Sign in to use this feature.

Years

Between: -

Subjects

remove_circle_outline
remove_circle_outline
remove_circle_outline
remove_circle_outline
remove_circle_outline

Journals

Article Types

Countries / Regions

Search Results (5)

Search Parameters:
Keywords = exchange-correlation exciton

Order results
Result details
Results per page
Select all
Export citation of selected articles as:
14 pages, 580 KB  
Article
Many-Body Calculations of Excitons in Two-Dimensional GaN
by Yachao Zhang
Crystals 2023, 13(7), 1048; https://doi.org/10.3390/cryst13071048 - 1 Jul 2023
Cited by 3 | Viewed by 3551
Abstract
We present an ab initio study on quasiparticle (QP) excitations and excitonic effects in two-dimensional (2D) GaN based on density-functional theory and many-body perturbation theory. We calculate the QP band structure using GW approximation, which generates an indirect band gap of 4.83 [...] Read more.
We present an ab initio study on quasiparticle (QP) excitations and excitonic effects in two-dimensional (2D) GaN based on density-functional theory and many-body perturbation theory. We calculate the QP band structure using GW approximation, which generates an indirect band gap of 4.83 eV (KΓ) for 2D GaN, opening up 1.24 eV with respect to its bulk counterpart. It is shown that the success of plasmon-pole approximation in treating the 2D material benefits considerably from error cancellation. On the other hand, much better gaps, comparable to GW ones, could be obtained by correcting the Kohn–Sham gap with a derivative discontinuity of the exchange–correlation functional at much lower computational cost. To evaluate excitonic effects, we solve the Bethe–Salpeter equation (BSE) starting from Kohn–Sham eigenvalues with a scissors operator to open the single-particle gap. This approach yields an exciton binding energy of 1.23 eV in 2D GaN, which is in good agreement with the highly demanding GW-BSE results. The enhanced excitonic effects due to reduced dimensionality are discussed by comparing the optical spectra from BSE calculations with that by random-phase approximation (RPA) for both the monolayer and bulk GaN in wurtzite phase. Additionally, we find that the spin–orbit splitting of excitonic peaks is noticeable in 2D GaN but buried in the bulk crystal. Full article
Show Figures

Figure 1

15 pages, 702 KB  
Article
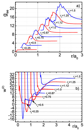
Bound States of the Exchange—Correlation Excitons in the Uniform Electron Gas by the Monte Carlo Simulations
by Vladimir Filinov, Alexander Larkin and Pavel Levashov
Universe 2022, 8(2), 79; https://doi.org/10.3390/universe8020079 - 27 Jan 2022
Cited by 9 | Viewed by 2058
Abstract
The modified path integral representation of Wigner functions and the new Monte Carlo approach has been suggested to account for the impact of the interparticle interaction on the Pauli exclusion principle of fermions. This approach also allows to calculate the momentum distribution functions [...] Read more.
The modified path integral representation of Wigner functions and the new Monte Carlo approach has been suggested to account for the impact of the interparticle interaction on the Pauli exclusion principle of fermions. This approach also allows to calculate the momentum distribution functions and to reduce the “sign problem” that is inaccessible to the standard path integral Monte Carlo methods. The obtained pair electron–electron distribution functions for the “uniform electron gas” demonstrate the short-range quantum ordering of electrons associated with exchange-correlation excitons. The exchange-correlation exciton is caused by the interaction of electrons with positively charged exchange holes and the excluded volume effect. The developed approach allows one to study the density–temperature range of the exciton arising, existence, and decay. Using the potential of the mean force and semiclassical Bohr–Sommerfeld quantization condition, we have demonstrated the existence of bound states disturbing the Maxwellian distribution and estimated their average energy levels. The exchange-correlation excitons have not been observed earlier in the standard path integral Monte Carlo simulations. Full article
(This article belongs to the Section Mathematical Physics)
Show Figures

Figure 1

15 pages, 2996 KB  
Article
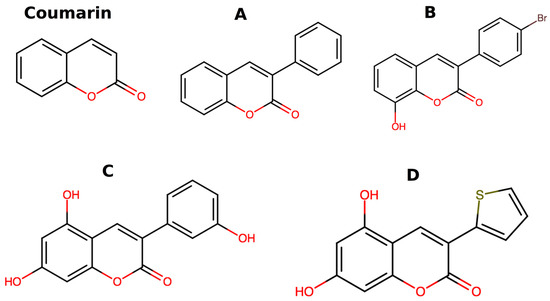
Substitution Effects on the Optoelectronic Properties of Coumarin Derivatives
by Amit Kumar, Roberto Baccoli, Antonella Fais, Alberto Cincotti, Luca Pilia and Gianluca Gatto
Appl. Sci. 2020, 10(1), 144; https://doi.org/10.3390/app10010144 - 23 Dec 2019
Cited by 23 | Viewed by 5836
Abstract
Coumarin derivatives have gathered major attention largely due to their versatile utility in a wide range of applications. In this framework, we report a comparative computational investigation on the optoelectronic properties of 3-phenylcoumarin and 3-heteroarylcoumarin derivatives established as enzyme inhibitors. Specifically, we concentrate [...] Read more.
Coumarin derivatives have gathered major attention largely due to their versatile utility in a wide range of applications. In this framework, we report a comparative computational investigation on the optoelectronic properties of 3-phenylcoumarin and 3-heteroarylcoumarin derivatives established as enzyme inhibitors. Specifically, we concentrate on the variation in the optoelectronic characteristics for the hydroxyl group substitutions within the coumarin moiety. In order to realize our aims, all-electron density functional theory and time dependent density functional theory calculations were performed with a localized Gaussian basis-set matched with a hybrid exchange–correlation functionals. Molecular properties such as highest occupied molecular orbital (HOMO) and lowest unoccupied molecular orbital (LUMO) energies, vertical ionization (IEV) and electron affinity energies, absorption spectra, quasi-particle gap, and exciton binding energy values are examined. Furthermore, the influence of solvent on the optical properties of the molecules is considered. We found a good agreement between the experimental (8.72 eV) and calculated (8.71 eV) IEV energy values for coumarin. The computed exciton binding energy of the investigated molecules indicated their potential optoelectronics application. Full article
Show Figures

Figure 1

24 pages, 3206 KB  
Review
Time-Dependent Density-Functional Theory and Excitons in Bulk and Two-Dimensional Semiconductors
by Volodymyr Turkowski, Naseem Ud Din and Talat S. Rahman
Computation 2017, 5(3), 39; https://doi.org/10.3390/computation5030039 - 25 Aug 2017
Cited by 27 | Viewed by 7365
Abstract
In this work, we summarize the recent progress made in constructing time-dependent density-functional theory (TDDFT) exchange-correlation (XC) kernels capable to describe excitonic effects in semiconductors and apply these kernels in two important cases: a “classic” bulk semiconductor, GaAs, with weakly-bound excitons and a [...] Read more.
In this work, we summarize the recent progress made in constructing time-dependent density-functional theory (TDDFT) exchange-correlation (XC) kernels capable to describe excitonic effects in semiconductors and apply these kernels in two important cases: a “classic” bulk semiconductor, GaAs, with weakly-bound excitons and a novel two-dimensional material, MoS2, with very strongly-bound excitonic states. Namely, after a brief review of the standard many-body semiconductor Bloch and Bethe-Salpether equation (SBE and BSE) and a combined TDDFT+BSE approaches, we proceed with details of the proposed pure TDDFT XC kernels for excitons. We analyze the reasons for successes and failures of these kernels in describing the excitons in bulk GaAs and monolayer MoS2, and conclude with a discussion of possible alternative kernels capable of accurately describing the bound electron-hole states in both bulk and two-dimensional materials. Full article
(This article belongs to the Special Issue In Memory of Walter Kohn—Advances in Density Functional Theory)
Show Figures

Figure 1

11 pages, 739 KB  
Article
Excitons in Solids from Time-Dependent Density-Functional Theory: Assessing the Tamm-Dancoff Approximation
by Young-Moo Byun and Carsten A. Ullrich
Computation 2017, 5(1), 9; https://doi.org/10.3390/computation5010009 - 29 Jan 2017
Cited by 17 | Viewed by 6210
Abstract
Excitonic effects in solids can be calculated using the Bethe-Salpeter equation (BSE) or the Casida equation of time-dependent density-functional theory (TDDFT). In both methods, the Tamm-Dancoff approximation (TDA), which decouples excitations and de-excitations, is widely used to reduce computational cost. Here, we study [...] Read more.
Excitonic effects in solids can be calculated using the Bethe-Salpeter equation (BSE) or the Casida equation of time-dependent density-functional theory (TDDFT). In both methods, the Tamm-Dancoff approximation (TDA), which decouples excitations and de-excitations, is widely used to reduce computational cost. Here, we study the effect of the TDA on exciton binding energies of solids obtained from the Casida equation using long-range-corrected (LRC) exchange-correlation kernels. We find that the TDA underestimates TDDFT-LRC exciton binding energies of semiconductors slightly, but those of insulators significantly (i.e., by more than 100%), and thus it is essential to solve the full Casida equation to describe strongly bound excitons. These findings are relevant in the ongoing search for accurate and efficient TDDFT approaches for excitons. Full article
Show Figures

Figure 1

Back to TopTop