Multi-Messenger Astrophysics of a Millisecond Pulsar Orbiting around a Massive Black Hole
Abstract
1. Introduction
2. Orbital and Spin Dynamics of Extreme-Mass-Ratio Binaries
2.1. Mathisson-Papapetrou-Dixon Formulation
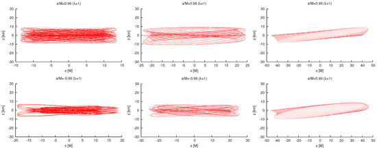
2.2. Orbital and Spin Dynamics of Bound and Unbound Systems
Some Remarks on the Spin Supplementary Conditions
3. Multi-Messenger Astrophysics and Physics
3.1. Millisecond Pulsars as High-Precision Clocks
3.2. - Relation of Galaxies and Intermediate-Mass Black Holes in Galactic Spheroids
3.3. Gravitational Physics—Possibilities and Opportunities
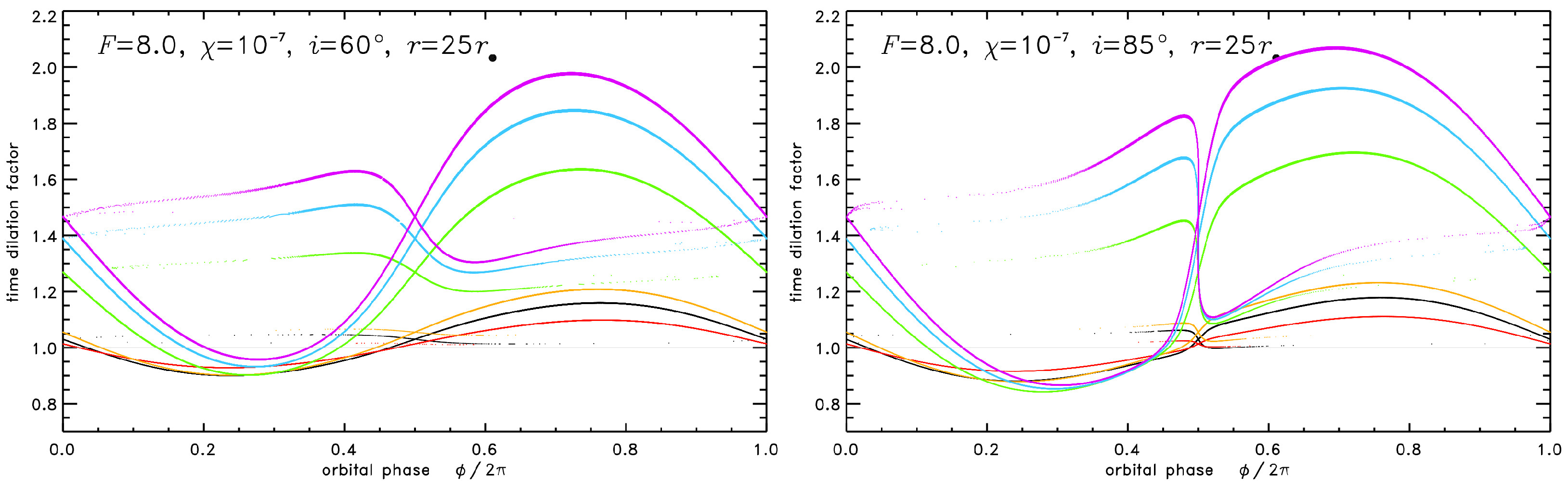
3.3.1. Time Dilation and Gravitational Clock Effects
3.3.2. Self-Force in Gravitational Waves
4. Summary and Conclusions
Funding
Data Availability Statement
Acknowledgments
Conflicts of Interest
| 1 | We have adopted the expression for the given in Mashhoon, Iorio and Lichtenegger [70] to illustrate the clock effect arisen from the coupling between the pulsar’s orbit and the BH’s spin, and alternative derivations would lead to different expressions. |
References
- Seoane, P.A.; Aoudia, S.; Babak, S.; Binetruy, P.; Berti, E.; Bohe, A.; Caprini, C.; Colpi, M.; Cornish, N.J.; Danzmann, K.; et al. Low-frequency gravitational-wave science with eLISA/NGO. Class. Quantum Grav. 2012, 29, 124016. [Google Scholar] [CrossRef]
- Babak, S.; Gair, J.; Sesana, A.; Barausse, E.; Sopuerta, C.F.; Berry, C.P.L.; Berti, E.; Amaro-Seoane, P.; Petiteau, A.; Klein, A. Science with the space-based interferometer LISA. V. Extreme mass-ratio inspirals. Phys. Rev. D 2017, 95, 103012. [Google Scholar] [CrossRef]
- Manchester, R.N. Millisecond pulsars, their evolution and applications. J. Astrophys. Astron. 2017, 38, 42. [Google Scholar] [CrossRef]
- Chicone, C.; Mashhoon, B.; Punsly, B. Relativistic motion of spinning particles in a gravitational field. Phys. Lett. A 2005, 343, 1. [Google Scholar] [CrossRef][Green Version]
- Costa, L.F.O.; Lukes-Gerakopoulos, G.; Semerák, O. Spinning particles in general relativity: Momentum-velocity relation for the Mathisson–Pirani spin condition. Phys. Rev. D 2018, 97, 084023. [Google Scholar] [CrossRef]
- Semerak, O. Spinning test particles in a Kerr field—I. Mon. Not. R. Astron. Soc. 1999, 308, 863. [Google Scholar] [CrossRef]
- Lorimer, D.R. Binary and millisecond pulsars. Living Rev. Relativ. 1998, 1, 10. [Google Scholar] [CrossRef]
- Hessels, J.W.; Ransom, S.M.; Stairs, I.H.; Freire, P.C.; Kaspi, V.M.; Camilo, F. A Radio Pulsar Spinning at 716 Hz. Science 2006, 311, 1901. [Google Scholar] [CrossRef]
- Han, W. Chaos and dynamics of spinning particles in Kerr spacetime. Gen. Relativ. Gravit. 2008, 40, 1831. [Google Scholar] [CrossRef][Green Version]
- Suzuki, S.; Maeda, K. Chaos in Schwarzschild spacetime: The motion of a spinning particle. Phys. Rev. D 1997, 55, 4848. [Google Scholar] [CrossRef]
- Kimpson, T.; Wu, K.; Zane, S. Pulsar timing in extreme mass ratio binaries: A general relativistic approach. Mon. Not. R. Astron. Soc. 2019, 486, 360. [Google Scholar] [CrossRef]
- Kimpson, T.; Wu, K.; Zane, S. Radio timing in a millisecond pulsar—Extreme/intermediate mass ratio binary system. Astron. Astrophys. 2020, 644, A167. [Google Scholar] [CrossRef]
- Kocherlakota, P.; Joshi, P.S.; Bhattacharyya, S.; Chakraborty, C.; Ray, A.; Biswas, S. Gravitomagnetism and pulsar beam precession near a Kerr black hole. Mon. Not. R. Astron. Soc. 2019, 490, 3262. [Google Scholar] [CrossRef]
- Dixon, W.G. A covariant multipole formalism for extended test bodies in general relativity. Il Nuovo Cimento 1964, 34, 317. [Google Scholar] [CrossRef]
- Mathisson, M. Neue mechanik maeterieller systemes. Acta Phys. Pol. 1947, 6, 163. [Google Scholar]
- Papapetrou, A. Spinning test-particles in general relativity. I. Proc. R. Soc. A 1951, 209, 248. [Google Scholar]
- Lattimer, J.M. The nuclear equation of state and neutron star masses. Annu. Rev. Nucl. Part. Sci. 2012, 62, 485. [Google Scholar] [CrossRef]
- Lukes-Gerakopoulos, G.; Katsanikas, M.; Patsis, P.A.; Seyrich, J. Dynamics of a spinning particle in a linear in spin Hamiltonian approximation. Phys. Rev. D 2016, 94, 024024. [Google Scholar] [CrossRef]
- Costa, L.F.O.; Natário, J.; Zilhão, M. Spacetime dynamics of spinning particles: Exact electromagnetic analogies. Phys. Rev. D 2016, 93, 104006. [Google Scholar] [CrossRef]
- Iorio, L. General relativistic spin–orbit and spin–spin effects on the motion of rotating particles in an external gravitational field. Gen. Relativ. Gravit. 2012, 44, 719. [Google Scholar] [CrossRef]
- Mashhoon, B. Time-varying gravitomagnetism. Class. Quantum Grav. 2008, 25, 085014. [Google Scholar] [CrossRef]
- Remmen, G.; Wu, K. Complex orbital dynamics of a double neutron star system revolving around a massive black hole. Mon. Not. R. Astron. Soc. 2013, 430, 1940. [Google Scholar] [CrossRef][Green Version]
- Ehlers, J.; Rudolph, E. Dynamics of extended bodies in general relativity center-of-mass description and quasirigidity. Gen. Relativ. Gravit. 1977, 8, 197. [Google Scholar] [CrossRef]
- Costa, L.F.O.; Natário, J. Gravitomagnetism, Bel decomposition, tidal tensors, inertial forces, 1+3 splitting, Quasi-Maxwell formalism, gyroscope precession, spin–curvature force, general relativity and quantum cosmology, high energy physics—Theory, mathematical physics. Gen. Relativ. Gravit. 2014, 46, 1792. [Google Scholar] [CrossRef]
- Mushhoon, B.; Singh, D. Dynamics of extended spinning masses in a gravitational field. Phys. Rev. D 2006, 74, 124006. [Google Scholar] [CrossRef]
- Plyatsko, R.M.; Stefanyshyn, O.B.; Frnyk, M.T. Mathisson-Papapetru-Dixon equations in the Schwarzschild and Kerr backgrounds. Class. Quantum Grav. 2011, 28, 195025. [Google Scholar] [CrossRef][Green Version]
- Li, K.J.; Wu, K.; Leung, P.K.; Singh, D. Relativistic scattering of a fast spinning neutron star by a massive black hole. Mon. Not. R. Astron. Soc. 2021, in press. [Google Scholar] [CrossRef]
- Steinhoff, J. Canonical formulation of spin in general relativity. Ann. der Phys. 2011, 523, 296. [Google Scholar] [CrossRef]
- Laarakkers, W.G.; Poisson, E. Quadrupole moments of rotating neutron stars. Astrophys. J. 1999, 512, 282. [Google Scholar] [CrossRef]
- Urbanec, M.; Miller, J.C.; Stuchlik, Z. Quadrupole moments of rotating neutron stars and strange stars. Mon. Not. R. Astron. Soc. 2013, 433, 1903. [Google Scholar] [CrossRef]
- Kimpson, T.; Wu, K.; Zane, S. Orbital spin dynamics of a millisecond pulsar around a massive BH with a general mass quadrupole. Mon. Not. R. Astron. Soc. 2020, 497, 5421. [Google Scholar] [CrossRef]
- Deriglazov, A.A.; Ramírez, W.G. Mathisson-Papapetrou-Tulczyjew—Dixon equations in ultra-relativistic regime and gravimagnetic moment. Int. J. Mod. Phys. A 2017, 26, 1750047. [Google Scholar] [CrossRef]
- Dixon, W.G. Dynamics of extended bodies in general relativity I: Momentum and angular momentum. Proc. R. Soc. A 1970, 314, 499. [Google Scholar]
- Tulczyjew, W. Motion of multipole particles in general relativity theory. Acta Phys. Pol. 1959, 18, 393. [Google Scholar]
- Singh, D. Dynamics of a classical spinning particle in Vaidya space-time. Phys. Rev. D 2005, 72, 084033. [Google Scholar] [CrossRef]
- Li, K.J.; Wu, K.; Singh, D. Spin dynamics of a millisecond pulsar orbiting closely around a massive black hole. Mon. Not. R. Astron. Soc. 2019, 485, 1053. [Google Scholar] [CrossRef]
- Singh, D.; Wu, K.; Sarty, G. Fast spinning pulsars as probes of massive black holes’ gravity. Mon. Not. R. Astron. Soc. 2014, 441, 800. [Google Scholar] [CrossRef]
- Pirani, F.A.E. On the physical significance of the Reimann tensor. Acta Phys. Pol. 1956, 15, 389. [Google Scholar]
- Corinaldesi, E.; Papapetrou, A. Spinning test particles in general relativity. II. Proc. R. Soc. A 1951, 209, 259. [Google Scholar]
- Newton, T.D.; Wigner, E.P. Localized states for elementary systems. Rev. Mod. Phys. 1949, 21, 400. [Google Scholar] [CrossRef]
- Kyrian, K.; Semerák, O. Spinning test particles in Kerr-field II. Mon. Not. R. Astron. Soc. 2007, 382, 1922. [Google Scholar] [CrossRef]
- Ohashi, A. Multipole particle in relativity. Phys. Rev. D 2003, 68, 044009. [Google Scholar] [CrossRef]
- Lukes-Gerakopoulos, G. Time parameterizations and spin supplementary conditions of the Mathisson-Papapetrou-Dixon equations. Phys. Rev. D 2017, 96, 104023. [Google Scholar] [CrossRef]
- Mikóczi, B. Spin supplementary conditions for spinning compact binaries. Phys. Rev. D 2017, 65, 064023. [Google Scholar] [CrossRef]
- Harms, E.; Lukes-Gerakopoulos, G.; Bernuzzi, S.; Nagar, A. Spinning test body orbiting around a Schwarzschild black hole: Circular dynamics and gravitational-wave fluxes. Phys. Rev. D 2016, 94, 104010. [Google Scholar] [CrossRef]
- Hartl, M.D. Dynamics of spinning test particles in Kerr spacetime. Phys. Rev. D 2003, 67, 024005. [Google Scholar] [CrossRef]
- Cordes, J.M. Limits to PTA sensitivity: Spin stability and arrival time precision of millisecond pulsars. Class. Quantum Grav. 2013, 30, 224002. [Google Scholar] [CrossRef]
- Hobbs, G.; Coles, W.; Manchester, R.; Keith, M.J.; Shannon, R.M.; Chen, D.; Bailes, M.; Bhat, N.D.R.; Burke-Spolaor, S.; Champion, D.; et al. Development of a pulsar-based timescale. Mon. Not. R. Astron. Soc. 2012, 427, 2780. [Google Scholar] [CrossRef]
- Shannon, R.M.; Cordes, J.M. Assessing the role of spin noise in precession timing of millisecond pulsars. Astrophys. J. 2010, 725, 1607. [Google Scholar] [CrossRef]
- Ransom, S.; Stairs, I.H.; Archibald, A.; Hessels, J.W.T.; Kaplan, D.; Van Kerkwijk, M.H.; Boyles, J.; Deller, A.; Chatterjee, S.; Schechtman-Rook, A.; et al. A millisecond pulsar in a stellar triple system. Nature 2014, 505, 520. [Google Scholar] [CrossRef] [PubMed]
- GeBHardt, K.; Bender, R.; Bower, G.; Dressler, A.; Faber, S.M.; Filippenko, A.V.; Green, R.; Grillmair, C.; Ho, L.C.; Kormendy, J.; et al. A relationship between nuclear black hole mass and galaxy velocity dispersion. Astrophys. J. 2000, 539, L13. [Google Scholar] [CrossRef]
- Ferrarese, L.; Merritt, D. A fundamental relation between supermassive black holes and their host galaxies. Astrophys. J. 2000, 539, L9. [Google Scholar] [CrossRef]
- Gültekin, K.; Richstone, D.O.; Gebhardt, K.; Lauer, T.; Tremaine, S.; Aller, M.C.; Bender, R.; Dressler, A.; Faber, S.M.; Filippenko, A.V.; et al. The M-σ and M-L relations in galactic bulges, and determinations of their intrinsic scatter. Astrophys. J. 2009, 698, 198. [Google Scholar] [CrossRef]
- Graham, A.W.; Scott, N. The black hole—Bulge mass scaling relation at low masses. Astrophys. J. 2015, 798, 54. [Google Scholar] [CrossRef]
- Scott, N.; Graham, A.A. Updated mass scaling relations for nuclear star clusters and a comparison to supermassive black holes. Astrophys. J. 2013, 763, 76. [Google Scholar] [CrossRef]
- Perera, B.; Stappers, B.W.; Lyne, A.G.; Bassa, C.G.; Cognard, I.; Guillemot, L.; Kramer, M.; Theureau, G.; Desvignes, G. Evidence for an intermediate-mass black hole in the globular cluster NGC 6624. Mon. Not. R. Astron. Soc. 2017, 468, 2114. [Google Scholar] [CrossRef]
- Jiang, Y.F.; Greene, J.E.; Ho, L.C.; Xiao, T.; Barth, A.J. The host galaxies of low-mass black holes. Astrophys. J. 2011, 742, 68. [Google Scholar] [CrossRef]
- Graham, A.W.; Soria, R. Expected intermediate-mass black holes in the Virgo cluster—I. Early-type galaxies. Mon. Not. R. Astron. Soc. 2019, 484, 794. [Google Scholar] [CrossRef]
- L?tzgendorf, N.; Kissler-Patig, M.; Neumayer, N.; Baumgardt, H.; Noyola, E.; de Zeeuw, P.T.; Gebhardt, K.; Jalali, B.; Feldmeier, A. M•-σ relation for intermediate-mass black holes in globular clusters. Astron. Astrophys. 2013, 555, A26. [Google Scholar] [CrossRef]
- Mieske, S.; Frank, M.J.; Baumgardt, H.; Luetzgendorf, N.; Neumayer, N.; Hilker, M. On central black holes in ultra-compact dwarf galaxies. Astron. Astrophys. 2013, 558, A14. [Google Scholar] [CrossRef][Green Version]
- Soria, R.; Wickramasinghe, D.T.; Hunstead, R.W.; Wu, K. Measuring the Motion of the Black Hole in GRO J1655-40. Astrophys. J. 1998, 495, L95. [Google Scholar] [CrossRef]
- Walsh, J.; Barth, A.; Ho, L.C.; Sarzi, M. The M87 black hole mass from gas-dynamical models of Space Telescope Imaging Spectrograph observations. Astrophys. J. 2013, 770, 86. [Google Scholar] [CrossRef]
- Hartley, W. Multi-messenger Observations of a Binary Neutron Star Merger. Astrophys. J. Lett. 2017, 848, L12. [Google Scholar]
- Abbott, B.P.; Abbott, R.; Abbott, T.D.; Abernathy, M.R.; Acernese, F.; Ackley, K.; Adams, C.; Adams, T.; Addesso, P.; Adhikari, R.X.; et al. Observation of gravitational waves from a binary black hole merger. Phys. Rev. Lett. 2016, 116, 061102. [Google Scholar] [CrossRef] [PubMed]
- Scientific, L.I.G.O.; Freise, A.; Martynov, D.; Virgo Collaboration. GW190521: A Binary Black Hole Merger with a Total Mass of 150 M⊙. Phys. Rev. Lett. 2020, 125, 101102. [Google Scholar]
- Kourkchi, E.; Khosroshahi, H.G.; Carter, D.; Karick, A.M.; Marmol-Queralto, E.; Chiboucas, K.; Tully, R.B.; Mobasher, B.; Guzman, R.; Matkovic, A.; et al. Dwarf galaxies in the Coma cluster—I. Velocity dispersion measurements. Mon. Not. R. Astron. Soc. 2012, 420, 2819. [Google Scholar] [CrossRef]
- Bini, D.; Damour, T. Two-body gravitational spin–orbit interaction at linear order in the mass ratio. Phys. Rev. D 2014, 90, 024039. [Google Scholar] [CrossRef]
- Chan, L.-H.; O’Connell, R.F. Two-body problems—A unified, classical, and simple treatment of spin–orbit effects. Phys. Rev. D 1977, 15, 3058. [Google Scholar] [CrossRef]
- Saxton, C.J.; Younsi, Z.; Wu, K. Dark matter concentrations in galactic nuclei according to polytropic models. Mon. Not. R. Astron. Soc. 2016, 461, 4359. [Google Scholar] [CrossRef]
- Mashhoon, B.; Iorio, L.; Lichtenegger, H. On the gravitomagnetic clock effect. Phys. Lett. A 2001, 292, 49. [Google Scholar] [CrossRef]
- Faruque, S.B. A quantum analogy to the classocal grvitomagnetic clock effect. Results Phys. 2018, 9, 1508. [Google Scholar] [CrossRef]
- Barker, B.M.; O’Connell, R.F. The gravitational interaction: Spin, rotation, and quantum effects—A review. Gen. Relativ. Gravit. 1979, 11, 149. [Google Scholar] [CrossRef]
- Faruque, S.B. Clock effect due to gravitational spin–orbit coupling. Phys. Lett. A 2006, 359, 252. [Google Scholar] [CrossRef]
- Iorio, L.; Lichtenegger, H.; Mashhoon, B. An alternative derivation of the gravitomagnetic clock effect. Class. Quantum Grav. 2013, 30, 224002. [Google Scholar] [CrossRef]
- Dehmelt, H. Continuous Stern-Gerlach effect: Principle and idealized apparatus. Proc. Natl. Acad. Sci. USA 1986, 83, 2291. [Google Scholar] [CrossRef] [PubMed]
- Hackmann, E.; Lämmerzahl, C. Generalized gravitomagnetic clock effect. Phys. Rev. D 2017, 90, 044059. [Google Scholar] [CrossRef]
- Lichtenegger, H.; Iorio, L.; Mashhoon, B. The gravitomagnetic clock effect and its possible observation. Ann. Phys. 2006, 518, 868. [Google Scholar] [CrossRef]
- Burko, L.M.; Khanna, G. Self-force gravitational waveforms for extreme and intermediate mass ratio inspirals. III. Spin-orbit coupling revisited. Phys. Rev. D 2015, 91, 104017. [Google Scholar] [CrossRef]
- Bini, D.; Damour, T. Gravitational self-force corrections to two-body tidal interactions and the effective one-body formalism. Phys. Rev. D 2014, 90, 124037. [Google Scholar] [CrossRef]
- Barack, L.; Pound, A. Self-force and radiation reaction in general relativity. Rep. Prog. Phys. 2019, 82, 016904. [Google Scholar] [CrossRef]
- Bini, D.; Damour, T.; Geralico, A. Spin-dependent two-body interactions from gravitational self-force computations. Phys. Rev. D 2015, 90, 124037. [Google Scholar] [CrossRef]
- Barack, L.; Sago, N. Gravitational self-force on a particle in circular orbit around a Schwarzschild black hole. Phys. Rev. D 2007, 85, 064021. [Google Scholar] [CrossRef]
- Shah, A.G. Gravitational-wave flux for a particle orbiting a Kerr black hole to 20th post-Newtonian order: A numerical approach. Phys. Rev. D 2014, 90, 044025. [Google Scholar] [CrossRef]
- Burko, L.M.; Khanna, G. Self-force gravitational waveforms for extreme and intermediate mass ratio inspirals. II. Importance of the second-order dissipative effect. Phys. Rev. D 2013, 88, 024002. [Google Scholar] [CrossRef]
- Fujita, R. Gravitational waves from a particle in circular orbits around a Schwarzschild black hole to the 22nd post-Newtonian order. Prog. Theor. Phys. 2012, 128, 91. [Google Scholar] [CrossRef]
- van de Meent, M. Gravitational self-force on generic bound geodesics in Kerr spacetime. Phys. Rev. D 2011, 97, 104033. [Google Scholar] [CrossRef]
- Kidder, L.E. Coalescing binary systems of compact objects to (post)5/2-Newtonian order. V. Spin effects. Phys. Rev. D 1995, 52, 821. [Google Scholar] [CrossRef]
- Barack, L.; Sago, N. Beyond the geodesic approximation: Conservative effects of the gravitational self-force in eccentric orbits around a Schwarzschild black hole. Rep. Prog. Phys. 2011, 83, 084023. [Google Scholar] [CrossRef]
- Dolan, S.R.; Warburton, N.; Harte, A.I.; Le Tiec, A.; Wardell, B.; Barack, L. Gravitational self-torque and spin precession in compact binaries. Phys. Rev. D 2014, 90, 124037. [Google Scholar] [CrossRef]







Publisher’s Note: MDPI stays neutral with regard to jurisdictional claims in published maps and institutional affiliations. |
© 2022 by the author. Licensee MDPI, Basel, Switzerland. This article is an open access article distributed under the terms and conditions of the Creative Commons Attribution (CC BY) license (https://creativecommons.org/licenses/by/4.0/).
Share and Cite
Wu, K. Multi-Messenger Astrophysics of a Millisecond Pulsar Orbiting around a Massive Black Hole. Universe 2022, 8, 78. https://doi.org/10.3390/universe8020078
Wu K. Multi-Messenger Astrophysics of a Millisecond Pulsar Orbiting around a Massive Black Hole. Universe. 2022; 8(2):78. https://doi.org/10.3390/universe8020078
Chicago/Turabian StyleWu, Kinwah. 2022. "Multi-Messenger Astrophysics of a Millisecond Pulsar Orbiting around a Massive Black Hole" Universe 8, no. 2: 78. https://doi.org/10.3390/universe8020078
APA StyleWu, K. (2022). Multi-Messenger Astrophysics of a Millisecond Pulsar Orbiting around a Massive Black Hole. Universe, 8(2), 78. https://doi.org/10.3390/universe8020078

