Some Aspects of Persistent Homology Analysis on Phase Transition: Examples in an Effective QCD Model with Heavy Quarks
Abstract
1. Introduction
2. Formulation
2.1. QCD-like Potts Model
2.2. Persistent Homology
2.2.1. Point-Cloud Data
- Consider balls whose center is set to the “ON” sites for each data point (point-cloud). This procedure creates the point-cloud data, which are input data for the persistent homology analysis;
- The radius r of each ball increases with increasing time (filtration). This procedure introduces the hole structure for the point-cloud data;
- When time passes sufficiently, the balls begin to overlap. Then, the hole created by the overlapped balls appears. We call this time as birth time, ;
- After the overlapping, the hole vanishes with increasing time. We call this time as death time, . Therefore, we have .
2.2.2. Pixel Data
- Construct the data set that contains the spatial structure with the actual values of spin and 1. Then, the data set becomes the pixel data; all sites have one of three values, and 1. We can regard it as a function where X denotes each site.
- Level sets are performed in the pixel data aswhere h denotes the threshold value.
- Then the threshold values of level sets are decreased, we can define the following process (super-level filtration).withand then the birth time appears after the death time, .
2.2.3. Observables
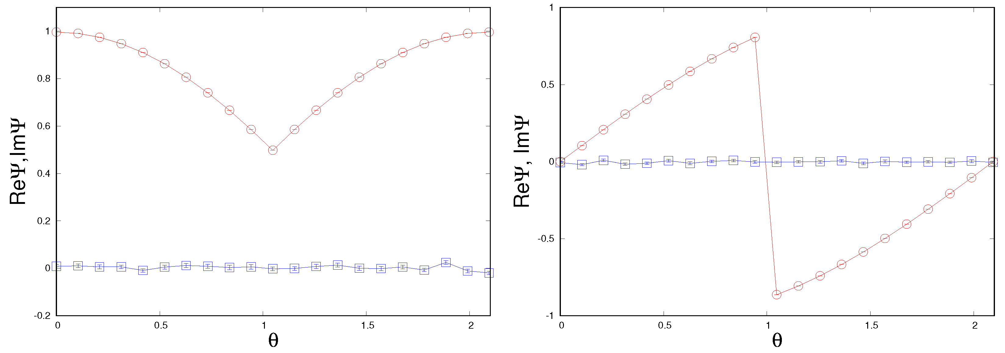
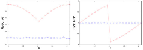
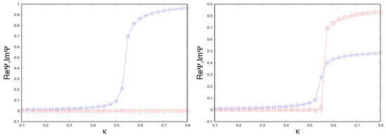
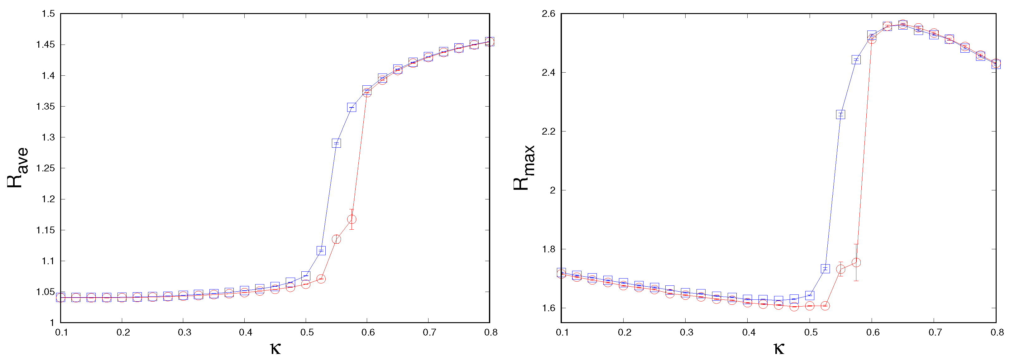
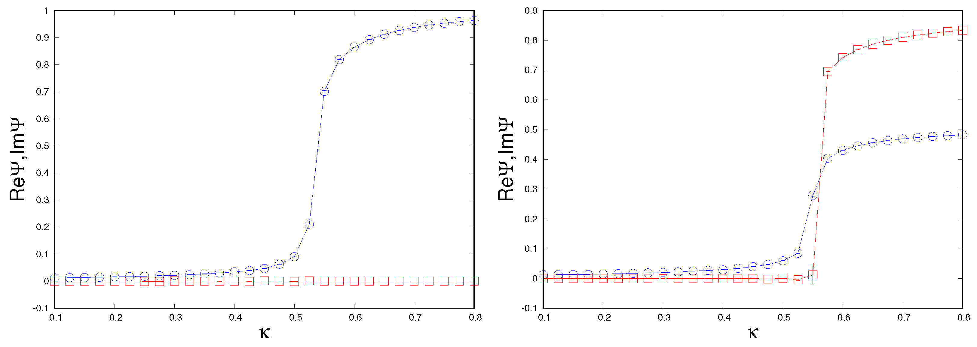
3. Numerical Results
4. Summary and Outlook
Author Contributions
Funding
Institutional Review Board Statement
Informed Consent Statement
Data Availability Statement
Acknowledgments
Conflicts of Interest
References
- Fukushima, K.; Mohanty, B.; Xu, N. Little-Bang and Femto-Nova in Nucleus-Nucleus Collisions. AAPPS Bull. 2021, 31, 1. [Google Scholar] [CrossRef]
- Baym, G.; Hatsuda, T.; Kojo, T.; Powell, P.D.; Song, Y.; Takatsuka, T. From hadrons to quarks in neutron stars: A review. Rept. Prog. Phys. 2018, 81, 056902. [Google Scholar] [CrossRef]
- McLerran, L.D.; Svetitsky, B. Quark Liberation at High Temperature: A Monte Carlo Study of SU(2) Gauge Theory. Phys. Rev. 1981, D24, 450. [Google Scholar] [CrossRef]
- Fukushima, K.; Kojo, T.; Weise, W. Hard-core deconfinement and soft-surface delocalization from nuclear to quark matter. Phys. Rev. D 2020, 102, 096017. [Google Scholar] [CrossRef]
- McLerran, L.; Pisarski, R.D. Phases of cold, dense quarks at large N(c). Nucl. Phys. A 2007, 796, 83–100. [Google Scholar] [CrossRef]
- Wen, X.G. Topological Order in Rigid States. Int. J. Mod. Phys. 1990, B4, 239. [Google Scholar] [CrossRef]
- Sato, M. Topological discrete algebra, ground state degeneracy, and quark confinement in QCD. Phys. Rev. 2008, D77, 045013. [Google Scholar] [CrossRef]
- Edelsbrunner, H.; Letscher, D.; Zomorodian, A. Topological persistence and simplification. In Proceedings of the 41st annual Symposium on Foundations of Computer Science, Redondo Beach, CA, USA, 12–14 November 2000; pp. 454–463. [Google Scholar]
- Zomorodian, A.; Carlsson, G. Computing persistent homology. Discret. Comput. Geom. 2005, 33, 249–274. [Google Scholar] [CrossRef]
- Hirakida, T.; Kashiwa, K.; Sugano, J.; Takahashi, J.; Kouno, H.; Yahiro, M. Persistent homology analysis of deconfinement transition in effective Polyakov-line model. Int. J. Mod. Phys. 2020, 35, 2050049. [Google Scholar] [CrossRef]
- Kashiwa, K.; Hirakida, T.; Kouno, H. Persistent Homology Analysis for Dense QCD Effective Model with Heavy Quarks. Symmetry 2022, 14, 1783. [Google Scholar] [CrossRef]
- Gattringer, C. Coherent center domains in SU(3) gluodynamics and their percolation at Tc. Phys. Lett. B 2010, 690, 179–182. [Google Scholar] [CrossRef]
- Borsanyi, S.; Danzer, J.; Fodor, Z.; Gattringer, C.; Schmidt, A. Coherent center domains from local Polyakov loops. J. Phys. Conf. Ser. 2011, 312, 012005. [Google Scholar] [CrossRef]
- Endrodi, G.; Gattringer, C.; Schadler, H.P. Fractality and other properties of center domains at finite temperature: SU(3) lattice gauge theory. Phys. Rev. D 2014, 89, 054509. [Google Scholar] [CrossRef]
- de Forcrand, P.; D’Elia, M. On the relevance of center vortices to QCD. Phys. Rev. Lett. 1999, 82, 4582–4585. [Google Scholar] [CrossRef]
- Sale, N.; Lucini, B.; Giansiracusa, J. Probing center vortices and deconfinement in SU(2) lattice gauge theory with persistent homology. arXiv 2022, arXiv:2207.13392. [Google Scholar]
- Donato, I.; Gori, M.; Pettini, M.; Petri, G.; De Nigris, S.; Franzosi, R.; Vaccarino, F. Persistent homology analysis of phase transitions. Phys. Rev. E 2016, 93, 052138. [Google Scholar] [CrossRef]
- Olsthoorn, B.; Hellsvik, J.; Balatsky, A.V. Finding hidden order in spin models with persistent homology. Phys. Rev. Res. 2020, 2, 043308. [Google Scholar] [CrossRef]
- Cole, A.; Loges, G.J.; Shiu, G. Quantitative and interpretable order parameters for phase transitions from persistent homology. arXiv 2020, arXiv:2009.14231. [Google Scholar] [CrossRef]
- Tran, Q.H.; Chen, M.; Hasegawa, Y. Topological persistence machine of phase transitions. Phys. Rev. E 2021, 103, 052127. [Google Scholar] [CrossRef]
- Sale, N.; Giansiracusa, J.; Lucini, B. Quantitative analysis of phase transitions in two-dimensional XY models using persistent homology. Phys. Rev. E 2022, 105, 024121. [Google Scholar] [CrossRef]
- Spitz, D.; Urban, J.M.; Pawlowski, J.M. Confinement in non-Abelian lattice gauge theory via persistent homology. arXiv 2022, arXiv:2208.03955. [Google Scholar]
- Elbers, W.; van de Weygaert, R. Persistent topology of the reionization bubble network—I. Formalism and phenomenology. Mon. Not. R. Astron. Soc. 2019, 486, 1523–1538. [Google Scholar] [CrossRef]
- Cole, A.; Shiu, G. Topological Data Analysis for the String Landscape. JHEP 2019, 3, 054. [Google Scholar] [CrossRef]
- Roberge, A.; Weiss, N. Gauge Theories With Imaginary Chemical Potential and the Phases of QCD. Nucl. Phys. 1986, B275, 734. [Google Scholar] [CrossRef]
- Kashiwa, K. Imaginary Chemical Potential, NJL-Type Model and Confinement–Deconfinement Transition. Symmetry 2019, 11, 562. [Google Scholar] [CrossRef]
- Hasenfratz, A.; Toussaint, D. Canonical ensembles and nonzero density quantum chromodynamics. Nucl. Phys. 1992, B371, 539–549. [Google Scholar] [CrossRef]
- Alexandru, A.; Faber, M.; Horvath, I.; Liu, K.F. Lattice QCD at finite density via a new canonical approach. Phys. Rev. 2005, D72, 114513. [Google Scholar] [CrossRef]
- Kratochvila, S.; de Forcrand, P. QCD at zero baryon density and the Polyakov loop paradox. Phys. Rev. 2006, D73, 114512. [Google Scholar] [CrossRef]
- De Forcrand, P.; Kratochvila, S. Finite density QCD with a canonical approach. Nucl. Phys. Proc. Suppl. 2006, 153, 62–67. [Google Scholar] [CrossRef]
- Li, A.; Alexandru, A.; Liu, K.F.; Meng, X. Finite density phase transition of QCD with Nf=4 and Nf=2 using canonical ensemble method. Phys. Rev. 2010, D82, 054502. [Google Scholar] [CrossRef]
- Kashiwa, K.; Ohnishi, A. Topological feature and phase structure of QCD at complex chemical potential. Phys. Lett. 2015, B750, 282–286. [Google Scholar] [CrossRef]
- Kashiwa, K.; Ohnishi, A. Quark number holonomy and confinement-deconfinement transition. Phys. Rev. 2016, D93, 116002. [Google Scholar] [CrossRef]
- Kashiwa, K.; Ohnishi, A. Topological deconfinement transition in QCD at finite isospin density. Phys. Lett. 2017, B772, 669–674. [Google Scholar] [CrossRef]
- Wu, F.Y. The potts model. Rev. Mod. Phys. 1982, 54, 235. [Google Scholar] [CrossRef]
- Alford, M.G.; Chandrasekharan, S.; Cox, J.; Wiese, U.J. Solution of the complex action problem in the Potts model for dense QCD. Nucl. Phys. 2001, B602, 61–86. [Google Scholar] [CrossRef]
- Kim, S.; de Forcrand, P.; Kratochvila, S.; Takaishi, T. The 3-state Potts model as a heavy quark finite density laboratory. PoS 2006, LAT2005, 166. [Google Scholar]
- Kashiwa, K.; Kouno, H. Information theoretical view of QCD effective model with heavy quarks. Phys. Rev. D 2021, 103, 014014. [Google Scholar] [CrossRef]
- Sakai, Y.; Kashiwa, K.; Kouno, H.; Yahiro, M. Polyakov loop extended NJL model with imaginary chemical potential. Phys. Rev. 2008, D77, 051901. [Google Scholar] [CrossRef]
- Obayashi, I.; Nakamura, T.; Hiraoka, Y. Persistent Homology Analysis for Materials Research and Persistent Homology Software: HomCloud. J. Phys. Soc. Jpn. 2022, 91, 091013. [Google Scholar] [CrossRef]
- HomCloud. Available online: http://www.wpi-aimr.tohoku.ac.jp/hiraoka_labo/homcloud-english.html (accessed on 1 February 2023).
- Metropolis, N.; Rosenbluth, A.W.; Rosenbluth, M.N.; Teller, A.H.; Teller, E. Equation of state calculations by fast computing machines. J. Chem. Phys. 1953, 21, 1087–1092. [Google Scholar] [CrossRef]
- Wu, C.F.J. Jackknife, bootstrap and other resampling methods in regression analysis. Ann. Stat. 1986, 14, 1261–1295. [Google Scholar] [CrossRef]
- D’Elia, M.; Lombardo, M.P. Finite density QCD via imaginary chemical potential. Phys. Rev. 2003, D67, 014505. [Google Scholar] [CrossRef]
- de Forcrand, P.; Philipsen, O. The QCD phase diagram for small densities from imaginary chemical potential. Nucl. Phys. 2002, B642, 290–306. [Google Scholar] [CrossRef]
- D’Elia, M.; Lombardo, M.P. QCD thermodynamics from an imaginary mu(B): Results on the four flavor lattice model. Phys. Rev. 2004, D70, 074509. [Google Scholar] [CrossRef]
- Chen, H.S.; Luo, X.Q. Phase diagram of QCD at finite temperature and chemical potential from lattice simulations with dynamical Wilson quarks. Phys. Rev. 2005, D72, 034504. [Google Scholar] [CrossRef]
- D’Elia, M.; Sanfilippo, F. The Order of the Roberge-Weiss endpoint (finite size transition) in QCD. Phys. Rev. 2009, D80, 111501. [Google Scholar] [CrossRef]
- Tanaka, A.; Tomiya, A. Detection of phase transition via convolutional neural network. J. Phys. Soc. Jap. 2017, 86, 063001. [Google Scholar] [CrossRef]
- Carrasquilla, J.; Melko, R.G. Machine learning phases of matter. Nat. Phys. 2017, 13, 431–434. [Google Scholar] [CrossRef]
- Aoki, K.I.; Fujita, T.; Kobayashi, T. What does deep learning of statistical system learn? J. Jpn. Soc. Artif. Intell. 2018, 33, 420. [Google Scholar]
- Kashiwa, K.; Kikuchi, Y.; Tomiya, A. Phase transition encoded in neural network. PTEP 2019, 2019, 083A04. [Google Scholar] [CrossRef]
- Aoki, K.I.; Fujita, T.; Kobayashi, T. Logical Reasoning for Revealing the Critical Temperature through Deep Learning of Configuration Ensemble of Statistical Systems. J. Phys. Soc. Jap. 2019, 88, 054002. [Google Scholar] [CrossRef]




Disclaimer/Publisher’s Note: The statements, opinions and data contained in all publications are solely those of the individual author(s) and contributor(s) and not of MDPI and/or the editor(s). MDPI and/or the editor(s) disclaim responsibility for any injury to people or property resulting from any ideas, methods, instructions or products referred to in the content. |
© 2023 by the authors. Licensee MDPI, Basel, Switzerland. This article is an open access article distributed under the terms and conditions of the Creative Commons Attribution (CC BY) license (https://creativecommons.org/licenses/by/4.0/).
Share and Cite
Antoku, H.; Kashiwa, K. Some Aspects of Persistent Homology Analysis on Phase Transition: Examples in an Effective QCD Model with Heavy Quarks. Universe 2023, 9, 82. https://doi.org/10.3390/universe9020082
Antoku H, Kashiwa K. Some Aspects of Persistent Homology Analysis on Phase Transition: Examples in an Effective QCD Model with Heavy Quarks. Universe. 2023; 9(2):82. https://doi.org/10.3390/universe9020082
Chicago/Turabian StyleAntoku, Hayato, and Kouji Kashiwa. 2023. "Some Aspects of Persistent Homology Analysis on Phase Transition: Examples in an Effective QCD Model with Heavy Quarks" Universe 9, no. 2: 82. https://doi.org/10.3390/universe9020082
APA StyleAntoku, H., & Kashiwa, K. (2023). Some Aspects of Persistent Homology Analysis on Phase Transition: Examples in an Effective QCD Model with Heavy Quarks. Universe, 9(2), 82. https://doi.org/10.3390/universe9020082

