Abstract
The possibility of radiation of high-energy gamma quanta with energies of the order of 100 GeV by ultrarelativistic electrons on nuclei in strong X-ray fields with intensities up to ∼10 was theoretically studied. It is shown that this effect can be realized under special experimental conditions in the process of resonant spontaneous bremsstrahlung radiation of ultrarelativistic electrons on nuclei in an external electromagnetic field. These special experimental conditions determine the characteristic energy of the electrons. This characteristic energy should be significantly less than the energy of the initial electrons. Under these conditions, spontaneous gamma quanta are emitted in a narrow cone with energies close to the energy of the initial electrons. Moreover, the resonant differential cross-sections of such processes can exceed the corresponding differential cross-section without an external field by twenty orders of magnitude. The results obtained can explain the occurrence of high-energy gamma quanta near pulsars and magnetars.
1. Introduction
Astroparticle physics has been attracting attention for a long time (see, for example, articles [1,2,3,4]). At the same time, the processes of quantum electrodynamics (QED) in X-ray fields near pulsars and magnetars are intensively studied [5,6]. We also note a fairly large number of articles on QED processes in strong electromagnetic fields (see, for example, articles [7,8,9,10,11,12,13,14,15,16,17,18,19,20,21,22,23,24,25,26,27,28,29,30,31,32,33,34,35,36,37,38,39,40,41,42]). It is important to emphasize that higher-order QED processes with respect to the fine structure constant in an electromagnetic field can proceed both in a resonant and non-resonant way. Here, the so-called Oleinik resonances may occur [7,8], due to the fact that lower-order processes are allowed in the laser field by the fine structure constant. It is important to note that the resonant differential cross-section can significantly exceed the corresponding non-resonant one [19,20,21,22,26,34,35,36].
Resonant spontaneous bremsstrahlung (SB) radiation of ultrarelativistic electrons by nuclei in an electromagnetic field was studied in articles [22,34,35]. In the article of [22], this process was considered in a strong electromagnetic field of optical frequencies; however, these articles did not study the case of strong fields of the X-ray frequency range, when spontaneous gamma quanta are emitted with energies close to the energies of the initial electrons. It is this, the most interesting case, that is considered in this article.
We studied the resonance SB process for high-energy particles when the basic classical parameter satisfies the relation
Here e and m are the charge and mass of the electron, F and are the electric field strength and wavelength, is the frequency of the wave, and and are the energy of the initial and final electrons.
In the article of [22], it was shown that the resonant frequency of a spontaneous gamma quantum is determined by its outgoing angle relative to the initial electron momentum of the (for channel A, see Figure 1A) or the final electron momentum (for channel B, see Figure 1B), as well as the quantum parameter
Figure 1.
Resonant spontaneous bremsstrahlung of an electron in the field of a nucleus and a plane electromagnetic wave. Reaction channels (A,B).
Here the parameter is numerically equal to the ratio of the number of absorbed photons of the wave in the laser-stimulated Compton process to the characteristic quantum parameter , which is determined by the experimental conditions and the laser installation.
where is the angle between the momentum of the initial electron and the direction of wave propagation. It can be seen from expression (3) that the value of the characteristic parameter is inversely proportional to the photon energy of the wave and the energy of the initial electrons , and is also directly proportional to the intensity of the wave . It is important to note that the value of the parameter significantly affects the resonant frequency of the spontaneous gamma quantum. So, for the resonant frequency is much less than the energy of the initial electron . If a parameter , then the resonant frequency is of the same order with the energy of the initial electron . If condition is met, then the resonant frequency will be close to the energy of the initial electron . At the same time, for a fixed value of the parameter , the processes with a small number of absorbed photons of the wave have the largest resonant cross-section. As the number of absorbed photons of the wave increases , the resonant cross-section decreases rapidly. It is important to emphasize that the production of high-energy spontaneous gamma quanta is possible only under the condition
The fulfillment of condition (4) is possible in two areas of variation of the quantum parameter (3). Thus, for , condition (4) is fulfilled only for a large number of absorbed photons of the wave , when the probability of these processes is significantly less than the probability of the emission of low-energy spontaneous gamma quanta. This case was studied in detail in [22]. On the other hand, when
the fulfillment of condition (4) already takes place for a small number of absorbed photons of the wave , when the probability of these processes will be the maximum. This case was not considered.
In this paper, we study the case of radiation of narrow high-energy gamma-ray beams under appropriate experimental conditions for a quantum parameter (5).
We use the relativistic system of units: .
2. Resonant Frequency in a Strong Field
Oleinik resonances occur when an intermediate electron in the electromagnetic wave field enters the mass shell [22,34,35]. Because of this, for channels A and B, we obtain:
Here and are the 4-quasimomenta of intermediate electrons for channels A and B, is the effective mass of the electron in the plane wave field
In expressions (6)–(8) and are the 4-momenta of the external field photon and spontaneous gamma quantum.
We studied the most interesting case of ultrarelativistic electron energies, when the spontaneous gamma quantum and the final electron fly out in a narrow cone along the momentum of the initial electron. In this case, the direction of the propagation of the wave lies far from the given narrow cone of particles (if the direction of propagation of the wave lies inside the narrow cone of particles, then the resonances disappear.
In this paper, we consider the energies of the initial electrons and also in a wide range of photon energies of an electromagnetic wave . At the same time, we consider the intensities of the electromagnetic wave to be significantly less than the critical intensities of the Schwinger .
We determine the resonant frequency of the spontaneous gamma quantum for channel A (see Figure 1A).
We take into account the relations (10)–(12) in the resonant condition (6). After simple calculations, we obtain
Here it is indicated:
It can be seen from expression (13) that the resonant frequency of a spontaneous gamma quantum is determined by the outgoing angle (ultrarelativistic parameter ), as well as the quantum parameter (2), (3). Note that the resonant radiation spectrum (13) is essentially discrete, since each value of the number of absorbed laser photons corresponds to its own resonant frequency of the spontaneous gamma quantum: (13). The resonance spectrum of spontaneous radiation in the region was studied in detail in the article [22].
Here we study the case when the quantum characteristic parameter satisfies condition (5). Under these conditions, the parameter will satisfy condition (4). As a result, for not very large outgoing angles for channel A the resonant frequency of the spontaneous gamma quantum (13) will be close to the energy of the initial electron
Thus, in this case, with a small number of absorbed photons of the wave, the resonant spontaneous gamma quanta of the maximum frequency are emitted. The condition (5) can be rewritten for the energies of the initial electrons
Then, for the characteristic energy when the electron beam moves towards the electromagnetic wave and different frequencies and intensities of the wave, we obtain:
Consequently, for electron energies satisfying conditions (16), (17) resonant spontaneous gamma quanta will be emitted with energies close to the energies of the initial electrons (15).
We obtain the equation for the resonant frequency of the spontaneous gamma quantum in the case of channel B (see Figure 1B). Given the kinematics Equations (10)–(12), from the expression (7) we obtain:
Here it is indicated
A detailed study of Equation (18) for the case was carried out in [22]. Here, we study the case when the quantum characteristic parameter satisfies condition (5). Under these conditions, the parameter will satisfy condition (4). As a result, for not very large outgoing angles , from Equation (18), it is easy to obtain the resonant frequency of a spontaneous gamma quantum for channel B
3. The Maximum Resonant Differential SB Cross-Sections
A general relativistic expression for a resonant differential cross-section with simultaneous registration of the outgoing angle and frequency of the spontaneous gamma quantum for channels A and B was obtained in the article [22]. This expression has been studied in detail in the range of quantum parameter values ; however, the most interesting area of these parameter values has not been studied (5).
Note that the probability of a resonant differential cross-section of spontaneous bremsstrahlung is obtained from the corresponding amplitude of the process in a standard way. At the same time, the corresponding probability of the process is multiplied by the concentration of nuclei . When a resonant differential cross-section is obtained, the corresponding probability of the process is divided by the flux . Because of this, the resonant cross-section does not depend on the concentration of nuclei [43].
Taking into account the parameters of the electromagnetic wave (5) and the energies of the initial electrons (16), as well as expressions for the resonant frequencies (15) and (20), we obtain expressions for the maximum resonant differential cross-section for channels A and B:
Here, is the fine structure constant, Z is the charge of the nucleus, is the classical radius of the electron, the and functions determine the spectral-angular distribution of the resonant SB cross-section for channels A and B:
and is the coefficient, which is determined by the parameters of the laser installation
The function in expression (25) is determined by the resonance width (the full probability of the Compton effect stimulated by the electromagnetic field) and has the form [31]:
In expressions (23) and (24), functions and are obtained from ratios (28), (29) by corresponding substitutions: and (26). The functions determine the square of the momentum transmitted to the nucleus, taking into account the relativistic corrections of the order for channels A and B. So, for channel A, we obtain:
4. Results
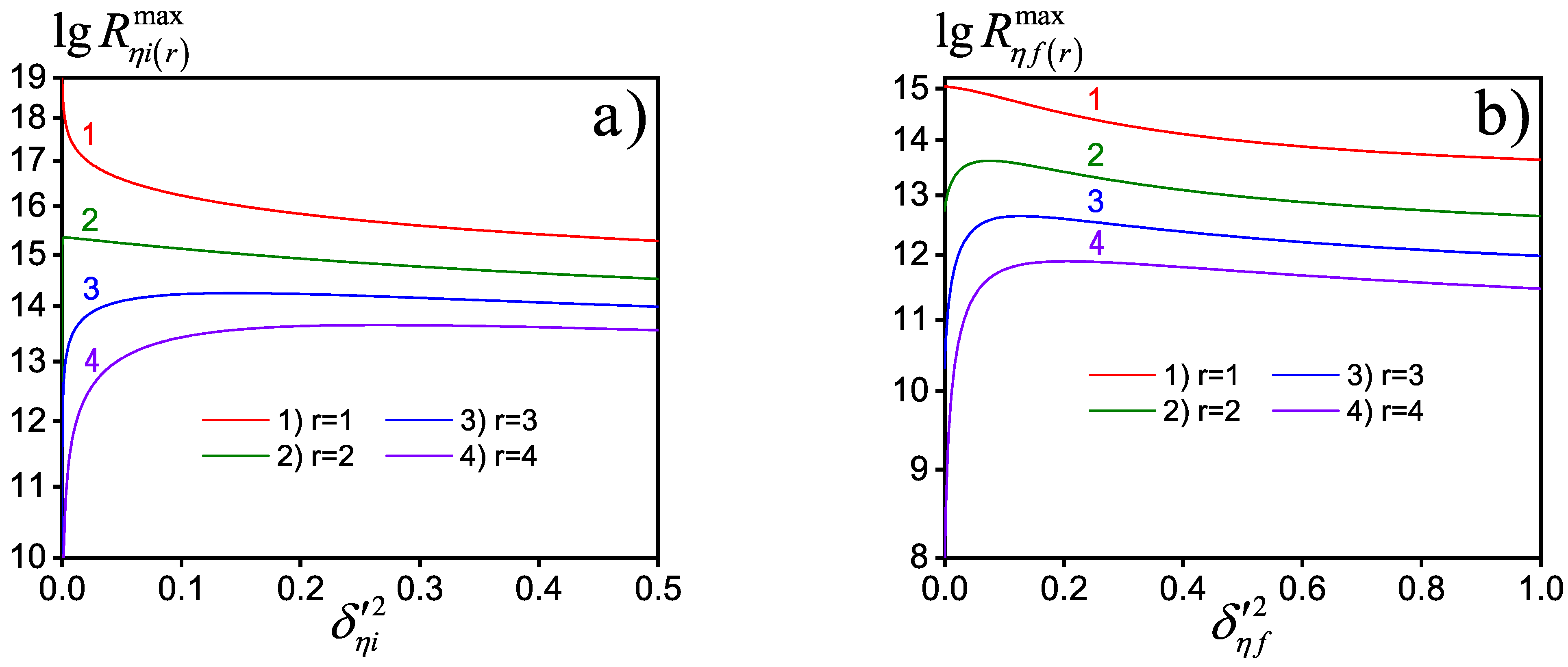
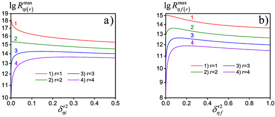
Figure 2 and Figure 3 show the distributions of the maximum resonant differential cross-section for channels A (21) and B (22) from the value of the square of the outgoing angle of the spontaneous gamma quantum with a different number of absorbed photons of the wave.
Figure 2.
The maximum resonant differential cross-section (in units of ) as functions of the corresponding outgoing angles, plotted for the different values of absorbed wave photons. (a) (21) for channel A. (b) (22) for channel B. The frequency and intensity of the electromagnetic wave are and . The energy of the initial electrons is .
Figure 3.
The maximum resonant differential cross-section (in units of ) as functions of the corresponding outgoing angles, plotted for the different values of absorbed wave photons. (a) (21) for channel A. (b) (22) for channel B. The frequency and intensity of the electromagnetic wave are and . The energy of the initial electrons is .
These figures differ in the frequencies and intensities of the electromagnetic wave . Table 1 and Table 2 show the values of the resonant differential cross-sections, energies and outgoing angles of the spontaneous gamma quantum, as well as the energies of the final electron in the maximum of the corresponding distributions, corresponding to Figure 2 and Figure 3. It can be seen from Figure 2 and Figure 3 that at fixed frequency and intensity of the wave, the maximum value of the resonant section occurs at one absorbed photon of the wave for the zero outgoing angle and can be of the order of magnitude . With an increase in the number of absorbed photons of the wave, the magnitude of the maximum resonant cross-section decreases quite quickly, while still taking large values. At the same time, the position of the maxima in the corresponding distributions of resonant cross-sections shifts towards large values of the outgoing angles of the spontaneous gamma quantum, and the energy of the spontaneous gamma quantum tends more and more to the energy of the initial electrons (see also Table 1 and Table 2). Further, note that channel B is suppressed relative to channel A (34).
Table 1.
The values of the resonant frequency and the square of the outgoing angle of the spontaneous gamma quantum for the maximum value of the maximum resonant differential cross-section (see Figure 2). The frequency and intensity of the electromagnetic wave are and . The energy of the initial electrons is .
Table 2.
The values of the resonant frequency and the square of the outgoing angle of the spontaneous gamma quantum for the maximum value of the maximum resonant differential cross-section (see Figure 3). The frequency and intensity of the electromagnetic wave are and . The energy of the initial electrons is .
It is important to emphasize that a large value of the resonant differential cross-section occurs when the resonant cross-section is integrated at the outgoing angles of the spontaneous gamma quantum relative to the momentum of the final electron (for channel A) or the initial electron (for channel B). As a result, a large order parameter appears in the resonant differential cross-section (21), (22), (25) (see also formulas (81)–(84) of the article [22]). Note that this large parameter arises due to taking into account small-order corrections in the transmitted momentum [22].
The study provides a qualitative explanation of the possibility of obtaining high-energy gamma quanta in strong X-ray fields near neutron stars and magnetars. These high-energy gamma quanta can give production to ultrarelativistic electron–positron pairs in strong X-ray fields. As is known, there is a problem in explaining the flux of positrons (electrons) with energies of the order of 100 GeV near these objects [3,4,21]. It is a well-known phenomenon that the cosmic rays contain an anomalous abundance of high-energy positrons [3]. One might suppose that the X-ray pulsars might be the sources of these positron flows [4]. The present work allows us to give a possible explanation of these facts.
5. Conclusions
The study of resonant spontaneous bremsstrahlung radiation during scattering of ultrarelativistic electrons by nuclei in the field of an X-ray wave with wide frequency and intensity intervals shows:
- The resonant differential cross-section with simultaneous registration of the outgoing angles and the energy of the spontaneous gamma quantum significantly exceeds the corresponding cross-section without an external electromagnetic field. This excess can be twenty orders of magnitude for one absorbed photon of the wave.
- The resonant differential cross-section for channel A is dominant, since it exceeds the corresponding differential cross-section for channel B by more then two orders of magnitude.
The results obtained can be used to explain high-energy gamma-ray quanta near neutron stars and magnetars.
Author Contributions
Conceptualization, S.R.; methodology, S.R.; software, S.S.; validation, S.R., A.D. and S.S.; formal analysis, S.R. and A.D.; investigation, S.R., A.D. and S.S.; resources, A.D.; data curation, S.R. and A.D.; writing—original draft preparation, S.S.; writing—review and editing, S.R. and S.S.; visualization, S.S.; supervision, S.R. and A.D.; project administration, A.D.; funding acquisition, A.D. All authors have read and agreed to the published version of the manuscript.
Funding
This research received no external funding.
Institutional Review Board Statement
Not applicable.
Informed Consent Statement
Not applicable.
Data Availability Statement
Not applicable.
Conflicts of Interest
The authors declare no conflict of interest.
References
- Khlopov, M. Cosmoparticle physics: The universe as a laboratory of elementary particles. Astron. Rep. 2015, 59, 494–502. [Google Scholar] [CrossRef]
- Goldreich, P.; Julian, W.H. Pulsar electrodynamics. Astrophys. J. 1969, 157, 869. [Google Scholar] [CrossRef]
- Adriani, O.; Barbarino, G.C.; Bazilevskaya, G.A.; Bellotti, R.; Boezio, M.; Bogomolov, E.A.; Bonechi, L.; Bongi, M.; Bonvicini, V.; Bottai, S.; et al. An anomalous positron abundance in cosmic rays with energies 1.5–100GeV. Nature 2009, 458, 607–609. [Google Scholar] [CrossRef] [PubMed] [Green Version]
- Hooper, D.; Blasi, P.; Serpico, P.D. Pulsars as the sources of high energy cosmic ray positrons. J. Cosmol. Astropart. Phys. 2009, 2009, 025. [Google Scholar] [CrossRef]
- Dubov, A.; Dubov, V.V.; Roshchupkin, S.P. The Resonant Bremsstrahlung of Ultrarelativistic Electrons on a Nucleus with Radiation of Hard Gamma-Quanta in the Presence of a Pulsed Field of the X-ray Pulsar. Universe 2020, 6, 143. [Google Scholar] [CrossRef]
- Larin, N.R.; Roshchupkin, S.P.; Dubov, V.V. Resonant Effects in a Photoproduction of Ultrarelativistic Electron-Positron Pairs on a Nucleus in the Field of the X-ray Pulsar. Universe 2020, 6, 141. [Google Scholar] [CrossRef]
- Oleinik, V.P. Resonance Effects in the Field of an Intense Laser Beam. J. Exp. Theor. Phys. 1967, 25, 697. [Google Scholar]
- Oleinik, V.P. Resonance Effects in the Field of an Intense Laser Ray. J. Exp. Theor. Phys. 1968, 26, 1132. [Google Scholar]
- Zhou, F.; Rosenberg, L. Bremsstrahlung in laser-assisted scattering. Phys. Rev. A 1993, 48, 505–515. [Google Scholar] [CrossRef] [PubMed]
- Borisov, A.V.; Zhukovskii, V.C.; Eminov, P.A. Resonant electron-electron bremsstrahlungin the field of an electromagnetic wave. Sov. Phys. JETP 1980, 51, 234–267. [Google Scholar]
- Dondera, M.; Florescu, V. Bremsstrahlung in the presence of a laser field. Radiat. Phys. Chem. 2006, 75, 1380–1396. [Google Scholar] [CrossRef]
- Florescu, A.; Florescu, V. Laser-modified electron bremsstrahlung in a Coulomb field. Phys. Rev. A 2000, 61, 33406. [Google Scholar] [CrossRef]
- Zheltukhin, A.N.; Flegel, A.V.; Frolov, M.V.; Manakov, N.L.; Starace, A.F. Resonant electron-atom bremsstrahlung in an intense laser field. Phys. Rev. A 2014, 89, 23407. [Google Scholar] [CrossRef] [Green Version]
- Flegel, A.V.; Frolov, M.V.; Manakov, N.L.; Starace, A.F.; Zheltukhin, A.N. Analytic description of elastic electron-atom scattering in an elliptically polarized laser field. Phys. Rev. A 2013, 87, 13404. [Google Scholar] [CrossRef] [Green Version]
- Zheltukhin, A.N.; Flegel, A.V.; Frolov, M.V.; Manakov, N.L.; Starace, A.F. Rescattering effects in laser-assisted electron-atom bremsstrahlung. J. Phys. B At. Mol. Opt. Phys. 2015, 48, 75202. [Google Scholar] [CrossRef]
- Li, A.; Wang, J.; Ren, N.; Wang, P.; Zhu, W.; Li, X.; Hoehn, R.; Kais, S. The interference effect of laser-assisted bremsstrahlung emission in Coulomb fields of two nuclei. J. Appl. Phys. 2013, 114, 124904. [Google Scholar] [CrossRef]
- Lötstedt, E.; Jentschura, U.D.; Keitel, C.H. Evaluation of Laser-Assisted Bremsstrahlung with Dirac-Volkov Propagators. Phys. Rev. Lett. 2007, 98, 43002. [Google Scholar] [CrossRef]
- Schnez, S.; Lötstedt, E.; Jentschura, U.D.; Keitel, C.H. Laser-assisted bremsstrahlung for circular and linear polarization. Phys. Rev. A 2007, 75, 53412. [Google Scholar] [CrossRef]
- Lebed’, A.A.; Roshchupkin, S.P. Resonant spontaneous bremsstrahlung by an electron scattered by a nucleus in the field of a pulsed light wave. Phys. Rev. A 2010, 81, 33413. [Google Scholar] [CrossRef]
- Lebed’, A.A.; Padusenko, E.A.; Roshchupkin, S.P.; Dubov, V.V. Parametric interference effect in nonresonant spontaneous bremsstrahlung of an electron in the field of a nucleus and two pulsed laser waves. Phys. Rev. A 2016, 94, 13424. [Google Scholar] [CrossRef]
- Roshchupkin, S.P.; Larin, N.R.; Dubov, V.V. Resonant photoproduction of ultrarelativistic electron-positron pairs on a nucleus in moderate and strong monochromatic light fields. Phys. Rev. D 2021, 104, 116011. [Google Scholar] [CrossRef]
- Roshchupkin, S.P.; Dubov, A.V.; Dubov, V.V.; Starodub, S.S. Fundamental physical features of resonant spontaneous bremsstrahlung radiation of ultrarelativistic electrons on nuclei in strong laser fields. New J. Phys. 2022, 24, 13020. [Google Scholar] [CrossRef]
- Krachkov, P.A.; Piazza, A.D.; Milstein, A.I. High-energy bremsstrahlung on atoms in a laser field. Phys. Lett. B 2019, 797, 134814. [Google Scholar] [CrossRef]
- Kanya, R.; Morimoto, Y.; Yamanouchi, K. Observation of Laser-Assisted Electron-Atom Scattering in Femtosecond Intense Laser Fields. Phys. Rev. Lett. 2010, 105, 123202. [Google Scholar] [CrossRef] [PubMed]
- Hartin, A. Strong field QED in lepton colliders and electron/laser interactions. Int. J. Mod. Phys. A 2018, 33, 1830011. [Google Scholar] [CrossRef] [Green Version]
- Bula, C.; McDonald, K.T.; Prebys, E.J.; Bamber, C.; Boege, S.; Kotseroglou, T.; Melissinos, A.C.; Meyerhofer, D.D.; Ragg, W.; Burke, D.L.; et al. Observation of Nonlinear Effects in Compton Scattering. Phys. Rev. Lett. 1996, 76, 3116–3119. [Google Scholar] [CrossRef] [Green Version]
- Burke, D.L.; Field, R.C.; Horton-Smith, G.; Spencer, J.E.; Walz, D.; Berridge, S.C.; Bugg, W.M.; Shmakov, K.; Weidemann, A.W.; Bula, C.; et al. Positron Production in Multiphoton Light-by-Light Scattering. Phys. Rev. Lett. 1997, 79, 1626–1629. [Google Scholar] [CrossRef]
- Mourou, G.A.; Tajima, T.; Bulanov, S.V. Optics in the relativistic regime. Rev. Mod. Phys. 2006, 78, 309–371. [Google Scholar] [CrossRef] [Green Version]
- Bagnoud, V.; Aurand, B.; Blazevic, A.; Borneis, S.; Bruske, C.; Ecker, B.; Eisenbarth, U.; Fils, S.; Frank, A.; Gaul, E.; et al. Commissioning and early experiments of the PHELIX facility. Appl. Phys. B 2010, 100, 137–150. [Google Scholar] [CrossRef]
- Piazza, A.D.; Müller, C.; Hatsagortsyan, K.Z.; Keitel, C.H. Extremely high-intensity laser interactions with fundamental quantum systems. Rev. Mod. Phys. 2012, 84, 1177–1228. [Google Scholar] [CrossRef] [Green Version]
- Ritus, V.; Nikishov, A.I. Quantum Electrodynamics Phenomena in the Intense Field; Nauka: Moscow, Russia, 1979; Volume 111. [Google Scholar]
- Ehlotzky, F.; Jaroń, A.; Kamiński, J.Z. Electron–atom collisions in a laser field. Phys. Rep. 1998, 297, 63–153. [Google Scholar] [CrossRef]
- Ehlotzky, F.; Krajewska, K.; Kamiński, J.Z. Fundamental processes of quantum electrodynamics in laser fields of relativistic power. Rep. Prog. Phys. 2009, 72, 46401. [Google Scholar] [CrossRef]
- Roshchupkin, S. Resonant effects in collisions of relativistic electrons in the field of a light wave. Laser Phys. 1996, 6, 837–858. [Google Scholar]
- Roshchupkin, S.P.; Lebed’, A.A.; Padusenko, E.A. Nonresonant quantum electrodynamics processes in a pulsed laser field. Las. Phys. 2012, 22, 1513–1546. [Google Scholar] [CrossRef]
- Roshchupkin, S.P.; Lebed’, A.A.; Padusenko, E.A.; Voroshilo, A.I. Quantum electrodynamics resonances in a pulsed laser field. Laser Phys. 2012, 22, 1113–1144. [Google Scholar] [CrossRef]
- Fedorov, M.V. An Electron in a Strong Light Field; Nauka: Moscow, Russia, 1991. [Google Scholar]
- Volkov, D. On a class of solutions of the Dirac equation. Z. Phys 1935, 94, 250–260. [Google Scholar]
- Schwinger, J. On Gauge Invariance and Vacuum Polarization. Phys. Rev. 1951, 82, 664–679. [Google Scholar] [CrossRef]
- Brown, L.S.; Kibble, T.W.B. Interaction of Intense Laser Beams with Electrons. Phys. Rev. 1964, 133, A705–A719. [Google Scholar] [CrossRef]
- Breit, G.; Wigner, E. Capture of Slow Neutrons. Phys. Rev. 1936, 49, 519–531. [Google Scholar] [CrossRef] [Green Version]
- Berestetskii, V.B.; Lifshitz, E.M.; Pitaevskii, L.P. Quantum Electrodynamics; Butterworth-Heinemann: London, UK, 1982; Volume 4. [Google Scholar]
- Fedorov, M.V. Atomic and Free Electrons in a Strong Light Field; World Scientific: Singapore, 1997. [Google Scholar]
Publisher’s Note: MDPI stays neutral with regard to jurisdictional claims in published maps and institutional affiliations. |
© 2022 by the authors. Licensee MDPI, Basel, Switzerland. This article is an open access article distributed under the terms and conditions of the Creative Commons Attribution (CC BY) license (https://creativecommons.org/licenses/by/4.0/).


