Bound States of the Exchange—Correlation Excitons in the Uniform Electron Gas by the Monte Carlo Simulations
Abstract
:1. Introduction
2. Path Integral Representation of the Wigner Function
Modifications of the Path Integral Measure and Exchange Determinant
3. Wigner Path Integral Monte Carlo Method
- Choose the initial state : are randomly distributed in the main cell, , ;
- Select the type of step randomly: -step with a probability or -step with a probability . If the -step is chosen, select a random particle a, and assign where is a uniformly distributed random vector in the volume . If the -step is chosen, select a random particle a and a random “bead” k and assign where is a uniformly distributed random vector in a volume . The resulting state is set as the proposed state ;
- Accept the proposed state with a probability from (16), or reject. If the proposed state is accepted, set . If it is rejected, set ;
- Repeat steps 3–5 times;
- Calculate the average values for the sample of states via the averaging of Weyl’s symbols over the sample with as a weight function:
- Repeat all the previous steps for , but instead of the initialization use the last state from the previous run: ;
- As a result, a sample of average values , is obtained. Considering the 0-th run as idle in order to “forget” the initial state, calculate the resulting average value and its statistical error as
4. Simulation Results
4.1. Momentum Distribution Functions
4.2. Pair Distribution Functions and Potential of the Mean Force
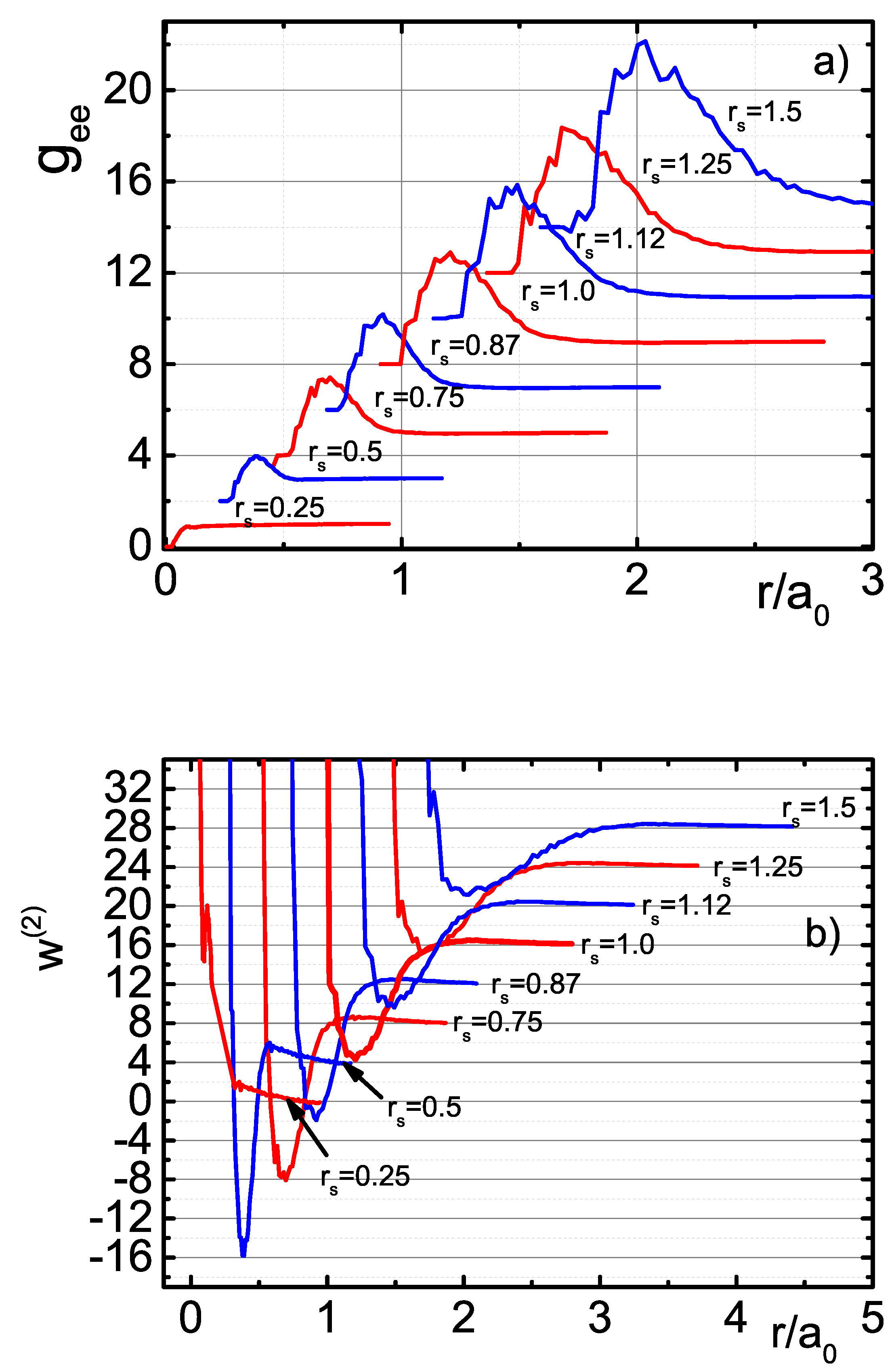
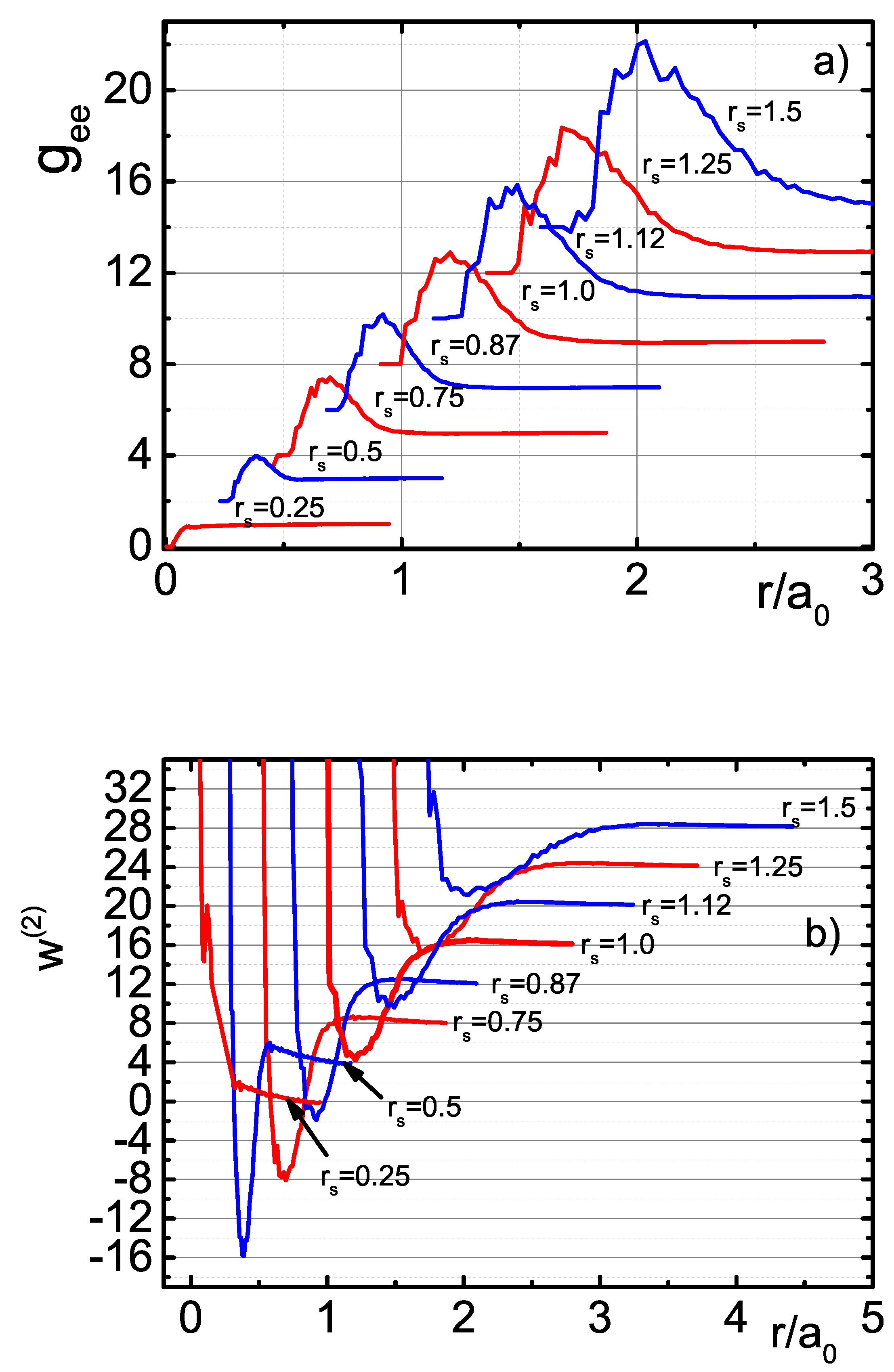
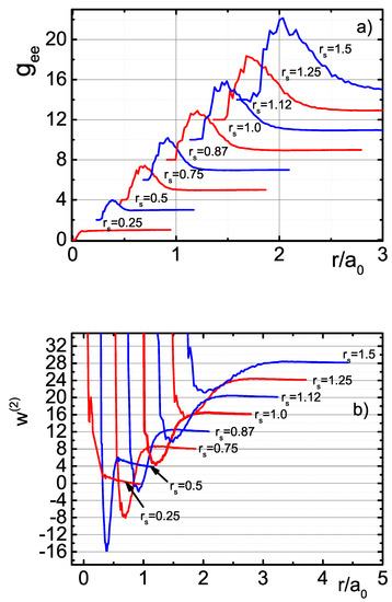
4.3. Bound States and the Energy Levels
5. Discussion and Conclusions
Supplementary Materials
Author Contributions
Funding
Acknowledgments
Conflicts of Interest
References
- Feynman, R.P.; Hibbs, A.R. Quantum Mechanics and Path Integrals; Mcgraw-Hill Book Company: New York, NY, USA, 1965. [Google Scholar]
- Zamalin, V.; Norman, G.; Filinov, V. The Monte Carlo Method in Statistical Thermodynamics; Nauka: Moscow, Russia, 1977. [Google Scholar]
- Ebeling, W.; Fortov, V.; Filinov, V. Quantum Statistics of Dense Gases and Nonideal Plasmas; Springer: Berlin/Heidelberg, Germany, 2017. [Google Scholar]
- Fortov, V.; Filinov, V.; Larkin, A.; Ebeling, W. Statistical Physics of Dense Gases and Nonideal Plasmas; PhysMatLit: Moscow, Russia, 2020. [Google Scholar]
- Wigner, E. On the interaction of electrons in metals. Phys. Rev. 1934, 46, 1002. [Google Scholar] [CrossRef]
- Tatarskii, V.I. The Wigner representation of quantum mechanics. Sov. Phys. Uspekhi 1983, 26, 311. [Google Scholar] [CrossRef]
- Filinov, V.; Larkin, A.; Levashov, P. Uniform electron gas at finite temperature by fermionic-path-integral Monte Carlo simulations. Phys. Rev. E 2020, 102, 033203. [Google Scholar] [CrossRef]
- Giuliani, G.; Vignale, G. Quantum Theory of the Electron Liquid; Cambridge University Press: Cambridge, UK, 2005. [Google Scholar]
- Mahan, G. Many-Particle Physics; Plenum Press: New York, NY, USA, 1990. [Google Scholar]
- Dornheim, T.; Groth, S.; Bonitz, M. The uniform electron gas at warm dense matter conditions. Phys. Rep. 2018, 744, 1–86. [Google Scholar] [CrossRef] [Green Version]
- Himpsel, F. The Exchange Hole in the Dirac Sea. arXiv 2017, arXiv:1701.08080. [Google Scholar]
- Weisskopf, V.F. On the self-energy and the electromagnetic field of the electron. Phys. Rev. 1939, 56, 72. [Google Scholar] [CrossRef]
- Kirkwood, J.G. Statistical mechanics of fluid mixtures. J. Chem. Phys. 1935, 3, 300–313. [Google Scholar] [CrossRef]
- Hagedorn, G.A.; Robinson, S.L. Bohr–Sommerfeld quantization rules in the semiclassical limit. J. Phys. A Math. Gen. 1998, 31, 10113. [Google Scholar] [CrossRef]
- Nikiforov, A.F.; Novikov, V.G.; Uvarov, V.B. Quantum-Statistical Models of Hot Dense Matter: Methods for Computation Opacity and Equation of State; Springer Science & Business Media: Berlin/Heidelberg, Germany, 2005; Volume 37. [Google Scholar]
- Zamalin, V.; Norman, G. The Monte-Carlo method in Feynman’s formulation of quantum statistics. USSR Comput. Math. Math. Phys. 1973, 13, 169–183. [Google Scholar] [CrossRef]
- Larkin, A.; Filinov, V. Phase space path integral representation for wigner function. J. Appl. Math. Phys. 2017, 5, 392–411. [Google Scholar] [CrossRef] [Green Version]
- Larkin, A.; Filinov, V.; Fortov, V. Path integral representation of the Wigner function in canonical ensemble. Contrib. Plasma Phys. 2016, 56, 187–196. [Google Scholar] [CrossRef]
- Wiener, N. Differential-space. J. Math. Phys. 1923, 2, 131–174. [Google Scholar] [CrossRef]
- Kelbg, G. Theorie des Quanten-Plasmas. Ann. Phys. 1963, 457, 354. [Google Scholar] [CrossRef]
- Ebeling, W.; Hoffmann, H.; Kelbg, G. Quantenstatistik des Hochtemperatur-Plasmas im thermodynamischen Gleichgewicht. Beitr. Plasmaphys. 1967, 7, 233–248. [Google Scholar] [CrossRef]
- Filinov, A.; Golubnychiy, V.; Bonitz, M.; Ebeling, W.; Dufty, J.W. Temperature-dependent quantum pair potentials and their application to dense partially ionized hydrogen plasmas. Phys. Rev. E 2004, 70, 04641. [Google Scholar] [CrossRef] [PubMed] [Green Version]
- Ebeling, W.; Filinov, A.; Bonitz, M.; Filinov, V.; Pohl, T. The method of effective potentials in the quantum-statistical theory of plasmas. J. Phys. A Math. Gen. 2006, 39, 4309. [Google Scholar] [CrossRef]
- Klakow, D.; Toepffer, C.; Reinhard, P.G. Semiclassical molecular dynamics for strongly coupled Coulomb systems. J. Chem. Phys. 1994, 101, 10766–10774. [Google Scholar] [CrossRef]
- Larkin, A.; Filinov, V.; Fortov, V. Peculiarities of the momentum distribution functions of strongly correlated charged fermions. J. Phys. A Math. Theor. 2017, 51, 035002. [Google Scholar] [CrossRef] [Green Version]
- Huang, K. Statistical Mechanics; John Wiley & Sons: Hoboken, NJ, USA, 1963. [Google Scholar]
- Filinov, V.; Levashov, P.; Larkin, A. Monte Carlo simulations of the electron short-range quantum ordering in Coulomb systems and the “fermionic sign problem”. J. Phys. A Math. Theor. 2021, 55, 035001. [Google Scholar] [CrossRef]
- Fisher, I.Z. Statistical Theory of Liquids; University of Chicago Press: Chicago, IL, USA, 1964. [Google Scholar]
- Barker, J.; Henderson, D. Theories of liquids. Annu. Rev. Phys. Chem. 1972, 23, 439–484. [Google Scholar] [CrossRef]




Publisher’s Note: MDPI stays neutral with regard to jurisdictional claims in published maps and institutional affiliations. |
© 2022 by the authors. Licensee MDPI, Basel, Switzerland. This article is an open access article distributed under the terms and conditions of the Creative Commons Attribution (CC BY) license (https://creativecommons.org/licenses/by/4.0/).
Share and Cite
Filinov, V.; Larkin, A.; Levashov, P. Bound States of the Exchange—Correlation Excitons in the Uniform Electron Gas by the Monte Carlo Simulations. Universe 2022, 8, 79. https://doi.org/10.3390/universe8020079
Filinov V, Larkin A, Levashov P. Bound States of the Exchange—Correlation Excitons in the Uniform Electron Gas by the Monte Carlo Simulations. Universe. 2022; 8(2):79. https://doi.org/10.3390/universe8020079
Chicago/Turabian StyleFilinov, Vladimir, Alexander Larkin, and Pavel Levashov. 2022. "Bound States of the Exchange—Correlation Excitons in the Uniform Electron Gas by the Monte Carlo Simulations" Universe 8, no. 2: 79. https://doi.org/10.3390/universe8020079
APA StyleFilinov, V., Larkin, A., & Levashov, P. (2022). Bound States of the Exchange—Correlation Excitons in the Uniform Electron Gas by the Monte Carlo Simulations. Universe, 8(2), 79. https://doi.org/10.3390/universe8020079

