Black Hole Hyperaccretion in Collapsars: A Review
Abstract
1. Introduction
2. Jets and Outflows from BH Hyperaccretion in Collapsars
2.1. Jet Propagation
2.2. Progenitor Stars
2.3. Central Engines
2.4. Disk Outflows
2.5. GRB Timescale
3. MeV Neutrinos from NDAFs in Collapsars
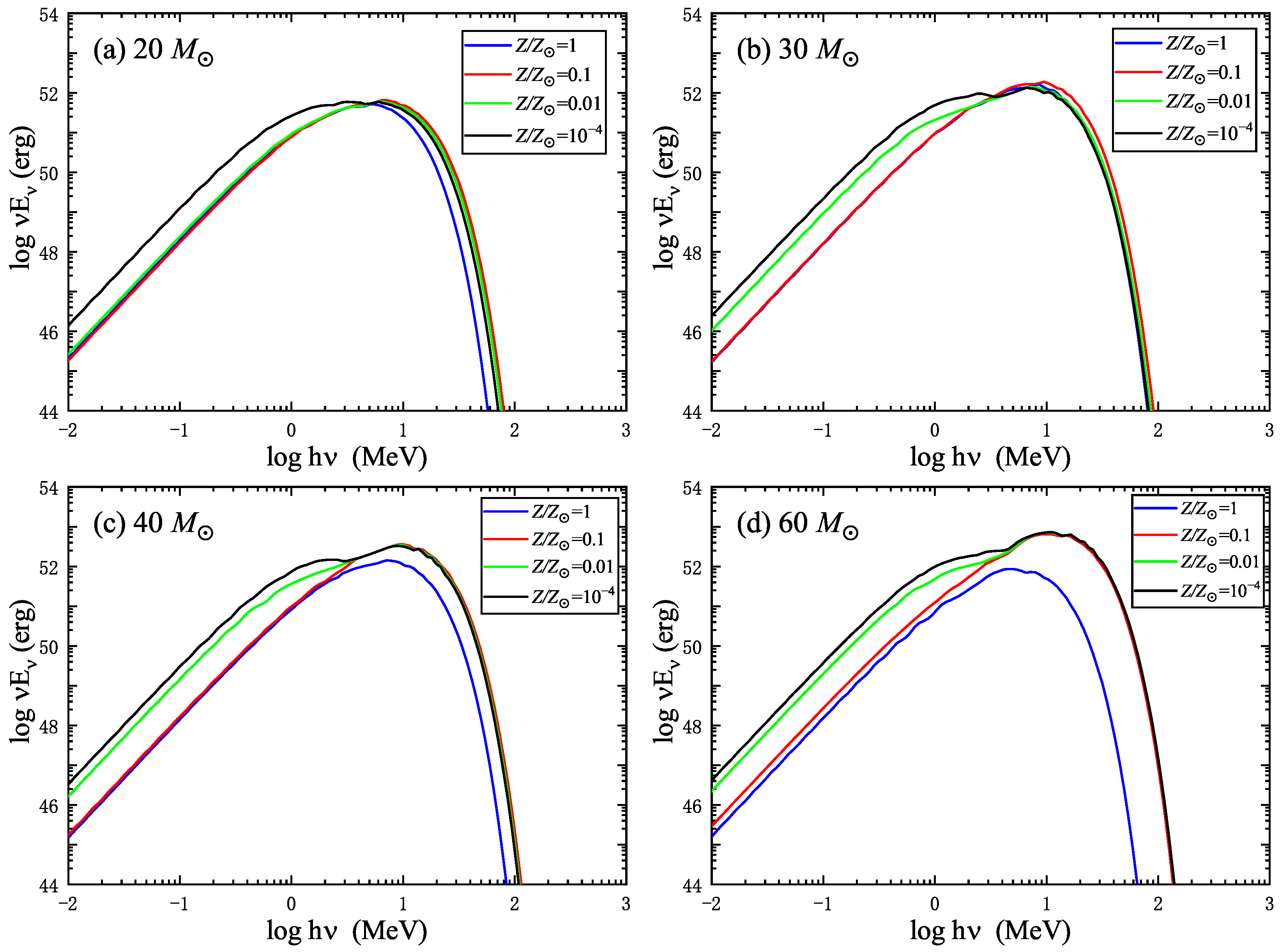
3.1. Neutrino Spectra of NDAFs
3.2. Comparisons with PNSs
3.3. Detection
4. GWs
4.1. GWs from NDAFs in Collapsars
4.2. GWs from Collapsars
5. Summary
Funding
Data Availability Statement
Conflicts of Interest
References
- Piran, T. The physics of gamma-ray bursts. Rev. Mod. Phys. 2004, 76, 1143–1210. [Google Scholar] [CrossRef]
- Mészáros, P. Gamma-ray bursts. Rep. Prog. Phys. 2006, 69, 2259–2321. [Google Scholar] [CrossRef]
- Kouveliotou, C.; Meegan, C.A.; Fishman, G.J.; Bhat, N.P.; Briggs, M.S.; Koshut, T.M.; Paciesas, W.S.; Pendleton, G.N. Identification of Two Classes of Gamma-Ray Bursts. Astrophys. J. Lett. 1993, 413, L101–L104. [Google Scholar] [CrossRef]
- Abbott, B.P.; Abbott, R.; Abbott, T.D.; Acernese, F.; Ackley, K.; Adams, C.; Adams, T.; Addesso, P.; Adhikari, R.X.; Adya, V.B.; et al. Multi-messenger Observations of a Binary Neutron Star Merger. Astrophys. J. Lett. 2017, 848, L12. [Google Scholar] [CrossRef]
- Woosley, S.E.; Bloom, J.S. The Supernova Gamma-Ray Burst Connection. Annu. Rev. Astron. Astrophys. 2006, 44, 507–556. [Google Scholar] [CrossRef]
- Woosley, S.E. Gamma-Ray Bursts from Stellar Mass Accretion Disks around Black Holes. Astrophys. J. 1993, 405, 273. [Google Scholar] [CrossRef]
- Paczyński, B. Are Gamma-Ray Bursts in Star-Forming Regions? Astrophys. J. Lett. 1998, 494, L45–L48. [Google Scholar] [CrossRef]
- MacFadyen, A.I.; Woosley, S.E. Collapsars: Gamma-Ray Bursts and Explosions in “Failed Supernovae”. Astrophys. J. 1999, 524, 262–289. [Google Scholar] [CrossRef]
- MacFadyen, A.I.; Woosley, S.E.; Heger, A. Supernovae, Jets, and Collapsars. Astrophys. J. 2001, 550, 410–425. [Google Scholar] [CrossRef]
- Heger, A.; Fryer, C.L.; Woosley, S.E.; Langer, N.; Hartmann, D.H. How Massive Single Stars End Their Life. Astrophys. J. 2003, 591, 288–300. [Google Scholar] [CrossRef]
- Fryer, C.L.; Woosley, S.E.; Heger, A. Pair-Instability Supernovae, Gravity Waves, and Gamma-Ray Transients. Astrophys. J. 2001, 550, 372–382. [Google Scholar] [CrossRef]
- Woosley, S.E.; Heger, A. Long Gamma-Ray Transients from Collapsars. Astrophys. J. 2012, 752, 32. [Google Scholar] [CrossRef]
- Blandford, R.D.; Znajek, R.L. Electromagnetic extraction of energy from Kerr black holes. Mon. Not. R. Astron. Soc. 1977, 179, 433–456. [Google Scholar] [CrossRef]
- Popham, R.; Woosley, S.E.; Fryer, C. Hyperaccreting Black Holes and Gamma-Ray Bursts. Astrophys. J. 1999, 518, 356–374. [Google Scholar] [CrossRef]
- Narayan, R.; Piran, T.; Kumar, P. Accretion Models of Gamma-Ray Bursts. Astrophys. J. 2001, 557, 949–957. [Google Scholar] [CrossRef]
- Kohri, K.; Mineshige, S. Can Neutrino-cooled Accretion Disks Be an Origin of Gamma-Ray Bursts? Astrophys. J. 2002, 577, 311–321. [Google Scholar] [CrossRef]
- Lee, W.H.; Ramirez-Ruiz, E.; Page, D. Dynamical Evolution of Neutrino-cooled Accretion Disks: Detailed Microphysics, Lepton-driven Convection, and Global Energetics. Astrophys. J. 2005, 632, 421–437. [Google Scholar] [CrossRef]
- Gu, W.-M.; Liu, T.; Lu, J.-F. Neutrino-dominated Accretion Models for Gamma-Ray Bursts: Effects of General Relativity and Neutrino Opacity. Astrophys. J. Lett. 2006, 643, L87–L90. [Google Scholar] [CrossRef]
- Chen, W.-X.; Beloborodov, A.M. Neutrino-cooled Accretion Disks around Spinning Black Holes. Astrophys. J. 2007, 657, 383–399. [Google Scholar] [CrossRef]
- Kawanaka, N.; Mineshige, S. Neutrino-cooled Accretion Disk and Its Stability. Astrophys. J. 2007, 662, 1156–1166. [Google Scholar]
- Liu, T.; Gu, W.-M.; Xue, L.; Lu, J.-F. Structure and Luminosity of Neutrino-cooled Accretion Disks. Astrophys. J. 2007, 661, 1025–1033. [Google Scholar] [CrossRef]
- Janiuk, A.; Yuan, Y.; Perna, R.; Di Matteo, T. Instabilities in the Time-Dependent Neutrino Disk in Gamma-Ray Bursts. Astrophys. J. 2007, 664, 1011–1025. [Google Scholar] [CrossRef]
- Lei, W.H.; Wang, D.X.; Zhang, L.; Gan, Z.M.; Zou, Y.C.; Xie, Y. Magnetically Torqued Neutrino-dominated Accretion Flows for Gamma-ray Bursts. Astrophys. J. 2009, 700, 1970–1976. [Google Scholar] [CrossRef]
- Xue, L.; Liu, T.; Gu, W.-M.; Lu, J.-F. Relativistic Global Solutions of Neutrino-dominated Accretion Flows. Astrophys. J. Suppl. Ser. 2013, 207, 23. [Google Scholar] [CrossRef]
- Liu, T.; Hou, S.-J.; Xue, L.; Gu, W.-M. Jet Luminosity of Gamma-ray Bursts: The Blandford-Znajek Mechanism versus the Neutrino Annihilation Process. Astrophys. J. Suppl. Ser. 2015, 218, 12. [Google Scholar] [CrossRef]
- Liu, T.; Lin, Y.-Q.; Hou, S.-J.; Gu, W.-M. Can Black Hole Neutrino-cooled Disks Power Short Gamma-Ray Bursts? Astrophys. J. 2015, 806, 58. [Google Scholar] [CrossRef]
- Song, C.-Y.; Liu, T.; Gu, W.-M.; Tian, J.-X. Testing black hole neutrino-dominated accretion discs for long-duration gamma-ray bursts. Mon. Not. R. Astron. Soc. 2016, 458, 1921–1926. [Google Scholar] [CrossRef]
- Liu, T.; Gu, W.-M.; Zhang, B. Neutrino-dominated accretion flows as the central engine of gamma-ray bursts. New Astron. Rev. 2017, 79, 1–25. [Google Scholar] [CrossRef]
- Nagataki, S. Theories of central engine for long gamma-ray bursts. Rep. Prog. Phys. 2018, 81, 026901. [Google Scholar] [CrossRef]
- Lee, H.K.; Wijers, R.A.M.J.; Brown, G.E. The Blandford-Znajek process as a central engine for a gamma-ray burst. Phys. Rep. 2000, 325, 83–114. [Google Scholar] [CrossRef]
- Lee, H.K.; Brown, G.E.; Wijers, R.A.M.J. Issues Regarding the Blandford-Znajek Process as a Gamma-Ray Burst Inner Engine. Astrophys. J. 2000, 536, 416–419. [Google Scholar] [CrossRef]
- McKinney, J.C.; Gammie, C.F. A Measurement of the Electromagnetic Luminosity of a Kerr Black Hole. Astrophys. J. 2004, 611, 977–995. [Google Scholar] [CrossRef]
- Mizuno, Y.; Yamada, S.; Koide, S.; Shibata, K. General Relativistic Magnetohydrodynamic Simulations of Collapsars: Rotating Black Hole Cases. Astrophys. J. 2004, 615, 389–401. [Google Scholar] [CrossRef]
- Barkov, M.V.; Komissarov, S.S. Stellar explosions powered by the Blandford-Znajek mechanism. Mon. Not. R. Astron. Soc. 2008, 385, L28–L32. [Google Scholar] [CrossRef]
- Nagataki, S. Development of a General Relativistic Magnetohydrodynamic Code and Its Application to the Central Engine of Long Gamma-Ray Bursts. Astrophys. J. 2009, 704, 937–950. [Google Scholar] [CrossRef]
- Lei, W.-H.; Zhang, B.; Liang, E.-W. Hyperaccreting Black Hole as Gamma-Ray Burst Central Engine. I. Baryon Loading in Gamma-Ray Burst Jets. Astrophys. J. 2013, 765, 125. [Google Scholar] [CrossRef]
- Wu, X.-F.; Hou, S.-J.; Lei, W.-H. Giant X-Ray Bump in GRB 121027A: Evidence for Fall-back Disk Accretion. Astrophys. J. Lett. 2013, 767, L36. [Google Scholar] [CrossRef]
- Lei, W.-H.; Zhang, B.; Wu, X.-F.; Liang, E.-W. Hyperaccreting Black Hole as Gamma-Ray Burst Central Engine. II. Temporal Evolution of the Central Engine Parameters during the Prompt and Afterglow Phases. Astrophys. J. 2017, 849, 47. [Google Scholar] [CrossRef]
- Usov, V.V. Millisecond pulsars with extremely strong magnetic fields as a cosmological source of γ-ray bursts. Nature 1992, 357, 472–474. [Google Scholar]
- Duncan, R.C.; Thompson, C. Formation of Very Strongly Magnetized Neutron Stars: Implications for Gamma-Ray Bursts. Astrophys. J. Lett. 1992, 392, L9. [Google Scholar] [CrossRef]
- Dai, Z.G.; Lu, T. γ-Ray Bursts and Afterglows from Rotating Strange Stars and Neutron Stars. Phys. Rev. Lett. 1998, 81, 4301–4304. [Google Scholar] [CrossRef]
- Zhang, B.; Mészáros, P. Gamma-Ray Burst Afterglow with Continuous Energy Injection: Signature of a Highly Magnetized Millisecond Pulsar. Astrophys. J. Lett. 2001, 552, L35–L38. [Google Scholar] [CrossRef]
- Dai, Z.G.; Wang, X.Y.; Wu, X.F.; Zhang, B. X-ray Flares from Postmerger Millisecond Pulsars. Science 2006, 311, 1127–1129. [Google Scholar] [CrossRef]
- Metzger, B.D.; Giannios, D.; Thompson, T.A.; Bucciantini, N.; Quataert, E. The protomagnetar model for gamma-ray bursts. Mon. Not. R. Astron. Soc. 2011, 413, 2031–2056. [Google Scholar] [CrossRef]
- Metzger, B.D.; Margalit, B.; Kasen, D.; Quataert, E. The diversity of transients from magnetar birth in core collapse supernovae. Mon. Not. R. Astron. Soc. 2015, 454, 3311–3316. [Google Scholar] [CrossRef]
- Matzner, C.D. Supernova hosts for gamma-ray burst jets: Dynamical constraints. Mon. Not. R. Astron. Soc. 2003, 345, 575–589. [Google Scholar] [CrossRef]
- Suwa, Y.; Ioka, K. Can Gamma-ray Burst Jets Break Out the First Stars? Astrophys. J. 2011, 726, 107. [Google Scholar] [CrossRef]
- Bromberg, O.; Nakar, E.; Piran, T. Are Low-luminosity Gamma-Ray Bursts Generated by Relativistic Jets? Astrophys. J. Lett. 2011, 739, L55. [Google Scholar] [CrossRef]
- Bromberg, O.; Nakar, E.; Piran, T.; Sari, R. An Observational Imprint of the Collapsar Model of Long Gamma-Ray Bursts. Astrophys. J. 2012, 749, 100. [Google Scholar] [CrossRef]
- Matsumoto, T.; Nakauchi, D.; Ioka, K.; Heger, A.; Nakamura, T. Can Direct Collapse Black Holes Launch Gamma-Ray Bursts and Grow to Supermassive Black Holes? Astrophys. J. 2015, 810, 64. [Google Scholar] [CrossRef]
- Liu, T.; Song, C.-Y.; Zhang, B.; Gu, W.-M.; Heger, A. Black Hole Hyperaccretion Inflow-Outflow Model. I. Long and Ultra-long Gamma-Ray Bursts. Astrophys. J. 2018, 852, 20. [Google Scholar] [CrossRef]
- Song, C.-Y.; Liu, T. Black Hole Hyperaccretion Inflow-Outflow Model. II. Long-duration Gamma-Ray Bursts and Supernova 56Ni Bumps. Astrophys. J. 2019, 871, 117. [Google Scholar] [CrossRef]
- Liu, T.; Song, C.-Y.; Yi, T.; Gu, W.-M.; Wang, X.-F. A possible feedback mechanism of outflows from a black hole hyperaccretion disk in the center of jet-driven iPTF14hls. J. High Energy Astrophys. 2019, 22, 5–9. [Google Scholar] [CrossRef]
- Zhang, W.; Woosley, S.E.; MacFadyen, A.I. Relativistic Jets in Collapsars. Astrophys. J. 2003, 586, 356–371. [Google Scholar] [CrossRef]
- Zhang, W.; Woosley, S.E.; Heger, A. The Propagation and Eruption of Relativistic Jets from the Stellar Progenitors of Gamma-Ray Bursts. Astrophys. J. 2004, 608, 365–377. [Google Scholar] [CrossRef]
- Nakauchi, D.; Suwa, Y.; Sakamoto, T.; Kashiyama, K.; Nakamura, T. Long-duration X-Ray Flash and X-Ray-rich Gamma-Ray Bursts from Low-mass Population III Stars. Astrophys. J. 2012, 759, 128. [Google Scholar] [CrossRef]
- Mizuta, A.; Yamasaki, T.; Nagataki, S.; Mineshige, S. Collimated Jet or Expanding Outflow: Possible Origins of Gamma-Ray Bursts and X-Ray Flashes. Astrophys. J. 2006, 651, 960–978. [Google Scholar] [CrossRef]
- Tominaga, N.; Maeda, K.; Umeda, H.; Nomoto, K.; Tanaka, M.; Iwamoto, N.; Suzuki, T.; Mazzali, P.A. The Connection between Gamma-Ray Bursts and Extremely Metal-poor Stars: Black Hole-forming Supernovae with Relativistic Jets. Astrophys. J. Lett. 2007, 657, L77–L80. [Google Scholar] [CrossRef]
- Morsony, B.J.; Lazzati, D.; Begelman, M.C. Temporal and Angular Properties of Gamma-Ray Burst Jets Emerging from Massive Stars. Astrophys. J. 2007, 665, 569–598. [Google Scholar] [CrossRef]
- Mizuta, A.; Aloy, M.A. Angular Energy Distribution of Collapsar-Jets. Astrophys. J. 2009, 665, 1261–1273. [Google Scholar] [CrossRef]
- Nagakura, H.; Ito, H.; Kiuchi, K.; Yamada, S. Jet Propagations, Breakouts, and Photospheric Emissions in Collapsing Massive Progenitors of Long-duration Gamma-ray Bursts. Astrophys. J. 2011, 731, 80. [Google Scholar] [CrossRef]
- Mizuta, A.; Nagataki, S.; Aoi, J. Thermal Radiation from Gamma-ray Burst Jets. Astrophys. J. 2011, 732, 26. [Google Scholar] [CrossRef]
- Nagakura, H.; Suwa, Y.; Ioka, K. Population III Gamma-Ray Bursts and Breakout Criteria for Accretion-powered Jets. Astrophys. J. 2012, 754, 85. [Google Scholar] [CrossRef]
- Nagakura, H. The Propagation of Neutrino-driven Jets in Wolf-Rayet Stars. Astrophys. J. 2013, 764, 139. [Google Scholar] [CrossRef][Green Version]
- Bromberg, O.; Nakar, E.; Piran, T.; Sari, R. The Propagation of Relativistic Jets in External Media. Astrophys. J. 2011, 740, 100. [Google Scholar] [CrossRef]
- Toma, K.; Ioka, K.; Sakamoto, T.; Nakamura, T. Low-Luminosity GRB 060218: A Collapsar Jet from a Neutron Star, Leaving a Magnetar as a Remnant? Astrophys. J. 2007, 659, 1420–1430. [Google Scholar] [CrossRef]
- Aloy, M.A.; Müller, E.; Ibáñez, J.M.; Martí, J.M.; MacFadyen, A. Relativistic Jets from Collapsars. Astrophys. J. Lett. 2000, 531, L119–L122. [Google Scholar] [CrossRef] [PubMed]
- Cano, Z.; Johansson Andreas, K.G.; Maeda, K. A self-consistent analytical magnetar model: The luminosity of γ-ray burst supernovae is powered by radioactivity. Mon. Not. R. Astron. Soc. 2016, 457, 2761–2772. [Google Scholar] [CrossRef]
- Guessoum, N.; Alarayani, O.; Al-Qassimi, K.; AlShamsi, M.G.; Sherif, N.; Hamidani, H.; Zitouni, H.; Azzam, W.J. Investigating the Gamma-Ray Burst-Supernova Connection. J. Phys. Conf. Ser. 2017, 869, 012080. [Google Scholar] [CrossRef]
- Gendre, B.; Stratta, G.; Atteia, J.L.; Basa, S.; Boër, M.; Coward, D.M.; Cutini, S.; D’Elia, V.; Howell, E.J.; Klotz, A.; et al. The Ultra-long Gamma-Ray Burst 111209A: The Collapse of a Blue Supergiant? Astrophys. J. 2013, 766, 30. [Google Scholar] [CrossRef]
- Levan, A.J.; Tanvir, N.R.; Starling, R.L.C.; Wiersema, K.; Page, K.L.; Perley, D.A.; Schulze, S.; Wynn, G.A.; Chornock, R.; Hjorth, J.; et al. A New Population of Ultra-long Duration Gamma-Ray Bursts. Astrophys. J. 2014, 781, 13. [Google Scholar] [CrossRef]
- Quataert, E.; Kasen, D. Swift 1644+57: The longest gamma-ray burst? Mon. Not. R. Astron. Soc. Lett. 2012, 419, L1–L5. [Google Scholar] [CrossRef]
- Mészáros, P.; Rees, M.J. Collapsar Jets, Bubbles, and Fe Lines. Astrophys. J. Lett. 2001, 556, L37–L40. [Google Scholar] [CrossRef]
- Abel, T.; Bryan, G.L.; Norman, M.L. The Formation of the First Star in the Universe. Science 2002, 295, 93–98. [Google Scholar] [CrossRef]
- Bromm, V.; Coppi, P.S.; Larson, R.B. The Formation of the First Stars. I. The Primordial Star-forming Cloud. Astrophys. J. 2002, 564, 23–51. [Google Scholar] [CrossRef]
- Nakauchi, D.; Kashiyama, K.; Suwa, Y.; Nakamura, T. Blue Supergiant Model for Ultra-long Gamma-Ray Burst with Superluminous-supernova-like Bump. Astrophys. J. 2013, 778, 67. [Google Scholar] [CrossRef]
- Zalamea, I.; Beloborodov, A.M. Neutrino heating near hyper-accreting black holes. Mon. Not. R. Astron. Soc. 2011, 410, 2302–2308. [Google Scholar] [CrossRef]
- Gehrels, N.; Norris, J.P.; Barthelmy, S.D.; Granot, J.; Kaneko, Y.; Kouveliotou, C.; Markwardt, C.B.; Mészáros, P.; Nakar, E.; Nousek, J.A.; et al. A new γ-ray burst classification scheme from GRB060614. Nature 2006, 444, 1044–1046. [Google Scholar] [CrossRef] [PubMed]
- Gal-Yam, A.; Fox, D.B.; Price, P.A.; Ofek, E.O.; Davis, M.R.; Leonard, D.C.; Soderberg, A.M.; Schmidt, B.P.; Lewis, K.M.; Peterson, B.A.; et al. A novel explosive process is required for the γ-ray burst GRB 060614. Nature 2006, 444, 1053–1055. [Google Scholar] [CrossRef] [PubMed]
- Zhang, B.; Zhang, B.-B.; Liang, E.-W.; Gehrels, N.; Burrows, D.N.; Mészáros, P. Making a Short Gamma-Ray Burst from a Long One: Implications for the Nature of GRB 060614. Astrophys. J. Lett. 2007, 655, L25–L28. [Google Scholar] [CrossRef]
- Levesque, E.M.; Bloom, J.S.; Butler, N.R.; Perley, D.A.; Cenko, S.B.; Prochaska, J.X.; Kewley, L.J.; Bunker, A.; Chen, H.-W.; Chornock, R.; et al. GRB090426: The environment of a rest-frame 0.35-s gamma-ray burst at a redshift of 2.609. Mon. Not. R. Astron. Soc. 2010, 401, 963–972. [Google Scholar] [CrossRef]
- Xin, L.-P.; Liang, E.-W.; Wei, J.-Y.; Zhang, B.; Lv, H.-J.; Zheng, W.-K.; Urata, Y.; Im, M.; Wang, J.; Qiu, Y.-L.; et al. Probing the nature of high-z short GRB 090426 with its early optical and X-ray afterglows. Mon. Not. R. Astron. Soc. 2011, 401, 27–32. [Google Scholar] [CrossRef]
- Thöne, C.C.; Campana, S.; Lazzati, D.; de Ugarte Postigo, A.; Fynbo, J.P.U.; Christensen, L.; Levan, A.J.; Aloy, M.A.; Hjorth, J.; Jakobsson, P.; et al. Variable Lyα sheds light on the environment surrounding GRB 090426. Mon. Not. R. Astron. Soc. 2011, 414, 479–488. [Google Scholar] [CrossRef]
- Lü, H.-J.; Zhang, B.; Liang, E.-W.; Zhang, B.-B.; Sakamoto, T. The ‘amplitude’ parameter of gamma-ray bursts and its implications for GRB classification. Mon. Not. R. Astron. Soc. 2014, 442, 1922–1929. [Google Scholar] [CrossRef]
- Wei, Y.-F.; Liu, T. Black hole hyperaccretion in collapsars. III. GRB timescale. Astrophys. J. 2022, 936, 182. [Google Scholar] [CrossRef]
- Kumar, P.; Narayan, R.; Johnson, J.L. Properties of Gamma-Ray Burst Progenitor Stars. Science 2008, 321, 376. [Google Scholar] [CrossRef]
- Qu, H.-M.; Liu, T. Revisiting Black Hole Hyperaccretion in the Center of Gamma-Ray Bursts for the Lower Mass Gap. Astrophys. J. 2022, 929, 83. [Google Scholar] [CrossRef]
- Liu, T.; Xue, L. Ignition of neutrino-dominated accretion disks. Sci. China Phys. Mech. Astron. 2012, 55, 316–319. [Google Scholar] [CrossRef]
- Nagataki, S.; Kohri, K. Features of Neutrino Signals from Collapsars. Prog. Theor. Phys. 2002, 108, 789–800. [Google Scholar] [CrossRef][Green Version]
- Caballero, O.L.; McLaughlin, G.C.; Surman, R. Neutrino Spectra from Accretion Disks: Neutrino General Relativistic Effects and the Consequences for Nucleosynthesis. Astrophys. J. 2012, 745, 170. [Google Scholar] [CrossRef][Green Version]
- Caballero, O.L.; Zielinski, T.; McLaughlin, G.C.; Surman, R. Black hole spin influence on accretion disk neutrino detection. Phys. Rev. D 2016, 93, 123015. [Google Scholar] [CrossRef]
- Liu, T.; Zhang, B.; Li, Y.; Ma, R.-Y.; Xue, L. Detectable MeV neutrinos from black hole neutrino-dominated accretion flows. Phys. Rev. D 2016, 93, 123004. [Google Scholar] [CrossRef]
- Wei, Y.-F.; Liu, T.; Song, C.-Y. Black Hole Hyperaccretion in Collapsars. I. MeV Neutrinos. Astrophys. J. 2019, 878, 142. [Google Scholar] [CrossRef]
- Woosley, S.E.; Heger, A.; Weaver, T.A. The evolution and explosion of massive stars. Rev. Mod. Phys. 2002, 74, 1015–1071. [Google Scholar] [CrossRef]
- Woosley, S.E.; Heger, A. Nucleosynthesis and remnants in massive stars of solar metallicity. Phys. Rep. 2007, 442, 269–283. [Google Scholar] [CrossRef]
- Heger, A.; Woosley, S.E. Nucleosynthesis and Evolution of Massive Metal-free Stars. Astrophys. J. 2010, 724, 341–373. [Google Scholar] [CrossRef]
- Weaver, T.A.; Zimmerman, G.B.; Woosley, S.E. Presupernova evolution of massive stars. Astrophys. J. 1978, 225, 1021–1029. [Google Scholar] [CrossRef]
- Fabian, A.C.; Rees, M.J.; Stella, L.; White, N.E. X-ray fluorescence from the inner disc in Cygnus X-1. Mon. Not. R. Astron. Soc. 1989, 238, 729–736. [Google Scholar] [CrossRef]
- Fabian, A.C.; Iwasawa, K.; Reynolds, C.S.; Young, A.J. Broad Iron Lines in Active Galactic Nuclei. Publ. Astron. Soc. Jpn. 2000, 112, 1145–1161. [Google Scholar] [CrossRef]
- Fanton, C.; Calvani, M.; de Felice, F.; Cadez, A. Detecting Accretion Disks in Active Galactic Nuclei. Publ. Astron. Soc. Jpn. 1997, 49, 159–169. [Google Scholar] [CrossRef]
- Li, L.-X.; Zimmerman, E.R.; Narayan, R.; McClintock, J.E. Multitemperature Blackbody Spectrum of a Thin Accretion Disk around a Kerr Black Hole: Model Computations and Comparison with Observations. Astrophys. J. Suppl. Ser. 2005, 157, 335–370. [Google Scholar] [CrossRef]
- Malkus, A.; Kneller, J.P.; McLaughlin, G.C.; Surman, R. Neutrino oscillations above black hole accretion disks: Disks with electron-flavor emission. Phys. Rev. D 2012, 86, 085015. [Google Scholar] [CrossRef]
- Friedland, A. Self-Refraction of Supernova Neutrinos: Mixed Spectra and Three-Flavor Instabilities. Phys. Rev. Lett. 2010, 104, 191102. [Google Scholar] [CrossRef]
- Duan, H.; Friedland, A. Self-Induced Suppression of Collective Neutrino Oscillations in a Supernova. Phys. Rev. Lett. 2010, 106, 091101. [Google Scholar] [CrossRef]
- Cherry, J.F.; Wu, M.-R.; Carlson, J.; Duan, H.; Fuller, G.M.; Qian, Y.-Z. Neutrino luminosity and matter-induced modification of collective neutrino flavor oscillations in supernovae. Phys. Rev. D 2012, 85, 125010. [Google Scholar] [CrossRef]
- Kotake, K.; Sato, K.; Takahashi, K. Explosion mechanism, neutrino burst and gravitational wave in core-collapse supernovae. Rep. Prog. Phys. 2006, 69, 971–1143. [Google Scholar] [CrossRef]
- Podsiadlowski, P.; Langer, N.; Poelarends, A.J.T.; Rappaport, S.; Heger, A.; Pfahl, E. The Effects of Binary Evolution on the Dynamics of Core Collapse and Neutron Star Kicks. Astrophys. J. 2004, 612, 1044–1051. [Google Scholar] [CrossRef]
- Janka, H.-T.; Langanke, K.; Marek, A.; Martínez-Pinedo, G.; Müller, B. Theory of core-collapse supernovae. Phys. Rep. 2007, 442, 38–74. [Google Scholar] [CrossRef]
- Pons, J.A.; Reddy, S.; Prakash, M.; Lattimer, J.M.; Miralles, J.A. Evolution of Proto-Neutron Stars. Astrophys. J. 1999, 513, 780–804. [Google Scholar] [CrossRef]
- Burrows, A.; Lattimer, J.M. The Birth of Neutron Stars. Astrophys. J. 1986, 307, 178. [Google Scholar] [CrossRef]
- Burrows, A. Neutrinos from supernova explosions. Annu. Rev. Nucl. Part. Sci. 1990, 40, 181–212. [Google Scholar] [CrossRef]
- Yuan, M.; Lu, J.-G.; Yang, Z.-L.; Lai, X.-Y.; Xu, R.-X. Supernova neutrinos in a strangeon star model. Res. Astron. Astrophys. 2017, 17, 092. [Google Scholar] [CrossRef]
- Janka, H.-T.; Hillebrandt, W. Neutrino emission from type II supernovae: An analysis of the spectra. Astron. Astrophys. 1989, 224, 49–56. [Google Scholar]
- Janka, H.-T.; Hillebrandt, W. Monte Carlo simulations of neutrino transport in type II supernovae. Astron. Astrophys. 1989, 78, 375–397. [Google Scholar]
- Hüdepohl, L.; Müller, B.; Janka, H.-T.; Marek, A.; Raffelt, G.G. Neutrino Signal of Electron-Capture Supernovae from Core Collapse to Cooling. Phys. Rev. Lett. 2010, 104, 251101. [Google Scholar] [CrossRef]
- Nakazato, K.; Sumiyoshi, K.; Suzuki, H.; Totani, T.; Umeda, H.; Yamada, S. Supernova Neutrino Light Curves and Spectra for Various Progenitor Stars: From Core Collapse to Proto-neutron Star Cooling. Astrophys. J. Suppl. Ser. 2013, 205, 2. [Google Scholar] [CrossRef]
- Burrows, A. Supernova Neutrinos. Astron. Astrophys. 1988, 334, 891. [Google Scholar] [CrossRef]
- Hirata, K.; Kajita, T.; Koshiba, M.; Nakahata, M.; Oyama, Y.; Sato, N.; Suzuki, A.; Takita, M.; Totsuka, Y.; Kifune, T.; et al. Observation of a neutrino burst from the supernova SN1987A. Phys. Rev. Lett. 1987, 58, 1490–1493. [Google Scholar] [CrossRef]
- Bionta, R.M.; Blewitt, G.; Bratton, C.B.; Casper, D.; Ciocio, A.; Claus, R.; Cortez, B.; Crouch, M.; Dye, S.T.; Errede, S.; et al. Observation of a neutrino burst in coincidence with supernova 1987A in the Large Magellanic Cloud. Phys. Rev. Lett. 1987, 58, 1494–1496. [Google Scholar] [CrossRef]
- Alexeyev, E.N.; Alexeyeva, L.N.; Krivosheina, I.V.; Volchenko, V.I. Detection of the neutrino signal from SN 1987A in the LMC using the INR Baksan underground scintillation telescope. Phys. Lett. B 1988, 205, 209–214. [Google Scholar] [CrossRef]
- Abe, K.; Abe, T.; Aihara, H.; Fukuda, Y.; Hayato, Y.; Huang, K.; Ichikawa, A.K.; Ikeda, M.; Inoue, K.; Ishino, H.; et al. Letter of Intent: The Hyper-Kamiokande Experiment—Detector Design and Physics Potential—. arXiv 2011, arXiv:1109.3262. [Google Scholar]
- Seadrow, S.; Burrows, A.; Vartanyan, D.; Radice, D.; Skinner, M.A. Neutrino signals of core-collapse supernovae in underground detectors. Mon. Not. R. Astron. Soc. 2018, 480, 4710–4731. [Google Scholar] [CrossRef]
- Wurm, M.; Beacom, J.F.; Bezrukov, L.B.; Bick, D.; Blümer, J.; Choubey, S.; Ciemniak, C.; D’Angelo, D.; Dasgupta, B.; Derbin, A.; et al. The next-generation liquid-scintillator neutrino observatory LENA. Astropart. Phys. 2012, 35, 685–732. [Google Scholar] [CrossRef]
- Podsiadlowski, P.; Mazzali, P.A.; Nomoto, K.; Lazzati, D.; Cappellaro, E. The Rates of Hypernovae and Gamma-Ray Bursts: Implications for Their Progenitors. Astrophys. J. Lett. 2004, 607, L17–L20. [Google Scholar] [CrossRef]
- Sun, H.; Zhang, B.; Li, Z. Extragalactic High-energy Transients: Event Rate Densities and Luminosity Functions. Astron. Astrophys. 2015, 812, 33. [Google Scholar] [CrossRef]
- Tammann, G.A.; Loeffler, W.; Schroeder, A. The Galactic Supernova Rate. Astrophys. J. Suppl. 1994, 92, 487. [Google Scholar] [CrossRef]
- Mirizzi, A.; Raffelt, G.G.; Serpico, P.D. Earth matter effects in supernova neutrinos: Optimal detector locations. J. Cosmol. Astropart. Phys. 2006, 5, 012. [Google Scholar] [CrossRef]
- Scholberg, K. Supernova Neutrino Detection. Annu. Rev. Nucl. Part. Sci. 2012, 62, 81–103. [Google Scholar] [CrossRef]
- Abbott, B.P.; Abbott, R.; Abbott, T.D.; Acernese, F.; Ackley, K.; Adams, C.; Adams, T.; Addesso, P.; Adhikari, R.; Adya, V.; et al. GW170817: Observation of Gravitational Waves from a Binary Neutron Star Inspiral. Phys. Rev. Lett. 2017, 119, 161101. [Google Scholar] [CrossRef]
- Sun, M.-Y.; Liu, T.; Gu, W.-M.; Lu, J.-F. Gravitational Waves of Jet Precession in Gamma-Ray Bursts. Astrophys. J. 2012, 752, 31. [Google Scholar] [CrossRef]
- Suwa, Y.; Murase, K. Probing the central engine of long gamma-ray bursts and hypernovae with gravitational waves and neutrinos. Phys. Rev. D 2009, 80, 123008. [Google Scholar] [CrossRef]
- Kotake, K.; Takiwaki, T.; Harikae, S. Gravitational Wave Signatures of Hyperaccreting Collapsar Disks. Astrophys. J. 2012, 755, 84. [Google Scholar] [CrossRef]
- Liu, T.; Lin, C.-Y.; Song, C.-Y.; Li, A. Comparison of Gravitational Waves from Central Engines of Gamma-Ray Bursts: Neutrino-dominated Accretion Flows, Blandford-Znajek Mechanisms, and Millisecond Magnetars. Astrophys. J. 2017, 850, 30. [Google Scholar] [CrossRef]
- Song, C.-Y.; Liu, T.; Wei, Y.-F. Neutrinos and gravitational waves from magnetized neutrino-dominated accretion discs with magnetic coupling. Mon. Not. R. Astron. Soc. 2020, 494, 3962–3970. [Google Scholar] [CrossRef]
- Wei, Y.-F.; Liu, T. Black Hole Hyperaccretion in Collapsars. II. Gravitational Waves. Astrophys. J. 2020, 889, 73. [Google Scholar] [CrossRef]
- Qi, Y.-Q.; Liu, T.; Huang, B.-Q.; Wei, Y.-F.; Bu, D.-F. Anisotropic Multimessenger Signals from Black Hole Neutrino-dominated Accretion Flows with Outflows in Binary Compact Object Mergers. Astrophys. J. 2022, 925, 43. [Google Scholar] [CrossRef]
- Epstein, R. The generation of gravitational radiation by escaping supernova neutrinos. Astron. Astrophys. 1978, 223, 1037–1045. [Google Scholar] [CrossRef]
- Burrows, A.; Hayes, J. Pulsar Recoil and Gravitational Radiation Due to Asymmetrical Stellar Collapse and Explosion. Phys. Rev. Lett. 1996, 76, 352–355. [Google Scholar] [CrossRef]
- Mueller, E.; Janka, H.-T. Gravitational radiation from convective instabilities in Type II supernova explosions. Astron. Astrophys. 1997, 317, 140–163. [Google Scholar]
- Kotake, K.; Ohnishi, N.; Yamada, S. Gravitational Radiation from Standing Accretion Shock Instability in Core-Collapse Supernovae. Astron. Astrophys. 2007, 655, 406–415. [Google Scholar] [CrossRef]
- Flanagan, É.É.; Hughes, S.A. Measuring gravitational waves from binary black hole coalescences. I. Signal to noise for inspiral, merger, and ringdown. Phys. Rev. D 1998, 57, 4535–4565. [Google Scholar] [CrossRef]
- Fryer, C.L.; New, K.C.B. Gravitational Waves from Gravitational Collapse. Class. Quantum Gravity 2011, 14, 1. [Google Scholar] [CrossRef] [PubMed]
- Ott, C.D. TOPICAL REVIEW: The gravitational-wave signature of core-collapse supernovae. Class. Quantum Gravity 2009, 26, 063001. [Google Scholar] [CrossRef]
- Kotake, K. Multiple physical elements to determine the gravitational-wave signatures of core-collapse supernovae. C. R. Phys. 2013, 14, 318–351. [Google Scholar] [CrossRef]
- Mueller, E. Gravitational radiation from collapsing rotating stellar cores. Astron. Astrophys. 1982, 114, 53–59. [Google Scholar]
- Moenchmeyer, R.; Schaefer, G.; Mueller, E.; Kates, R.E. Gravitational waves from the collapse of rotating stellar cores. Astron. Astrophys. 1991, 246, 417–440. [Google Scholar]
- Herant, M. The convective engine paradigm for the supernova explosion mechanism and its consequences. Phys. Rep. 1995, 256, 117–133. [Google Scholar] [CrossRef]
- Yamada, S.; Sato, K. Gravitational Radiation from Rotational Collapse of a Supernova Core. Astrophys. J. 1995, 450, 245. [Google Scholar]
- Zwerger, T.; Mueller, E. Dynamics and gravitational wave signature of axisymmetric rotational core collapse. Astron. Astrophys. 1997, 320, 209–227. [Google Scholar]
- Rampp, M.; Mueller, E.; Ruffert, M. Simulations of non-axisymmetric rotational core collapse. Astron. Astrophys. 1998, 332, 969–983. [Google Scholar]
- Fryer, C.L.; Holz, D.E.; Hughes, S.A. Gravitational Wave Emission from Core Collapse of Massive Stars. Astrophys. J. 2002, 565, 430–446. [Google Scholar] [CrossRef]
- Dimmelmeier, H.; Font, J.A.; Müller, E. Relativistic simulations of rotational core collapse II. Collapse dynamics and gravitational radiation. Astron. Astrophys. 2002, 393, 523–542. [Google Scholar] [CrossRef]
- Ott, C.D.; Burrows, A.; Livne, E.; Walder, R. Gravitational Waves from Axisymmetric, Rotating Stellar Core Collapse. Astrophys. J. 2004, 600, 834–864. [Google Scholar] [CrossRef][Green Version]
- Müller, E.; Rampp, M.; Buras, R.; Janka, H.-T.; Shoemaker, D.H. Toward Gravitational Wave Signals from Realistic Core-Collapse Supernova Models. Astrophys. J. 2004, 603, 221–230. [Google Scholar] [CrossRef]
- Ott, C.D.; Reisswig, C.; Schnetter, E.; O’Connor, E.; Sperhake, U.; Löffler, F.; Diener, P.; Abdikamalov, E.; Hawke, I.; Burrows, A.; et al. Dynamics and Gravitational Wave Signature of Collapsar Formation. Phys. Rev. Lett. 2011, 106, 161103. [Google Scholar] [CrossRef]
- Moore, C.J.; Cole, R.H.; Berry, C.P.L. Gravitational-wave sensitivity curves. Class. Quantum Gravity 2015, 32, 015014. [Google Scholar] [CrossRef]
- Sago, N.; Ioka, K.; Nakamura, T.; Yamazaki, R. Gravitational wave memory of gamma-ray burst jets. Phys. Rev. D 2004, 70, 104012. [Google Scholar] [CrossRef]
- Akiba, S.; Nakada, M.; Yamaguchi, C.; Iwamoto, K. Gravitational-Wave Memory from the Relativistic Jet of Gamma-Ray Bursts. Publ. Astron. Soc. Jpn. 2013, 65, 59. [Google Scholar] [CrossRef]
- Blondin, J.M.; Mezzacappa, A.; DeMarino, C. Stability of Standing Accretion Shocks, with an Eye toward Core-Collapse Supernovae. Astrophys. J. 2003, 584, 971–980. [Google Scholar] [CrossRef]
- Burrows, A.; Livne, E.; Dessart, L.; Ott, C.D.; Murphy, J. A New Mechanism for Core-Collapse Supernova Explosions. Astrophys. J. 2006, 640, 878–890. [Google Scholar] [CrossRef]
- Blondin, J.M.; Mezzacappa, A. The Spherical Accretion Shock Instability in the Linear Regime. Astrophys. J. 2006, 642, 401–409. [Google Scholar] [CrossRef]
- Foglizzo, T.; Galletti, P.; Scheck, L.; Janka, H.-T. Instability of a Stalled Accretion Shock: Evidence for the Advective-Acoustic Cycle. Astrophys. J. 2007, 654, 1006–1021. [Google Scholar] [CrossRef]
- Scheck, L.; Janka, H.-T.; Foglizzo, T.; Kifonidis, K. Multidimensional supernova simulations with approximative neutrino transport. II. Convection and the advective-acoustic cycle in the supernova core. Astron. Astrophys. 2008, 477, 931–952. [Google Scholar] [CrossRef]
- Janka, H.-T.; Mueller, E. Neutrino heating, convection, and the mechanism of Type-II supernova explosions. Astron. Astrophys. 1996, 306, 167. [Google Scholar]
- Buras, R.; Janka, H.-T.; Rampp, M.; Kifonidis, K. Two-dimensional hydrodynamic core-collapse supernova simulations with spectral neutrino transport. II. Models for different progenitor stars. Astron. Astrophys. 2006, 457, 281–308. [Google Scholar] [CrossRef]
- Burrows, A.; Livne, E.; Dessart, L.; Ott, C.D.; Murphy, J. Features of the Acoustic Mechanism of Core-Collapse Supernova Explosions. Astrophys. J. 2007, 655, 416–433. [Google Scholar] [CrossRef]
- Burrows, A.; Lattimer, J.M. The effect of trapped lepton number and entropy on the outcome of stellar collapse. Astrophys. J. 1983, 270, 735–739. [Google Scholar] [CrossRef]
- Fryer, C.L.; Heger, A. Core-Collapse Simulations of Rotating Stars. Astrophys. J. 2000, 541, 1033–1050. [Google Scholar] [CrossRef]
- Ott, C.D.; Burrows, A.; Dessart, L.; Livne, E. Two-Dimensional Multiangle, Multigroup Neutrino Radiation-Hydrodynamic Simulations of Postbounce Supernova Cores. Astrophys. J. 2008, 685, 1069–1088. [Google Scholar] [CrossRef]
- Ott, C.D.; Burrows, A.; Dessart, L.; Livne, E. A New Mechanism for Gravitational-Wave Emission in Core-Collapse Supernovae. Phys. Rev. Lett. 2006, 96, 201102. [Google Scholar] [CrossRef]
- Marek, A.; Janka, H.-T.; Müller, E. Equation-of-state dependent features in shock-oscillation modulated neutrino and gravitational-wave signals from supernovae. Astrophys. J. 2009, 496, 475–494. [Google Scholar] [CrossRef]
- Fryer, C.L.; Holz, D.E.; Hughes, S.A.; Warren, M.S. Stellar Collapse and Gravitational Waves. Astrophys. J. 2004, 302, 373–402. [Google Scholar]
- Ott, C.D.; Dimmelmeier, H.; Marek, A.; Janka, H.-T.; Hawke, I.; Zink, B.; Schnetter, E. 3D Collapse of Rotating Stellar Iron Cores in General Relativity Including Deleptonization and a Nuclear Equation of State. Phys. Rev. Lett. 2007, 98, 261101. [Google Scholar] [CrossRef] [PubMed]
- Andersson, N.; Ferrari, V.; Jones, D.I.; Kokkotas, K.D.; Krishnan, B.; Read, J.S.; Rezzolla, L.; Zink, B. Gravitational waves from neutron stars: Promises and challenges. Gen. Relativ. Gravit. 2011, 43, 409–436. [Google Scholar] [CrossRef]
- Sekiguchi, Y.-I.; Shibata, M. Axisymmetric collapse simulations of rotating massive stellar cores in full general relativity: Numerical study for prompt black hole formation. Phys. Rev. D 2005, 71, 084013. [Google Scholar] [CrossRef]
- Cerdá-Durán, P.; DeBrye, N.; Aloy, M.A.; Font, J.A.; Obergaulinger, M. Gravitational Wave Signatures in Black Hole Forming Core Collapse. Astrophys. J. Lett. 2013, 779, L18. [Google Scholar] [CrossRef]
- Pan, K.-C.; Liebendörfer, M.; Couch, S.M.; Thielemann, F.-K. Equation of State Dependent Dynamics and Multi-messenger Signals from Stellar-mass Black Hole Formation. Astrophys. J. 2003, 857, 13. [Google Scholar] [CrossRef]
- Romero, G.E.; Reynoso, M.M.; Christiansen, H.R. Gravitational radiation from precessing accretion disks in gamma-ray bursts. Astron. Astrophys. 2010, 524, 5. [Google Scholar] [CrossRef]
- Liu, T.; Gu, W.-M.; Xue, L.; Lu, J.-F. Revisiting vertical structure of neutrino-dominated accretion disks: Bernoulli parameter, neutrino trapping and other distributions. Astrophys. Space Sci. 2012, 337, 711–717. [Google Scholar] [CrossRef][Green Version]
- van Putten, M.H.P.M.; Levinson, A. Theory and Astrophysical Consequences of a Magnetized Torus around a Rapidly Rotating Black Hole. Astrophys. J. 2003, 584, 937–953. [Google Scholar] [CrossRef]
- Segalis, E.B.; Ori, A. Emission of gravitational radiation from ultrarelativistic sources. Phys. Rev. D 2001, 64, 064018. [Google Scholar] [CrossRef]
- Birnholtz, O.; Piran, T. Gravitational wave memory from gamma ray bursts’ jets. Phys. Rev. D 2013, 87, 123007. [Google Scholar] [CrossRef]







Publisher’s Note: MDPI stays neutral with regard to jurisdictional claims in published maps and institutional affiliations. |
© 2022 by the authors. Licensee MDPI, Basel, Switzerland. This article is an open access article distributed under the terms and conditions of the Creative Commons Attribution (CC BY) license (https://creativecommons.org/licenses/by/4.0/).
Share and Cite
Wei, Y.-F.; Liu, T. Black Hole Hyperaccretion in Collapsars: A Review. Universe 2022, 8, 529. https://doi.org/10.3390/universe8100529
Wei Y-F, Liu T. Black Hole Hyperaccretion in Collapsars: A Review. Universe. 2022; 8(10):529. https://doi.org/10.3390/universe8100529
Chicago/Turabian StyleWei, Yun-Feng, and Tong Liu. 2022. "Black Hole Hyperaccretion in Collapsars: A Review" Universe 8, no. 10: 529. https://doi.org/10.3390/universe8100529
APA StyleWei, Y.-F., & Liu, T. (2022). Black Hole Hyperaccretion in Collapsars: A Review. Universe, 8(10), 529. https://doi.org/10.3390/universe8100529

