, M.F. NLO QCD predictions for production in association with a light jet at the LHC. J. High Energy Phys. 2019, 2019, 15. [Google Scholar] [CrossRef]
- Aad, G. et al. [The ATLAS Collaboration] ATLAS Collaboration. The ATLAS Experiment at the CERN LHC. JINST 2008, 3, S08003. Available online: https://iopscience.iop.org/article/10.1088/1748-0221/3/08/S08003 (accessed on 6 May 2023).
- Chatrchyan, S. et al. [The CMS Collaboration] The CMS Experiment at the CERN LHC. JINST 2008, 3, S08004. Available online: https://iopscience.iop.org/article/10.1088/1748-0221/3/08/S08004/meta (accessed on 6 May 2023).
- Aguilar-Saavedra, J.A. et al. [ATLAS Collaboration]. Study of heavy-flavor quarks produced in association with top-quark pairs at s = 7 TeV using the ATLAS detector. Phys. Rev. D 2014, 89, 072012. [Google Scholar]
- Abbott, B. et al. [ATLAS Collaboration]. Measurements of fiducial cross-sections for tt¯ production with one or two additional b-jets in pp collisions at s = 8 TeV using the ATLAS detector. Eur. Phys. J. C 2016, 76, 11. [Google Scholar] [CrossRef]
- Aaboud, M. et al. [ATLAS Collaboration]. Measurements of inclusive and differential fiducial cross-sections of production with additional heavy-flavour jets in proton-proton collisions at s = 13 TeV with the ATLAS detector. J. High Energy Phys. 2019, 2019, 46. [Google Scholar] [CrossRef]
- Hollar, J. et al. [CMS Collaboration]. Measurement of tt¯ production with additional jet activity, including b quark jets, in the dilepton decay channel using pp collisions at s = 8 TeV. Eur. Phys. J. C 2016, 76, 379. [Google Scholar] [CrossRef]
- Hollar, J. et al. [CMS Collaboration]. Measurement of the cross section ratio σ/σ in pp collisions at s = 8 TeV. Phys. Lett. B 2015, 746, 132–153. [Google Scholar] [CrossRef]
- Belforte, S. et al. [CMS Collaboration]. Measurements of cross sections in association with b jets and inclusive jets and their ratio using dilepton final states in pp collisions at s = 13 TeV. Phys. Lett. B 2018, 776, 355–378. [Google Scholar] [CrossRef]
- Sirunyan, A.M. et al. [CMS Collaboration]. Measurement of the cross section for production with additional jets and b jets in pp collisions at s = 13 TeV. J. High Energy Phys. 2020, 2020, 125. [Google Scholar] [CrossRef]
- Bondu, O. et al. [CMS Collaboration]. Measurement of the production cross section in the all-jet final state in pp collisions at s = 13 TeV. Phys. Lett. B 2020, 803, 135285. [Google Scholar] [CrossRef]
- Sirunyan, A.M. et al. [CMS Collaboration]. First measurement of the cross section for top quark pair production with additional charm jets using dileptonic final states in pp collisions at s = 13 TeV. Phys. Lett. B 2021, 820, 136565. [Google Scholar] [CrossRef]
- CMS Collaboration. CMS-PAS-TOP-22-009. Available online: http://cms-results.web.cern.ch/cms-results/public-results/preliminary-results/TOP-22-009/index.html (accessed on 6 May 2023).
- Nason, P. A new method for combining NLO QCD with shower Monte Carlo algorithms. J. High Energy Phys. 2004, 2004, 40. [Google Scholar] [CrossRef]
- Frixione, S.; Nason, P.; Oleari, C. Matching NLO QCD computations with parton shower simulations: The POWHEG method. J. High Energy Phys. 2007, 2007, 70. [Google Scholar] [CrossRef]
- Alioli, S.; Nason, P.; Oleari, C.; Re, E. A general framework for implementing NLO calculations in shower Monte Carlo programs: The POWHEG BOX. J. High Energy Phys. 2010, 2010, 43. [Google Scholar] [CrossRef]
- Sjöstrand, T.; Mrenna, S.; Skands, P.Z. An Introduction to PYTHIA 8.2. Comput. Phys. Commun. 2015, 191, 159. [Google Scholar] [CrossRef]
- Sjöstrand, T.; Mrenna, S.; Skands, P.Z. Pythia 6.4 Physics and Manual. J. High Energy Phys. 2006, 2006, 26. [Google Scholar] [CrossRef]
- Alwall, J.; Herquet, M.; Maltoni, F.; Mattelaer, O.; Stelzer, T. MadGraph v5: Going beyond. J. High Energy Phys. 2011, 2011, 128. [Google Scholar] [CrossRef]
- Bähr, M.; Gieseke, S.; Gigg, M.A.; Grellscheid, D.; Hamilton, K.; Latunde-Dada, O.; Plätzer, S.; Richardson, P.; Seymour, M.H.; Sherstnev, A.; et al. Herwig++ Physics and Manual. Eur. Phys. J. C 2008, 58, 639–707. [Google Scholar] [CrossRef]
- Bellm, J.; Gieseke, S.; Grellscheid, D.; Plätzer, S.; Rauch, M.; Reuschle, C.; Richardson, P.; Schichtel, P.; Seymour, M.H.; Siódmok, A.; et al. Herwig 7.0/Herwig++ 3.0 release note. Eur. Phys. J. C 2016, 76, 196. [Google Scholar] [CrossRef]
- Gleisberg, T.; Höche, S.; Krauss, F.; Schönherr, M.; Schumann, S.; Siegert, F.; Winter, J. Event generation with SHERPA 1.1. J. High Energy Phys. 2009, 2009, 7. [Google Scholar] [CrossRef]
- Cacciari, M.; Czakon, M.; Mangano, M.; Mitov, A.; Nason, P. Top-pair production at hadron colliders with next-to-next-to-leading logarithmic soft-gluon resummation. Phys. Lett. B 2012, 710, 612. [Google Scholar] [CrossRef]
- Czakon, M.; Mitov, A. Top++: A program for the calculation of the top-pair cross-section at hadron collider. Comput. Phys. Commun. 2014, 185, 2930–2938. [Google Scholar] [CrossRef]
- Gleisberg, T.; Höche, S. Comix, a new matrix element generator. J. High Energy Phys. 2008, 2008, 39. [Google Scholar] [CrossRef]
- Cascioli, F.; Maierhofer, P.; Pozzorini, S. Scattering Amplitudes with Open Loops. Phys. Rev. Lett. 2012, 108, 111601. [Google Scholar] [CrossRef]
- Schumann, S.; Krauss, F. A parton shower algorithm based on Catani-Seymour dipole factorisation. J. High Energy Phys. 2008, 2008, 38. [Google Scholar] [CrossRef]
- CMS Top Quark Physics Summary Figures. Available online: https://twiki.cern.ch/twiki/bin/view/CMSPublic/PhysicsResultsTOPSummaryFigures (accessed on 5 March 2023).
- D’Agostini, G. A multidimensional unfolding method based on Bayes’ theorem. Nucl. Instrum. Meth. A 1995, 362, 487–498. [Google Scholar] [CrossRef]
- Adye, T. Unfolding algorithms and tests using RooUnfold. In Proceedings of the PHYSTAT 2011 Workshop on Statistical Issues Related to Discovery Claims in Search Experiments and Unfolding, CERN, Geneva, Switzerland, 17–20 January 2011; CERN-2011-006. CERN: Geneva, Switzerland, 2011; p. 313. [Google Scholar]
- LeCun, Y.; Boser, B.; Denker, J.; Henderson, D.; Howard, R.; Hubbard, W.; Jackel, L. Handwritten digit recognition with a back-propagation network. In Proceedings of the 2nd International Conference on Neural Information Processing Systems, NIPS’89, (Cambridge, MA, USA), Denver, CO, USA, 27–30 November 1989; MIT Press: Cambridge, MA, USA, 1989; pp. 396–404. [Google Scholar]
- Hochreiter, S.; Schmidhuber, J. Long short-term memory. Neural Comput. 1997, 9, 1735–1780. [Google Scholar] [CrossRef]
- D’Hondt, J.; Mariotti, A.; Mimasu, K.; Moortgat, S.; Zhang, C. Learning to pinpoint effective operators at the LHC: A study of the signature. J. High Energy Phys. 2018, 2018, 131. [Google Scholar] [CrossRef]













| Phase Space | Process | ATLAS | CMS |
|---|---|---|---|
| Full | - | ≥ 2b not from t [27,28,29,30] | |
| - | ≥ 2c not from t [32] | ||
| Visible | (di-lepton) | ≥ 3(4)b [24,25,26] | ≥ 4b [27,28,29,30] |
| (semi-lepton) | ≥ 5(6)j, ≥ 3(4)b [24,25,26] | ≥ 5(6)j, ≥ 3(4)b [30,33] | |
| (semi-lepton) | - | ≥ 6(7)j, ≥ 3(4)b, ≥ 3l [33] | |
| (fully hadron) | - | ≥ 8j, ≥ 4b [31] | |
| (di-lepton) | - | ≥ 2b, ≥ 2c [32] |
| Channel | Measurements (pb) | Predictions (pb) | Phase Space |
|---|---|---|---|
| () [26] | 177 ± 5 ± 24 | 103 ± 30 | ≥3b |
| () [26] | 25 ± 3 ± 7 | 17.3 ± 4.2 | ≥4b |
| (lepton + jets) [26] | 2370 ± 40 ± 690 | 1600 ± 530 | ≥ 5j, ≥3b |
| (lepton + jets) [26] | 331 ± 11 ± 61 | 270 ± 70 | ≥ 6j, ≥4b |
| Channel | Measurements (pb) | Predictions (pb) | b jet Requirement |
|---|---|---|---|
| dilepton [29] | 0.088 ± 0.012 ± 0.029 | 0.070 ± 0.009 | > 20 GeV, < 2.5 |
| dilepton [30] | 0.040 ± 0.002 ± 0.005 | 0.032 ± 0.004 | > 30 GeV, < 2.4 |
| lepton + jets | |||
| ≥ 6j ≥ 4b [30] | 0.62 ± 0.03 ± 0.07 | 0.52 ± 0.06 | > 20 GeV, < 2.5 |
| ≥ 5j, ≥ 3b [33] | 2.368 ± 0.142 ± 0.014 | 1.791 | > 25 GeV, < 2.4 |
| ≥6j ≥ 3b ≥ 3l [33] | 1.036 ± 0.090 ± 0.012 | 0.899 | > 25 GeV, < 2.4 |
| ≥ 6j ≥ 4b [33] | 0.289 ± 0.036 ± 0.006 | 0.240 | > 25 GeV, < 2.4 |
| ≥ 7j ≥ 4b ≥ 3l [33] | 0.144 ± 0.025 ± 0.005 | 0.129 | > 25 GeV, < 2.4 |
| hadronic [31] | 1.6 ± | 1.0 ± 0.2 | > 20 GeV, < 2.5 |
| dilepton [32] | 0.132 ± 0.010 ± 0.015 | 0.097 ± 0.021 | > 20 GeV, < 2.4 |
| dilepton [32] | 0.207 ± 0.025±0.027 | 0.187 ± 0.038 | > 20 GeV, < 2.4 |
| Channel | Measurements (%) | Predictions (%) | b jet Requirement |
|---|---|---|---|
| / | |||
| dilepton [29] | 2.4 ± 0.3 ± 0.7 | 1.4 ± 0.1 | > 20 GeV, < 2.5 |
| dilepton [30] | 1.7 ± 0.1 ± 0.1 | 1.3 ± 0.2 | > 30 GeV, < 2.4 |
| lepton + jets [30] | 2.0 ± 0.1 ± 0.1 | 1.7 ± 0.2 | > 20 GeV, < 2.5 |
| dilepton [32] | 1.93 ± 0.15 ± 0.18 | 1.31 ± 0.12 | > 20 GeV, < 2.4 |
| / | |||
| dilepton [32] | 3.01 ± 0.34 ± 0.31 | 2.53 ± 0.18 | > 20 GeV, < 2.4 |
| Channel | Measurements (pb) | Predictions (pb) | b jet Requirement |
|---|---|---|---|
| dilepton [29] | 4.0 ± 0.6 ± 1.3 | 3.2 ± 0.4 | > 20 GeV, < 2.5 |
| dilepton [30] | 2.9 ± 0.1 ± 0.5 | 2.3 ± 0.4 | > 30 GeV, < 2.4 |
| lepton + jets [30] | 4.7 ± 0.2 ± 0.6 | 3.9 ± 0.4 | > 20 GeV, < 2.5 |
| hadronic [31] | 5.5 ± | 3.5 ± 0.6 | > 20 GeV, < 2.5 |
| dilepton [32] | 4.54 ± 0.34 ± 0.56 | 3.34 ± 0.72 | > 20 GeV, < 2.4 |
| dilepton [32] | 10.1 ± 1.2 ± 1.4 | 9.1 ± 1.8 | > 20 GeV, < 2.4 |
| Channel | Measurements (%) | Predictions (%) | b jet Requirement |
|---|---|---|---|
| / | |||
| dilepton [29] | 2.2 ± 0.3 ± 0.6 | 1.2 ± 0.1 | > 20 GeV, < 2.5 |
| dilepton [30] | 1.8 ± 0.1 ± 0.2 | 1.4 ± 0.3 | > 30 GeV, < 2.4 |
| lepton + jets [30] | 1.6 ± 0.1 ± 0.1 | 1.3 ± 0.2 | > 20 GeV, < 2.5 |
| dilepton [32] | 1.51 ± 0.11 ± 0.16 | 1.03 ± 0.08 | > 20 GeV, < 2.4 |
| / | |||
| dilepton [32] | 3.36 ± 0.38 ± 0.34 | 2.81 ± 0.20 | > 20 GeV, < 2.4 |
Disclaimer/Publisher’s Note: The statements, opinions and data contained in all publications are solely those of the individual author(s) and contributor(s) and not of MDPI and/or the editor(s). MDPI and/or the editor(s) disclaim responsibility for any injury to people or property resulting from any ideas, methods, instructions or products referred to in the content. |
© 2023 by the authors. Licensee MDPI, Basel, Switzerland. This article is an open access article distributed under the terms and conditions of the Creative Commons Attribution (CC BY) license (https://creativecommons.org/licenses/by/4.0/).
Share and Cite
D’Hondt, J.; Kim, T.J. Measurements of the Cross-Section for the \({{\rm t}{\bar{\rm t}}}\) Heavy-Flavor Production at the LHC. Universe 2023, 9, 242. https://doi.org/10.3390/universe9050242
D’Hondt J, Kim TJ. Measurements of the Cross-Section for the \({{\rm t}{\bar{\rm t}}}\) Heavy-Flavor Production at the LHC. Universe. 2023; 9(5):242. https://doi.org/10.3390/universe9050242
Chicago/Turabian StyleD’Hondt, Jorgen, and Tae Jeong Kim. 2023. "Measurements of the Cross-Section for the \({{\rm t}{\bar{\rm t}}}\) Heavy-Flavor Production at the LHC" Universe 9, no. 5: 242. https://doi.org/10.3390/universe9050242
APA StyleD’Hondt, J., & Kim, T. J. (2023). Measurements of the Cross-Section for the \({{\rm t}{\bar{\rm t}}}\) Heavy-Flavor Production at the LHC. Universe, 9(5), 242. https://doi.org/10.3390/universe9050242

