Introduction to Charged Lepton Flavor Violation
Abstract
1. Introduction
2. CLFV in Standard Model Extensions
2.1. CLFV in Models That Generate Neutrino Mass at Tree Level
2.2. CLFV in Models That Generate Neutrino Masses at Loop Level
2.3. Two Higgs Doublet Model
2.4. CLFV in Supersymmetry
2.5. Effective Field Theory for Charged Lepton Flavor Violation
3. Experimental Review
3.1. CLFV Searches Using Muons
3.1.1.
3.1.2.
3.1.3.
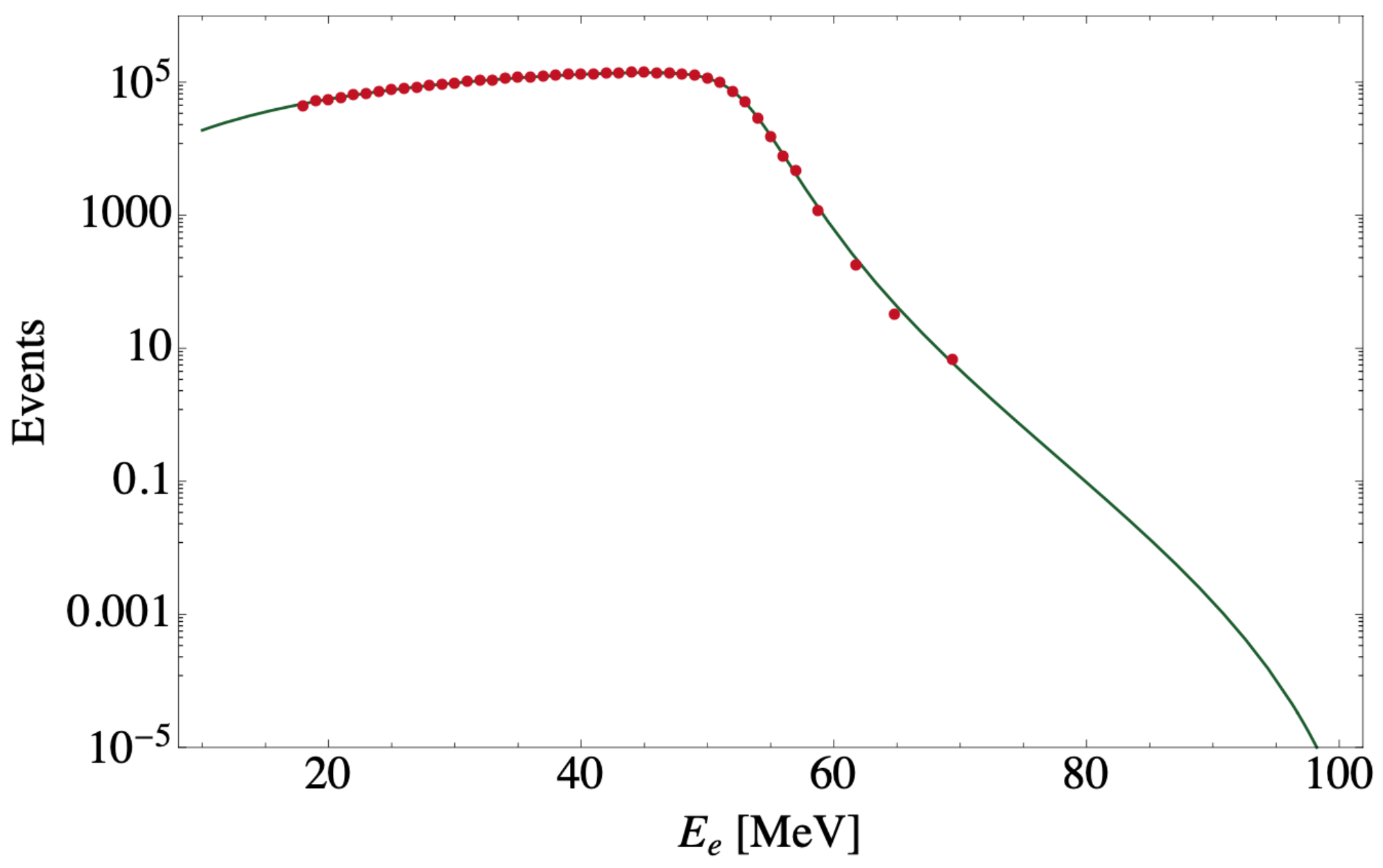
- the endpoint of the spectrum corresponds to the energy of the electrons from conversion (CE);
- the overall spectrum is falling as , where E is the DIO energy;
- about of the spectrum is within the last MeV from the endpoint.
3.1.4.
3.2. CLFV Searches Using Taus
3.2.1.
3.2.2.
4. Conclusions
Funding
Institutional Review Board Statement
Informed Consent Statement
Data Availability Statement
Acknowledgments
Conflicts of Interest
Appendix A. μ → e Conversion in Nuclei
References
- Kuno, Y.; Okada, Y. Muon decay and physics beyond the standard model. Rev. Mod. Phys. 2001, 73, 151–202. [Google Scholar] [CrossRef]
- Bernstein, R.; Cooper, P.S. Charged lepton flavor violation: An experimenter’s guide. Phys. Rep. 2013, 532, 27–64. [Google Scholar] [CrossRef]
- Calibbi, L.; Signorelli, G. Charged lepton flavour violation: An experimental and theoretical introduction. Riv. Nuovo C 2018, 41, 71–172. [Google Scholar] [CrossRef]
- Cei, F.; Nicolò, D. Lepton Flavour Violation Experiments. Adv. High Energy Phys. 2014, 2014, 532. [Google Scholar] [CrossRef]
- Lindner, M.; Platscher, M.; Queiroz, F.S. A Call for New Physics: The Muon Anomalous Magnetic Moment and Lepton Flavor Violation. Phys. Rept. 2018, 731, 1–82. [Google Scholar] [CrossRef]
- Davis, R., Jr.; Harmer, D.S.; Hoffman, K.C. Search for neutrinos from the sun. Phys. Rev. Lett. 1968, 20, 1205–1209. [Google Scholar] [CrossRef]
- Cleveland, B.T.; Daily, T.; Davis, R., Jr.; Distel, J.R.; Lande, K.; Lee, C.K.; Wildenhain, P.S.; Ullman, J. Measurement of the solar electron neutrino flux with the Homestake chlorine detector. Astrophys. J. 1998, 496, 505–526. [Google Scholar] [CrossRef]
- Abdurashitov, J.N. et al. [SAGE Collaboration] Solar neutrino flux measurements by the Soviet-American Gallium Experiment (SAGE) for half the 22 year solar cycle. J. Exp. Theor. Phys. 2002, 95, 181–193. [Google Scholar] [CrossRef]
- Hampel, W. et al. [GALLEX Collaboration] GALLEX solar neutrino observations: Results for GALLEX IV. Phys. Lett. B 1999, 447, 127–133. [Google Scholar] [CrossRef]
- Altmann, M. et al. [GNO Collaboration] Complete results for five years of GNO solar neutrino observations. Phys. Lett. B 2005, 616, 174–190. [Google Scholar] [CrossRef]
- Abdurashitov, J.N. et al. [SAGE Collaboration] Measurement of the solar neutrino capture rate with gallium metal. III: Results for the 2002–2007 data-taking period. Phys. Rev. C 2009, 80, 015807. [Google Scholar] [CrossRef]
- Bahcall, J.N.; Huebner, W.F.; Lubow, S.H.; Parker, P.D.; Ulrich, R.K. Standard solar models and the uncertainties in predicted capture rates of solar neutrinos. Rev. Mod. Phys. 1982, 54, 767–799. [Google Scholar] [CrossRef]
- Bahcall, J.N.; Serenelli, A.M.; Basu, S. New solar opacities, abundances, helioseismology, and neutrino fluxes. Astrophys. J. Lett. 2005, 621, L85–L88. [Google Scholar] [CrossRef]
- Serenelli, A.M.; Haxton, W.C.; Pena-Garay, C. Solar models with accretion. I. Application to the solar abundance problem. Astrophys. J. 2011, 743, 24. [Google Scholar] [CrossRef]
- Ahmad, Q.R. et al. [SNO Collaboration] Direct evidence for neutrino flavor transformation from neutral current interactions in the Sudbury Neutrino Observatory. Phys. Rev. Lett. 2002, 89, 011301. [Google Scholar] [CrossRef] [PubMed]
- Fukuda, Y.; Hayakawa, T.; Ichihara, E.; Inoue, K.; Ishihara, K.; Ishino, H. Evidence for oscillation of atmospheric neutrinos. Phys. Rev. Lett. 1998, 81, 1562–1567. [Google Scholar] [CrossRef]
- Eguchi, K. et al. [KamLAND Collaboration] First results from KamLAND: Evidence for reactor anti-neutrino disappearance. Phys. Rev. Lett. 2003, 90, 021802. [Google Scholar] [CrossRef]
- Arpesella, C. et al. [Borexino Collaboration] First real time detection of Be-7 solar neutrinos by Borexino. Phys. Lett. B 2008, 658, 101–108. [Google Scholar] [CrossRef]
- Adamson, P. et al. [MINOS Collaboration] Measurement of Neutrino and Antineutrino Oscillations Using Beam and Atmospheric Data in MINOS. Phys. Rev. Lett. 2013, 110, 251801. [Google Scholar] [CrossRef]
- Maki, Z.; Nakagawa, M.; Sakata, S. Remarks on the unified model of elementary particles. Prog. Theor. Phys. 1962, 28, 870–880. [Google Scholar] [CrossRef]
- Pontecorvo, B. Inverse beta processes and nonconservation of lepton charge. Zh. Eksp. Teor. Fiz. 1957, 34, 247. [Google Scholar]
- de Salas, P.F.; Forero, D.V.; Gariazzo, S.; Martínez-Miravé, P.; Mena, O.; Ternes, C.A.; Tórtola, M.; Valle, J.W.F. 2020 global reassessment of the neutrino oscillation picture. J. High Energy Phys. 2021, 2, 71. [Google Scholar] [CrossRef]
- Aghanim, N. et al. [Planck Collaboration] Planck 2018 results. VI. Cosmological parameters. Astron. Astrophys. 2020, 641, A6, Erratum: Astron. Astrophys. 2021, 652, C4. [Google Scholar] [CrossRef]
- Peskin, M.E.; Schroeder, D.V. An Introduction to Quantum Field Theory; Addison-Wesley: Reading, PA, USA, 1995. [Google Scholar]
- Glashow, S.L.; Iliopoulos, J.; Maiani, L. Weak Interactions with Lepton-Hadron Symmetry. Phys. Rev. D 1970, 2, 1285–1292. [Google Scholar] [CrossRef]
- Cheng, T.P.; Li, L.F. Gauge Theory of Elementary Particle Physics; Oxford University Press: Oxford, UK, 1984. [Google Scholar]
- Petcov, S.T. The Processes μ→e+γ,μ→e+e¯,ν′→ν+γ in the Weinberg-Salam Model with Neutrino Mixing. Sov. J. Nucl. Phys. 1977, 25, 340. [Google Scholar]
- Bilenky, S.M.; Petcov, S.T.; Pontecorvo, B. Lepton Mixing, mu –> e + gamma Decay and Neutrino Oscillations. Phys. Lett. B 1977, 67, 309. [Google Scholar] [CrossRef]
- Marciano, W.J.; Sanda, A.I. Exotic Decays of the Muon and Heavy Leptons in Gauge Theories. Phys. Lett. B 1977, 67, 303–305. [Google Scholar] [CrossRef]
- Lee, B.W.; Pakvasa, S.; Shrock, R.E.; Sugawara, H. Muon and Electron Number Nonconservation in a V-A Gauge Model. Phys. Rev. Lett. 1977, 38, 937, Erratum: Phys. Rev. Lett. 1977, 38, 1230. [Google Scholar] [CrossRef]
- Lee, B.W.; Shrock, R.E. Natural Suppression of Symmetry Violation in Gauge Theories: Muon-Lepton and Electron Lepton Number Nonconservation. Phys. Rev. D 1977, 16, 1444. [Google Scholar] [CrossRef]
- Denner, A.; Eck, H.; Hahn, O.; Kublbeck, J. Feynman rules for fermion number violating interactions. Nucl. Phys. B 1992, 387, 467–481. [Google Scholar] [CrossRef]
- Grimus, W.; Lavoura, L. The Seesaw mechanism at arbitrary order: Disentangling the small scale from the large scale. J. High Energy Phys. 2000, 11, 042. [Google Scholar] [CrossRef]
- Minkowski, P. μ→eγ at a Rate of One Out of 109 Muon Decays? Phys. Lett. B 1977, 67, 421–428. [Google Scholar] [CrossRef]
- Antusch, S.; Biggio, C.; Fernandez-Martinez, E.; Gavela, M.B.; Lopez-Pavon, J. Unitarity of the Leptonic Mixing Matrix. J. High Energy Phys. 2006, 10, 084. [Google Scholar] [CrossRef]
- Xing, Z.; Zhang, D. Radiative decays of charged leptons as constraints of unitarity polygons for active-sterile neutrino mixing and CP violation. Eur. Phys. J. C 2020, 80, 1134. [Google Scholar] [CrossRef]
- Vissani, F. Do experiments suggest a hierarchy problem? Phys. Rev. D 1998, 57, 7027–7030. [Google Scholar] [CrossRef]
- Gonzalez-Garcia, M.C.; Santamaria, A.; Valle, J.W.F. Isosinglet Neutral Heavy Lepton Production in Z Decays and Neutrino Mass. Nucl. Phys. B 1990, 342, 108–126. [Google Scholar] [CrossRef]
- Gonzalez-Garcia, M.C.; Valle, J.W.F. Fast Decaying Neutrinos and Observable Flavor Violation in a New Class of Majoron Models. Phys. Lett. B 1989, 216, 360–366. [Google Scholar] [CrossRef]
- Deppisch, F.F.; Pilaftsis, A. Lepton Flavour Violation and theta(13) in Minimal Resonant Leptogenesis. Phys. Rev. D 2011, 83, 076007. [Google Scholar] [CrossRef]
- Ibarra, A.; Molinaro, E.; Petcov, S.T. Low Energy Signatures of the TeV Scale See-Saw Mechanism. Phys. Rev. D 2011, 84, 013005. [Google Scholar] [CrossRef]
- Dinh, D.N.; Petcov, S.T. Lepton Flavor Violating τ Decays in TeV Scale Type I See-Saw and Higgs Triplet Models. J. High Energy Phys. 2013, 9, 86. [Google Scholar] [CrossRef]
- Abada, A.; Biggio, C.; Bonnet, F.; Gavela, M.B.; Hambye, T. Low energy effects of neutrino masses. J. High Energy Phys. 2007, 12, 61. [Google Scholar] [CrossRef]
- Zhang, D.; Zhou, S. Complete one-loop matching of the type-I seesaw model onto the Standard Model effective field theory. J. High Energy Phys. 2021, 9, 163. [Google Scholar] [CrossRef]
- Li, X.; Zhang, D.; Zhou, S. One-loop matching of the type-II seesaw model onto the Standard Model effective field theory. J. High Energy Phys. 2022, 4, 38. [Google Scholar] [CrossRef]
- Hambye, T. CLFV and the origin of neutrino masses. Nucl. Phys. B Proc. Suppl. 2014, 248–250, 13–19. [Google Scholar] [CrossRef]
- Ma, E. Verifiable radiative seesaw mechanism of neutrino mass and dark matter. Phys. Rev. D 2006, 73, 077301. [Google Scholar] [CrossRef]
- Kubo, J.; Ma, E.; Suematsu, D. Cold Dark Matter, Radiative Neutrino Mass, μ→eγ, and Neutrinoless Double Beta Decay. Phys. Lett. B 2006, 642, 18–23. [Google Scholar] [CrossRef]
- Aristizabal Sierra, D.; Kubo, J.; Restrepo, D.; Suematsu, D.; Zapata, O. Radiative seesaw: Warm dark matter, collider and lepton flavour violating signals. Phys. Rev. D 2009, 79, 013011. [Google Scholar] [CrossRef]
- Suematsu, D.; Toma, T.; Yoshida, T. Reconciliation of CDM abundance and mu —> e gamma in a radiative seesaw model. Phys. Rev. D 2009, 79, 093004. [Google Scholar] [CrossRef]
- Toma, T.; Vicente, A. Lepton Flavor Violation in the Scotogenic Model. J. High Energy Phys. 2014, 1, 160. [Google Scholar] [CrossRef]
- Arganda, E.; Herrero, M.J. Testing supersymmetry with lepton flavor violating tau and mu decays. Phys. Rev. D 2006, 73, 055003. [Google Scholar] [CrossRef]
- Vicente, A.; Yaguna, C.E. Probing the scotogenic model with lepton flavor violating processes. J. High Energy Phys. 2015, 2, 144. [Google Scholar] [CrossRef]
- Zee, A. Quantum numbers of Majorana neutrino masses. Nucl. Phys. 1986, 264, 99–110. [Google Scholar] [CrossRef]
- Babu, K. Model of “calculable” Majorana neutrino masses. Phys. Lett. 1988, 203, 132–136. [Google Scholar] [CrossRef]
- Herrero-Garcia, J.; Nebot, M.; Rius, N.; Santamaria, A. The Zee–Babu model revisited in the light of new data. Nucl. Phys. B 2014, 885, 542–570. [Google Scholar] [CrossRef]
- Nebot, M.; Oliver, J.F.; Palao, D.; Santamaria, A. Prospects for the Zee-Babu Model at the CERN LHC and low energy experiments. Phys. Rev. D 2008, 77, 093013. [Google Scholar] [CrossRef]
- Aristizabal Sierra, D.; Hirsch, M. Experimental tests for the Babu-Zee two-loop model of Majorana neutrino masses. JHEP 2006, 12, 052. [Google Scholar] [CrossRef]
- Cai, Y.; Herrero-García, J.; Schmidt, M.A.; Vicente, A.; Volkas, R.R. From the trees to the forest: A review of radiative neutrino mass models. Front. Phys. 2017, 5, 63. [Google Scholar] [CrossRef]
- Branco, G.C.; Ferreira, P.M.; Lavoura, L.; Rebelo, M.N.; Sher, M.; Silva, J.P. Theory and phenomenology of two-Higgs-doublet models. Phys. Rep. 2012, 516, 1–102. [Google Scholar] [CrossRef]
- Davidson, S.; Haber, H.E. Basis-independent methods for the two-Higgs-doublet model. Phys. Rev. D 2005, 72, 035004, Erratum: Phys. Rev. D 2005, 72, 099902. [Google Scholar] [CrossRef]
- Davidson, S. μ→eγ in the 2HDM: An exercise in EFT. Eur. Phys. J. C 2016, 76, 258. [Google Scholar] [CrossRef]
- Aaboud, M. et al. [ATLAS Collaboration] Cross-section measurements of the Higgs boson decaying into a pair of τ-leptons in proton-proton collisions at = 13 TeV with the ATLAS detector. Phys. Rev. D 2019, 99, 072001. [Google Scholar] [CrossRef]
- Sirunyan, A.M. et al. [The CMS Collaboration] Observation of the Higgs boson decay to a pair of τ leptons with the CMS detector. Phys. Lett. B 2018, 779, 283–316. [Google Scholar] [CrossRef]
- Gunion, J.F.; Haber, H.E. The CP conserving two Higgs doublet model: The Approach to the decoupling limit. Phys. Rev. D 2003, 67, 075019. [Google Scholar] [CrossRef]
- Diaz-Cruz, J.L.; Toscano, J.J. Lepton flavor violating decays of Higgs bosons beyond the standard model. Phys. Rev. D 2000, 62, 116005. [Google Scholar] [CrossRef]
- Kanemura, S.; Ota, T.; Tsumura, K. Lepton flavor violation in Higgs boson decays under the rare tau decay results. Phys. Rev. D 2006, 73, 016006. [Google Scholar] [CrossRef]
- Search for the decays of the Higgs boson H→ee and H→eμ in pp collisions at = 13 TeV with the ATLAS detector. arXiv 2019, arXiv:1909.10235.
- Sirunyan, A.M. et al. [CMS Collaboration] Search for lepton-flavor violating decays of the Higgs boson in the μτ and eτ final states in proton-proton collisions at = 13TeV. Phys. Rev. D 2021, 104, 032013. [Google Scholar] [CrossRef]
- Bjorken, J.D.; Weinberg, S. A Mechanism for Nonconservation of Muon Number. Phys. Rev. Lett. 1977, 38, 622. [Google Scholar] [CrossRef]
- Diaz, R.; Martinez, R.; Rodriguez, J.A. Lepton flavor violation in the two Higgs doublet model type III. Phys. Rev. D 2001, 63, 095007. [Google Scholar] [CrossRef]
- Diaz, R.A.; Martinez, R.; Rodriguez, J.A. Phenomenology of lepton flavor violation in 2HDM(3) from (g-2)(mu) and leptonic decays. Phys. Rev. D 2003, 67, 075011. [Google Scholar] [CrossRef]
- Chang, D.; Hou, W.S.; Keung, W.Y. Two loop contributions of flavor changing neutral Higgs bosons to mu —> e gamma. Phys. Rev. D 1993, 48, 217–224. [Google Scholar] [CrossRef] [PubMed]
- Paradisi, P. Higgs-mediated e —> mu transitions in II Higgs doublet model and supersymmetry. J. High Energy Phys. 2006, 8, 47. [Google Scholar] [CrossRef][Green Version]
- Harnik, R.; Kopp, J.; Zupan, J. Flavor Violating Higgs Decays. J. High Energy Phys. 2013, 3, 26. [Google Scholar] [CrossRef]
- Cheng, T.P.; Sher, M. Mass-matrix ansatz and flavor nonconservation in models with multiple Higgs doublets. Phys. Rev. D 1987, 35, 3484–3491. [Google Scholar] [CrossRef] [PubMed]
- Martin, S.P. A Supersymmetry primer. Adv. Ser. Direct. High Energy Phys. 1998, 18, 1–98. [Google Scholar] [CrossRef]
- Weinberg, S. The Quantum Theory of Fields; Cambridge University Press: Cambridge, UK, 2013; Volume 3. [Google Scholar]
- Bilal, A. Introduction to supersymmetry. arXiv 2001, arXiv:hep-th/0101055. [Google Scholar]
- Coleman, S.; Mandula, J. All Possible Symmetries of the S Matrix. Phys. Rev. 1967, 159, 1251–1256. [Google Scholar] [CrossRef]
- Haag, R.; Łopuszański, J.T.; Sohnius, M. All possible generators of supersymmetries of the S-matrix. Nucl. Phys. B 1975, 88, 257–274. [Google Scholar] [CrossRef]
- Search for Squarks and Gluinos in Final States with Jets and Missing Transverse Momentum Using 36 fb−1 of = 13 TeV pp Collision Data with the ATLAS Detector; Technical Report; CERN: Geneva, Switzerland, 2017; Available online: https://atlas.web.cern.ch/Atlas/GROUPS/PHYSICS/CONFNOTES/ATLAS-CONF-2017-022 (accessed on 23 December 2021).
- Sirunyan, A.M. et al. [CMS Collaboration] Search for new phenomena with the MT2 variable in the all-hadronic final state produced in proton–proton collisions at = 13 TeV. Eur. Phys. J. C 2017, 77, 710. [Google Scholar] [CrossRef]
- Aaboud, M.; Aad, G.; Abbott, B.; Abeloos, B.; Abidi, S.H.; AbouZeid, O.S.; Abraham, N.L.; Abramowicz, H.; Abreu, H.; Abreu, R.; et al. Search for a scalar partner of the top quark in the jets plus missing transverse momentum final state at = 13 TeV with the ATLAS detector. J. High Energy Phys. 2017, 12, 085. [Google Scholar] [CrossRef]
- Chamseddine, A.H.; Arnowitt, R.; Nath, P. Locally Supersymmetric Grand Unification. Phys. Rev. Lett. 1982, 49, 970–974. [Google Scholar] [CrossRef]
- Barbieri, R.; Ferrara, S.; Savoy, C.A. Gauge models with spontaneously broken local supersymmetry. Phys. Lett. B 1982, 119, 343–347. [Google Scholar] [CrossRef]
- Hisano, J.; Moroi, T.; Tobe, K.; Yamaguchi, M. Exact event rates of lepton flavor violating processes in supersymmetric SU(5) model. Phys. Lett. B 1997, 391, 341–350, Erratum in Phys. Lett. B 1997, 397, 357. [Google Scholar] [CrossRef][Green Version]
- Barbieri, R.; Hall, L.J.; Strumia, A. Violations of lepton flavor and CP in supersymmetric unified theories. Nucl. Phys. 1995, 445, 219–251. [Google Scholar] [CrossRef]
- Sirunyan, A.M. et al. [CMS] Search for electroweak production of charginos and neutralinos in multilepton final states in proton-proton collisions at = 13 TeV. J. High Energy Phys. 2018, 166. [Google Scholar] [CrossRef]
- Hisano, J.; Moroi, T.; Tobe, K.; Yamaguchi, M. Lepton-flavor violation via right-handed neutrino Yukawa couplings in the supersymmetric standard model. Phys. Rev. D 1996, 53, 2442–2459. [Google Scholar] [CrossRef]
- Hisano, J.; Nomura, D. Solar and atmospheric neutrino oscillations and lepton flavor violation in supersymmetric models with the right-handed neutrinos. Phys. Rev. D 1999, 59, 116005. [Google Scholar] [CrossRef]
- Ellis, J.R.; Gomez, M.E.; Leontaris, G.K.; Lola, S.; Nanopoulos, D.V. Charged lepton flavor violation in the light of the Super-Kamiokande data. Eur. Phys. J. C 2000, 14, 319–334. [Google Scholar] [CrossRef][Green Version]
- Casas, J.A.; Ibarra, A. Oscillating neutrinos and μ→e,γ. Nucl. Phys. B 2001, 618, 171–204. [Google Scholar] [CrossRef]
- Calibbi, L.; Faccia, A.; Masiero, A.; Vempati, S.K. Lepton flavour violation from SUSY-GUTs: Where do we stand for MEG, PRISM/PRIME and a super flavour factory. Phys. Rev. D 2006, 74, 116002. [Google Scholar] [CrossRef]
- Calibbi, L.; Chowdhury, D.; Masiero, A.; Patel, K.M.; Vempati, S.K. Status of supersymmetric type-I seesaw in SO(10) inspired models. J. High Energy Phys. 2012, 11, 40. [Google Scholar] [CrossRef]
- Hirsch, M.; Joaquim, F.R.; Vicente, A. Constrained SUSY seesaws with a 125 GeV Higgs. J. High Energy Phys. 2012, 11, 105. [Google Scholar] [CrossRef]
- Evans, J.L.; Kadota, K.; Kuwahara, T. Revisiting Flavor and CP Violation in Supersymmetric SU(5) with Right-Handed Neutrinos. Phys. Rev. D 2018, 98, 075030. [Google Scholar] [CrossRef]
- Hirao, K.; Moroi, T. Leptonic CP and flavor violations in SUSY GUT with right-handed neutrinos. Phys. Rev. D 2021, 104, 035038. [Google Scholar] [CrossRef]
- Davidson, S.; Ibarra, A. Determining seesaw parameters from weak scale measurements? J. High Energy Phys. 2001, 9, 13. [Google Scholar] [CrossRef][Green Version]
- Masina, I.; Savoy, C.A. On power and complementarity of the experimental constraints on seesaw models. Phys. Rev. D 2005, 71, 093003. [Google Scholar] [CrossRef]
- Baldini, A.M.; Bao, Y.; Baracchini, E.; Bemporad, C.; Berg, F.; Biasotti, M.; Boca, G.; Cascella, M.; Cattaneo, P.W.; Cavoto, G.; et al. Search for the Lepton Flavour Violating Decay μ+→e+γ with the Full Dataset of the MEG Experiment. Eur. Phys. J. 2016, 76, 434. [Google Scholar]
- Baldini, A.M.; Baranov, V.; Biasotti, M.; Boca, G.; Cattaneo, P.W.; Cavoto, G.; Cei, F.; Chiappini, M.; Chiarello, G.; Corvaglia, A.; et al. The Search for μ+→e+γ with 10−14 Sensitivity: The Upgrade of the MEG Experiment. Symmetry 2021, 13, 1591. [Google Scholar] [CrossRef]
- Kou, E.; Urquijo, P.; Altmannshofer, W.; Beaujean, F.; Bell, G.; Beneke, M.; Branchini, P. The Belle II Physics Book. Prog. Theor. Exp. Phys. 2019, 2019, 123C01. [Google Scholar] [CrossRef]
- Calibbi, L.; Galon, I.; Masiero, A.; Paradisi, P.; Shadmi, Y. Charged Slepton Flavor post the 8 TeV LHC: A Simplified Model Analysis of Low-Energy Constraints and LHC SUSY Searches. J. High Energy Phys. 2015, 10, 043. [Google Scholar] [CrossRef]
- Ibáñez, L.E.; Ross, G.G. Discrete gauge symmetries and the origin of baryon and lepton number conservation in supersymmetric versions of the standard model. Nucl. Phys. B 1992, 368, 3–37. [Google Scholar] [CrossRef]
- Barbier, R.; Bérat, C.; Besançon, M.; Chemtob, M.; Deandrea, A.; Dudas, E.; Sirois, Y. R-parity violating supersymmetry. Phys. Rep. 2005, 420, 1–202. [Google Scholar] [CrossRef]
- Ambrose, D.; Arroyo, C.; Bachman, M.; Connor, D.; Eckhause, M.; Graessle, S.; Hancock, A.D.; Hartman, K.; Hebert, M.; Hoff, C.H.; et al. New Limit on Muon and Electron Lepton Number Violation from →μ±e∓ Decay. Phys. Rev. Lett. 1998, 81, 5734–5737. [Google Scholar] [CrossRef]
- Choudhury, D.; Roy, P. New constraints on lepton nonconserving R-parity violating couplings. Phys. Lett. B 1996, 378, 153–158. [Google Scholar] [CrossRef]
- Arndt, K.; Augustin, H.; Baesso, P.; Berger, N.; Berg, F.; Betancourt, C.; Bortoletto, D.; Bravar, A.; Briggl, K.; vom Bruch, D.; et al. Technical design of the phase I Mu3e experiment. Nucl. Inst. Methods Phys. Res. Sect. Accel. Spectrometers Detect. Assoc. Equip. 2021, 1014, 165679. [Google Scholar] [CrossRef]
- Berger, N. et al [Mu3e Collaboration]. The Mu3e experiment. SciPost Phys. Proc. 2021, 5, 20. [Google Scholar] [CrossRef]
- de Gouvea, A.; Lola, S.; Tobe, K. Lepton flavor violation in supersymmetric models with trilinear R-parity violation. Phys. Rev. D 2001, 63, 035004. [Google Scholar] [CrossRef]
- Chaichian, M.; Huitu, K. Constraints on R-parity violating interactions from μ→eγ. Phys. Lett. B 1996, 384, 157–160. [Google Scholar] [CrossRef][Green Version]
- Tahir, F.; Sadiq, M.; Anwar Mughal, M.; Ahmed, K. Bounds on R-parity violating SUSY Yukawa couplings from semileptonic decays of baryons. Phys. Lett. B 1998, 439, 316–318. [Google Scholar] [CrossRef][Green Version]
- Huitu, K.; Maalampi, J.; Raidal, M.; Santamaria, A. New constraints on R-parity violation from mu e conversion in nuclei. Phys. Lett. B 1998, 430, 355–362. [Google Scholar] [CrossRef]
- Dreiner, H.K.; Nickel, K.; Staub, F.; Vicente, A. New bounds on trilinear R-parity violation from lepton flavor violating observables. Phys. Rev. D 2012, 86, 015003. [Google Scholar] [CrossRef]
- Dreiner, H.K.; Kramer, M.; O’Leary, B. Bounds on R-parity violating supersymmetric couplings from leptonic and semi-leptonic meson decays. Phys. Rev. D 2007, 75, 114016. [Google Scholar] [CrossRef]
- Georgi, H. Effective Field Theory. Annu. Rev. Nucl. Part. Sci. 1993, 43, 209–252. [Google Scholar] [CrossRef]
- Davidson, S.; Gambino, P.; Laine, M.; Neubert, M.; Salomon, C. Lecture Notes of the Les Houches Summer School. In Proceedings of the Les Houches Summer School: EFT in Particle Physics and Cosmology, Les Houches, France, 3–28 July 2017; Oxford University Press: Oxford, UK, 2020; Volume 108. [Google Scholar] [CrossRef]
- Davidson, S. Completeness and complementarity for μ→eγμ→ee¯e and μA→eA. J. High Energy Phys. 2021, 2, 172. [Google Scholar] [CrossRef]
- Crivellin, A.; Davidson, S.; Pruna, G.M.; Signer, A. Renormalisation-group improved analysis of μ→e processes in a systematic effective-field-theory approach. J. High Energy Phys. 2017, 05, 117. [Google Scholar] [CrossRef]
- Cirigliano, V.; Davidson, S.; Kuno, Y. Spin-dependent μ→e conversion. Phys. Lett. B 2017, 771, 242–246. [Google Scholar] [CrossRef]
- Davidson, S.; Kuno, Y.; Saporta, A. “Spin-dependent” μ→e conversion on light nuclei. Eur. Phys. J. C 2018, 78, 109. [Google Scholar] [CrossRef]
- Davidson, S.; Kuno, Y.; Uesaka, Y.; Yamanaka, M. Probing μeγγ contact interactions with μ→e conversion. Phys. Rev. D 2020, 102, 115043. [Google Scholar] [CrossRef]
- Hoferichter, M.; Menéndez, J.; Noël, F. Improved limits on lepton-flavor-violating decays of light pseudoscalars via spin-dependent μ→e conversion in nuclei. arXiv 2022, arXiv:2204.06005. [Google Scholar]
- Davidson, S.; Kuno, Y.; Yamanaka, M. Selecting μ→e conversion targets to distinguish lepton flavour-changing operators. Phys. Lett. B 2019, 790, 380–388. [Google Scholar] [CrossRef]
- Davidson, S.; Saporta, A. Constraints on 2ℓ2q operators from μ-e flavour-changing meson decays. Phys. Rev. D 2019, 99, 015032. [Google Scholar] [CrossRef]
- Husek, T.; Monsalvez-Pozo, K.; Portoles, J. Lepton-flavour violation in hadronic tau decays and μ-τ conversion in nuclei. J. High Energy Phys. 2021, 1, 59. [Google Scholar] [CrossRef]
- Grzadkowski, B.; Iskrzynski, M.; Misiak, M.; Rosiek, J. Dimension-Six Terms in the Standard Model Lagrangian. J. High Energy Phys. 2010, 10, 85. [Google Scholar] [CrossRef]
- Lehman, L. Extending the Standard Model Effective Field Theory with the Complete Set of Dimension-7 Operators. Phys. Rev. D 2014, 90, 125023. [Google Scholar] [CrossRef]
- Murphy, C.W. Dimension-8 operators in the Standard Model Eective Field Theory. J. High Energy Phys. 2020, 10, 174. [Google Scholar] [CrossRef]
- Li, H.L.; Ren, Z.; Shu, J.; Xiao, M.L.; Yu, J.H.; Zheng, Y.H. Complete set of dimension-eight operators in the standard model effective field theory. Phys. Rev. D 2021, 104, 015026. [Google Scholar] [CrossRef]
- Jenkins, E.E.; Manohar, A.V.; Trott, M. Renormalization Group Evolution of the Standard Model Dimension Six Operators I: Formalism and lambda Dependence. J. High Energy Phys. 2013, 10, 87. [Google Scholar] [CrossRef]
- Jenkins, E.E.; Manohar, A.V.; Trott, M. Renormalization Group Evolution of the Standard Model Dimension Six Operators II: Yukawa Dependence. J. High Energy Phys. 2014, 1, 35. [Google Scholar] [CrossRef]
- Alonso, R.; Jenkins, E.E.; Manohar, A.V.; Trott, M. Renormalization Group Evolution of the Standard Model Dimension Six Operators III: Gauge Coupling Dependence and Phenomenology. J. High Energy Phys. 2014, 4, 159. [Google Scholar] [CrossRef]
- Ardu, M.; Davidson, S. What is Leading Order for LFV in SMEFT? J. High Energy Phys. 2021, 2021, 1–31. [Google Scholar] [CrossRef]
- Bellgardt, U.; Otter, G.; Eichler, R.; Felawka, L.; Niebuhr, C.; Walter, H.; Bertl, W.; Lordong, N.; Martino, J.; Egli, S.; et al. Search for the decay μ+→e+e−e+. Nucl. Phys. B 1988, 299, 1–6. [Google Scholar] [CrossRef]
- Dohmen, C.; Groth, K.D. Test of lepton-flavour conservation in μ→e conversion on titanium. Phys. Lett. B 1993, 317, 631–636. [Google Scholar] [CrossRef]
- Sindrum II Collaboration. A Search for muon to electron conversion in muonic gold. Eur. Phys. J. C 2006, 47, 337. [Google Scholar] [CrossRef]
- Kaulard, J.; Dohmen, C.; Haan, H.; Honecker, W.; Junker, D.; Otter, G.; Starlinger, M.; Wintz, P.; Hofmann, J.; Bertl, W.; et al. Improved limit on the branching ratio of μ−→e+ conversion on titanium. Phys. Lett. B 1998, 422, 334–338. [Google Scholar] [CrossRef]
- Aubert, B.; Karyotakis, Y.; Lees, J.P.; Poireau, V.; Prencipe, E.; Prudent, X.; Tisserand, V.; Garra Tico, J.; Grauges, E.; Martinelli, M.; et al. Searches for Lepton Flavor Violation in the Decays τ±→e±γ and τ±→μ±γ. Phys. Rev. Lett. 2010, 104, 021802. [Google Scholar] [CrossRef]
- Hayasaka, K.; Inami, K.; Miyazaki, Y.; Arinstein, K.; Aulchenko, V.; Aushev, T.; Bakich, A.; Bay, A.; Belous, K.; Bhardwaj, V.; et al. Search for lepton-flavor-violating τ decays into three leptons with 719 million produced. Phys. Lett. B 2010, 687, 139–143. [Google Scholar] [CrossRef]
- Miyazaki, Y.; Adachi, I.; Aihara, H.; Anipko, D.; Arinstein, K.; Aulchenko, V.; Aziz, T.; Bakich, A.M.; Barberio, E.; Bay, A.; et al. Search for lepton flavor violating τ− decays into l−η, l−η′ and l−π0. Phys. Lett. B 2007, 648, 341–350. [Google Scholar] [CrossRef]
- Aubert, B.; Bona, M.; Boutigny, D.; Couderc, F.; Karyotakis, Y.; Lees, J.P.; Poireau, V.; Tisserand, V.; Zghiche, A.; Grauges, E.; et al. Search for Lepton Flavor Violating Decays τ±→l±π0,l±η,l±η′. Phys. Rev. Lett. 2007, 98, 061803. [Google Scholar] [CrossRef]
- Miyazaki, Y.; Aihara, H.; Arinstein, K.; Aulchenko, V.; Bakich, A.; Balagura, V.; Barberio, E.; Bay, A.; Belous, K.; Bhardwaj, V.; et al. Search for lepton-flavor-violating τ decays into a lepton and a vector meson. Phys. Lett. B 2011, 699, 251–257. [Google Scholar] [CrossRef][Green Version]
- Abouzaid, E. et al. [KTeV Collaboration] Search for Lepton-Flavor-Violating Decays of the Neutral Kaon. Phys. Rev. Lett. 2008, 100, 131803. [Google Scholar] [CrossRef]
- Sher, A.; Appel, R. Improved upper limit on the decay K+→π+μ+e−. Phys. Rev. D 2005, 72, 012005. [Google Scholar] [CrossRef]
- Ablikim, M.; Achasov, M.N.; Albayrak, O.; Ambrose, D.J.; An, F.F.; An, Q.; Bai, J.Z.; Ferroli, R.B.; Ban, Y.; Becker, J.; et al. Search for the lepton flavor violation process J/ψ→eμ at BESIII. Phys. Rev. D 2013, 87, 112007. [Google Scholar] [CrossRef]
- Ablikim, M.; Achasov, M.N.; Adlarson, P.; Ahmed, S.; Albrecht, M.; Aliberti, R.; Kopf, B. Search for the charged lepton flavor violating decay J/ψ→eτ. Phys. Rev. D 2021, 103, 112007. [Google Scholar] [CrossRef]
- Ablikim, M.; Bai, J.Z.; Ban, Y.; Bian, J.G.; Cai, X.; Chang, J.F.; Ye, Y.X. Search for the lepton flavor violation processes. Phys. Lett. B 2004, 598, 172–177. [Google Scholar] [CrossRef]
- Aaij, R.; Adeva, B.; Adinolfi, M.; Adrover, C.; Affolder, A.; Ajaltouni, Z.; Albrecht, J.; Alessio, F.; Alexander, M.; Ali, S.; et al. Search for the Lepton-Flavor-Violating Decays Bs0→e±μ∓ and B0→e±μ∓. Phys. Rev. Lett. 2013, 111, 78. [Google Scholar] [CrossRef] [PubMed]
- Aubert, B.; Bona, M.; Karyotakis, Y.; Lees, J.P.; Poireau, V.; Prudent, X.; Tisserand, V.; Zghiche, A.; Tico, J.G.; Grauges, E.; et al. Searches for the decays B0→l±τ∓ and B+→l+ν(l = e,μ) using hadronic tag reconstruction. Phys. Rev. D 2008, 77, 091104. [Google Scholar] [CrossRef]
- Aaij, R.; Beteta, C.A.; Adeva, B.; Adinolfi, M.; Aidala, C.A.; Ajaltouni, Z.; Coelho, J.A.B. Search for the Lepton-Flavor-Violating Decays Bs0→τ±μ∓ and B0→τ±μ∓. Phys. Rev. Lett. 2019, 123, 211801. [Google Scholar] [CrossRef]
- Aubert, B.; Barate, R.; Bona, M.; Boutigny, D.; Couderc, F.; Karyotakis, Y.; Lees, J.P.; Poireau, V.; Tisserand, V.; Zghiche, A.; et al. Measurements of branching fractions, rate asymmetries, and angular distributions in the rare decays B→Kl+l− and B→K*l+l−. Phys. Rev. D 2006, 73, 092001. [Google Scholar] [CrossRef]
- Lees, J.P.; Poireau, V.; Tisserand, V.; Garra Tico, J.; Grauges, E.; Milanes, D.A.; Palano, A.; Pappagallo, M.; Eigen, G.; Stugu, B.; et al. Search for the decay modes B±→h±τl. Phys. Rev. D 2012, 86, 012004. [Google Scholar] [CrossRef]
- Aad, G.; Abbott, B.; Abdallah, J.; Abdel Khalek, S.; Abdinov, O.; Aben, R.; Abi, B.; Abolins, M.; AbouZeid, O.; Abramowicz, H.; et al. Search for the lepton flavor violating decay Z→eμ in pp collisions at = 8 TeV with the ATLAS detector. Phys. Rev. D 2014, 90, 072010. [Google Scholar] [CrossRef]
- Akers, R.; Alexer, G.; Allison, J.; Altekamp, N.; Ametewee, K.; Anderson, K.J.; Kobel, M. A search for lepton flavour violating Z0 decays. Phys. C Part Fields 1995, 67, 555–563. [Google Scholar] [CrossRef]
- DELPHI collaboration. Search for lepton flavour number violating Z0 decays. Phys. C Part Fields 1997, 73, 243–251. [Google Scholar] [CrossRef]
- Hincks, E.P.; Pontecorvo, B. Search for Gamma-Radiation in the 2.2-Microsecond Meson Decay Process. Phys. Rev. 1948, 73, 257–258. [Google Scholar] [CrossRef]
- Prokscha, T.; Morenzoni, E.; Deiters, K.; Foroughi, F.; George, D.; Kobler, R.; Vrankovic, V. A New High-Intensity, Low-Momentum Muon Beam for the Generation of Low-Energy Muons at PSI; HFI/NQI 2004; Springer: Berlin/Heidelberg, Germany, 2005; pp. 812–815. [Google Scholar]
- Aiba, M.; Amato, A.; Antognini, A.; Ban, S.; Berger, N.; Caminada, L.; Chislett, R.; Crivelli, P.; Crivellin, A.; Maso, G.D.; et al. Science Case for the new High-Intensity Muon Beams HIMB at PSI. arXiv 2021, arXiv:2111.05788. [Google Scholar]
- Cook, S.; D’Arcy, R.; Edmonds, A.; Fukuda, M.; Hatanaka, K.; Hino, Y.; Kuno, Y.; Lancaster, M.; Mori, Y.; Ogitsu, T.; et al. Delivering the world’s most intense muon beam. Phys. Rev. Accel. Beams 2017, 20, 030101. [Google Scholar] [CrossRef]
- Bolton, R.D.; Cooper, M.D.; Frank, J.S.; Hallin, A.L.; Heusi, P.A.; Hoffman, C.M.; Hogan, G.E.; Mariam, F.G.; Matis, H.S.; Mischke, R.E.; et al. Search for rare muon decays with the Crystal Box detector. Phys. Rev. D 1988, 38, 7. [Google Scholar] [CrossRef]
- Brooks, M.L. et al. [MEGA Collaboration] New Limit for the Lepton-Family-Number Nonconserving Decay μ+→e+γ. Phys. Rev. Lett. 1999, 83, 1521–1524. [Google Scholar] [CrossRef]
- Signorelli, G. et al. [MEG Collaboration] The liquid xenon scintillation calorimeter of the meg experiment: Operation of a large prototype. In Calorimetry in Particle Physics; World Scientific: Singapore; pp. 281–286. [CrossRef]
- Bertl, W.; Egli, S.; Eichler, R.; Engfer, R.; Felawka, L.; Grab, C.; Hermes, E.; Kraus, N.; Lordong, N.; Martino, J.; et al. Search for the decay μ+→e+e−e+. Nucl. Phys. B 1985, 260, 1–31. [Google Scholar] [CrossRef]
- Augustin, H.; Berger, N.; Blattgerste, C.; Dittmeier, S.; Ehrler, F.; Grzesik, C.; Hammerich, J.; Herkert, A.; Huth, L.; Immig, D.; et al. Performance of the large scale HV-CMOS pixel sensor MuPix8. J. Instrum. 2019, 14, C10011. [Google Scholar] [CrossRef]
- Kitano, R.; Koike, M.; Okada, Y. Detailed calculation of lepton flavor violating muon electron conversion rate for various nuclei. Phys. Rev. D 2002, 66, 096002, Erratum in Phys. Rev. D 2007, 76, 059902. [Google Scholar] [CrossRef]
- Szafron, R.; Czarnecki, A. Bound muon decay spectrum in the leading logarithmic accuracy. Phys. Rev. D 2016, 94, 051301. [Google Scholar] [CrossRef]
- Grossheim, A. et al. [TWIST Collaboration] Decay of negative muons bound in 27Al. Phys. Rev. D 2009, 80, 052012. [Google Scholar] [CrossRef]
- Dzhilkibaev, R.M.; Lobashev, V.M. The solenoid muon capture system for the MELC experiment. In Beam Dynamics and Technology Issues for mu+ mu- Colliders. In Proceedings of the 9th ICFA Advanced Beam Dynamics Workshop, Aercidosso, Italy, 15–20 October 1995. [Google Scholar]
- Popp, J.L. The MECO experiment: A Search for lepton flavor violation in muonic atom. Nucl. Instrum. Meth. A 2000, 472, 354–358. [Google Scholar] [CrossRef]
- Bartoszek, L.; Barnes, E.; Miller, J.P.; Mott, J.; Palladino, A.; Quirk, J.; Tanovic, N. Mu2e Technical Design Report. arXiv 2015, arXiv:1501.05241. [Google Scholar]
- Pezzullo, G. The Mu2e Tracker. PoS 2019, ICHEP2018, 542. [Google Scholar] [CrossRef][Green Version]
- Atanov, N.; Baranov, V.; Budagov, J.; Davydov, Y.I.; Glagolev, V.; Tereshchenko, V.; Usubov, Z.; Cervelli, F.; Di Falco, S.; Donati, S.; et al. Design and Status of the Mu2e Crystal Calorimeter. IEEE Trans. Nucl. Sci. 2018, 65, 2073–2080. [Google Scholar] [CrossRef]
- Abramishvili, R.; Adamov, G.; Akhmetshin, R.R.; Allin, A.; Angélique, J.C.; Anishchik, V.; Aoki, M.; Aznabayev, D.; Bagaturia, I.; Ban, G.; et al. COMET Phase-I technical design report. Prog. Theor. Exp. Phys. 2020, 2020, 033C01. [Google Scholar] [CrossRef]
- Teshima, N. Status of the DeeMe Experiment, an Experimental Search for μ-e Conversion at J-PARC MLF. arXiv 2019, arXiv:1911.07143. [Google Scholar]
- Teshima, N.; Aoki, M.; Higashino, Y.; Ikeuchi, H.; Komukai, K.; Nagao, D.; Nakatsugawa, Y.; Natori, H.; Seiya, Y.; Truong, N.; et al. Development of a multiwire proportional chamber with good tolerance to burst hits. Nucl. Inst. Methods Phys. Res. Sect. Accel. Spectrometers Detect. Assoc. Equip. 2021, 999, 165228. [Google Scholar] [CrossRef]
- Lee, M.; MacKenzie, M. Muon to Positron Conversion. Universe 2022, 8, 227. [Google Scholar] [CrossRef]
- Auberta, B.; Baratea, R.; Boutignya, D.; Couderca, F.; del Amo Sancheza, P.; Gaillarda, J.-M.; Hicheura, A.; Karyotakisa, Y.; Leesa, J.P.; Poireau, V. The BaBar detector: Upgrades, operation and performance. Nucl. Instrum. Methods Phys. Res. Sect. Accel. Spectrom. Detect. Assoc. Equip. 2013, 729, 615–701. [Google Scholar] [CrossRef]
- Abashian, A.; Gotow, K.; Morgan, N.; Piilonen, L.; Schrenk, S.; Abe, K.; Adachi, I.; Alex, J.P.; Aoki, K.; Behari, S.; et al. The Belle detector. Nucl. Instruments Methods Phys. Res. Sect. Accel. Spectrometers Detect. Assoc. Equip. 2002, 479, 117–232. [Google Scholar] [CrossRef]
- Alves, A.A.; Filho, L.M.A.; Barbosa, A.F.; Bediaga, I.; Cernicchiaro, G.; Guerrer, G.; Lima, H.P.; Machado, A.A.; Magnin, J.; Marujo, E.; et al. The LHCb Detector at the LHC. J. Instrum. 2008, 3, S08005. [Google Scholar] [CrossRef]
- Banerjee, S.; Chrząszcz, M.; Hayasaka, K.; Hayashii, H.; Lusiani, A.; Roney, M.; Shwartz, B. HFLAV-Tau 2018 Report. 2019. Available online: https://hflav.web.cern.ch/content/tau (accessed on 23 December 2021).
- Uno, K.; Hayasaka, K.; Inami, K.; Adachi, I.; Aihara, H.; Asner, D.M.; Atmacan, H.; Aushev, T.; Ayad, R. Search for lepton-flavor-violating tau-lepton decays to lγ at Belle. J. High Energy Phys. 2021, 2021, 1–16. [Google Scholar] [CrossRef]
- Rodríguez Pérez, D. Prospects for τ Lepton Physics at Belle II. arXiv 2019, arXiv:1906.08950. [Google Scholar]
- Lees, J.P.; Poireau, V.; Prencipe, E.; Tisserand, V.; Garra Tico, J.; Grauges, E.; Martinelli, M.; Palano, A.; Pappagallo, M.; Eigen, G.; et al. Limits on τ lepton-flavor violating decays into three charged leptons. Phys. Rev. D 2010, 81, 251803. [Google Scholar] [CrossRef]
- ATLAS Collaboration. Probing lepton flavour violation via neutrinoless τ⟶3μ decays with the ATLAS detector. arXiv 2016, arXiv:1601.03567. [Google Scholar] [CrossRef]
- Aaij, R. Search for the lepton flavour violating decay τ−→μ−μ+μ−. J. High Energy Phys. 2015, 2, 121. [Google Scholar] [CrossRef]
- CMS Collaboration. Search for the lepton flavor violating decay τ→3μ in proton-proton collisions at = 13 TeV. arXiv 2021, arXiv:2007.05658. [Google Scholar] [CrossRef]
- Hoferichter, M.; Ruiz de Elvira, J.; Kubis, B.; Meißner, U.G. High-Precision Determination of the Pion-Nucleon σ Term from Roy-Steiner Equations. Phys. Rev. Lett. 2015, 115, 092301. [Google Scholar] [CrossRef]
- Junnarkar, P.; Walker-Loud, A. Scalar strange content of the nucleon from lattice QCD. Phys. Rev. D 2013, 87, 114510. [Google Scholar] [CrossRef]






















| Process | Bound |
|---|---|
| [68] | |
| [69] | |
| [69] |
| operators | |
| operators | |
| operators | |
| Process | Experiment | Limit | C.L. |
|---|---|---|---|
| MEG | [101] | 90% | |
| SINDRUM | [136] | 90% | |
| SINDRUM-II | Ti (Au) [137,138] | 90% | |
| SINDRUM-II | [139] | 90% | |
| BaBar | [140] | 90% | |
| BaBar | [140] | 90% | |
| Belle | [141] | 90% | |
| Belle | [141] | 90% | |
| Belle | [141] | 90% | |
| Belle | [141] | 90% | |
| Belle | [142] | 90% | |
| BaBar | [143] | 90% | |
| Belle | [142] | 90% | |
| Belle | [142] | 90% | |
| Belle | [144] | 90% | |
| Belle | [144] | 90% | |
| KTeV | [145] | 90% | |
| kTeV | [145] | 90% | |
| BNL E871 | [107] | 90% | |
| BNL E865 | [146] | 90% | |
| BESIII | [147] | 90% | |
| BESIII | [148] | 90% | |
| BESII | [149] | 90% | |
| LHCb | [150] | 95% | |
| BaBar | [151] | 90% | |
| LHCb | [152] | 95% | |
| BaBar | [153] | 90% | |
| BaBar | [153] | 90% | |
| BaBar | [154] | 90% | |
| BaBar | [154] | 90% | |
| LHCb | [150] | 90% | |
| LHCb | [152] | 95% | |
| ATLAS | [155] | 95% | |
| OPAL | [156] | 95% | |
| DELPHI | [157] | 95% | |
| ATLAS | [68] | 95% | |
| CMS | [69] | 95% | |
| CMS | [69] | 95% |
| MEG | 380 keV/c | 9.4 mrad | 2.4%/1.7% | 5 mm | 122 ps | 30% | 63% |
| MEG-II | 100 keV/c | 6.7 mrad | 1.7%/1.7% | 2.4 mm | 70 ps | 65% | 69% |
Publisher’s Note: MDPI stays neutral with regard to jurisdictional claims in published maps and institutional affiliations. |
© 2022 by the authors. Licensee MDPI, Basel, Switzerland. This article is an open access article distributed under the terms and conditions of the Creative Commons Attribution (CC BY) license (https://creativecommons.org/licenses/by/4.0/).
Share and Cite
Ardu, M.; Pezzullo, G. Introduction to Charged Lepton Flavor Violation. Universe 2022, 8, 299. https://doi.org/10.3390/universe8060299
Ardu M, Pezzullo G. Introduction to Charged Lepton Flavor Violation. Universe. 2022; 8(6):299. https://doi.org/10.3390/universe8060299
Chicago/Turabian StyleArdu, Marco, and Gianantonio Pezzullo. 2022. "Introduction to Charged Lepton Flavor Violation" Universe 8, no. 6: 299. https://doi.org/10.3390/universe8060299
APA StyleArdu, M., & Pezzullo, G. (2022). Introduction to Charged Lepton Flavor Violation. Universe, 8(6), 299. https://doi.org/10.3390/universe8060299

